基于三方演化博弈的碳中和产业技术创新联合体协同创新研究
Research on Collaborative Innovation of Carbon Neutral Industrial Technological Innovation Consortium Based on Tripartite Evolutionary Game
摘要: 聚焦于多主体共同参与的碳中和产业技术创新联合体,构建碳中和领军企业、学研机构以及政府的三方演化博弈模型,分析各个均衡点的稳定性,并用Matlab进行数值仿真,模拟不同影响因素参数变化下各参与主体的策略选择变化过程。研究结果表明,合理的收益分配系数有助于促进产学研参与合作创新、过高的惩罚力度会抑制产学研协同创新的策略选择。最后,从碳中和企业、学研机构、政府层面提出了促进碳中和技术协同创新的优化策略建议。
Abstract: Focusing on the carbon neutral industrial technological innovation consortium with the participation of multiple actors, a tripartite evolutionary game model of carbon neutral leading enterprises, academic and research institutions and the government was constructed, and the stability of each equilibrium point was analyzed. Numerical simulation was carried out with Matlab to simulate the change process of strategy selection of each participant under the change of parameters of different influencing factors. The results show that reasonable income distribution coefficient is helpful to promote the participation of industry, university and research in cooperative innovation, and too high punishment intensity will inhibit the strategy choice of industry, university and research collaborative innovation. Finally, from the level of carbon neutral enterprises, research institutions and government, the optimization strategy of promoting carbon neutral technology collaborative innovation is proposed.
文章引用:李雪. 基于三方演化博弈的碳中和产业技术创新联合体协同创新研究[J]. 低碳经济, 2025, 14(2): 208-218. https://doi.org/10.12677/jlce.2025.142023

1. 引言

随着全球气候变化问题日益严峻,碳中和成为国际社会广泛关注的焦点。碳中和对重构价值链、产业链、创新链,以及推动新时代经济社会全面绿色转型至关重要。碳中和目标旨在实现二氧化碳等温室气体的净零排放,电力、工业、交通和建筑等行业是我国最主要的碳排放来源,脱碳化在各领域中均难以实现,必须依靠碳中和产业技术。吕昊东等(2024) [1]研究证明合理部署CCUS技术能在实现大规模减排的同时促进经济增长和社会进步,Erdogan S等(2023) [2]发现可再生能源投资和技术有助于减少不同模式的碳排放,Zhang Y L等(2023) [3]探讨发现BECCS技术可以帮助中国煤电行业改造大部分发电机组,从而实现负排放。与此同时,也有学者指出当前碳中和技术创新的难点,如碳封存遇到生态系统变化与海水酸化(邓一荣等,2023) [4]、基础设施短缺(窦立荣等,2023) [5]、碳封存成本过高(邓一荣等,2023;窦立荣等,2023;金伟等,2024) [4]-[6]、捕集效率低(金伟等,2024) [6]等挑战,对此,碳中和技术研发需要学术界、企业、政府以及社会机构的共同努力,加大碳中和技术研发,加快实现碳中和愿景。

近年来,在“双碳”政策的引导下,我国鼓励探索组件碳中和产业技术创新联合体,即碳中和领军企业牵头组建以共同研发创新碳中和技术为纽带联结产学研用和产业链上下游多主体参与,政府和市场力量协同发力的合作组织。但由于创新联合体组建过程中政策不足、运营效率不高(李晋章等,2022;王巍等,2022) [7] [8],合作主体成员认识不一,权责利约定不够明确(高茜滢等,2022) [9],短期收益和市场回报不明显(岳颖初等,2024) [10],难以形成合力。

因此,本文基于演化博弈理论,以碳中和领军企业作为主要研究对象,结合创新联合体中学研机构、政府部门,构建三方演化博弈模型并通过MATLAB进行数值仿真,分析创新收益、奖惩力度等因素对合作主体策略选择的影响作用。探索推动碳中和产业技术创新联合体有效运行的优化策略,使其释放出强劲的发展动力,实现碳中和技术重点项目协同和研发活动一体化,从而推动碳中和进程。

