地震作用下桩板墙组合支挡结构性状实验对比分析
Experimental Comparative Analysis of Pile-Board Wall Composite Retaining Structure under Earthquake Action
DOI: 10.12677/hjce.2025.145142, PDF, HTML, XML,   
作者: 龚子罕, 张文贵, 陈 浩:兰州交通大学土木工程学院,甘肃 兰州;罗文浩:中国铁路西安局集团有限公司宝鸡工务段,陕西 宝鸡
关键词: 地震荷载桩板墙振动台模型试验承载特性分析土压力Seismic Load Pile-Board Wall Shaking Table Model Test Analysis of Bearing Characteristics Earth Pressure
摘要: 随着近年来铁路建设越来越重视既有线的二次开发利用,对于既有线的扩建和改建项目逐渐增多,在原有路基挡土结构的基础上新建支挡结构进行路基帮宽可以满足既有线改建扩建的要求并且最大程度利用既有线原有支挡结构。目前对于地震荷载影响下组合支挡结构的形式及其支挡效果尚缺少深入研究,因此本文通过改变加速度峰值以及设置变桩墙距、变桩间距共十种工况的模型试验对重力式挡土墙与桩板组合支挡结构土压力进行研究,得出静力状态和不同加速度峰值地震力作用桩前后土压力分布和桩体位移的一些规律,为今后桩板墙组合支挡结构的抗震设计提供参考。
Abstract: With the increasing emphasis on the secondary development and utilization of existing lines in railway construction in recent years, the expansion and reconstruction projects of existing lines have gradually increased. On the basis of the original subgrade retaining structure, the new retaining structure for subgrade widening can meet the requirements of the reconstruction and expansion of existing lines and make the best use of the original retaining structure of existing lines. At present, there is still a lack of in-depth research on the form and supporting effect of composite retaining structure under the influence of seismic load. Therefore, this paper studies the earth pressure of gravity retaining wall and pile-plank composite retaining structure by changing the peak acceleration and setting ten kinds of model tests of variable pile wall distance and variable pile spacing. Some laws of earth pressure distribution and pile displacement before and after piles under static state and seismic force with different acceleration peaks are obtained, which provides reference for the seismic design of pile-plank composite retaining structure in the future.
文章引用:龚子罕, 罗文浩, 张文贵, 陈浩. 地震作用下桩板墙组合支挡结构性状实验对比分析[J]. 土木工程, 2025, 14(5): 1332-1341. https://doi.org/10.12677/hjce.2025.145142

1. 引言

随着我国铁路建设规模的不断扩大,铁路既有线改建及邻近既有线新建工程的数量将持续增加。在综合安全性和经济效益的考量下,充分利用现有服役年限较短、结构较为完整的支挡结构,成为改善既有线路运营条件的必然选择。在新增荷载的影响下,现有支挡结构可能面临承载能力不足和稳定性下降等问题。为了最大程度地发挥现有支挡结构的承载能力,通过现有结构与新建支挡结构的组合形成组合支挡结构,共同承担既有线路和新增线路的荷载,是一种行之有效的方法[1] [2]

以中兰客专引入兰州枢纽新建三四线南侧线路,紧邻既有兰新线路,线路间距为5.3 m。为避免占用市政公路,新建线路采用路基边坡帮宽填筑并结合桩板墙收敛技术,与既有兰新线挡土墙形成组合支挡结构。由于工程项目位置处于地震带,且组合支挡结构及地基土体性质具有多样性,本文以上述实际工程为研究背景,研究地震荷载作用下组合支挡结构的承载特性。通过本文的研究,为既有线路的工程建设提供部分理论依据和技术参考,为后续工程提供参考方案和设计依据。

2. 振动台模型试验

2.1. 振动台

Figure 1. Seismic station schematic diagram

1. 地震台示意图

模拟地震效应的振动台可以确定工程结构的动力特性及其在地震力作用下的破坏机理,从而可以完善抗震设计理论及方法。本次试验的振动台尺寸为70 cm × 60 cm,水平最大位移为 ± 120 mm,水平最大加速度为1 g,率范围为0.1~60 hz。

