不同权力结构下考虑保鲜努力的生鲜产品供应链最优决策
Optimal Decision of Fresh Product Supply Chain Considering Preservation Effort under Different Power Structures
摘要: 本文由单一生产商和单一零售商构成生鲜产品供应链,在生产商和零售商同时对产品提供保鲜的情形下,考虑产品新鲜度随时间动态变化。根据不同权力结构即生产商主导和零售商主导,通过构建微分博弈模型,探究不同权力结构对生鲜产品供应链决策的影响。研究发现:(1) 集中决策可实现供应链利润最大化与资源最优配置,生鲜产品零售价格最低、新鲜度最高。(2) 分散决策中,生产商主导模式下产品新鲜度与总利润优于零售商主导,但零售价格保持不变。(3) 消费者偏好通过价格与新鲜度敏感系数差异化影响决策,价格敏感性提升抑制保鲜投入,降低新鲜度与利润,新鲜度敏感性增强则激励保鲜,推动利润增长。
Abstract: This paper constructs a supply chain of fresh products consisting of a single producer and a single retailer. Under the condition that both the producer and the retailer provide preservation efforts for the product, the dynamic change of freshness over time is considered. By establishing a differential game model under different power structures, namely producer-led and retailer-led, the impact of different power structures on the decision-making of the supply chain is explored. The research findings are as follows: (1) Centralized decision-making can achieve the maximization of supply chain profits and the optimal allocation of resources, with the lowest retail price and the highest freshness of fresh products. (2) In decentralized decision-making, the producer-led mode has better product freshness and total profit than the retailer-led mode, but the retail price remains unchanged. (3) Consumer preferences differentially affect decisions through price and freshness sensitivity coefficients. An increase in price sensitivity inhibits preservation investment, reducing freshness and profits, while an increase in freshness sensitivity encourages preservation and promotes profit growth.
文章引用:陟欣瑞, 刘芹, 唐铭达. 不同权力结构下考虑保鲜努力的生鲜产品供应链最优决策[J]. 建模与仿真, 2025, 14(6): 120-134. https://doi.org/10.12677/mos.2025.146481

1. 引言

生鲜产品具有易变质、保鲜期短的突出特点,其新鲜度随时间动态变化,与普通产品相比,在运输和销售过程中对冷藏保鲜的要求更为严苛,造成其流通过程中保鲜问题备受社会关注[1]。供应链成员需要投入保鲜努力以提升生鲜产品的新鲜度水平,生产商通过采用先进技术设备,如高精度温度控制系统监控生产仓储环境、运用环保高效包装材料;零售商通过加大冷链物流监管力度、优化店铺冷藏展示设施[2]。一方面,生产商和零售商会因保鲜设备投入、能耗及人力监管成本的增加而加重成本负担,高额的成本最终转移至消费者身上,与消费者对高质量且价格适宜的生鲜产品期待不符。另一方面,由于市场中销售渠道与产品种类的日渐多元化,供应链成员之间的竞争日渐激烈,生鲜企业在供应链中的权力地位存在差异导致在谈判中的话语权有所不同,从而影响到各自的最优策略及利润情况。因此考虑保鲜努力以及不同权力结构的供应链进行决策是十分有必要的。

国内外很多学者对供应链中的保鲜努力和权力结构进行了研究。随着消费需求升级,保鲜努力在生鲜产品供应链中愈发关键,它能延长产品保鲜期、提升行业品质,因此引得国内外多数学者对生鲜的保鲜努力展开研究。但斌等基于消费者时变效用函数,探讨了保鲜激励机制和信息共享策略的作用[3];曹裕等和刘培培等分别从价格竞争和成本共担角度分析了保鲜努力的影响因素[4] [5];而陆芬等则指出“搭便车”心理可能抑制保鲜努力水平[6]。Cai等和Liu等研究了分散式与集中式系统中的保鲜决策及信息共享效应[7] [8]。张科静等考虑供应商同时拥有生鲜电商和线下商业超市,在生鲜电商退货的情况下研究保鲜技术问题,研究表明消费者对变质产品申请退款可以促使生鲜电商提高保鲜努力[9]。王文隆等从时间维度的动态视角出发,运用最优控制理论,通过设计收益共享契约来优化供应商的保鲜努力和零售商的促销努力,实现了帕累托改进[10]