2. 碳中和产业技术协同创新三方演化博弈模型

2.1. 问题描述

碳中和产业技术的研发是一个成本高、周期长、对环境污染较大的过程,因此国家及地方政府鼓励产学研合作创新,更是提出组建领军企业牵头、高校院所支撑、各创新主体相互协同的创新联合体。在此过程中,碳中和领军企业可为碳中和产业技术研发提供资金支持,学研机构带来人才和前沿技术支持,实现资源共享、优势互补,从而加速技术创新以及成果转化。然而合作过程中出现利益分配不合理、出现风险等问题时,合作方考虑自身利益最大化,会出现投机行为、消极态度的情况。本章为了更深入研究多方合作创新时产生的问题,构建领军企业、学研机构、政府组成的三方演化博弈模型,研究影响主体决策选择的多种因素。

2.2. 模型基本假设

假设1:参与博弈的三个主体:领军企业、学研机构、政府在不考虑其他约束条件的“自然”环境下均是有限理性。

假设2:博弈主体行为策略设置如下:领军企业的策略选择空间为 S e = {积极合作创新,投机合作创新},选择积极合作创新的概率为 x[ 0,1 ] ,选择消极合作创新的概率为 1x ;学研机构的策略选择空间为 S a = {积极研发,消极研发},选择积极研发的概率为 y[ 0,1 ] ,选择消极研发的概率为 1y ;政府的策略选择空间为 S p = {严格监管,宽松监管},严格监管的概率为 z[ 0,1 ] ,宽松监管的概率为 1z

假设3:当企业与学研机构均参与构建碳中和技术创新联合体、积极合作创新时,领军企业投入的研发成本为 C e1 ,学研机构投入的研发成本为 C a1 ;碳中和技术助力企业减排,帮助企业提升形象,增强社会认可度,创造的声誉收益为 P e 。双方采取消极合作态度时,企业投入的研发成本为 C e2 ,学研机构投入的研发成本为 C a2 (其中, C a1 > C a2 C e1 > C e2 )。

假设4:参与合作创新的主体可能存在机会主义行为,获取所需资源后消极参与创新联合体对碳中和技术的后续研发。碳中和领军企业消极合作创新的投机收益为 G e ,学研机构消极投入的投机收益为 G a ,双方均消极时双方无法获得投机收益;政府严格监管下,碳中和领军企业与学研机构投机行为受到惩罚分别为 F e F a 。同时,若在学研机构积极参与低碳技术创新时,企业选择消极合作创新,领军企业则会产生潜在损失 L e ,比如声誉损失, F e > G e F a > G a

假设5:政府选择对产学研主体“严格监管”时,因维护创新联合体秩序、提供部分创新资源等,需花费成本 C p1 。为有效促进产学研间的合作创新,对参与合作创新的企业和积极投入的学研机构投入额外的激励成本 R e R a ,包括创新补助、碳中和技术转向支持、人才培养等;而消极监管时,平台投入成本为 C p2 ,此时不对合作主体进行任何奖惩。(其中, C p1 > C p2 >0 )。

假设6:当产学研双方积极参与研发且平台严格监管时,碳中和技术创新获得的收益为 W ,收益分配系数为 μ ,即领军企业所获收益为 μW ,则学研机构所获收益为 ( 1μ )W 。此时因产学研双方均积极研发合作,促进了当地的碳中和发展,政府则可获得地方政府的奖励 R p 。但合作过程中,若学研机构或政府有一方消极参与,合作创新收益为0。

2.3. 模型构建

根据模型假设,领军企业、学研机构、政府三方演化博弈支付收益矩阵如表1所示:

通过支付矩阵表,领军企业选择积极合作创新或消极合作创新的期望收益以及平均期望收益( E 11 , E 12 , E 1 ¯ )分别为:

{ E 11 =yz( C e1 + P e + R e +μW )+y( 1z )( C e1 + P e +μW ) +( 1y )z( C e1 + P e + R e )+( 1y )( 1z )( C e1 + P e ) E 12 =yz( C e2 + G e F e L e )+y( 1z )( C e2 + G e L e ) +( 1y )z( C e2 F e L e )+( 1y )( 1z )( C e2 ) E 1 ¯ =x E 11 +( 1x ) E 12 (1)

Table 1. The mixed strategy game matrix of leading enterprises, research institutions and government

1. 领军企业、学研机构与政府的混合策略博弈矩阵

策略选择

学研机构

政府

严格监管 z

宽松监管 1z

领军企业

积极合作创新 x

积极投入

y

C e1 + P e + R e +μW

C a1 + R a +( 1μ )W

C p1 R e R a + R p

C e1 + P e +μW

C a1 +( 1μ )W

C p2 + R p

消极投入 1y

C e1 + P e + R e

C a2 F a + G a

C p1 R e + F a

C e + P e

C a2 + G a

C p2

投机合作创新 1x

积极投入 y

G e2 + G e F e L e

C a1 + R a

C p + F e R a

G e2 + G e L e

C a1

C p2

消极投入 1y

C e2 L e F e

C a2 F a

C p1 + F e + F a

C e2

C a2

C p2

根据公式(1)得领军企业的复制动态方程为:

F( x )= dx/ dt =x( E 11 E 1 ¯ ) =x( 1x )[ C e2 C e1 + P e + F e z+( L e G e +μW )y+( L e + R e )z ] (2)

同理,学研机构的复制动态方程为:

F( y )= dy/ dt =y( E 21 E 2 ¯ ) =y( 1y )[ C a2 C a1 G a x+( 1μ )Wx+( R a + F a )z ] (3)

政府的复制动态方程为:

F( z )= dz/ dt =z( E 31 E 3 ¯ ) =z( 1z )[ C p1 C p2 F a +( x1 ) F e + R e x+( R a + F a )y ] (4)

2.4. 稳定性分析

根据Friedman提出的演化稳定策略求解方法,可以得出碳中和领军企业、学研机构以及政府三方的复制动态系统的雅可比矩阵为:

J=( ( 2x1 )( G e2 C e1 + P e + F e z G e y + L e z+ L e y+ R e z L e yz+μWy ) x( x1 )( μW + G e L e + L e z ) x( x1 )( F e + L e + R e L e y ) y( y1 )( G a W+μW ) ( 2y1 )( C a2 C a1 + F a z G a y+ R a z+WyμWy ) y( y1 )( F a + R a ) z( z1 )( F e + R e ) z( z1 )( F a + R a ) ( 2z1 )( C p1 C p2 F a F e + F e x+ F a y+ R e x+ R a y ) ) (5)

将8个纯策略均衡点分别代入Jacobian矩阵。以 A 1 ( 0,0,0 ) 为例,代入矩阵 J 得到对应的矩阵 J 1 ,即

J 1 =( C e2 C e1 + P e C a2 C a1 C p2 C p1 + F a + F e ) (6)

将其他均衡点依次代入得到不同均衡下的 J i ( i=1,2,,8 ) 见(表2)。

Table 2. Eigenvalue of equilibrium point

2. 均衡点特征值

均衡点

λ 1

λ 2

λ 3

A 1 ( 0,0,0 )

C e2 C e1 + P e

C a2 C a1

C p2 C p1 + F a + F e

A 2 ( 1,0,0 )

C e1 C e2 P e

C a2 C a1 G a +WμW

C p2 C p1 + F a R e

A 3 ( 0,1,0 )

C e2 C e1 G e + L e + P e +μW

C a1 C a2

C p2 C p1 + F e R a

A 4 ( 0,0,1 )

C e2 C e1 + F e + L e + P e + R e

C a2 C a1 + F a + R a

C p1 C p2 F a F e

A 5 ( 1,1,0 )

C e1 C e2 + G e L e P e μW

C a1 C a2 + G a W+μW

C p2 C p1 R a R e

A 6 ( 1,0,1 )

C e1 C e2 F e L e P e R e

C a2 C a1 + F a G a + R a +WμW

C p1 C p2 F a + R e

A 7 ( 0,1,1 )

C e2 C e1 + F e G e + L e + P e + R e +μW

C a1 C a2 F a R a

C p1 C p2 F e + R a

A 8 ( 1,1,1 )

C e1 C e2 F e + G e L e P e μW

C a1 C a2 F a + G a R a W+μW

C p1 C p2 + R a + R e

由于文章篇幅有限,本文仅对均衡点 A 5 ( 1,1,0 ) A 6 ( 1,0,1 ) 进行分析:

μW G e + L e + P e > C e1 C e2 ( 1μ )W G a > C a1 C a2 时,即企业积极参合作创新的收益(合作创新收益、声誉收益、潜在损失、投机收益)大于其需多付出的研发成本,学研机构积极研发的收益(合作创新收益、投机收益)大于其需多付出的研发创新成本时,企业、学研机构与政府的演化稳定点为 A 5 ( 1,1,0 ) 。在这一均衡状态下,整体演化稳定策略与政府的干预状态无关。此时,政府无需严格的监管,领军企业与学研机构自发达成合作,实现对碳中和产业技术的协同创新突破。

