水凝胶波导传感器对呼吸丙酮的检测
Hydrogel Waveguide Sensors for Breath Acetone Detection
DOI: 10.12677/aac.2025.152024, PDF, HTML, XML,    科研立项经费支持
作者: 李 浩*, 蔡 斌#:上海理工大学光电信息与计算机工程学院,上海
关键词: 光纤传感器水凝胶波导吸收光谱呼吸分析丙酮检测Fiber Detector Hydrogel Waveguide Absorption Spectrum Breath Analysis Acetone Detection
摘要: 近年来,针对糖尿病的呼吸丙酮(BrAce)检测,新型化学传感器的研发层出不穷。然而,现有的传感器普遍存在以下问题:一方面,操作繁琐,且需配备复杂的样品处理装置;另一方面,要么造价昂贵,要么灵敏度不足,难以满足实际应用的需要。针对上述问题我们提出了一种基于水凝胶波导的BrAce气体传感器。该传感器利用水凝胶的三维多孔结构,高效捕获待测丙酮气体,并使其与波导内部的硫酸羟胺反应生成氢离子(H+),从而引发波导内部pH值的变化。这种pH值的变化进而导致波导内部溴酚蓝吸收光谱发生改变。通过检测溴酚蓝对波导内部传输光的吸收,实现了对健康成年人的BrAce检测。实验表明,该水凝胶波导传感器能够检测出低于0.9 ppm的丙酮气体浓度,而正常人BrAce浓度在0.3~0.9 ppm,能够有效地检测出正常人体内的BrAce气体。该水凝胶波导传感器制备方法简单,成本低廉,灵敏度高,操作简单,能够有效地应对日常生活中的使用场景。
Abstract: In recent years, various sensors have been developed for the detection of breath acetone (BrAce) in diabete management. However, existing sensors face signification challenges: they are often cumbersome to operate, requiring complex sample-handling devices, or tend to be either expensive or insufficiently sensitive for practical applications. To address these issues, we propose a BrAce gas sensor based on hydrogel waveguides. This sensor leverages the three-dimensional porous structure of hydrogel to efficiently capture acetone gas, which then reacts with hydroxylamine sulfate pre-doped in the waveguide to generate hydrogen ions (H+), thereby triggering a pH change within the waveguide. This change in pH, in turn, alters the absorption spectrum of bromophenol blue within the waveguide. By detecting changes in the absorption spectrum of bromophenol blue, we achieve a highly sensitive BrAce detection. Experimental results demonstrate that the hydrogel waveguide sensor can detect acetone concentrations lower than 0.9 ppm, while the normal BrAce in healthy individuals ranges from 0.3~0.9 ppm. This capability enables effective BrAce detection in healthy individuals. Additionally, the sensor features a simple fabricate process, low cost, high sensitivity and ease of operation, making it permits for everyday use.
文章引用:李浩, 蔡斌. 水凝胶波导传感器对呼吸丙酮的检测[J]. 分析化学进展, 2025, 15(2): 248-258. https://doi.org/10.12677/aac.2025.152024

