基于SEM的电子商务消费者信任对购买行为的影响研究
Research on the Influence of Consumers’ Trust in E-Commerce Based on SEM on Their Purchase Behavior
摘要: 随着电子商务的快速发展,消费者信任成为影响其购买行为的重要因素。本研究以使用电商的消费者为研究对象,构建了“消费者信任–购买意愿–购买行为”的理论模型;运用结构方程模型(SEM),来探讨电子商务消费者信任对于购买行为的影响机制,通过发放线上调查问卷来收集数据并进行实证分析,结果发现消费者信任(平台信任、商家信任以及制度信任)显著正向影响着购买意愿,购买意愿也显著正向影响着购买行为,且购买意愿在两者的关系中起到部分中介的作用。
Abstract: With the rapid development of e-commerce, consumer trust has become an important factor influencing their purchasing behavior. This study takes consumers who use e-commerce platforms as the research objects and constructs a theoretical model of “consumer trust - purchase intention - purchase behavior”. The Structural Equation Modeling (SEM) is applied to explore the influencing mechanism of consumer trust in e-commerce on purchasing behavior. Data are collected through online questionnaires and empirical analysis is conducted. The results show that consumer trust (including platform trust, merchant trust, and institutional trust) has a significantly positive impact on purchase intention, and purchase intention also has a significantly positive impact on purchasing behavior. Moreover, purchase intention plays a partial mediating role in the relationship between consumer trust and purchasing behavior.
文章引用:郑书恒, 张步阔. 基于SEM的电子商务消费者信任对购买行为的影响研究[J]. 电子商务评论, 2025, 14(5): 3652-3662. https://doi.org/10.12677/ecl.2025.1451683

1. 前言

随着互联网技术的快速发展和移动支付的普及,电子商务已成为消费者日常生活的重要组成部分。根据相关数据显示,全球电子商务市场规模持续增长,消费者对线上购物的依赖程度日益提高。然而,在电子商务环境中,消费者无法通过直接接触商品和服务来评估其质量,这使得消费者信任成为影响其购买决策的关键因素。消费者信任不仅关系到购买行为的发生,还会影响消费者对平台的忠诚度和重复购买意愿。因此,研究电子商务环境下的消费者信任及其对购买行为的影响,对于优化电商平台运营、提升消费者满意度具有重要理论和实践意义。

尽管学者们对消费者信任和购买行为的关系进行了广泛研究,但关于电子商务环境下消费者信任影响机制的探讨仍有不足。现有研究多集中于消费者信任的构成维度及其直接影响,而对于消费者信任如何通过中介变量(购买意愿)间接影响购买行为的研究较少。此外,针对电子商务环境的特殊性,消费者信任的作用机制尚不清晰。因此,本文基于消费者信任对购买行为的影响所带来的问题进行深入探究,旨在探究影响消费者购买行为的具体因素,并且剖析其影响因素。

2. 文献综述与研究假设

2.1. 文献综述

1) 平台信任

平台信任是消费者对电子商务平台的整体信任感。Xinxiang Zhang,Taiyue Wang (2021) [1]提供了一个模型图,展示了信任在电商平台上的作用及其对购买意图的影响。该模型显示,信任电商平台直接导致信任商家,而信任商家间接导致对在线内容(如产品评论、评分等)的感知效果,最终影响购买意图。Muhammad Ashraf,Jamil Ahmad et al. (2022) [2]指出直播购物能够提升消费者对产品的信任感,并促进消费者之间的互动,从而影响其购买决策。文章还提到,消费者对信息透明度、用户参与度、内容兼容质量、社交关系形成的感知会影响购买意愿。Junic Kim,Nianwen He et al. (2023) [3]提到实时直播平台与传统电子商务平台的不同之处在于其动态性和实时沟通的特点,这使得卖家和消费者可以进行实时交流,从而增强消费者的信任感。