F e + L e + P e + R e > C e1 C e2 F a G a + R a +( 1μ )W< C a1 C a2 F a R e > C p1 C p2 时,即企业选择积极合作创新的收益(声誉收益、政府的奖金、惩罚与潜在损失)大于其需多付出的成本,学研机构积极研发的收益(合作创新收益、投机收益)小于其需多付出的研发创新成本,政府对学研机构消极研发的惩罚金与其对领军企业的奖金之差大于严格监管其多付出的的成本时,企业、学研机构与政府的演化稳定点为 A 6 ( 1,0,1 ) 。在这一均衡状态下,对于企业来说,选择积极合作创新依然有利可图。但对于学研机构不同,即使政府选择严格监管,学研机构依然会选择消极研发。由于创新收益过低,政府增大惩罚力度也于事无补。

3. 算例与仿真分析

本章仅针对最为理想的稳定均衡状态 A 5 ( 1,1,0 ) 做进一步数值仿真分析,用以验证前文对于系统演化稳定性的分析以及探究关键参数对博弈主体行为演化的影响。通过参考相关文献关于产学研协同创新的参数设定方式[11],赋予模型中各参数初始值分别为: C e1 =25 C e2 =5 C a1 =20 C a2 =3 P e =20 G e =30 G a =6 F e =6 F a =8 L e =6 C p1 =8 C p2 =4 R e =5 R a =3 W=70 R p =8 μ=0.6

3.1. 碳中和产业技术合作创新收益对系统演化路径的影响

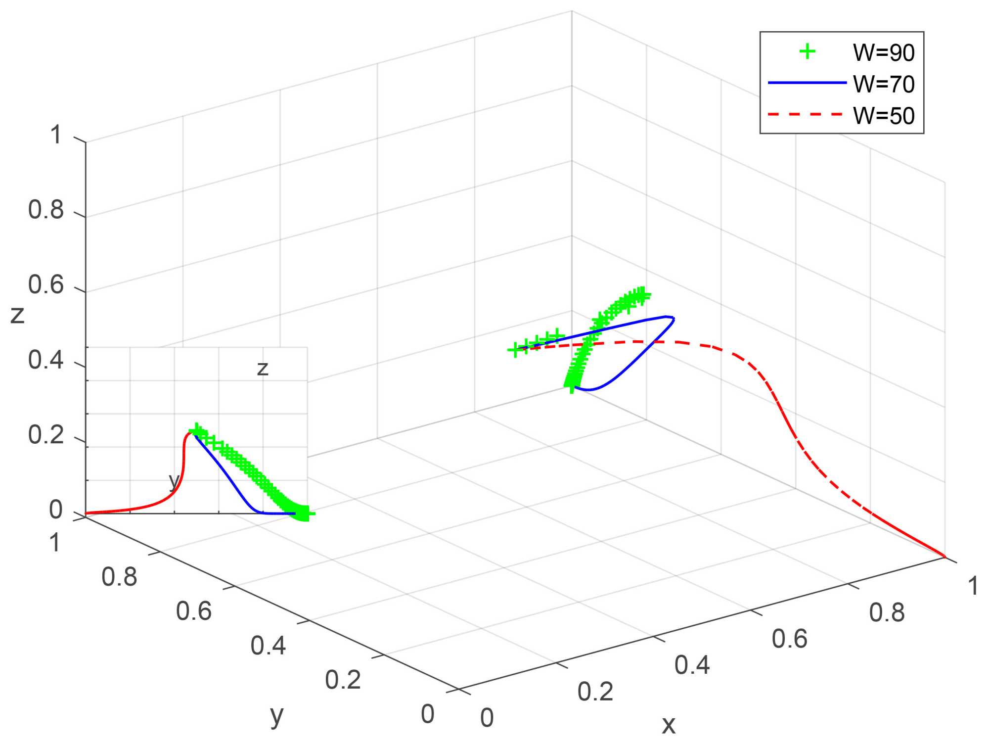
为了研究合作创新收益对系统演化结果的影响,只改变了合作收益 W 的取值,分别为 W=90 W=70 W=50 。仿真结果如图1~3所示。

图1~3可知,产学研合作创新收益的大小对学研机构的决策影响比较大,随着合作收益的减小,学研机构趋向于选择“消极研发”,此时也可以看到一个现象,领军企业在收益变化时仅是延长了“积极合作创新”决策的收敛速度,但仍然不会改变最终策略选择,系统最终演化至平衡点 A 2 ( 1,0,0 ) 。相比学研机构,领军企业没有明显的更改策略选择趋势,说明对于碳中和企业来说,参与合作获取创新收益不是直接的影响因素。

