1. 引言
超音速火焰喷涂(HVOF)工艺过程相对简单,在喷涂工程中由于火焰温度高,焰流刚性强,经焰流作用的喷涂粒子具有极高的速度,使得喷涂的涂层涂覆致密,并且粉体适用范围较宽,在石油化工航空航天、船舶制造等领域被广泛应用于防腐耐蚀涂层的制备和修复[1] [2]。但超音速火焰喷涂(HVOF)工艺也是一个复杂的物理化学过程,在不同的工艺条件下,会得到不同质量的涂层[3] [4]。王博等人采用超音速火焰喷涂(HOVF)系统在Q235钢表面制备了WC-10Co-4Cr涂层,并采用正交实验方法研究了喷涂距离和煤油/氧气流量等工艺参数对涂层孔隙率和显微硬度的影响[5]。周建新等人通过超音速火焰喷涂(HOVF)方法在310S不锈钢表面制备了具有不同Cr/Ce配比的Cr/CeO2抗结焦涂层,热涂层与炉管金属基底呈锯齿状键合,涂层厚度均匀,且孔隙较少,抑制结焦效果优异[6]。
目前,作者所在实验室基于广东省新材料研究院和国家稀散金属工程技术研究中心等相关研究机构的研究成果,正在开发适用于超音速火焰喷涂方法的钙钛矿粉体材料制备工艺。超音速火焰喷涂过程是包含燃料和氧气的燃烧、喷嘴对焰流的缩放及焰流与粉体的耦合等一系列复杂的物理化学过程,颗粒沉积的状态受到氧油比、粉体注入速率、喷涂距离等多重因素的影响[7]。因此,为了提高抗结焦涂层的涂覆效果,除了基于实验的考察分析和材料表征之外[8] [9],还需要对喷涂中的过程机理进行探索。基于此,本文以实验室开发的La1-xSrxMnO3粉体为目标涂覆材料,借助数值模拟的方法对超音速火焰喷涂过程进行仿真,研究了热喷涂过程中的焰流特性和La2O3粒子飞行特性,分析了氧油比、颗粒粒径以及喷涂距离对超音速喷涂制备涂层过程的影响,进而获得相对较佳的喷涂工艺参数。
2. 超音速火焰喷涂系统模型的建立与求解
本研究拟采用JP8000型喷涂系统进行La1-xSrxMnO3钙钛矿涂层的制备。其中喷涂系统示意图和具体结构尺寸如图1所示,从左到右依次为燃料和氧气的入口、燃烧室、拉瓦尔喷嘴、喷管、空气域以及涂层基板。热喷涂过程中,煤油和氧气在燃烧室中混合燃烧并产生高温高压气体,气体通过拉瓦尔喷管被进一步加速到超音速。粉体从注入口垂直注入之后迅速与高温高压的焰流作用,从喷枪中喷出并撞击基底,沉积形成涂层。在模拟计算中,另外设置长度和宽度分别为400 mm (喷涂距离)和160 mm的矩形域作为外部流场。
Figure 1. Schematic diagram of JP8000 supersonic spraying system
图1. JP8000超音速喷涂系统示意图
采用ICEM软件对计算区域进行几何建模及网格划分。考虑到喷涂系统的几何结构特征,可将具有圆柱特征结构的喷涂系统简化为二维几何模型。图2为几何网格模型划分及边界的设置情况。同时,对几何结构网格模型进行了网格无关性验证,研究了网格数量对火焰流动压力、速度和温度的影响。在HVOF热喷涂过程中,火焰流动的温度和速度是至关重要的变量,因此确保这两个变量不受网格数量的影响具有重要意义。在35183、63667和115212网格单元数处对结果进行了对比验证,发现网格单元数为63667与网格单元数为115212的结果基本一致。为节省计算资源,本模型采用网格数为63667的网格。
Figure 2. Modeling and meshing of thermal spraying system
图2. 热喷涂系统的建模及网格划分
1) 气体流动模型
边界条件的正确选择影响到计算的收敛情况及计算结果的准确性。在模拟中,燃烧室及喷枪壁面实际使用冷却水冷却,因此选择恒温非滑移壁面(Wall)作为其边界条件;燃料和氧气按一定质量流量注入燃烧室中,因此入口选择质量入口边界调节(Mass Flow Inlet);空气域为实际的大气压环境,因此选择压力出口边界条件(Pressure Outlet)。由于喷涂火焰属于湍流可压缩流动,故将其设为可压缩理想气体,采用可实现(Realizable) k-ϵ模型求解,其笛卡尔张量控制方程如下[10]-[12]。
质量守恒方程:
 (1)