1. 引言

随着社会发展和生活方式的改变,糖尿病患者的数量不断增加,呈现快速增长的趋势。据国际糖尿病联盟数据显示,我国糖尿病患者数量已超过1.4亿,18岁及以上居民糖尿病患病率高达11.9%。目前,糖尿病前期检出率为35.2%,其中Ⅱ型糖尿病占糖尿病人群的90%以上。传统的糖尿病检测方法,如糖化血红蛋白检测和空腹血糖检测,均需通过侵入性的血液采样,这不仅会对患者带来明显的痛感,增加其对检测的抵触情绪,还存在潜在的感染风险[1] [2]。因此,开发无创、便捷的糖尿病检测技术具有重要的临床意义。人体呼出气体中含有多种挥发性有机化合物(volatile organic compounds, VOCs),这些VOCs能够表征人体的生理状态,为疾病诊断提供重要信息。自Pauling首次发现人体呼出气体中存在200多种VOCs以来[3],关于呼出气体VOCs组分与疾病状态之间关联的研究日益增多,呼气分析也被认为是一种有前途的疾病诊断和健康监测方法。临床研究表明,呼吸丙酮(BrAce)浓度与多种疾病相关,包括哮喘、肺癌和糖尿病。丙酮作为酮症代谢过程的副产物,已被证明是糖尿病进展和治疗效果的关键生物标志物,其可通过尿液、汗液和呼吸等途径排出体外。健康人群的BrAce浓度一般在0.3~0.9 ppm范围内,而糖尿病患者的BrAce浓度则显著升高,可达1.8 ppm以上[4]-[10]。因此,通过检测呼出气体中的丙酮浓度,可以判断出糖尿病患者的身体是否健康,血糖浓度是否处于正常水平。目前市售的丙酮气体传感器的工作范围为50~5000 ppm,该范围远高于健康人或糖尿病患者的范围[11],不适用检测呼吸丙酮和糖尿病的监测。2022年,Li等人在气体传感器衬底上直接合成NiO纳米片,发现乙醇溶液和水体积比在3:1时获得的NiO纳米片对丙酮表现出显着的选择性,在225℃时对10~400 ppb的丙酮气体响应呈现线性关系,检测极限在800 ppt [12]。该方法虽然达到检测糖尿病患者BrAce的标准,但使用环境严苛,不能用于日常使用。虽然色谱和质谱等技术也能够精确BrAce浓度,但这些方法存在设备昂贵、操作复杂、体积庞大等缺陷,难以满足日常便捷化检测的需求[13]

聚合物波导传感器拥有体积小、灵敏度高、价格便宜等优点,在生物传感领域表现出广阔的应用前景[14]。Hong Luo等人利用水凝胶波导的三维网状结构和优异的吸水性能,将待测物质吸附到波导内部,并通过波导内部的传输光实现了高灵敏度检测。相较于传统的光纤倏逝波传感器,这种方法能够实现对波导传输光近乎100%的利用效率,从而大幅度提高传感器的灵敏度[15]。在本研究中,我们开发出一种基于水凝胶波导的高灵敏度和高选择性BrAce传感器。该传感器通过在水凝胶波导中引入硫酸羟胺、溴酚蓝等试剂,实现对丙酮的高效检测。具体而言,丙酮与硫酸羟胺发生特异性反应,产生氢离子(H+),进而引发溴酚蓝颜色由蓝色至黄色的转变。通过实时检测对溴酚蓝吸收光谱的变化,我们能够精确判断检测气体中是否含有丙酮,并实现对其浓度的分析。

2. 实验部分

2.1. 反应机理

传感的反应机理如图1所示。首先,丙酮选择性的与硫酸羟胺反应,生成硫酸与丙酮肟(图1(a))。硫酸的生成导致体系pH值降低,进而引发溴酚蓝的闭环反应,使其颜色发生改变(图1(b))。溴酚蓝作为一种经典的pH指示剂,其特征性颜色变化与溶液pH值密切相关[16]。具体而言,溴酚蓝的变色范围为pH3.0 至4.6,在pH4.6时呈现蓝色,在pH3.0时呈现黄色。实验中,我们配置了5 ml包含1 × 104 M溴酚蓝和1.2 × 101 M硫酸羟胺的混合溶液,并通过滴加1M的NaOH溶液将其pH值调节至5.3,此时溶液呈现蓝色。随后,向混合溶液中滴加10 μL丙酮溶液,混合溶液的pH值迅速降至1.8,其颜色由蓝色变为黄色,如图1(c)所示。这一实验结果清晰地展示了丙酮与羟胺硫酸盐反应所引起的pH变化,以及溴酚蓝对pH变化的灵敏响应。

(a) 水凝胶波导光纤传感器的传感机制

(b) 溴酚蓝变色原理图

(c) 溴酚蓝溶液遇见丙酮的颜色变化

Figure 1. Sensing mechanism of hydrogel waveguide fiber optic sensor and the color change of bromophenol blue meets acetone