Figure 1. The change of cooperation income is the trend of system evolution

1. 合作收益变化时系统演化趋势

Figure 2. The effect of cooperation income on the evolution strategy of leading firms

2. 合作收益对领军企业演化策略的影响

Figure 3. The effect of cooperation income on the evolution strategy of academic and research institutions

3. 合作收益对学研机构演化策略的影响

3.2. 合作创新收益分配系数对系统演化路径的影响

在本章中,合作创新收益的分配系数决定了领军企业和学研机构的实际收益,对系统演化稳定性具有重要影响。与上面相同,保持其他参数的初始值不变,改变收益分配系数 μ 的取值,分别为 μ=0.7 μ=0.6 μ=0.5 。仿真结果如图4~6所示。

Figure 4. System evolution trend when income distribution coefficient changes

4. 收益分配系数变化时系统演化趋势

Figure 5. The effect of income distribution coefficient on the evolution strategy of leading firms

5. 收益分配系数对领军企业演化策略的影响

Figure 6. The effect of income distribution coefficient on the evolution strategy of academic and research institutions

6. 收益分配系数对学研机构演化策略的影响

图4~6可知,当创新收益分配系数逐渐增大时,领军企业的演化稳定策略没有受影响,而学研机构的演化稳定策略转为“消极研发”,系统的演化稳定点转为 A 2 ( 1,0,0 ) 。对于学研机构来说, μ 的临界值位于0.5~0.6,当 μ 小于该临界值时,系统收敛于 A 5 ( 1,1,0 ) ;当 μ 大于该临界值时,系统收敛于 A 2 ( 1,0,0 ) 。这说明合理的收益分配系数有助于促进产学研双方自愿参与合作创新,形成稳定的创新生态系统。政府在整合创新资源、监管合作方的同时,参与并制定适当的收益分配系数也尤为关键,要客观评估各方的贡献、增强合作的透明度和信任度,以保证产学研各方建立长期合作关系。

3.3. 声誉收益及惩罚力度对系统演化路径的影响

以上分析可知,创新收益对领军企业的决策选择影响不大,则考虑进一步分析影响领军企业消极合作创新的其他因素,比如企业参与碳中和技术合作创新可以带来的声誉收益、政府所设置的奖惩力度等。考虑降低企业的声誉收益以及奖惩力度,设置3组参数分别为( P e =20 , F e =6 , F a =8 )、( P e =15 , F e =3 , F a =4 )、( P e =10 , F e =1 , F a =2 )。仿真结果如图7~9所示。

Figure 7. The change of reputation income and reward and punishment intensity is the trend of system evolution

7. 声誉收益及奖惩力度变化时系统演化趋势

Figure 8. The influence of reputation income and rewards and punishments on the evolution strategy of leading firms

8. 声誉收益及奖惩力度对领军企业演化策略的影响

Figure 9. The influence of reputation income and rewards and punishments on the evolution strategy of academic and research institutions

9. 声誉收益及奖惩力度对学研机构演化策略的影响

图7~9可知,降低企业声誉收益和惩罚力度后,领军企业和学研机构的决策均受到影响,xy均收敛于0,最终平衡点趋向于 A 1 ( 0,0,0 ) 。说明对于企业来说,相对比合作创新产生的收益,更在意的是企业声誉以及惩罚力度,参与碳中和产业技术创新联合体,可以帮助企业提升环境形象,增强社会认可度,从而进一步增强企业在绿色低碳产品市场上的竞争力,以帮助企业带来额外的收入。对于学研机构来说,收益的主要构成即是创新收益与奖惩的总和,当惩罚力度增大时,会抑制学研机构积极研发的意愿。由此可以得出,产学研合作方在面临高风险和高惩罚的情况下,会倾向于选择保守和防御性的策略,减少尝试和探索新的技术和方法。

4. 管理启示

4.1. 政府层面

政府需加强碳中和技术创新战略引领,系统谋划绿色低碳发展前瞻性需求,牵头制定碳中和技术创新的长期战略规划。建立健全知识产权保护法律法规,加强对碳中和技术专利、商标、著作权等的保护,加大对侵权行为的打击力度,提高侵权成本,减少碳中和产业技术协同创新外部性造成的利益折损,为技术创新者营造良好的法律环境。同时,加强协同创新政策支持,优化碳中和产业技术协同创新的补贴政策,如建立补贴动态调整机制[12],根据项目的重要性、创新型等因素确定补贴额度;设立针对碳中和关键技术的专项科研基金,如碳捕捉、利用与封存技术、可再生能源高效转化技术等碳中和技术,给予科研项目充足的资金保障。

