1. 引言
保险企业作为面向市场,向社会提供保险服务的经营组织,同样面临着市场风险,再保险是降低理赔风险的有效方式,而投资则是最常见的财富增值方式。随着保险业的蓬勃发展,再保险业也越来越壮大。
自从Borch [1]有关再保险的开创性研究问世以来,最优再保险问题已成为学术界广泛关注的焦点,相关研究文献不断涌现。在经济全球化快速发展的今天,保险公司普遍存在横向比较倾向,往往通过与其他保险公司的财务指标对比来评估自身的经营状况和发展水平。Hopkins [2]的研究指出,个体的绩效不仅受自身财富水平的影响,还在很大程度上取决于他人的财富水平,这一现象被称为相对绩效。因此,相对绩效已成为衡量竞争水平的重要标准,而博弈论为深入探究再保险市场中参与者的决策行为提供了坚实的理论基础和方法支撑,保险公司之间的博弈问题已经成为当下的热点。Bensoussan等[3]应用动态规划技术研究了制度转换架构下的非零和再保险投资博弈问题,Wang等[4]研究了当两家保险公司的盈余受到不同风险控制时的最优再保险问题。Chen等[5]研究了两家保险业务相同,但财富和风险偏好不同的保险公司之间的最优保险投资博弈,根据建立数值函数的强对偶关系,提出了一种计算纳什均衡策略的封闭式解决方案。
保险公司和再保险公司的策略可能涉及保费定价、风险分担比例等,在考虑时滞效应的情况下,这些基本概念需要相应扩展,以探讨时滞对决策行为和均衡结果的影响。Elsanousi等[6]为采用动态规划原理或最大值原理来解决这类问题提供了理论基础。阿春香[7]在CEV模型下考虑了时滞最优投资与比例再保险问题,Mao等[8]研究了金融期权估值中的时滞几何布朗运动。
本研究基于时滞效应理论,探讨了保险公司之间以及与再保险公司之间的最优再保险投资策略问题。首先保险公司的索赔过程可由带漂移的布朗运动来近似刻画,其投资组合包含无风险资产和服从Heston随机波动模型的风险资产,在考虑时滞效应的前提下,构建了一个包含n家竞争性保险公司的市场模型,并在期望效用最大化准则下,通过动态规划方法求解了保险公司的最优投资策略和再保险策略的解析解。
2. 模型假设
设
是完备概率空间,过滤
是右连续的且是P完备的,P是实际概率测度;
是到t时间位置的可用信息,本文所有的随机过程都适应于
。
2.1. 保险公司的盈余过程
首先假设在没有进行再保险以及投资的情况下,保险公司i的盈余过程为:
其中,
为初始盈余;
为保险费率;
表示第j个索赔金额的大小,假设
期望为
,方差为
,
是独立同分布的随机变量。每家保险公司都会有一些业务上的重叠,所以为了能体现出各家保险公司之间的相互作用关系,假设
,其中
和
是相互独立的泊松过程,强度分别为
和
,所以
为强度为
的泊松过程,并且假设
和
是相互独立的。假设保险公司在收取保费时采用期望值保费准则进行保价,即保险费率
,其中
表示保险公司i的安全负荷系数。
为了降低保险业务的风险,每家保险公司选择购买比例再保险。假设
是再保险比例,在购买再保险的同时,按照期望值原则计算再保险费用,即保险公司i向再保险公司以
的费率进行保费的支付,其中
为再保险公司的安全负荷系数,则保险公司i的盈余过程变为:
考虑用带漂移的布朗运动来近似累积索赔过程,即
其中,
是标准布朗运动,且任意两个标准布朗运动的相关系数为:
那么保险公司i的盈余过程变为:
               (1.1)
2.2. 金融市场
除了采用比例再保险策略外,保险公司还在由无风险资产和风险资产构成的金融市场中,来进一步进行风险分散和资产配置。无风险资产价格过程
遵循以下的随机微分方程:
其中,r表示无风险利率。风险资产价格过程
用Heston模型来描述:
其中,
且都为常数;
是两个标准的布朗运动,
与
是相互独立的,且
。
2.3. 保险公司的盈余
随机过程
表示保险公司i的交易策略,
表示再保险比例,
表示t时刻投资于风险资产的金额。
是保险公司i在t时刻策略下的财富过程,
为t时刻投资于无风险资产的金额。则在策略
下保险公司i的财富过程满足下列随机微分方程:
             (1.2)
其中,
。
在保险公司的财富动态模型中,时滞效应是一个不可忽视的重要因素。由于保险公司的资金流入和流出通常受到历史业绩的显著影响,因此将时滞效应纳入保险公司的财富过程建模中显得尤为必要。令
、
分别表示保险公司i在过去时间区间
内的平均业绩和点业绩,其中
其中,
,常数
表示第i个保险公司的平均参数,常数是时滞参数,