2) 商家信任

商家信任是消费者对商家的可靠性和专业性的信任感。Yan Li,Zhao-yi Wang (2018) [4]提到及时、恰当和有效地实施修复策略可以大幅度提升消费者对卖家的感知可信度,并直接影响其在线浏览和重新购买意愿。王英(2022) [5]指出电商直播间通过丰富的信息线索(如抢购氛围、娱乐氛围、价格优势等)影响消费者的在线购买意愿,这与商家信任的构建密切相关。提到情感因素在直播营销中的调节作用,进一步支持了商家信任的动态构建机制。Tianming Han,Jing Han et al. (2024) [6]提到情感因素在直播营销中的调节作用,进一步支持了商家信任的动态构建机制。Pingan Xiang,Zhizhen Liu (2024) [7]研究发现,商家的信任感可以通过提高产品质量、服务质量和供应链透明度来增强。

3) 制度信任

制度信任是指消费者对电子商务相关法律法规和监管机制的信任感。J. Thatcher,Michelle Carter et al. (2013) [8]提到熟悉度可以减少信任情境中的不确定性,从而促进信任的建立,这与制度信任的研究内容一致。G. Melideo,Guido Proietti (2004) [9]讨论了电子商务交易中的信任机制设计,强调了第三方信任服务提供商(TSP)的作用,这与制度信任的研究方向相符。J. Thatcher,Michelle Carter et al. (2013) [8]研究表明,制度信任可以通过减少交易中的不确定性和风险来提升消费者的购买意愿。

4) 购买意愿

信任和风险感知是影响消费者购买意愿的核心因素。Purnama Dewi Pata (2024) [10]研究表明,感知信息质量、信任、焦虑和健康意识等因素显著影响消费者对健康补充剂的购买意愿。此外,Chang Liu,Jiaqi Wang et al. (2024) [11]认为消费者对在线支付和跨境购物的信任水平也会影响其购买决策,风险感知方面,Ashok Mishra,Mohammed Jamshed et al. (2024) [12]指出感知产品风险对某些特定群体(如烟草和酒精消费者)的购买意愿有显著正向影响。

5) 购买行为

冲动购买行为在消费者决策中占据重要地位。研究表明,冲动购买对消费者的购买意愿有显著影响,尤其是在社交媒体和直播电商的背景下。Yu Xiang Xia,Seong Wook Chae et al. (2024) [13]认为社交媒体线索(如主播互动和媒体线索)通过影响消费者的愉悦感、唤醒感和感知不确定性,进一步激发冲动购买行为。此外,Risca Noviana Barutu,Muhammad Yani et al. (2024) [14]指出价格折扣、商店氛围和产品展示等因素也显著影响冲动购买行为。

6) 文献述评

既有研究虽揭示了消费者信任对购买行为的影响机制,但存在三方面显著局限:其一,平台类型差异的理论解释不足,现有文献多将电商平台同质化处理,未能辨析传统电商(如淘宝)、社交电商(如拼多多)与直播电商(如抖音)在信任构建中的差异化路径,尤其忽视直播场景中实时互动对信任的动态强化效应;其二,信任维度的情境适配性争议,制度信任的效力在跨境与本土平台间存在边界模糊,商家信任的“规模悖论”(头部商家依赖品牌溢价、中小商家倚重平台背书)亦缺乏实证检验,导致理论模型对新兴业态的解释力受限;其三,中介机制的动态性与复杂性被低估,既有研究多假设购买意愿的中介作用具有普适性,但未考量直播电商中冲动购买可能绕开理性决策直接触发行为,且负面信任事件(如虚假宣传)对中介路径的调节效应尚未纳入理论框架,致使模型难以刻画信任机制的动态演化特征。

2.2. 研究假设

1) 消费者信任对购买意愿的影响

本研究把消费者信任分为平台信任、商家信任和制度信任这三个维度,这三个维度对购买意愿的影响是一个复杂且多维度的问题。平台信任是消费者对电子商务平台整体可靠性和安全性的感知。Xinxiang Zhang,Taiyue Wang (2021) [1]研究表明,平台信任直接影响消费者的购买意愿。该研究中的数据还显示,平台信任通过影响商家信任间接影响购买意愿,路径系数分别为0.490和0.573,说明平台信任对商家信任和购买意愿的影响力非常强。P. Pavlou,David Gefen (2004) [15]指出,平台信任通过第三方机制(如反馈机制、第三方托管服务和信用卡担保)降低感知风险,从而促进交易成功。商家信任是指消费者对具体商家的可靠性和诚信度的感知。Xinxiang Zhang,Taiyue Wang (2021) [1]证据表明,商家信任对购买意愿有显著正向影响。阮燕雅,李琪(2017) [16]指出,在社交商务场景中,卖家信任对购买意愿的影响会因消费者与卖家的关系亲密程度而变化,但在初期阶段,信任能显著提高购买意愿。制度信任是指消费者对电子商务相关制度(如法律法规、监管机构等)的信任。J. Thatcher,Michelle Carter et al. (2013) [8]指出,一般信任(包括制度信任)通过特定信任(如对商家和网站的信任)的间接影响来影响购买意愿。