1. 水凝胶波导光纤传感器的传感机制及溴酚蓝遇见丙酮的颜色变化

2.2. 材料及试剂

水凝胶波导所用的聚合物单体为丙烯酰胺(AM, CH2 = CHCONH2, >99%, Innochem)、N,N′-亚甲基双丙烯酰胺(MBA, (CH2 = CHCONH)2CH2, >99%, Innochem)和聚乙二醇(600)-二丙烯酸酯(PEG(600)DA, (C3H3O)(C2H4O)n(C3H3O2), >98%,引昌新材料)。使用去离子水和甲醇(>99%, Innochem)作为溶剂,使用自由基引发剂2,4,6-三甲基二苯酚氧化物(TPO, >98%, Aladdin)来增强单体的光活性,使其能够发生光聚合反应。加入单宁酸(C76H52O46, >98%, Macklin)抑制水凝胶波导的形变,使用甘油(C3H8O3, >99%, Aladdin)抑制水凝胶波导内部的水分蒸发,保持波导内部的湿润度。使用甲基丙烯酸酯-3-(三甲氧基甲硅烷基)丙酯(TMSPMA, C10H20O5Si, >98%, TCI)对光纤端面进行改性处理,提高光纤与波导之间连接的牢固性。

硫酸羟胺(2NH2OH·H2SO4, >99%, Innochem)与丙酮反应生成H+,改变波导内部的酸碱性;溴酚蓝(C19H10Br4O5S, >99%, Innochem)作为酸碱指示剂,用于波导检测丙酮气体的吸收强度变化;去离子水作为溶剂,加入甘油。实验中使用的化学试剂均为购买后直接使用,未经再次加工。

2.3. 光纤预处理

本项目采用激光诱导波导自写技术制备水凝胶波导。为提高光纤输出光的准直性,降低不必要的光损耗,实验中需要对切割后的光纤进行研磨和抛光处理。具体步骤如下:首先,将400 μm的石英光纤裁剪至30 cm的长度,使用光纤剥线钳剥除约1 mm的保护层。然后,将剥离后的光纤插入SMA905光纤接头中,注入UV胶,并使用紫外光照射进行予固化。随后,将接头放在加热台上100℃加热30 min,以确保光纤与接头完全固定。接下来,使用光纤研磨器对接头进行打磨和抛光。研磨过程依次使用100#、600#、2000#、4000#、8000#、10000#等不同粒度的砂纸,逐步精细化打磨光纤端面。光纤的另一端也采用相同的打磨和抛光步骤。

为了提高水凝胶波导–光纤之间的牢固性,需要对打磨后的光纤端面进行改性处理。首先,将光纤端面放入体积比为1:1:1.5的氨水、过氧化氢和水混合溶液中,浸泡1 h,取出后用去离子水进行清洗,吹干。随后,将处理后的光纤放入弱酸性的TMSPMA 、水和乙醇的混合溶液中,浸泡1 h,取出后用乙醇进行清洗,吹干。将光纤端面使用锡纸进行包覆,锡纸中加入1 ml的去离子水,放入烘箱100℃加热30 min。将加热完成的光纤端面放入0.5 wt%的TPO的乙酸乙酯溶液中浸泡5 min,取出后自然晾干备用。

2.4. 水凝胶波导的制备

水凝胶前驱体混合溶液的制备:AM、PEG(600)DA和MBA按质量比20:10:1的比例加入到甲醇溶液中,搅拌溶解。在混合溶液中加入0.5 wt%的TPO、5 wt%的单宁酸、10 wt%的去离子水和30 wt%的甘油,室温遮光搅拌1 h,直至溶液完全透明。将前驱体混合溶液放入蒸发皿,90℃加热1.5 h除去前驱体混合溶液中的甲醇,静置冷却,脱泡后遮光冷藏保存备用。

本文利用激光诱导自聚焦成型技术来制备水凝胶波导[17] [18],实验装置如图2(a)所示。首先,将纤芯直径为400 μm的光纤固定于精密光学移动平台夹具上,调节光纤位置,确保光纤纤芯对准。随后,在纤芯下方放置玻璃基板,并滴加前驱体混合溶液。将光纤两端沿轴向拉伸至预定的波导生长距离。其次,将405 nm激光分别接入至光纤,调整激光器输出至100 μW。在激光照射下,前驱体混合溶液发生自由基聚合反应,自光纤端口向混合液内部生长出波导结构。双向生长的光波导在中间对接,形成一根同轴无缝衔接的光波导。如图2(b)所示。最后,用吸水纸将波导表面残留的前驱体混合溶液擦拭干净,将激光器功率调至1 mW,持续5 min,以充分固化水凝胶光波导。为避免损坏,将其固定在玻璃基板上。最终,取下水凝胶波导传感器(光纤–水凝胶波导–光纤),并将其置于90℃加热台上静置加热30 min,以进一步稳定波导的性能。