                                 (1)
其中ρ为流体密度,kg/m3;t为湍流环境温度; 为i方向的坐标;
为i方向的坐标; 为i方向的速度,m/s;
为i方向的速度,m/s; 为源项。
为源项。
动量守恒方恒:
 (2)
                    (2)
其中 为j方向的坐标;
为j方向的坐标; 为j方向的速度,m/s;
为j方向的速度,m/s; 为i和j方向的偏应力张量。
为i和j方向的偏应力张量。
能量守恒方程:
 (3)
                 (3)
 (4)
                         (4)
有效导热系数:
 (5)
                                  (5)
其中 为湍流和非湍流流动动能的有效值;T为温度,K;
为湍流和非湍流流动动能的有效值;T为温度,K; 为化学反应源项,
为化学反应源项, 为湍流和非湍流粘度相加的有效值;
为湍流和非湍流粘度相加的有效值; 为在i和j方向的克罗内克符号;
为在i和j方向的克罗内克符号; 为热导率,W/m∙K;
为热导率,W/m∙K; 为比热容,J/kg K;
为比热容,J/kg K; 为湍流粘度,kg/m∙s;
为湍流粘度,kg/m∙s; 为湍流普朗特数。
为湍流普朗特数。
组分输运模型[13]:
 (6)
                           (6)
其中 为每个组分的质量分数;
为每个组分的质量分数; 为质量扩散通量;
为质量扩散通量; 为组分的净产出率;
为组分的净产出率; 为某组分的产出率。
为某组分的产出率。
2) 燃烧模型
在本模拟过程中,采用了Magnussenet等人[14]提出的涡流耗散模型(EDM)。该模型假定燃烧速率由燃料和氧化剂的混合速率决定。燃料的体积消耗率为[15] [16]:
 (7)
                          (7)
其中
 (8)
                                  (8)
 (9)
                                  (9)
经验常数A = 4,B = 0.5。
在热喷涂系统中,将航空煤油和氧气分别作为燃料和氧化剂,并采用分子式C12H23代表煤油,最终氧化燃烧反应的副产物为H2O和CO2。当燃烧室的温度达到2000℃时,H2O和CO2还会分解成许多分子量较轻的组分,除了可燃性气体H2和CO外,还有一些原子结构组分,如O、H、OH [17]。参考Kundu等人[18]提出的煤油燃烧详细反应机理,模拟过程采用一步反应形式的化学平衡方程[11]。
3) 离散相模型
在热喷涂过程中,将焰流作为连续相,固体颗粒视为离散相。采用ANSYS Fluent软件中内置的拉格朗日相模型考察离散相与连续相之间的相互作用[19],该方法不仅可以计算出连续相与离散相之间的传热和动量传递,还可以获得离散项实体的轨迹。计算离散相在连续相之中的轨迹。在热喷涂中,颗粒主要受阻力影响,颗粒运动方程为[8]:
 (10)
                    (10)
其中 为粒子阻力系数;
为粒子阻力系数; 为气相速度;
为气相速度; 为粒子速度;
为粒子速度; 为粒子截面积;
为粒子截面积; 为外力。
为外力。
由于HVOF热喷涂过程中颗粒Biot数通常小于1/10 [20],因此假设颗粒内部的电阻和温度梯度为零。同时,忽略辐射换热的影响,单个粒子的能量平衡方程为[7]:
 (11)
                          (11)
其中 为粒子质量,
为粒子质量, 为粒子比热,
为粒子比热, 为粒子温度,
为粒子温度, 为气体温度。
为气体温度。
4) 边界条件
将热喷涂的工艺参数包括煤油流量、氧气流量、粉体粒径汇总,结果见表1。测试测得钙钛矿粉体的热物理参数,结果见表2。
Table 1. Spraying process conditions of JP8000 supersonic flame spraying system
表1. JP8000超音速火焰喷涂系统喷涂工艺条件
 