2.2. 实验模型设计

(1) 选用黄土为土体,通过击实试验得出最大干密度以及最优含水率,通过三轴试验得出试验用土的内摩擦角和粘聚力,具体参数如下表1

Table 1. Soil parameters

1. 土体参数

土体

最大干密度/(g/cm3)

最优含水率/(%)

内摩擦角(˚)

粘聚力/kpa

重度/(kN·m3)

黄土

1.78

14.2

32.2

28.14

20

(2) 采用有机玻璃制作封闭式刚性模型箱(图2),内空尺寸为60 cm × 60 cm × 60 cm,与地震台螺栓铆接固定。

(3) 本次模型试验中桩板墙由有机玻璃材料切割而成,有机玻璃桩桩长550 mm,截面尺寸66 mm × 100 mm;有机玻璃板板长分别为166 mm、133 mm、100 mm,截面尺寸均为25 mm × 33 mm。

(4) 本次模型试验重力式挡土墙采用混凝土现浇制作,顶宽2 cm,底宽5 cm,长60 cm,墙高16.6 cm。

(5) 沿中桩桩长每间隔50 mm分段,每段中心位置桩前桩后对称地粘贴一对应变片,共粘贴11组应变片(图3)。

(6) 桩板墙桩后沿着深度每5 cm布置1个土压力盒,重力式挡土墙按顺序粘贴土压力盒,共布置23个土压力盒。

Figure 2. Experimental model diagram

2. 实验模型示意图

Figure 3. Pile strain gauge arrangement

3. 桩身应变片布置

2.3. 实验内容

考虑振动台荷载量程,本文模型试验所用模型箱尺寸为60 cm × 60 cm × 60 cm,桩板墙部分桩高55 cm、桩截面尺寸6.66 cm × 10 cm;挡土板板长随桩间距变化。

共设计了11组室内模型试验,其中工况1为核心实验组其与工况2、工况3形成100 mm-66 mm-33 mm桩墙距变化梯度;与工况4、工况5形成166 mm-133 mm-100 mm桩间距变化梯度,工况6至工况10基于核心组对地震加速度进行逐级递增,总体规划如表2

Table 2. Overall planning

2. 总体规划

组别

桩墙距(mm)

桩间距(mm)

加速度(mm)

工况1

100

166

0.5 g

工况2

66

166

0.5 g

工况3

33

166

0.5 g

工况4

100

133

0.5 g

工况5

100

100

0.5 g

工况6

100

166

0.1 g

工况7

100

166

0.2 g

工况8

100

166

0.3 g

工况9

100

166

0.4 g

工况10

100

166

0.7 g

2.4. 实验加载

试验采用经压缩过的实测汶川地震波,进行相似处理后依次输入,水平方向单向输入。试验输入加速度峰值0.1 g、0.2 g、0.3 g、0.4 g、0.5 g、0.7 g,地震波实时采集不同波次加载后的数据。