(a) 水凝胶波导制备装置示意图

(b) 水凝胶聚合物光波导

Figure 2. Preparation device and hydrogel polymer waveguide preparation device

2. 水凝胶波导制备装置及水凝胶波导

2.5. 水凝胶波导特异性处理

取5 μL浓度为1.0 × 105 M的溴酚蓝和1.2 × 101 M 硫酸羟胺混合溶液,将其均匀涂敷于水凝胶波导表面。此时,由于水凝胶波导的吸水膨胀,波导发生弯曲,如图3(a)所示。此时,溴酚蓝和硫酸羟胺会随之渗透至水凝胶波导内部。观察波导弯曲情况,待水分挥发,波导形状恢复后(图3(b))再次涂敷,重复此过程3次。涂敷完成后将水凝胶波导传感器放入真空干燥箱中,真空干燥2 h,防止其吸潮影响下一步的检测。

(a) 溴酚蓝混合溶液涂敷到波导表面

(b) 停止涂敷后波导恢复

Figure 3. Bromophenol blue mixture solution applied to the surface of the waveguide

3. 溴酚蓝混合溶液涂敷到波导表面

2.6. 溴酚蓝吸收光谱检测

从真空干燥箱中取出水凝胶波导传感器放置到如图4所示的密闭测试盒中。将白光源(Idea Optics HL2000)通过光纤与水凝胶波导传感器连接,在测试盒中注入甲醇、丙酮的混合气体,将传感器与光谱仪(Idea Optics PG2000-pro)连接,光谱仪将收到的信号传输到电脑进行信号处理。

Figure 4. Absorption detection device

4. 吸收检测装置

3. 结果与讨论

3.1. 光纤研磨效果分析

抛光前后光纤端面的显微镜照片如图5所示。从图中可以清晰地看出,研磨抛光前,光纤端面存在明显的划痕和不规则性,导致光线散射和损耗。经过多级砂纸的精细研磨和抛光后,光纤端面变得光滑平整,显著降低了光线散射和损耗,提高了光纤的传输效率和准直性,研磨抛光后的光纤端面质量明显提升,为后续水凝胶波导的制备和光传输实验奠定了良好的基础。

3.2. 水凝胶波导的渗透性

由于丙酮分子需要渗透至水凝胶波导内部与硫酸羟胺反应,因此对水凝胶波导的渗透性进行验证至关重要。考虑到丙酮本身无色无味,为便于实验观察,本研究选用羟丙基–环糊精包覆的4-(-二甲基氨基苯乙烯基)甲基苯磺酸盐(DAST@HP-β-CD)作为示踪分子,以评估水凝胶的渗透性能。DAST@HP-β-CD不仅具有良好的水溶性,能够在532 nm激光激发下发出610 nm的荧光[19] [20],而且其荧光量子效率高[21] [22],非常适合水凝胶渗透性的检测。

Figure 5. Photo of grinding and polishing of fiber end face

5. 光纤端面研磨及抛光照片

将水凝胶波导浸泡在1 × 103 M的DAST@HP-β-CD水溶液中1 min,取出后吹干波导表面残留溶液。使用光纤切割刀将水凝胶波导从中间切割成两段,取其中一段,通入532 nm激光,并在显微镜下观察切割面的出光变化。观察结果如图6所示。图6(a)为未浸泡DAST@HP-β-CD的水凝胶波导的切面出光照片,可以明显发现在切面仅存在532 nm的绿色激光。图6(b)为浸泡DAST@HP-β-CD溶液1 min的切面出光照片,可以清晰地观测到整个切面均呈现DAST@HP-β-CD的荧光。实验结果表明,水凝胶波导内部存在大量孔隙,使得荧光材料在吸水过程中能够渗透至波导内部,实现对波导内部的有效染色。

(a) (b)