另一方面,供应链权力结构的差异对成员决策具有重要影响。王旭坪等、李新然等和孙自来等分别对比了供应商主导、零售商主导及权力均等模型下的定价与利润分配[11]-[13]。Soleimani等和Javadi等则分别探讨了制造商与零售商主导时的竞争策略[14] [15]。闻卉等通过构建三种分散式不同主导的博弈模型,验证了渠道代替系数、渠道所占市场份额、产品回收率对决策的影响[16]。李丽滢等同时考虑消费者具有渠道偏好和低碳偏好,分析了制造商主导、零售商主导以及垂直Nash结构下双渠道低碳供应链博弈模型[17]

通过系统梳理生鲜供应链领域的研究成果发现,尽管该领域已取得显著进展,但在关键问题上仍存在值得深入探索的研究空间。本研究设计基于对现有文献理论空白的系统识别,在以下三个维度实现了研究边界的拓展和创新:1. 区别于单一主体的保鲜研究范式,本文构建了双边保鲜协同机制模型。现有文献多聚焦于生产端或零售端的单边保鲜投入,而本文将供应链上下游的保鲜努力视为具有交互作用的决策变量,通过构建联合保鲜效用函数,揭示双渠道保鲜投入对产品新鲜度的协同增强效应。2. 本文创新性地建立了时变新鲜度动态定价模型。不同于以往研究采用的固定衰减系数法或两阶段定价策略,本研究引入商誉模型来刻画新鲜度的连续动态变化特征,使定价模型更贴合生鲜产品的实际损耗规律。3. 本研究拓展了权力结构研究的理论框架。与现有文献主要关注Stackelberg博弈下成本分摊问题的研究路径不同,本文通过构建制造商主导、零售商主导权力结构的微分博弈模型,运用汉密尔顿函数求解动态均衡,为生鲜供应链的研究提供了新的理论工具。

2. 模型描述与基本假设

本文构建了由单一生鲜产品生产商、单一生鲜产品零售商组成的单渠道供应链模型(如图1)。生鲜产品生产商以批发价 w 将产品批发给生鲜产品零售商,生鲜产品零售商将产品以零售价格 p 卖给消费者。在这个过程中,生产商和零售商同时对产品提供保鲜措施。

Figure 1. Supply chain model of fresh products

1. 生鲜产品供应链模型

假设1:生鲜产品从生产到销售的整个过程中,其新鲜度会随时间不断发生动态变化。参考岳柳青等的研究思想,生鲜产品新鲜度的变化情况主要受生鲜产品生产商和零售商在生产、运输、销售中为提高生鲜产品新鲜度付出的相关努力程度及新鲜度随时间推移发生的自然衰减程度的影响[18]。由此,生鲜产品新鲜度随时间变化的微分方程可表示为:

G ˙ ( t )=a E 1 ( t )+b E 2 ( t )φG( t ) (1)

其中 G( t ) 表示t时刻的生鲜产品新鲜度,为方便计算,假设初始生鲜产品新鲜度为 G( 0 )= G 0 E 1 ( t ) E 2 ( t ) 分别表示生鲜产品生产商和零售商为提高生鲜产品新鲜度付出的保鲜努力程度;ab分别表示生鲜产品生产商和零售商付出单位保鲜努力程度可使生鲜产品新鲜度提升的程度; φ 表示生鲜产品新鲜度在生产、运输、储存和销售等过程中随时间发生的自然衰减系数。

假设2:生鲜产品生产商和零售商为提高生鲜产品新鲜度付出的保鲜努力成本与其保鲜努力程度成正比,随着保鲜努力程度的提高,保鲜努力成本会越高。故生产商和零售商为提升生鲜产品新鲜度付出的保鲜努力成本可采用二次函数分别表示为:

C 1 = 1 2 μ 1 E 1 2 (2)

C 2 = 1 2 μ 2 E 2 2 (3)

其中 μ 1 μ 2 分别表示生产商和零售商为提升生鲜产品新鲜度付出的保鲜努力成本系数。

假设3:零售商在生鲜产品二级供应链中的零售价格为 p( t ) ,价格对生鲜产品需求的影响可表示为:

k=αβp( t ) (4)