4.2. 企业层面

一方面,领军企业应主动承担起引领作用,联合上下游企业共同组建碳中和产业联盟,积极整合产业链资源,共同攻克碳中和产业技术难题。同时,领军企业在分配协同创新收益时,要秉持大局观,制定公平合理的分配方案,不可利用自身优势谋取私利,要综合考虑上下游企业的贡献和发展需求,确保各方在合作中都能获得合理的回报,以维持联合体的稳定合作关系。另一方面,随着《加快构建碳排放双控制度体系工作方案》的发布,碳中和企业应加快研发并运用碳中和技术,关注基础研究的最新突破,积极探索颠覆性的低碳技术,如绿电、绿氢、新型的碳捕获、利用和封存技术(CCUS)等,以及利用人工智能、大数据等技术优化能源管理和生产过程的创新应用。

4.3. 学研机构层面

立足实现碳中和目标,高等院校应加大新工科建设,可通过设立碳中和相关跨学科专业课程,整合环境科学、能源工程、材料学、经济学等多学科知识,培养具备综合知识体系、高层次碳中和创新人才。可建立产学研联合培养模式,与碳中和领军企业合作开展实践教学。学研机构选派学生到企业实习,参与实际项目研发,如围绕二氧化碳捕集、利用、封存等关键技术创新需求,开展碳复排新技术原理研究。另外,学研机构也可与企业合作在其生产基地或特定区域开展碳中和技术成果示范应用项目,通过实际运行效果验证成果的可行性和稳定性,有利于根据应用过程中反馈的问题及时对技术进行优化改进。

参考文献

[1] 吕昊东, 鲁玺, 张贤. 碳中和目标下CCUS技术部署在公正转型中的协同效益[J]. 洁净煤技术, 2024, 30(10): 138-146.
[2] Erdogan, S., Pata, U.K. and Solarin, S.A. (2023) Towards Carbon-Neutral World: The Effect of Renewable Energy Investments and Technologies in G7 Countries. Renewable and Sustainable Energy Reviews, 186, Article 113683.
https://doi.org/10.1016/j.rser.2023.113683
[3] Zhang, Y., Kang, J., Dai, M., Hou, J., Liu, L., Wei, Y., et al. (2023) The Role of BECCS Technology in Achieving Carbon Neutrality: Evidences from China’ Coal Power Sector. Environment, Development and Sustainability.
https://doi.org/10.1007/s10668-023-03842-5
[4] 邓一荣, 汪永红, 赵岩杰, 等. 碳中和背景下二氧化碳封存研究进展与展望[J]. 地学前缘, 2023, 30(4): 429-439.
[5] 窦立荣, 孙龙德, 吕伟峰等. 全球二氧化碳捕集、利用与封存产业发展趋势及中国面临的挑战与对策[J]. 石油勘探与开发, 2023, 50(5): 1083-1096.
[6] 金伟, 李贵弘, 阮虹嘉, 等. 碳中和目标下二氧化碳捕集路径及技术研究进展[J]. 昆明理工大学学报(自然科学版), 2024, 49(3): 265-274.
[7] 李晋章, 张虎翼, 薛雷. 基于创新型领军企业建设创新联合体的模式探析[J]. 科技促进发展, 2022, 18(3): 360-366.
[8] 王巍, 陈劲, 尹西明, 等. 高水平研究型大学驱动创新联合体建设的探索: 以中国西部科技创新港为例[J]. 科学学与科学技术管理, 2022, 43(4): 21-39.
[9] 高茜滢, 吴慈生, 王琦. 基于合作竞争与协同创新的创新联合体研究[J]. 中国软科学, 2022(11): 155-164.
[10] 岳颖初, 霍国庆. 创新联合体利益主体间的利益冲突及博弈研究[J]. 科学学研究, 2024, 42(5): 1088-1097, 1120.
[11] 吴洁, 车晓静, 盛永祥, 等. 基于三方演化博弈的政产学研协同创新机制研究[J]. 中国管理科学, 2019, 27(1): 162-173.
[12] 马宗国, 蒋依晓. 多主体参与的创新联合体稳定策略研究[J]. 科研管理, 2024, 45(10): 56-68.