由此,提出如下研究假设:

H1a:平台信任正向影响购买意愿。

H1b:商家信任正向影响购买意愿。

H1c:制度信任正向影响购买意愿。

2) 购买意愿对购买行为的影响

购买意愿通常被视为购买行为的前置变量,即消费者在形成购买意愿后,更可能采取实际的购买行为。张曦等(2017) [17]研究表明,消费者的购买需求、信任倾向和风险感知对购买意愿有显著正向影响,而购买意愿对其购买行为也有显著正向影响。

由此,提出如下研究假设:

H2:购买意愿正向影响购买行为。

3) 购买意愿的中介作用

根据上述论文回顾,可以清晰的知道消费者信任即平台信任、商家信任以及制度信任对购买意愿的正向影响以及购买意愿对购买行为的正向影响,此外,卢宏亮等(2020) [18]的文章中指出在网红带货的研究中,消费者信任对购买意愿存在显著正向影响,而购买意愿部分中介了消费者信任与购买行为之间的关系(图1)。

由此,提出如下研究假设:

H3a:购买意愿在平台信任和购买行为之间起中介作用。

H3b:购买意愿在商家信任和购买行为之间起中介作用。

H3c:购买意愿在制度信任和购买行为之间起中介作用。

Figure 1. Studies the hypothetical model

1. 研究假设模型

3. 研究设计

3.1. 量表设计

本研究以电商为研究背景展开问卷调研。本研究的测量变量包括消费者信任(即平台信任、商家信任、制度信任)、购买意愿、购买行为。在题项设计方面,所有变量都是通过三个指标来进行测量,本研究参考McKnight et al. (2002) [19]、Pavlou (2003) [20]以及Kim & Prabhakar (2004) [21]来对平台信任进行测量;商家信任量表来源于Gefen & Straub (2004) [22]、Bart et al. (2005) [23]以及改编自Dellarocas (2003) [24];制度信任量表来源于Pavlou & Gefen (2004) [25]、改编自Hong & Cho (2011) [26]以及Zhou et al. (2017) [27];购买意愿量表来源于Dodds et al. (1991) [28]、Zeithaml et al. (1996) [29]以及改编自Chiu et al. (2014) [30];购买行为量表来源于Chiu et al. (2014) [30]、Oliver (1999) [31]以及改编自Neslin et al. (2006) [32]。为确保本文的信效度,根据中文以及所处的研究背景对国外的量表进行了调整。本问卷采用的是Likert七分量表形式,由1~7分别代表非常不同意至完全同意。

3.2. 问卷采集与数据回收

由于本研究的情境具有广泛性,在进行抽样时不涉及对某些特定人群的限定,仅需被调查者有过电商平台使用经历即可。本研究通过问卷星平台发放网上问卷,共回收223份问卷,剔除无效问卷后,获得有效问卷211份。

Table 1. Descriptive statistics of basic sample information

1. 样本基本信息描述性统计

项目

分类

频率

占比%

性别

110

52.1

101

47.9

年龄段

18岁以下

16

7.6

18~25

60

28.4

26~35

73

34.6

36~45

35

16.6

46以上

27

12.8

最常使用的电商平台

淘宝/天猫

196

92.89

京东

104

49.29

拼多多

174

82.46

抖音电商

94

44.55

小红书

102

48.34

其他

4

1.9

使用该平台的时长

少于6个月

14

6.64

6个月~1年

39

18.48

1~3年

102

48.34

3年以上

56

26.54

通常在什么场景下使用该平台

工作日摸鱼购物

130

61.61

睡前浏览

127

60.19

促销活动期间

85

40.28

急需用品购买

89

42.18

其他

4

1.9

样本基本情况如表1所示,其中男性占比52.1%,女性占比47.9%,受调研者大多为青壮年,年龄主要集中在45岁以下,其中26~35岁这个阶段的占比最高,占比为34.6%;在最常使用的电商平台中,淘宝/天猫的占比是最高的,达到92.89%,其次是拼多多,占比82.46%;在使用该平台的时长中,1~3年的占比是最高的,占比为48.34%,其次是3年以上,占比为26.54%。从整体来看,样本数据基本上涵盖了各年龄段、各电商平台的使用情况以及使用平台的时间各方面,其中以年龄段在18~35岁的人群为主,这类用户是电商平台的忠实消费者。样本具有代表性和广泛性,基本符合本文调查对象和调查目标的要求。