其中, α 为潜在的市场总容量, β 为价格敏感系数,同时 k0

假设4:根据既往研究可知,消费者在购买生鲜产品时,不仅会关注价格,同时会关注新鲜度水平。借鉴前人的研究,本文假设消费者的需求受到生鲜产品的价格和新鲜度的双重影响,将价格和新鲜度共同引入生鲜产品的需求函数,那么消费者最终产生的需求可表示为:

D( t )=kγG( t )=( αβp( t ) )γG( t ) (5)

其中 γ 表示消费者对生鲜产品新鲜度的偏好, γG( t ) 表示生鲜产品新鲜度对市场需求的影响程度。

假设5:为了计算简便,将生产商的单位生产成本假设为常数 c 。并且,生鲜产品生产商和零售商具有相同的贴现率 ρ( ρ>0 ) 。双方都是在无限计划期内追求各自利润最大化,因此,生鲜产品生产商和零售商的收益函数分别为:

π m =( w( t )c )D( t ) C 1 (6)

π r =( p( t )w( t ) )D( t ) C 2 (7)

3. 模型分析

3.1. 集中决策

在生鲜产品供应链集中决策情形下,生鲜产品生产商和零售商作为一个有机整体,该情形下生产商和零售商不再追求自身利益的最大化,而是联合起来从供应链整体出发实现其利润最大化,共同确定各自的最优保鲜努力水平。供应链成员的目标是在连续时间内找到最优决策使得供应链整体利润函数贴现值最大化,为方便表示以上标C表示集中决策情形。

生鲜产品供应链期望总收益的目标函数为:

J v C = 0 e ρt { [ pc ][ αβp( t ) ]γG( t ) 1 2 μ 1 E 1 2 1 2 μ 2 E 2 2 }dt (8)

定理1. 集中决策模式下,供应链均衡解如下:

1) 供应链成员的最优解为:

E 1 C = aγ ( αβc ) 2 4 μ 1 β( φ+ρ ) E 2 C = bγ ( αβc ) 2 4 μ 2 β( φ+ρ ) p C = α+βc 2β

2) 供应链整体的最优利润函数为:

V c C = ( μ 1 b 2 + μ 2 a 2 ) γ 2 ( αβc ) 4 32ρ μ 1 μ 2 β 2 ( φ+ρ ) 2 + γ ( αβc ) 2 4β( φ+ρ ) G C ( t )

3) 生鲜产品新鲜度随时间变化的最优轨迹为:

G C ( t )=[ G 0 ( μ 2 a 2 + μ 1 b 2 )γ ( αβc ) 2 4 μ 1 μ 2 βφ( φ+ρ ) ] e t + ( μ 2 a 2 + μ 1 b 2 )γ ( αβc ) 2 4 μ 1 μ 2 βφ( φ+ρ )

定理1表明,在集中决策模式下,供应链的最优均衡解受到多个参数的影响,尤其是消费者偏好、保鲜努力成本系数和自然衰减率。(1) 生鲜供应商和生鲜零售商的最优保鲜努力 E 1 C E 2 C 与消费者对新鲜度的偏好 γ 正相关,这表明当消费者更注重产品新鲜度时,供应链成员会提高保鲜投入以满足市场需求。(2) 保鲜努力成本系数 μ 1 μ 2 对保鲜努力水平有抑制作用,当成本系数越高,投入越低。此外,自然衰退率 φ 和贴现率 ρ 的增大也会降低保鲜努力的积极性,这表明产品新鲜度衰减加快或未来收益的现值减少。(3) 生鲜产品新鲜度的稳态值 G C ( t ) 随着价格敏感系数 β 的增加而提升,但随着保鲜成本系数 μ 1 μ 2 、自然衰退率 φ 和贴现率 ρ 增加而降低。

证明:运用逆向推导法进行求解,根据最优控制理论和贝尔曼动态规划理论,省略时间 t ,假设存在一个连续、有界、可微的利润函数 V c ,对于所有的 G0 都满足如下的HJB方程:

ρ V c = max E 1 , E 2 ,p { ( pc )γ( αβp )G 1 2 u 1 E 1 2 1 2 u 2 E 2 2 + V c ( a E 1 +b E 2 φG ) } (9)

对式(9)右端求 E 1 E 2 p 的一阶偏导数,并另其等于零,可得生鲜产品生产商和零售商的最优保鲜努力水平以及生鲜产品最优市场定价如下:

E 1 C = a V c μ 1 E 2 C = b V c μ 2 p C = α+βc 2β (10)

将式(10)带入式(9),并化简整理可得:

ρ V c = max E 1 , E 2 ,p { [ ( α+βc 2β c )γ( α α+βc 2 ) V c φ ]G+ a 2 V c 2 2 μ 1 + b 2 V c 2 2 μ 2 } (11)

根据式(11)的结构,假定最优利润函数关于生鲜产品新鲜度的线性解析式为

V c C = a 1 + b 1 G C (12)

这里的 a 1 b 1 均为常数,那么 V c = b 1 ,带入到式(11),可以得到:

b 1 = γ ( αβc ) 2 4β( φ+ρ ) a 1 = ( μ 1 b 2 + μ 2 a 2 ) γ 2 ( αβc ) 4 32ρ μ 1 μ 2 β 2 ( φ+ρ ) 2 (13)

将式(13)带入式(10)、式(12),求解可得供应链成员最优解和供应链整体最优利润。

基于集中决策下生产商与零售商的最优策略,生鲜产品新鲜度的动态变化描述为微分方程:

G ˙ ( t )=a E 1 C ( t )+b E 2 C ( t )φG( t ) (14)

通过引入积分因子 e φt 并积分,结合初始条件 G( 0 )= G 0 ,求得其解析解为:

G( t )=[ G 0 G C ] e φt + G C (15)

其中 G C = a E 1 C ( t )+b E 2 C ( t ) φ 为稳态新鲜度。该结果表明,新鲜度随时间从初始值 G 0 指数收敛至长期均衡水平 G C ,收敛速率由衰减率 φ 决定。定理1证毕。

3.2. 分散决策

3.2.1. 生产商主导的博弈模型

在分散式决策中,生产商与零售商为追求自身利益最大化而独自做出决策。本节考虑制造商处于主导地位,此情形下生产商首先决定保鲜努力 E 1 以及批发价格 w ,随后,零售商作为跟随者,依据生产商的决策来决定其保鲜努力 E 2 和零售价格 p ,为方便表示以上标M表示分散决策下生产商主导的博弈情形。根据假设生鲜产品生产商的目标泛函数为:

J m M = 0 e ρt { [ w( t )c ][ αβp( t ) ]γG( t ) 1 2 μ 1 E 1 2 }dt (16)

零售商的目标泛函数为:

J r M = 0 e ρt { [ p( t )w( t ) ]γ[ αβp( t ) ]G( t ) 1 2 μ 2 E 2 2 }dt (17)

定理2. 生产商主导的分散决策模型下,供应链均衡解如下:

1) 供应链成员的最优解为:

E 1 M = aγ ( αβc ) 2 8 μ 1 β( φ+ρ ) E 2 M = bγ ( αβc ) 2 16 μ 2 β( φ+ρ ) p M = 3α+βc 4β w M = α+βc 2β

2) 供应链成员的最优利润函数为:

V m M = ( μ 1 b 2 + μ 2 a 2 ) γ 2 ( αβc ) 4 128ρ μ 1 μ 2 β 2 ( φ+ρ ) 2 + γ ( αβc ) 2 8β( φ+ρ ) G M ( t )

V r M = ( μ 1 b 2 +4 μ 2 a 2 ) γ 2 ( αβc ) 4 512ρ μ 1 μ 2 β 2 ( φ+ρ ) 2 + γ ( αβc ) 2 16β( φ+ρ ) G M ( t )

V c M = ( 4 μ 1 b 2 +7 μ 2 a 2 ) γ 2 ( αβc ) 4 512ρ μ 1 μ 2 β 2 ( φ+ρ ) 2 + 3γ ( αβc ) 2 16β( φ+ρ ) G M ( t )

3) 生鲜产品新鲜度随时间变化的最优轨迹为:

G M ( t )=[ G 0 ( 2 μ 2 a 2 + μ 1 b 2 )γ ( αβc ) 2 16 μ 1 μ 2 βφ( φ+ρ ) ] e t + ( 2 μ 2 a 2 + μ 1 b 2 )γ ( αβc ) 2 16 μ 1 μ 2 βφ( φ+ρ )