  
    | 序号 | 煤油流量/(kg∙s−1) | 氧气流量/(kg∙s−1) | 粒径/µm | 
  
    | 1 | 0.002 53 | 0.0104 | 5~50 | 
  
    | 2 | 0.002 53 | 0.0104 | 5~50 | 
  
    | 3 | 0.002 53 | 0.0104 | 5~50 | 
  
    | 4 | 0.002 53 | 0.0104 | 5~50 | 
  
    | 5 | 0.002 53 | 0.0104 | 5~50 | 
 Table 2. Melting point parameters of compounds decomposed at high temperature of La0.75Sr0.25MnO3
表2. La0.75Sr0.25MnO3高温分解的化合物熔点参数
 
  
    | 化合物 | 熔点/℃ | 
  
    | La2O3 | 2315 | 
  
    | MnO2 | 535 | 
 3. 模拟结果分析
3.1. 氧油比对焰流的影响
氧油比(O/F)是影响喷涂过程中火焰流动特性的一个重要因素。为了进一步探索该因素的作用规律,模拟过程中将煤油和氧气的总流量设置为0.02531 kg/s,考察了5种代表性的O/F比率情况,即2.0、3.0、3.6、4.5和5.6。图3(a)~(c)展示了不同O/F比率对火焰流动特性的影响。如图3(b)和图3(c)所示,当O/F为3时,燃烧室中心线的最大速度约2350 m/s,最高温度约3250℃,相较于其他O/F比率,此时煤油和氧气燃烧更为充分,焰流处于最佳状态。
(a) 不同O/F的焰流压力变化
(b) 不同O/F的焰流速度变化
(c) 不同O/F的焰流温度变化
Figure 3. Changes in pressure, velocity and temperature along the center axis of the burner under different O/F conditions
图3. 不同O/F条件下喷枪中心轴线上压力、速度和温度的变化
3.2. 火焰流动特性和燃烧组分质量分数
图4为未加入粉体颗粒时,喷涂过程中火焰流场压力、速度和温度分布的云图,其中,煤油和氧气的总流量为0.02531 kg/s,氧油比O/F为3。在热喷涂过程中,液态煤油和氧气注入燃烧室后迅速混合,混合物经氧化燃烧形成高温高压的气体。随后,气体经过拉瓦尔喷嘴发生膨胀效应导致气体速度急剧增大,最终形成了超音速火焰流体。
图4(a)为流动压力变化过程。燃烧室入口位置火焰压力最大达到1.1 MPa,其他位置处压力分布基本恒定,达到0.98 MPa。由于拉瓦尔喷管的收敛作用,压力急剧下降,之后波动较小,在平行喷管内逐渐上升到0.15 MPa。在筒体出口附近,压力轮廓出现明暗“点状团聚”的马赫锥现象。喷涂过程中火焰流流速变化情况如图4(b)所示。由图可知,燃烧室内火焰流动速度较低,入口处在低速区,燃烧室其他位置处速度均匀分布在230 m/s左右。云图在对称轴上显示出流线型带。由于喷嘴形状的限制,焰流速度略有下降。当火焰流通过喷嘴时,焰流速度最大接近2250 m/s,实现了从亚音速到超音速的过渡。焰流速度在平行管内部波动较小,逐渐降至约1600 m/s,喷枪出口振动衰减明显,峰值约2500 m/s。之后呈现递减的变化,在距出口约25 cm处下降到0 m/s。当火焰流到达衬底时,会出现明显的“中空”现象。