Figure 6. Photograph of the light output of the waveguide section

6. 波导切面的出光情况照片

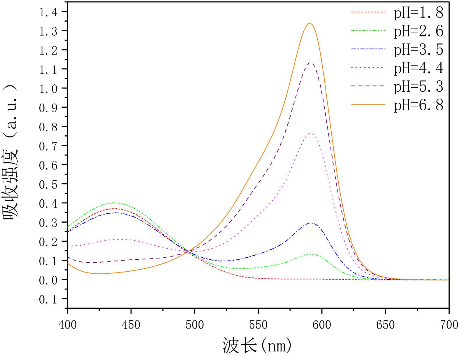
3.3. 溴酚蓝吸收光谱

图7(a)展示了不同pH值下浓度为1.0 × 104 M,溴酚蓝溶液在紫外–可见光分光光度计(Shimadzu UV-2600)中测得的吸收光谱。结果表明,在pH6.8时,溴酚蓝溶液的主吸收峰位于590 nm左右,并随着pH值的降低,590 nm处的吸收强度逐渐降低。图7(b)为溴酚蓝溶液吸收峰值与pH值的关系曲线。可以看出,pH在3.5~5.5范围内,溴酚蓝的吸收强度变化最为显著,且呈良好的线性关系。因此,该特性可用于溶液中H+ 浓度的定量检测。考虑到水凝胶波导涂敷硫酸羟胺和溴酚蓝混合溶液后,内部水分的挥发可能导致pH值过度降低,实验中使用NaOH溶液将波导的pH值预调至约6,以供后续测量使用。

(a) 不同pH值的溴酚蓝溶液的吸收光谱 (b) 吸收光谱峰值与pH值的关系

Figure 7. Absorption spectra and peak values of bromophenol blue solution at the same pH

7. 不同pH值的溴酚蓝溶液的吸收光谱及吸收光谱的峰值图

3.4. 甲醇与二氧化碳对丙酮检测的影响

为精确控制丙酮的投入量,实验中将丙酮溶解于甲醇中(0.05vol%)用于对水凝胶波导的标定。同时,在测量呼出气体中的BrAce时,通常存在大量二氧化碳(CO2)。CO2溶于水后会形成碳酸(H2CO3)从而影响溶液的pH值。因此,有必要单独验证甲醇气体和CO2气体是否会对BrAce的检测产生干扰。实验中,向测试盒中加入5 μL甲醇并使其挥发,待水凝胶波导传感器吸附甲醇气体后,测得的吸收光谱如图8(a)所示。向测试盒中注入10 vol%的CO2气体,待水凝胶波导传感器吸附CO2后,测得的吸收光谱如图8(b)所示。观察图8可知,两种气体在约605 nm处的吸收峰均未出现明显降低。这表明,在实验条件下,甲醇气体和CO2气体不会对丙酮气体的检测产生显著影响。在前文中,我们提到溴酚蓝在pH 6.8时的主吸收峰位于约590 nm处。然而,在实际的水凝胶波导传感器中,由于水凝胶基质、羟胺硫酸盐等组分的存在,以及微环境的差异,溴酚蓝的吸收峰会发生一定程度的红移。因此,在甲醇和CO2气体干扰实验中,我们观察到吸收峰位于约605 nm处,这是可以接受的。为了保证实验的准确性,在后续的丙酮气体检测实验中,我们将在相同的实验条件下,以605 nm处的吸收峰变化作为检测依据。

3.5. 检测丙酮气体及BrAce的检测

实验中将5 μL丙酮溶解于10 mL的甲醇溶液中并充分混合。取5 μL混合溶液注入体积为0.8 L的测试盒中,待其蒸发后得到丙酮气体,此时丙酮气体的浓度约为0.9 ppm。所测得光谱如图9(a)所示。观察图9(a)可知,随着吸附时间的增加,测试盒内的丙酮气体逐渐渗透至水凝胶波导内部,并与硫酸羟胺发生反应生成H+,导致溴酚蓝在605 nm处的吸收峰强度逐渐降低。与初始比吸收峰强度相比,经过45 min的吸附,吸收值降低了0.05,达到了可观测的范围,表明该传感器可用于BrAce的检测。