4. 数据分析与假设检验

4.1. 信度效度检验

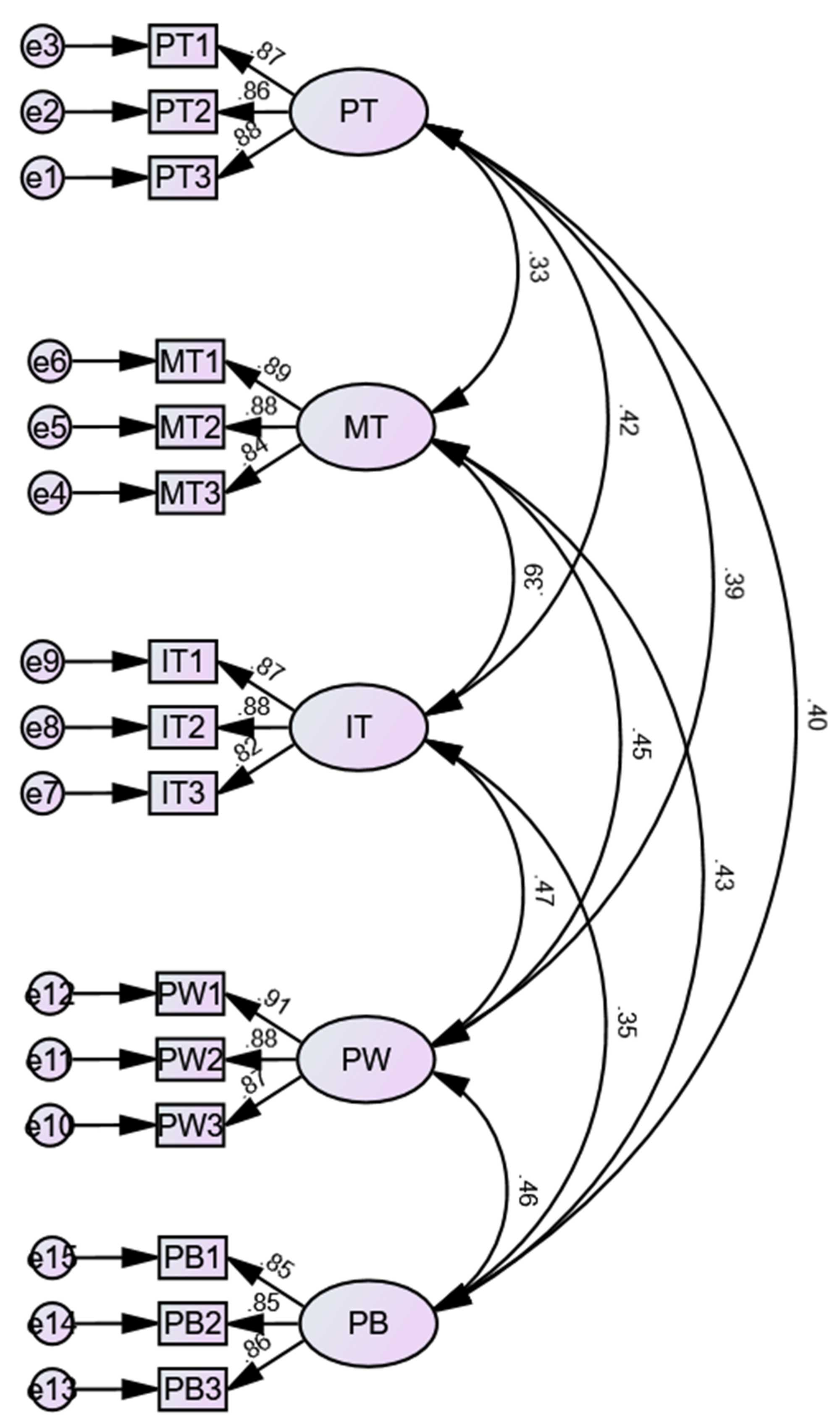
本研究使用SPSS 27以及AMOS 26对数据进行信效度分析。信度分析包括内部一致性信度分析和组合信度分析。如表2所示,本研究所有变量的内部一致性系数(Cronbach’s α)均在0.8以上(高于推荐值0.7),每个变量的内部一致性较好;另外,所有变量的组合信度(composite reliability, CR)均在0.8以上(高于推荐值0.7),说明变量的组合信度较好。本文运用验证性因子分析(Confirmatory factor analysis, CFA)来进行效度检验,效度检验包括收敛效度和区分效度。平均方差提取量(average variance extracted, AVE)可以检测收敛效度,从表2中的数据可以看出,所有测量指标的AVE值均大于0.6 (高于推荐值0.5),说明量表具有良好的收敛效度。如表3所示,平台信任(PT)、商家信任(MT)、制度信任(IT)、购买意愿(PW)、购买行为(PB)之间均具有显著的相关性(P < 0.001),另外相关性系数绝对值均小于0.5,且均小于所对应的AVE的平方根,即说明各个潜变量之间具有一定的相关性,且彼此之间又具有一定的区分度,即说明量表数据的区分效度理想。综上所述,本研究数据具有较好的信度和效度,适合作进一步的检验分析。图2为验证性因子分析。