是指数衰减因子。保险公司财富过程中与历史业绩相关的资金流可以表示为:
其中,
表示时间区间
内的平均财富,
表示时间区间
内的绝对财富。良好的历史业绩不仅能够增强公司的市场信誉,吸引更多的客户和投资者,还能为公司带来更高的收益,从而为股东分红和资本积累提供支持,此时
;相反,如果历史业绩表现不佳,保险公司可能面临资金短缺的风险,需要通过外部融资或调整经营策略来维持正常运营,此时
。为了确保时滞控制问题能够获得解析解,参考Deng等[9],假设资金流用线性函数表达式为:
                         (1.3)
其中,
和
均为非负常数。将(1.3)代入保险公司i的财富过程(1.2)可得
             (1.4)
其中,
。
此外,假设保险公司i在
时刻已经拥有了财富
,即当
时,
。通过简单计算可得
。
定义1.1 (可行策略)对于任意的
,如果策略
满足以下条件,那么就被称为可行策略:
1) 
是
可测的;
2) 
,
且满足
,且
;
3) 
,随机微分方程(1.4)有唯一的解。
对于初始条件记
为所有可行策略的集合,其中
表示保险公司i的可行策略集合。
2.4. 多家保险公司的竞争模型
在激烈的市场竞争中,保险公司往往会将自己的业绩与其他公司进行对比,每家保险公司除了关注自身的最终财富,还会注意与其他公司之间的差异。所以本文用相对财富来描述保险公司之间的竞争行为,保险公司i能够根据其他保险公司的表现动态调整策略,从而更灵活地应对市场变化,优化自身的资源配置。对于第i家保险公司,将其竞争对手的平均财富定义为:
用
表示第i家保险公司相对财富过程,其表达式如下:
                   (1.5)
其中,
表示保险公司i对其他保险公司的财富敏感程度,
越大表示保险公司i对其他保险公司的财富越敏感,结合(1.4)和(1.5),并对
使用伊藤公式可得到
        (1.6)
在保险公司的财富动态分析中,历史经营业绩被视为关键影响因素之一,假设保险公司i同时关注终端财富
和时间段
内的平均财富
,即考虑
,其中
是权重系数,该系数反映了平均财富对终端财富的影响程度。保险公司i的最终目标是寻找最优再保险投资策略最大化T时刻相对于其他保险公司的相对财富的预期效用,即最大化目标函数
            (1.7)
其中,
是保险公司i的效用函数,
,
表示给定
下的条件数学期望。
非零和博弈问题 n家保险公司之间的博弈问题是寻找到一个均衡策略
,对于任意的
,满足
2.5. 模型求解
假设保险公司i满足指数效用函数,即对于
,令
                                   (1.8)
其中,
为保险公司i的风险厌恶系数。通过随机控制理论,定义第i家保险公司的值函数为:
        (1.9)
对于保险公司i,定义微分算子为:
           (1.10)
其中,
为
的导数。
根据动态规划原理,可以推导出HJB方程:
                              (1.11)
由于考虑时滞的最优控制问题通常属于无限维问题,因此要获得解析形式的最优解,必须附加一些额外的约束条件
                              (1.12)
                          (1.13)
由
可得
并需要假设
。
假设值函数的解的形式为:
                   (1.14)
对(1.14)分别求偏导可以得到
                (1.15)
将上述所求偏导代入(1.10)可得
 (1.16)
      (1.16)
由
以及边界条件
,通过分离变量可以求得
                                    (1.17)
分别对(1.11)关于
求一阶导可得
                         (1.18)
        (1.19)
为了解出方程(1.19),首先做出如下变形,
                   (1.20)
通过化简可得
                (1.21)
为了方便表达,令
则将方程(1.21)两边同时乘以
并将i从1到n相加得到
                  (1.22)
方程(1.22)可化简为:
                      (1.23)