在人体BrAce的检测中,我们选择了一名无糖尿病的健康男性,向测试盒中吹入0.8 L气体。为除去气体中的水分,气体通过氯化钙进行了干燥。如图9(b)所示,水凝胶波导的检测结果显示吸收强度降低0.03,对应于低于0.96 ppm的BrAce浓度水平,符合健康男子BrAce的预测。这证明该水凝胶波导传感器能够有效检测人体呼出气体中的BrAce。

(a) 接触甲醇气体随时间变化的吸收光谱 (b) 接触CO2随时间变化的吸收光谱

Figure 8. Effects of methanol and CO2 on the absorption spectra of hydrogel waveguides

8. 甲醇气体和CO2气体对水凝胶光波导吸收光谱的影响

(a) 接触0.9 ppm丙酮随时间变化的吸收光谱 (b) 接触BrAce随时间变化的吸收光谱

Figure 9. Time dependent absorption spectra of hydrogel waveguide exposed to 0.9 ppm acetone gas and BrAce

9. 水凝胶波导接触0.9 ppm丙酮气体和BrAce随时间变化的吸收光谱

4. 结论

本研究成功开发了一种可以检测BrAce气体的水凝胶波导传感器,为糖尿病患者的无创、无痛检测提供了一种新思路。该传感器利用水凝胶波导的三维多空微观结构,使丙酮气体能够高效渗透至波导内部,与硫酸羟胺反应,提高了检测效率。此外,水凝胶波导传感器具有体积小、便携性强的特点,极大地提高了检测的便捷性。实验表明,水凝胶波导传感器能够有效检测浓度低于 1 ppm的丙酮气体,并成功检测出健康成年人呼出气体中的丙酮,实现了超低浓度级别丙酮气体的有效检测。在后续实验中,我们将进一步验证BrAce气体浓度与患者血糖水平的对应关系,为实现糖尿病患者的无创、无痛血糖检测奠定基础。