Table 2. Factor loading, Cronbach’s α, CR, and AVE values for variables

2. 变量的因子载荷、Cronbach’s α、CR、AVE值

变量

题项

因子载荷

α

CR

AVE

平台信任(PT)

PT1

0.872

0.902

0.902

0.755

PT2

0.859

PT3

0.875

商家信任(MT)

MT1

0.887

0.903

0.904

0.758

MT2

0.881

MT3

0.843

制度信任(IT)

IT1

0.870

0.893

0.893

0.736

IT2

0.879

IT3

0.823

购买意愿(PW)

PW1

0.914

0.919

0.919

0.791

PW2

0.882

PW3

0.872

购买行为(PB)

PB1

0.850

0.889

0.889

0.728

PB2

0.850

PB3

0.860

Figure 2. Confirmatory factor analysis

2. 验证性因子分析

Table 3. Discriminatory validity

3. 区别效度

PT

MT

IT

PW

PB

PT

0.755

MT

0.329***

0.758

IT

0.424***

0.385***

0.736

PW

0.391***

0.451***

0.468***

0.791

PB

0.404***

0.427***

0.354***

0.463***

0.728

AVE平方根

0.869

0.871

0.858

0.889

0.853

注:对角线为AVE评价方差变异抽取量,对角线以下为变量间相关系数以及AVE平方根,***p < 0.001。

4.2. 结构方程模型整体拟合度评价

本研究使用AMOS 26软件对结构方程模型进行拟合,具体结果见表4。结构方程模型的各项适配指标都在推荐值范围内(χ2 =106.210, χ2/df = 1.280, GFI = 0.939, AGFI = 0.912, RMSEA = 0.036, NFI = 0.953, IFI = 0.989, CFI = 0.989),说明本文的结构方程模型具有良好的适配度。

Table 4. Analysis of structural equation model fitting results

4. 结构方程模型拟合结果分析

适配指标

拟合度

推荐值

χ2

106.210

愈小愈好

χ2/df

1.280

<3

GFI

0.939

>0.9

AGFI

0.912

>0.8

RMSEA

0.036

<0.08

NFI

0.953

>0.9

IFI

0.989

>0.9

CFI

0.989

>0.9

4.3. 假设检验

本研究通过AMOS 26对结构方程模型进行路径分析,分别探究了平台信任(PT)、商家信任(MT)、制度信任(IT)对购买意愿(PW)的影响以及购买意愿(PW)对购买行为(PB)的影响,具体的路径分析结果如表5所示。

Table 5. Structural equation model parameters

5. 结构方程模型参数表

标准化系数

非标准化系数

标准误

C.R.