3. 试验结果分析

3.1. 改变加速度峰值实验结果分析

Figure 5. The dynamic earth pressure in front of the middle pile

5. 中桩桩前动土压力

Figure 6. The total earth pressure in front of middle pile

6. 中桩桩前总土压力

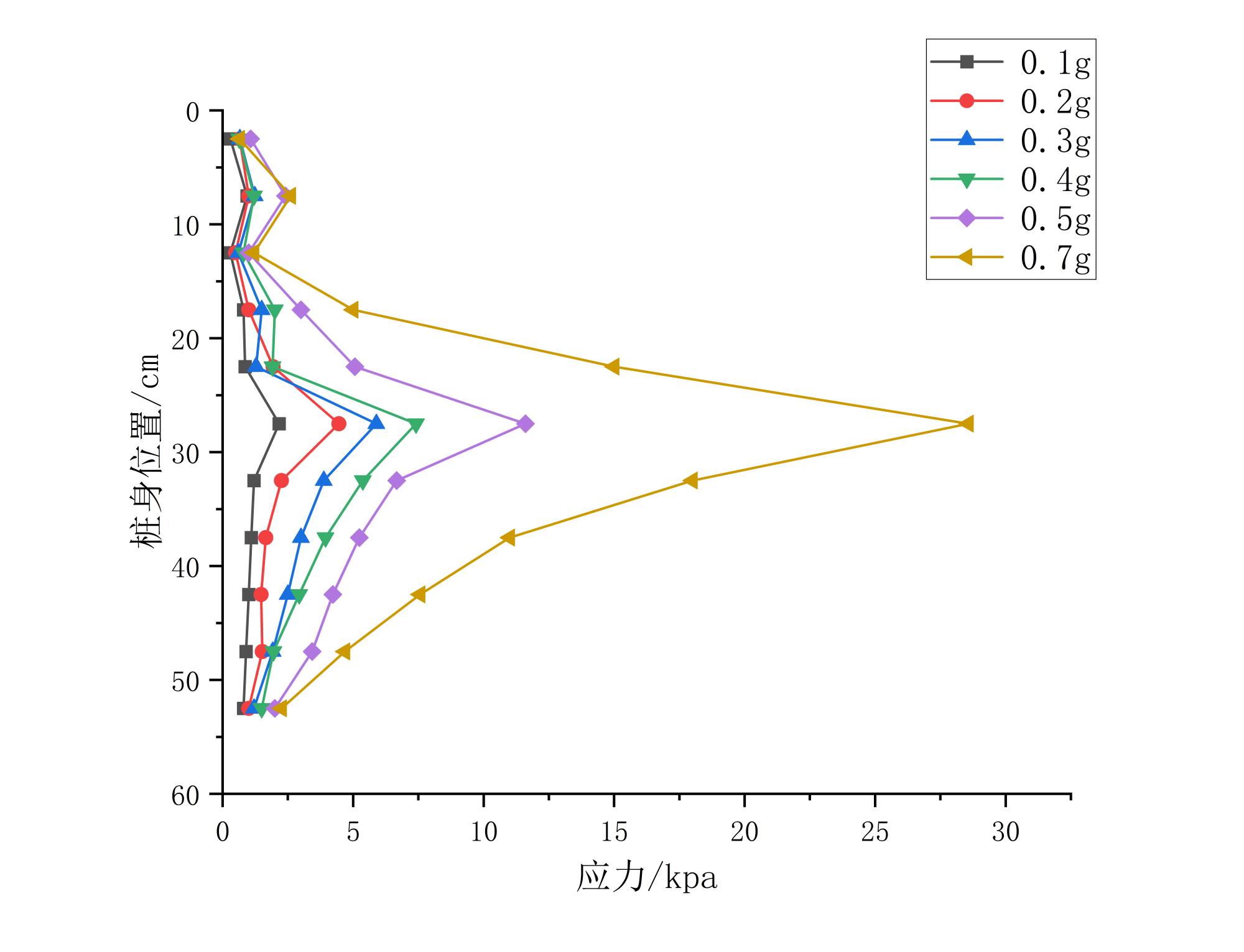
① 桩前动土压力、总土压力沿桩身分布见图(图5图6)基于不同加速度峰值地震力作用下的桩前动土压力及总土压力分布特征展开分析,试验数据表明桩土动力相互作用具有显著的非线性特征。如图5图6所示,沿桩身深度方向,土压力分布呈现明显的空间差异性。桩前土动压力从上到下呈倒三角形分布,桩前动土压力在0 cm~15 cm处均较小,但在15 cm~30 cm处突然变大,在30 cm往下土压力迅速变小。此现象揭示了桩身中段存在显著的应力集中效应,可能由以下机制共同作用:该深度土体受桩身弯曲刚度影响形成被动土压力区;地震波传播过程中低频分量与桩体固有频率发生共振,导致能量积聚[3];土体剪切模量随深度变化引起的阻抗失配效应。而在30 cm以下深度,土压力快速衰减至较低水平,表明桩端约束条件及深层土体惯性效应显著削弱了动力响应。

悬臂段各加速度峰值地震力作用下的土压力从0.94 kpa增至2.61 kpa,较0.1 g状态下土动压力增加至106.38%~277.66%;在桩身25 cm~35 cm处动土压力达到最大,从各加速度峰值地震力作用下的土压力从2.16 kpa增至28.57 kpa,较0.1 g状态下土动压力增加48.5%~1322.68%。