喷涂过程中火焰焰流温度变化情况如图4(c)所示。温度剖面以枪身中心线为对称轴,上下对称分布。由于拉瓦尔喷嘴形状的限制,温度有一个急剧的收敛变化。筒内温度场沿流动方向呈离散的“点状团聚”分布。
(a) 轴向压强变化
(b) 轴向速度变化
(c) 轴向温度变化
Figure 4. Cloud map of pressure, velocity and temperature distribution of flame flow field during spraying process
图4. 喷涂过程中火焰流场压力、速度和温度分布的云图
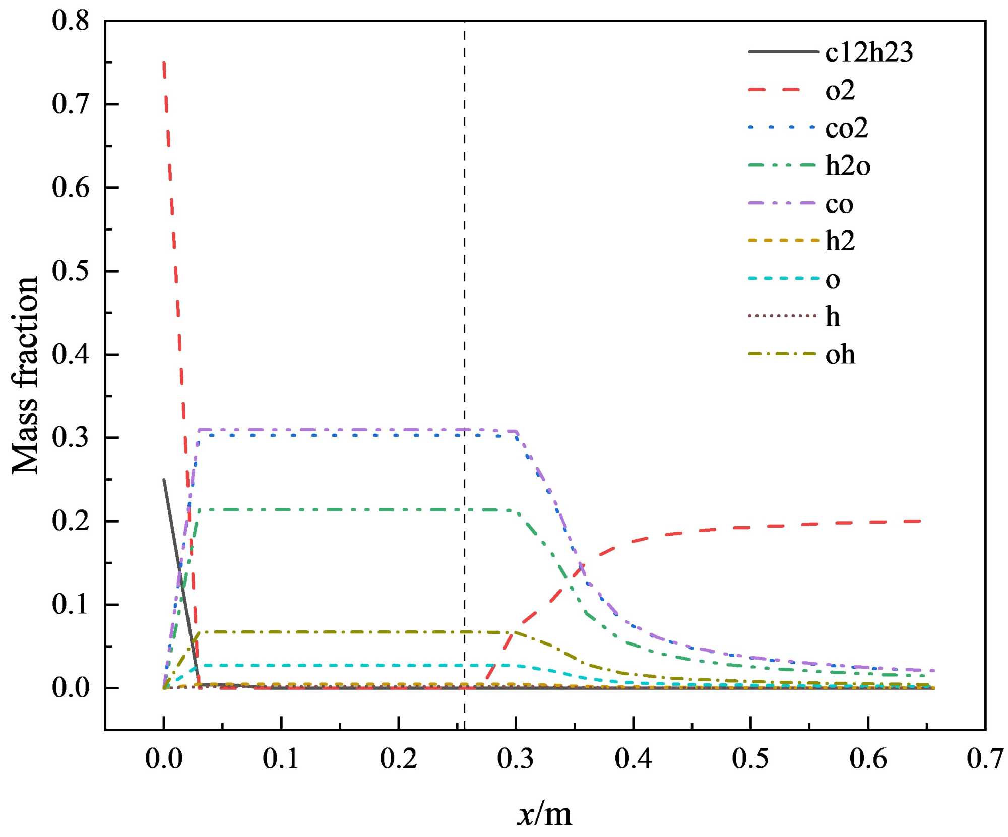
反应产物组分的质量分数云图如图5所示。用函数图显示各组分沿x轴的浓度变化,如图7所示。由图5的计算可知,喷入燃烧室的煤油在轴向瞬时浓度较高。随着与氧气混合的加剧且完全燃烧,煤油消耗迅速,而氧气作为助燃气体使用,入口浓度比较大,消耗相同。燃烧产物CO2、H2O、CO浓度较高,其他产物浓度较低。计算结果定量地揭示了参与程度以及不同产品在火焰流射流过程中的分布情况。
图6显示,氧浓度在进口位置区域很高,这是因为进口氧气的质量分数设置为0.75,而煤油组分的质量添加比例为0.25。在燃烧室入口附近,随着燃烧的进行,氧气和煤油的质量逐渐下降,而其他燃烧产物的质量分数迅速增加;在远离燃烧室以及枪管处的各组分质量分数几乎恒定,表明燃烧室以及燃烧过程趋于恒定。在富含煤油的状态下,氧气被完全消耗掉,这有助于降低微粒被氧化的风险。在枪管外,空气中的氧气穿透火焰流,使氧气含量慢慢增加到0.21。当焰流达到空气域,组分与空气进一步稀释,质量分组出现了降低的情况。
(a) C12H23                                             (b) O2
(c) CO2                                              (d) H2O
(e) CO                                             (f) H2
(g) O                                            (h) H
(i) OH
Figure 5. Cloud map of mass fraction distribution of reaction products
图5. 反应产物的质量分数分布云图
Figure 6. Axial concentration curves of different gas components
图6. 不同气体组分沿轴向的浓度变化曲线
3.3. 颗粒粒径及喷涂距离的影响
当粉体颗粒经焰流作用后,粉体的温度处于液相线附近,颗粒的流动性最好,此时更易形成优质涂层[21]。La0.75Sr0.25MnO3粉体在高温下会进一步分解成La2O3和MnO2,这在课题组之前的研究中已经证实[9]。同时,由于La2O3熔点较高(2315℃),而MnO2在燃烧室温度下已经液化,所以最终模拟的涂层质量主要由La2O3决定。因此,模拟研究主要考虑固相颗粒La2O3与火焰焰流的相互作用,并采用DPM模型求解气固耦合问题。