证明:根据逆向推导法,首先求出零售商的最优控制问题。由式(17)可知, t 时刻零售商的最优利润值函数满足如下HJB方程:

ρ V r = max E 2 ,p { ( pw )γ( αβp )G 1 2 u 2 E 2 2 + V c ( a E 1 +b E 2 φG ) } (18)

对式(18)右端求 E 2 p 的一阶偏导数,并另其等于零,可得生鲜产品零售商的最优保鲜努力水平以及生鲜产品最优市场定价如下:

E 2 M = b V r μ 2 p M = α+βw 2β (19)

由式(16)可知, t 时刻生产商的最优利润值函数满足如下HJB方程:

ρ V m = max E 1 ,w { ( wc )γ( αβp )G 1 2 u 1 E 1 2 + V c ( a E 1 +b E 2 φG ) } (20)

将式(19)带入式(20)中,可得:

ρ V m = max E 1 ,w { ( wc )γ( α α+βw 2 )G 1 2 u 1 E 1 2 + V c ( a E 1 + b 2 V r μ 2 φG ) } (21)

对式(21)右端求 E 1 w 的一阶偏导数,并另其等于零,可得生鲜产品生产商的最优保鲜努力水平以及生鲜产品最优批发价如下:

E 1 M = a V m μ 1 w M = α+βc 2β (22)

联立式(19)和式(22)可得到供应链成员的均衡策略:

E 1 M = a V m μ 1 E 2 M = b V r μ 2 p M = 3α+βc 4β w M = α+βc 2β (23)

将式(23)带入式(18)、式(20),并化简整理可得:

ρ V r = max E 2 ,p { ( αβc 4β )γ( α 3α+βc 4 )G b 2 V r 2 2 μ 2 + V c ( a 2 V m μ 1 + b 2 V r μ 2 φG ) } (24)

ρ V m = max E 1 ,w { ( α+βc 2β c )γ( α 3α+βc 4 )G a 2 V m 2 2 μ 1 + V c ( a 2 V m μ 1 +b E 2 φG ) } (25)

根据式(24)、式(25)的结构,假定最优利润函数关于生鲜产品新鲜度的线性解析式为:

V M M = a 2 + b 2 G M V r M = a 3 + b 3 G M (26)

这里的 a 2 a 3 b 2 b 3 均为常数,那么 V m = b 2 V r = b 3 ,带入到式(24)、式(25),求解可得:

b 2 = γ ( αβc ) 2 8β( φ+ρ ) a 2 = ( μ 1 b 2 + μ 2 a 2 ) γ 2 ( αβc ) 4 128ρ μ 1 μ 2 β 2 ( φ+ρ ) 2 (27)

b 3 = γ ( αβc ) 2 16β( φ+ρ ) a 3 = ( μ 1 b 2 +4 μ 2 a 2 ) γ 2 ( αβc ) 4 512ρ μ 1 μ 2 β 2 ( φ+ρ ) 2 (28)

将式(27)、式(28)带入式(23)、式(26),求解可得供应链成员最优解和供应链整体最优利润。

基于生产商主导的分散决策下生产商与零售商的最优策略,生鲜产品新鲜度的动态变化描述为微分方程:

G ˙ ( t )=a E 1 M ( t )+b E 2 M ( t )φG( t ) (29)

通过引入积分因子 e φt 并积分,结合初始条件 G( 0 )= G 0 ,求得其解析解为:

G( t )=[ G 0 G M ] e φt + G M (30)

其中 G M = a E 1 M ( t )+b E 2 M ( t ) φ 为稳态新鲜度。该结果表明,新鲜度随时间从初始值 G 0 指数收敛至长期均衡水平 G M ,收敛速率由衰减率 φ 决定。定理2证毕(下文定理3证明类似,限于篇幅不再赘述)。

3.2.2. 零售商主导的博弈模型

本节考虑零售商处于主导地位,各成员的目标是自身利益最大化。鉴于零售商拥有较强的谈判地位,该模型呈现一种逆向的斯坦克尔伯格博弈结构。零售商作为领导者,首先决定其保鲜努力 E 2 和零售价格 p 。随后,供应商作为跟随者,依据零售商的决策来决定其保鲜努力 E 1 和批发价格 w 。假设零售商每卖出一单位的生鲜产品所得的利润为 m ,即 p=m+w ,为方便表示以上标R表示分散决策下零售商主导的博弈情形。根据假设生鲜产品生产商的目标泛函数为:

J m R = 0 e ρt { [ w( t )c ][ αβp( t ) ]γG( t ) 1 2 μ 1 E 1 2 }dt (31)

零售商的目标泛函数为:

J r R ={ m( t )γ[ αβp( t ) ]G( t ) 1 2 μ 2 E 2 2 }dt (32)

定理3. 零售商主导的分散决策模型下,供应链均衡解如下:

1) 供应链成员的最优解为:

E 1 R = aγ ( αβc ) 2 16 μ 1 β( φ+ρ ) E 2 R = bγ ( αβc ) 2 8 μ 2 β( φ+ρ )

p R = 3α+βc 4β m= αβc 2β w R = α+3βc 4β

2) 供应链成员的最优利润函数为:

V m R = ( 4 μ 1 b 2 + μ 2 a 2 ) γ 2 ( αβc ) 4 512ρ μ 1 μ 2 β 2 ( φ+ρ ) 2 + γ ( αβc ) 2 16β( φ+ρ ) G R ( t )

V r R = ( μ 1 b 2 + μ 2 a 2 ) γ 2 ( αβc ) 4 128ρ μ 1 μ 2 β 2 ( φ+ρ ) 2 + γ ( αβc ) 2 8β( φ+ρ ) G R ( t )

V c R = ( 8 μ 1 b 2 +5 μ 2 a 2 ) γ 2 ( αβc ) 4 512ρ μ 1 μ 2 β 2 ( φ+ρ ) 2 + 3γ ( αβc ) 2 16β( φ+ρ ) G R ( t )

3) 生鲜产品新鲜度随时间变化的最优轨迹为:

G R ( t )=[ G 0 ( μ 2 a 2 +2 μ 1 b 2 )γ ( αβc ) 2 16 μ 1 μ 2 βφ( φ+ρ ) ] e t + ( μ 2 a 2 +2 μ 1 b 2 )γ ( αβc ) 2 16 μ 1 μ 2 βφ( φ+ρ )

定理2和定理3表明,(1) 在生产商主导和零售商主导的两种分散决策模式下,最优保鲜努力水平与消费者新鲜度偏好系数和市场需求规模呈正相关,与保鲜努力成本系数、自然衰减率和贴现率负相关,与集中决策下的结论相同。(2) 在分散决策下,两种权力结构的批发价与市场需求总量、生产成本和消费者价格敏感系数相关。需求量升高时批发价升高,生产成本增加时批发价降低,且生产商主导时的批发价更高,零售商主导时批发价较低。原因在于生产商主导时掌握定价权,零售商主导时期望通过压低批发价来提升利润。(3) 在零售商主导的分散决策模式下,零售商的最优保鲜努力对消费者敏感系数和市场需求量的反映强度是生产商的两倍,这表明零售商因直接接触消费者而更加注重新鲜度的维持。(4) 在零售商主导下的供应链总利润对生产商保鲜努力成本系数敏感性较低,这表明零售商通过主导权部分转移了自身的成本压力。

4. 比较分析

通过对比三种不同博弈情形下的生鲜产品供应链成员各自最优决策、新鲜度水平、利润和供应链总利润,分析得出以下结论。

推论1. 三种不同博弈情形下,稳态条件时,最优价格反馈策略关系分别为:

p C < p M = p R , w M > w R

(1) 生鲜产品的最优市场定价与保鲜投入无关,只与该产品的最大市场需求量 α 、价格敏感系数 β 以及生产成本c相关;生鲜产品最优市场定价与生鲜产品的最大市场需求量 α 、固定生产成本c成正比,与消费者对生鲜产品的价格敏感系数 β 成反比。

(2) 集中决策下生鲜产品的最优市场价格最低。分散决策下,不同权力结构不影响生鲜产品的市场定价,而生鲜产品的批发价格在生产商主导时最优。

这是因为集中决策时供应链中的生产商与零售商作为一个整体进行联合定价,以最大化整体利润。在分散决策中,生产商与零售商各自独立加价,生产商设定批发价、零售商在此基础上加价,导致最终零售价高于整体最优水平,产生了双重边际效应。在生产商主导的Stackelberg博弈中,生产商设定批发价,零售商根据批发价和市场需求确定零售价;而零售商主导时,批发价通过谈判确定,但零售价仍由市场需求和成本主导。此时,零售价格由市场需求与成本共同决定,而非权力分配,因此零售价格一致。在生产商主导的供应链中,批发价更优的原因在于生产商同时具有先行者优势与利润最大化动机,且批发价不直接影响零售市场的需求函数,生产商可通过调整批发价间接控制零售商的边际成本,而零售商只能被动接受批发价并基于市场需求定价。