Figure 7. The dynamic earth pressure behind the middle pile

7. 中桩桩后动土压力

② 桩后动土压力、总土压力沿桩身分布见图(图7图8)桩后土动压力从上到下呈倒“S”形分布,桩后土压力在从桩顶处到15 cm处缓慢增大,在15 cm~35 cm处缓慢减小,但在35 cm往下土压力迅速增大,于桩底到达最大值。

悬臂段各加速度峰值地震力作用下的土压力从1.70 kpa增至16.06 kpa,较0.1 g状态下土动压力增加至175.29%~944.70%;在桩底处动土压力达到最大,从各加速度峰值地震力作用下的土压力从3.01 kpa增至30.39 kpa,较0.1 g状态下土动压力增加166.11%~1009.63%。桩后总土动压力与桩后动土压力规律一致,从上到下呈倒“S”形分布。悬臂段各加速度峰值地震力作用下的土压力从2.70 kpa增至26.06 kpa,较0.1 g状态下土动压力增加145.29%~965.18%;在桩底处动土压力达到最大,从各加速度峰值地震力作用下的土压力从4.41 kpa增至32.89 kpa,较0.1 g状态下土动压力增加126.32%~745.80%。

Figure 8. The total earth pressure behind the middle pile

8. 中桩桩后总土压力

3.2. 桩顶以及挡土墙位移分析

六个振次下桩顶位移分别为0.16、0.384、0.736、1.344、2.752、4.64 (单位mm),见图9。挡土墙顶部位移分别为0.07、0.18、0.32、0.61、1.21、2.12 (单位mm)。

Figure 9. Top displacement of retaining wall under different vibration times of pile top load

9. 不同振次桩顶荷载挡土墙顶部位移

Figure 10. 0.7 g vibration damage schematic diagram

10. 0.7 g振次破坏示意图

根据《路路基支挡结构设计规范》(TB 10025-2019):“桩板墙顶位移应小于桩悬臂段长度1/100且不大于10 cm”及工程经验判断,按抗弯等效计算桩顶位移10 cm时已处于破坏状态。

加速度峰值0.5 g的地震力作用下桩顶位移2.752 mm,折算实际位移为8.256 cm,已达到极限;如图10,加速度峰值0.7 g的地震力作用下桩顶位移4.64 mm,折算实际位移为13.92 cm,已达到破坏;

4. 改变桩间距,桩墙距实验结果对比分析

4.1. 中桩前后土压力分析

(1) 中桩桩前动土压力、总土压力。

通过改变桩间距,桩墙距设置了五种不同的工况,一致输入0.5 g的加速度峰值进行实验,动土压力和总土压力曲线如图11图12

Figure 11. Dynamic earth pressure in front of pile under different working conditions

11. 不同工况中桩桩前动土压力

基于不同工况下桩前动土压力及总土压力的分布特征展开分析,试验数据进一步验证了土压力沿桩身的非线性分布规律。如图11图12所示,桩前动土压力沿深度方向呈现典型的倒三角形分布特征,与前期不同加速度峰值下的试验规律具有一致性。具体而言,浅层土体(0~20 cm)动土压力值相对较小,中深层(20~40 cm)形成显著应力集中区,而桩端区域(>40 cm)受约束效应影响压力值快速衰减,这一现象与桩–土体系刚度梯度变化及地震波能量衰减特性密切相关。

Figure 12. Total earth pressure in front of middle pile in different working conditions

12. 不同工况中桩桩前总土压力

土压力分布规律与不同加速度峰值下桩前动土压力一致,同为从上到下呈倒三角形分布。工况1时中桩桩前最大动土压力为11.61 kPa、最大总土压力为35.73 kpa,工况2时中桩桩前最大动土压力为13.52 kPa、最大总土压力为36.32 kPa,工况3时中桩桩前最大动土压力为14.60 kPa、最大总土压力为37.82 kPa,工况4时中桩桩前最大动土压力为10.68 kPa、最大总土压力为32.73 kPa,工况5时中桩桩前最大动土压力为8.61 kPa、最大总土压力为27.73 kPa。