代入(1.21)可得
                                 (1.24)
其中,
                           (1.25)
                     (1.26)
为了求出
的表达式,假设
为:
                               (1.27)
通过对其求偏导可得
                (1.28)
将(1.18)、(1.19)、(1.28)代入并化简可以得到
           (1.29)
通过求解(1.29)可以得到
的表达式为:
          (1.30)
由于本文仅关注于最优策略的分析,而未涉及值函数的讨论,因此关于
的求解在此不再赘述。可以采用与求解
相类似的方法,求出
的表达式为:
                    (1.31)
其中,
的表达式为:
                        (1.32)
定理1.1 对于问题(1.11)可以得到最优再保险投资策略为:
其中,
分别由(1.25)、(1.26)、(1.30)、(1.32)给出。
定理1.2 (验证定理)对于HJB方程,如果
是HJB方程(1.11)的解,最优策略为定理1.1所给出的策略,则对任意的可允许策略
有
那么当策略为定理1.1所给出的最优策略时,
该定理的证明与Bai和Guo [10]类似,在此省略。
2.6. 灵敏度分析
在这一节中,以两家保险公司为例,给出一些数值算例分析模型中的参数对最优策略的影响。主要参数取值如下:
下面分析一些参数对于最优策略的影响。
根据图1和图2可以观察到,随着
的增大,再保险比例与投资金额减小。当
越大时,保险公司的历史业绩对终端财富的影响也越大,保险公司会减少再保险的比例来减少购买再保险对自身终端财富的影响;相应地,当
越大时,历史业绩带来的风险也会越大,为了降低风险,进而保险公司会减少对风险资产的投资。
Figure 1. Impact of weighting coefficient on reinsurance
图1. 权重系数对再保险的影响
Figure 2. Impact of weighting coefficient on investment strategy
图2. 权重系数对投资的影响
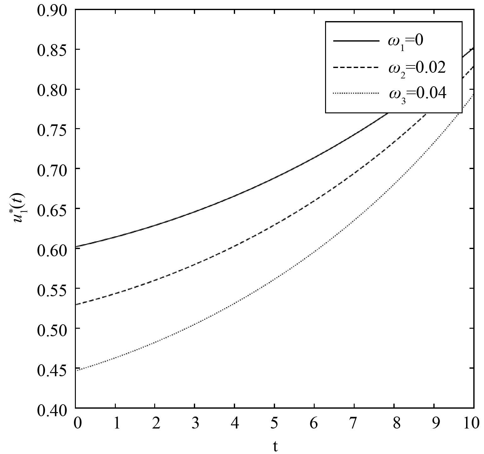
根据图3和图4可以看出,在
越大时,自留比例和投资金额越来越小,这与上面的分析类似,越多的资金流会造成保险公司面临的风险越大,保险公司为了在市场中寻求更高的效益,会通过调整再保险比例和投资策略来降低自身的风险。
Figure 3. Impact of mean parameter on reinsurance
图3. 平均参数对再保险的影响
Figure 4. Impact of mean parameter on investment strategy
图4. 平均参数对投资的影响
根据图5和图6可知,在
一定时,保险公司的自留比例和对风险资产的投资会随着风险厌恶系数
的增加而减少,这意味着保险公司会通过增大再保险的比例以及减少对风险资产的投资来规避风险。在
一定时,保险公司的自留比例和对风险资产的投资会随着竞争系数
的增加而减少,这说明保险公司会扩大再保险的比例以及减少对风险资产的投资,为了在与其他保险公司的竞争中取得更大的优势。
Figure 5. Impact of wealth sensitivity coefficient on reinsurance
图5. 财富敏感系数对再保险的影响
Figure 6. Impact of wealth sensitivity coefficient on investment strategy
图6. 财富敏感系数对投资的影响
3. 结论与展望
本文给出了在时滞效应下多个保险公司的竞争模型,在最大化期望效用的准则下研究了多个保险公司的竞争问题,保险公司的盈余由近似扩散模型所表示,可以将盈余投入到无风险资产以及由Heston模型所描述的风险资产中,再将历史业绩考虑进去,并给出与现实更贴近的多人竞争下的保险公司财富过程模型,通过求解HJB方程得到非零和博弈下的最优再保险以及投资策略。
本文有些地方的内容还可以进行扩展,比如将求解最大化期望效用换成均值方差准则下考虑最优问题,本研究只将保险公司之间的竞争考虑了进去而没有将再保险公司的竞争考虑进去等。