P值

PW<---PT

0.185*

0.215

0.086

2.509

0.012

PW<---IT

0.284***

0.366

0.099

3.682

***

PW<---MT

0.291***

0.349

0.087

3.999

***

PB<---PW

0.48***

0.387

0.058

6.621

***

注:*表示p < 0.05,**表示p < 0.01,***表示p < 0.001。

Figure 3. Structural equation model diagram

3. 结构方程模型图

表5可知,本研究的4条路径的t检验值均大于1.96,说明4条路径均显著,符合统计学意义。具体来说,平台信任(PT)正向影响购买意愿(PW) (β = 0.185, t = 2.509),商家信任(MT)正向影响购买意愿(PW) (β = 0.291, t = 3.999),制度信任(IT)正向影响购买意愿(PW) (β = 0.284, t = 3.682),购买意愿(PW)正向影响购买行为(PB) (β = 0.48, t = 6.621),即假设H1a、H1b、H1c、H2假设均得到支持。如图3为该模型结构方程模型图。

4.4. 中介效应分析

为进一步探索消费者信任对消费者购买行为的影响机制,本研究进行了中介效应分析。本节运用AMOS 26.0进行Bootstrap中介检验,设定Bootstrap样本数量为2000,Bias-corrected置信区间95%,具体结果如表6所示。一般认为,如果95%的置信区间不包含0,则中介效应显著,如表6所示,购买意愿(PW)的中介效益显著。购买意愿(PW)在平台信任(PT)、商家信任(MT)、制度信任(IT)与购买意愿(PW)的关系中的中介效应显著,中介效应值为0.083、0.135、0.141,且三个路径中各路径的Bias-corrected 95% CI置信区间为(0.018, 0.176)、(0.051, 0.243)、(0.053, 0.279),Percentile 95% CI置信区间为(0.017, 0.173)、(0.053, 0.246)、(0.047, 0.272)。由此可知,假设H3a、H3b、H3c均成立。

Table 6. Results of Bootstrap analysis of the mediating effect test

6. 中介效应检验的Bootstrap分析结果

假设

中介路径

SE

效应值

Bias-corrected 95% CI

Percentile 95% CI

Lower

Upper

P

Lower

Upper

P

H3a

PT→PW→PB

0.039

0.083

0.018

0.176

0.016

0.017

0.173

0.018

H3b

MT→PW→PB

0.05

0.135

0.051

0.243

0.001

0.053

0.246

0.001

H3c

IT→PW→PB

0.057

0.141

0.053

0.279

0.003

0.047

0.272

0.006

5. 结论与启示

5.1. 研究结论

本研究揭示了消费者信任通过购买意愿影响购买行为的作用机制,验证了电商平台信任、商家信任与制度信任对购买决策的差异化影响路径。研究发现,商家信任对购买意愿的驱动效应最为显著,而制度信任的场景化感知与平台信任的技术制度协同机制对消费转化具有关键作用。研究结果为电商平台优化信任管理体系提供了多维度的理论支撑。

5.2. 实践启示

1) 平台信任建设的双路径优化

平台需通过技术创新与制度设计协同增强消费者信任。技术层面应强化区块链溯源系统与智能风控算法的应用,提升交易透明度和风险防控能力;制度层面应整合第三方认证体系与平台保障规则,通过标准化流程与可视化呈现增强信任感知效率。

2) 商家信任的动态管理体系构建

针对不同规模商家实施差异化信任管理策略:头部商家可建立全生命周期信任档案,系统展示服务质量与供应链信息;中小商家需通过标准化服务培训计划提升履约能力,重点优化退换货响应时效等关键服务节点。

3) 制度信任的场景化嵌入机制

在交易流程关键节点动态嵌入消费者权益提示信息,采用轻量化界面设计提升规则感知度。同时探索跨平台信用体系互联互通,通过多维度数据共享拓展制度信任的应用场景。

5.3. 研究局限与展望

本研究在样本覆盖范围上存在地域集中性与年龄结构偏差,后续研究可拓展跨境电商场景与银发群体等细分市场。方法论层面需加强动态信任机制的纵向追踪,结合客观行为数据提升研究效度。未来可深化三个方向:一是探索宏观政策与微观信任倾向的交互效应;二是解析负面信任事件对消费行为的抑制机制;三是区分新兴技术应用中技术可靠性与商业真实性对信任的差异化影响路径。