(2) 中桩桩后动土压力、总土压力。

图13图14,土压力分布规律与不同加速度峰值下桩后动土压力一致,从上到下呈倒“S”形分布。工况1时中桩桩后最大动土压力为23.03 kPa、最大总土压力为35.04 kpa,工况2时中桩桩后最大动土压力为23.53 kPa、最大总土压力为35.20 kPa,工况3时中桩桩后最大动土压力为24.89 kPa、最大总土压力为37.12 kPa,工况4时中桩桩后最大动土压力为22.56 kPa、最大总土压力为34.63 kPa,工况5时中桩桩后最大动土压力为20.89 kPa、最大总土压力为30.02 kPa。

Figure 13. Dynamic earth pressure behind middle pile under different working conditions

13. 不同工况中桩桩后动土压力

Figure 14. Total earth pressure behind middle pile in different working conditions

14. 不同工况中桩桩后总土压力

4.2. 中桩前后土压力对比分析

Table 3. Comparison table of the maximum earth pressure before and after middle pile in different working conditions

3. 不同工况中桩桩前、桩后土压力最大值对比表

土压力(kpa)

工况一

工况二

工况三

工况四

工况五

桩前动

11.61

13.52

14.60

10.68

8.61

桩前总

35.73

36.32

37.82

32.73

27.73

桩后动

23.03

23.53

24.89

22.56

20.89

桩后总

35.04

35.20

37.12

34.63

30.02

表3,工况一与工况二、工况三是改变桩墙距,工况一与工况四、工况五是改变桩间距。由数据分析得出,五种工况中工况五的受力情况是最优,工况三受力情况最差。

由工况一与工况二、工况三的土压力对比得出:随着桩墙距的减小,有限土体区域土压力增大,土压力随桩墙距减小而增大的现象更明显。组合支挡结构中重力式挡土墙土压力随桩墙距改变而产生的变化主要是重力式挡土墙受桩板墙挤压区域的远近所导致。

由工况一与工况四、工况五的土压力对比得出:随着桩间距的减小,有限土体区域土压力减小,土压力随桩间距减小而减小的现象更明显。组合支挡结构中重力式挡土墙土压力随桩间距改变而产生的变化主要是桩间距的变化导致桩板墙结构整体刚度发生改变,进而影响了其弯曲变形导致对土体的挤压作用强弱产生了变化最终导致重力式挡土墙所受土压力发生了变化。

5. 结论

本文利用振动台模型试验对桩板墙组合支挡结构在静力状态和加速度峰值分别为0.1 g、0.2 g、0.3 g、0.4 g、0.5 g、0.7 g的地震力作用下,以及不同桩间距、桩墙距组成的工况下桩身受力、位移及对比分析,得到主要结论如下:

(1) 桩板墙组合支挡结构桩前土动压力、总土压力均为倒三角形分布,土压力随位置下降而急剧减小,均为反S形分布,中桩桩前土压力沿着深度方向先增大后减小,在悬臂段与锚固段交界处达到最大。

(2) 桩板墙组合支挡结构桩后土动压力、总土压力均为桩后土动压力从上到下呈倒“S”形分布,土压力沿着深度方向先增大后减小再增大,在桩底达到最大值。

(3) 加速度峰值0.5 g的地震力作用下结构已达到极限状态;加速度峰值0.7 g的地震力作用下组合支挡结构已达到破坏。

(4) 不同的桩墙距和桩间距对组合支挡结构有着比较明显的影响,尤其是桩间距,工况五的受力明显比其他四个工况良好。在合适的范围内桩墙距减小会导致土压力增大,桩间距减小会导致土压力减小。

参考文献

[1] 罗宏川. 5.12汶川地震灾区典型路堑边坡重力式挡墙破坏机理研究[D]: [硕士学位论文]. 成都: 西南交通大学, 2011.
[2] 周易彪. 既有挡土墙与新建桩板墙组合结构的地震响应分析[D]: [硕士学位论文]. 兰州: 兰州交通大学, 2022.
[3] 刘斌, 李卫超, 周建武. 挡土墙地震土压力的统一解[J]. 建筑结构, 2023, 53(S2): 2679-2684.