基金项目

上海市自然科学基金(20ZR437400)。

NOTES

*第一作者。

#通讯作者。

参考文献

[1] Hao, X., Wu, D., Wang, Y., Ouyang, J., Wang, J., Liu, T., et al. (2019) Gas Sniffer (YSZ-Based Electrochemical Gas Phase Sensor) toward Acetone Detection. Sensors and Actuators B: Chemical, 278, 1-7.
https://doi.org/10.1016/j.snb.2018.09.025
[2] Di Natale, C., Macagnano, A., Martinelli, E., Paolesse, R., D’Arcangelo, G., Roscioni, C., et al. (2003) Lung Cancer Identification by the Analysis of Breath by Means of an Array of Non-Selective Gas Sensors. Biosensors and Bioelectronics, 18, 1209-1218.
https://doi.org/10.1016/s0956-5663(03)00086-1
[3] Pauling, L., Robinson, A.B., Teranishi, R. and Cary, P. (1971) Quantitative Analysis of Urine Vapor and Breath by Gas-Liquid Partition Chromatography. Proceedings of the National Academy of Sciences of the United States of America, 68, 2374-2376.
https://doi.org/10.1073/pnas.68.10.2374
[4] Wang, C., Mbi, A. and Shepherd, M. (2010) A Study on Breath Acetone in Diabetic Patients Using a Cavity Ringdown Breath Analyzer: Exploring Correlations of Breath Acetone with Blood Glucose and Glycohemoglobin A1C. IEEE Sensors Journal, 10, 54-63.
https://doi.org/10.1109/jsen.2009.2035730
[5] Li, C., Kim, K., Fuchigami, T., Asaka, T., Kakimoto, K. and Masuda, Y. (2023) Acetone Gas Sensor Based on Nb2O5 @SnO2 Hybrid Structure with High Selectivity and PPT-Level Sensitivity. Sensors and Actuators B: Chemical, 393, Article ID: 134144.
https://doi.org/10.1016/j.snb.2023.134144
[6] Kim, K., Choi, P.G., Itoh, T. and Masuda, Y. (2022) Atomic Step Formation on Porous ZnO Nanobelts: Remarkable Promotion of Acetone Gas Detection up to the Parts per Trillion Level. Journal of Materials Chemistry A, 10, 13839-13847.
https://doi.org/10.1039/d2ta02789e
[7] Singh, M., Kaur, N., Drera, G., Casotto, A., Sangaletti, L. and Comini, E. (2020) SAM Functionalized ZnO Nanowires for Selective Acetone Detection: Optimized Surface Specific Interaction Using APTMS and GLYMO Monolayers. Advanced Functional Materials, 30, Article ID: 2003217.
https://doi.org/10.1002/adfm.202003217
[8] Chuang, M., Lin, Y., Tung, T., Chang, L., Zan, H., Meng, H., et al. (2018) Room-Temperature-Operated Organic-Based Acetone Gas Sensor for Breath Analysis. Sensors and Actuators B: Chemical, 260, 593-600.
https://doi.org/10.1016/j.snb.2017.12.168
[9] Majhi, S.M., Ali, A., Greish, Y.E., El-Maghraby, H.F. and Mahmoud, S.T. (2023) V2CTX MXene-Based Hybrid Sensor with High Selectivity and Ppb-Level Detection for Acetone at Room Temperature. Scientific Reports, 13, Article No. 3114.
https://doi.org/10.1038/s41598-023-30002-6
[10] Salehi, S., Nikan, E., Khodadadi, A.A. and Mortazavi, Y. (2014) Highly Sensitive Carbon Nanotubes-SnO2 Nanocomposite Sensor for Acetone Detection in Diabetes Mellitus Breath. Sensors and Actuators B: Chemical, 205, 261-267.
https://doi.org/10.1016/j.snb.2014.08.082
[11] Obeidat, Y. (2021) The Most Common Methods for Breath Acetone Concentration Detection: A Review. IEEE Sensors Journal, 21, 14540-14558.
https://doi.org/10.1109/jsen.2021.3074610
[12] Li, C., Choi, P.G., Kim, K. and Masuda, Y. (2022) High Performance Acetone Gas Sensor Based on Ultrathin Porous Nio Nanosheet. Sensors and Actuators B: Chemical, 367, Article ID: 132143.
https://doi.org/10.1016/j.snb.2022.132143
[13] Wang, D., Zhang, F., Prabhakar, A., Qin, X., Forzani, E.S. and Tao, N. (2020) Colorimetric Sensor for Online Accurate Detection of Breath Acetone. ACS Sensors, 6, 450-453.
https://doi.org/10.1021/acssensors.0c02025
[14] 谭冰, 蔡斌. 高折射率镀膜聚合物波导传感器的制备[J]. 光学仪器, 2022, 44(1): 87-94.
[15] 罗洪, 蔡斌. 水凝胶波导探针的制备及对罗丹明B的超高灵敏检测[J]. 光学仪器, 2024, 46(2): 1-6.
[16] Henari, F.Z., Al-Saie, A. and Culligan, K.G. (2012) Optical Limiting Behavior of Bromophenol Blue and Its Dependence on pH. Journal of Nonlinear Optical Physics & Materials, 21, Article ID: 1250015.
https://doi.org/10.1142/s0218863512500154
[17] 徐莹莹, 蔡斌. 涂覆高折射率树脂薄膜的聚合物波导传感器的制备[J]. 光学仪器, 2022, 44(6): 80-86.
[18] 倪天成, 蔡斌. 基于水凝胶聚合物波导传感器检测盐酸吖啶黄[J]. 光学仪器, 2024, 46(2): 1-6.
[19] Marder, S.R., Perry, J.W. and Yakymyshyn, C.P. (1994) Organic Salts with Large Second-Order Optical Nonlinearities. Chemistry of Materials, 6, 1137-1147.
https://doi.org/10.1021/cm00044a012
[20] Marder, S.R., Perry, J.W. and Schaefer, W.P. (1989) Synthesis of Organic Salts with Large Second-Order Optical Nonlinearities. Science, 245, 626-628.
https://doi.org/10.1126/science.245.4918.626
[21] Tian, T., Cai, B. and Sugihara, O. (2016) DAST Single-Nanometer Crystal Preparation Using a Substrate-Supported Rapid Evaporation Crystallization Method. Nanoscale, 8, 18882-18886.
https://doi.org/10.1039/c6nr07378f
[22] 许川, 蔡斌. DAST@HP-β-CD超分子体系溶液的多光子泵浦激射[J]. 光学仪器, 2022, 44(2): 51-58.