NOTES

*通讯作者。

参考文献

[1] Zhang, X. and Wang, T. (2021) Understanding Purchase Intention in O2O E-Commerce: The Effects of Trust Transfer and Online Contents. Journal of Theoretical and Applied Electronic Commerce Research, 16, 125-139.
https://doi.org/10.4067/s0718-18762021000200108
[2] Ashraf, M., Ahmad, J., Chani, M.I., Orangzaib, Khan, M.I., Yasin, M.A., et al. (2022) Determinants of Livestream Shopping Reuse Intention in Social Commerce: Role of Trusting Belief and IT Affordance. Journal of Hunan University Natural Sciences, 49, 1-11.
https://doi.org/10.55463/issn.1674-2974.49.4.1
[3] Kim, J., He, N. and Miles, I. (2023) Live Commerce Platforms: A New Paradigm for E-Commerce Platform Economy. Journal of Theoretical and Applied Electronic Commerce Research, 18, 959-975.
https://doi.org/10.3390/jtaer18020049
[4] Li, Y. and Wang, Z. (2018) Effects of Trust Repairing Strategies on Competence Violation. Science Innovation, 6, 73-79.
https://doi.org/10.11648/j.si.20180602.14
[5] 王英. 电商直播间信息线索影响消费者在线购买意愿的机理研究——基于精细加工可能性理论视角[D]: [硕士学位论文]. 杭州: 浙江工商大学, 2022.
[6] Han, T., Han, J., Liu, J. and Li, W. (2024) Effect of Emotional Factors on Purchase Intention in Live Streaming Marketing of Agricultural Products: A Moderated Mediation Model. PLOS ONE, 19, e0298388.
https://doi.org/10.1371/journal.pone.0298388
[7] Xiang, P. and Liu, Z. (2024) Is It Both Sufficient and Necessary to Disclose Environmental Information Regarding the Origin on Consumer Purchases? Sustainability, 16, Article 5017.
https://doi.org/10.3390/su16125017
[8] Thatcher, J.B., Carter, M., Li, X. and Rong, G. (2013) A Classification and Investigation of Trustees in B-to-C E-Commerce: General vs. Specific Trust. Communications of the Association for Information Systems, 32, 107-134.
https://doi.org/10.17705/1cais.03204
[9] Melideo, G. and Proietti, G. (2004) Truthful Mechanisms for Building Trust in E-Commerce. Certification and Security in Inter-Organizational E-Services, Toulouse, 22-27 August 2004, 101-112.
https://doi.org/10.1007/11397427_8
[10] Dewi Pata, P. (2024) The Impact of Information Quality, Trust, Anxiety, and Health Consciousness on Intention to Buy Health Supplements in the Post Pandemic Era. Syntax Idea, 6, 3959-3967.
https://doi.org/10.46799/syntax-idea.v6i9.4402
[11] Liu, C., Wang, J., Chen, R. and Zhou, W. (2024) Exploring the Influence of Chinese Online Patient Trust on Telemedicine Behavior: Insights into Perceived Risk and Behavior Intention. Frontiers in Public Health, 12, Article 1415889.
https://doi.org/10.3389/fpubh.2024.1415889
[12] Mishra, A., Jamshed, M., Ahmad, A., Garg, S. and Madsen, D.Ø. (2024) Factors Influencing the Intention to Purchase Health Insurance: A Study of Indian Tobacco and Alcohol Consumers. Frontiers in Public Health, 12, Article 1332511.
https://doi.org/10.3389/fpubh.2024.1332511
[13] Xia, Y.X., Chae, S.W. and Xiang, Y.C. (2024) How Social and Media Cues Induce Live Streaming Impulse Buying? SOR Model Perspective. Frontiers in Psychology, 15, Article 1379992.
https://doi.org/10.3389/fpsyg.2024.1379992
[14] Barutu, R.N., Yani, M. and Nugroho, T.T. (2024) Pengaruh Price Discount, Store Atmosphere, Display Product, dan Kualitas Produk terhadap Pembelian Impulsif (Studi Kasus di Matahari Department Store Sidoarjo). Ekonomis: Journal of Economics and Business, 8, 1840-1852.