采用O/F比率为3的模型进行分析,设置粉体入射角为90˚,注入速率为0.00097833 kg/s,得到钙钛矿粉体分解后不同粒径颗粒沿中心线的温度和速度曲线,如图7所示。在整个过程中,未熔化的颗粒可能会聚集和烧结,熔化的颗粒可以相互吸引形成更大的液滴。小颗粒由于其低惯性力矩而沿着气流轨迹飞行,降低了颗粒的沉积效率。大颗粒沿中心轴冲击基材时速度很高,形成具有高结合强度的涂层[13]。由图7(a)可知,当燃料流率为0.02531 kg/s、喷涂距离小于150 mm时,粒径为5 µm的粉体颗粒的温度位于La2O3的液相线附近。说明该粒径条件下的颗粒在飞行过程中可以被完全熔化,达到热喷涂涂层制备的要求。而颗粒粒径大于10 µm时,颗粒温度难以在喷涂过程中被加热到La2O3的熔点值。由图8(a)可知,5 µm粒子由于动量和惯性较小,更容易被焰流加速或被焰流拖拽而减速。当颗粒速度大于火焰速度时,作用在颗粒上的焰流成为阻力,使颗粒速度降低。较大直径的粒子由于惯性而能够保持原有飞行速度,速度在达到最大值后,下降趋势较小粒径颗粒更为平缓。由图7(b)及图8(b)可知,当燃料流率由0.02531 kg/s提高到0.05 kg/s时,粉体颗粒在流场中与焰流作用后,温度及速度变化并不明显。可见,通过提高燃料流率的方法来提升颗粒温度的效果并不明显。
(a) 不同粒径条件下                                    (b) 不同燃料速率条件下
Figure 7. Temperature change curve of powder particles along axial direction
图7. 粉体颗粒沿轴向温度变化曲线
(a) 不同粒径的情况                                  (b) 不同燃料的情况
Figure 8. Change curve of powder particle velocity
图8. 粉体颗粒速度变化曲线
4. 结论
本文以实验室开发的La1-xSrxMnO3粉体为目标涂覆材料,通过几何建模及网格划分软件ICEM建立了JP8000超音速火焰喷枪模型,利用数值模拟软件Fluent对超音速火焰喷涂过程进行仿真,研究了热喷涂过程中的焰流特性和La2O3粒子飞行特性,分析了氧油比、颗粒粒径以及喷涂距离对超音速喷涂制备涂层过程的影响,主要研究结论如下:
1) 模拟结果表明,当氧油比为3时,喷枪内温度最高,燃烧最为充分,焰流的速度最高,焰流处于最佳状态。且此时的氧气可以比较充分地燃尽,排除氧气对颗粒氧化作用的影响。
2) 模拟喷涂颗粒的数据结果表明,在喷枪内加热和加速越慢,充分加热和加速所需的时间相对较长,颗粒的惯性越大,在喷枪外围维持自身的温度和速度的能力就越强。考虑到实际喷涂工况以及喷涂系统对于燃料流率的限制,当燃料流率为0.02531 kg/s、O/F比例为3、喷涂距离小于150 mm时,La0.75Sr0.25MnO3粉体分解得到的粒径小于5 µm的颗粒可以达到La2O3熔点。
基金项目
国家自然科学基金项目(21706159)。
NOTES
*第一作者。
#通讯作者。