https://doi.org/10.33087/ekonomis.v8i2.1807
[15] Pavlou, P.A. and Gefen, D. (2004) Building Effective Online Marketplaces with Institution-Based Trust. Information Systems Research, 15, 37-59.
https://doi.org/10.1287/isre.1040.0015
[16] 阮燕雅, 李琪. 社交商务情景下信任对购买决策的影响变化研究[J]. 软科学, 2017, 31(2): 113-116.
[17] 张曦, 王福玲, 席国芳, 等. 基于消费者情绪的在线购买行为研究[J]. 现代商贸工业, 2018, 39(3): 48-50.
[18] 卢宏亮, 张敏. 网红带货感知风险对购买意愿的影响——有调节的中介模型[J]. 中国流通经济, 2020, 34(12): 20-28.
[19] McKnight, D.H., Choudhury, V. and Kacmar, C. (2002) Developing and Validating Trust Measures for E-Commerce: An Integrative Typology. Information Systems Research, 13, 334-359.
https://doi.org/10.1287/isre.13.3.334.81
[20] Pavlou, P.A. (2003) Consumer Acceptance of Electronic Commerce: Integrating Trust and Risk with the Technology Acceptance Model. International Journal of Electronic Commerce, 7, 101-134.
[21] Kim, K.K. and Prabhakar, B. (2004) Initial Trust and the Adoption of B2C E-Commerce: The Case of Internet Banking. ACM SIGMIS Database: the DATABASE for Advances in Information Systems, 35, 50-64.
https://doi.org/10.1145/1007965.1007970
[22] Gefen, D. and Straub, D.W. (2004) Consumer Trust in B2C E-Commerce and the Importance of Social Presence: Experiments in E-Products and E-Services. Omega, 32, 407-424.
https://doi.org/10.1016/j.omega.2004.01.006
[23] Bart, Y., Shankar, V., Sultan, F. and Urban, G.L. (2005) Are the Drivers and Role of Online Trust the Same for All Web Sites and Consumers? A Large-Scale Exploratory Empirical Study. Journal of Marketing, 69, 133-152.
https://doi.org/10.1509/jmkg.2005.69.4.133
[24] Dellarocas, C. (2003) The Digitization of Word of Mouth: Promise and Challenges of Online Feedback Mechanisms. Management Science, 49, 1407-1424.
https://doi.org/10.1287/mnsc.49.10.1407.17308
[25] Pavlou, P.A. and Gefen, D. (2004) Building Effective Online Marketplaces with Institution-Based Trust. Information Systems Research, 15, 37-59.
https://doi.org/10.1287/isre.1040.0015
[26] Hong, I.B. and Cho, H. (2011) The Impact of Consumer Trust on Attitudinal Loyalty and Purchase Intentions in B2C E-Marketplaces: Intermediary Trust vs. Seller Trust. International Journal of Information Management, 31, 469-479.
https://doi.org/10.1016/j.ijinfomgt.2011.02.001
[27] Zhou, T., Lu, Y. and Wang, B. (2017) The Impact of Privacy Concern on User Adoption of Location-Based Services. Industrial Management & Data Systems, 117, 135-152.
[28] Dodds, W.B., Monroe, K.B. and Grewal, D. (1991) Effects of Price, Brand, and Store Information on Buyers’ Product Evaluations. Journal of Marketing Research, 28, 307-319.
[29] Zeithaml, V.A., Berry, L.L. and Parasuraman, A. (1996) The Behavioral Consequences of Service Quality. Journal of Marketing, 60, 31-46.
https://doi.org/10.1177/002224299606000203
[30] Chiu, C.M., Wang, E.T.G., Fang, Y.H. and Huang, H.Y. (2014) Understanding Customers’ Repeat Purchase Intentions in B2C E-Commerce: The Roles of Utilitarian Value, Hedonic Value and Perceived Risk. Information Systems Journal, 24, 85-114.
[31] Oliver, R.L. (1999) Whence Consumer Loyalty? Journal of Marketing, 63, 33-44.
https://doi.org/10.1177/00222429990634s105
[32] Neslin, S.A., Grewal, D., Leghorn, R., Shankar, V., Teerling, M.L., Thomas, J.S. and Verhoef, P.C. (2006) Challenges and Opportunities in Multichannel Customer Management. Journal of Service Research, 9, 95-112.