推论2. 三种不同博弈情形下,稳态条件时,生鲜产品新鲜度的大小关系为:

G C > G M > G R

集中决策下生鲜产品的新鲜水平最高,生产商主导时次之,零售商主导时最低。这是因为与分散决策相比,生鲜产品生产商和零售商在集中决策下协同保鲜,会使最终的生鲜产品新鲜水平得到改善。

无论是生产商还是零售商,增加保鲜努力都需要承担更高的成本,因此需要权衡保鲜带来的市场需求提升和成本增加。生产商作为领导者,在设定批发价和保鲜努力时,会考虑到零售商的反应。由于生产商能够先行动并设定较高的保鲜努力,零售商在后续决策中可能会基于较高的市场需求来设定零售价,从而形成一种良性循环,促使整体保鲜投入较高。而在零售商主导的情况下,零售商倾向于压低零售价以增加销量,因此挤压生产商的利润空间。生产商在利润被压缩的情况下,为了控制成本,会减少保鲜努力。由于保鲜成本是二次函数,保鲜努力的边际成本递增,零售商不愿意或无法完全弥补生产商减少的保鲜投入,导致整体新鲜度下降。

推论3. 三种不同博弈情形下,稳态条件时,供应链总体利润和成员利润的大小关系为:

V c C > V c M > E c R V m M > E m R V r R > V r M

供应链总利润在集中决策下最高,生产商主导时次之,零售商主导时最低。这是因为生产商和零售商在集中决策模式下形成供应链联盟,降低了生鲜产品供应链的双重边际效应,双方在提升产品新鲜度水平方面均付出更多努力,极大地增加了生鲜产品供应链总利润。

5. 算例分析

根据上文微分博弈模型,本节利用数值实验研究生鲜产品新鲜度、供应链总利润以及生产商与零售商的利润在不同权力结构下的表现。在满足理论模型部分基本假设基础上,设置相关参数如下: α=30 β=0.5 λ=0.4 c=1 μ 1 =7 μ 2 =8 a=0.6 b=0.4 φ=0.4 G 0 =1 ρ=0.4 ,分析集中模型和分散模型。

Figure 2. Time trajectory of freshness of fresh products

2. 生鲜产品新鲜度时间轨迹

图2可知,不同决策模式下,生鲜产品新鲜水平都随时间增长而不断增加,最后趋于平稳。这一趋势表明,供应链成员在运输过程中会持续投入保鲜努力,但由于保鲜技术的边际效益递减,新鲜度的提升速度逐渐放缓,最终达到动态平衡。当供应链在分散决策下存在主导者时,生产商主导的Stackelberg博弈下产品新鲜度高于零售商主导Stackelberg博弈,这也验证了推论1。这是因为生产商作为供应链上游,更关注产品的长期品质和品牌声誉,因此愿意投入更高的保鲜成本;而零售商更倾向于短期销售利润最大化,保鲜努力相对不足。集中决策下的新鲜度水平高于分散决策,因为集中决策能消除双重边际效应,实现整体最优的保鲜投入。

因此,供应链权力结构对保鲜努力具有重要影响,生产商主导模式更有利于维持较高新鲜度,而集中决策可能是最优选择。这一结论对生鲜供应链的协调机制设计具有重要启示。

图3图4可知,在不同权力结构下,生产商和零售商的利润均呈现先上升后趋于平稳的动态特征,其中生产商主导的Stackelberg博弈使生产商获得更高利润,而零售商主导时则使零售商受益,这也验证了推论3。因此,供应链主导权的先动优势能够带来显著的利润分配优势。这一结论为供应链成员的战略选择提供了重要启示:掌握主导权或建立合作机制是提升利润的关键路径,而生鲜供应链中的权力结构博弈将直接影响各方的收益格局和市场竞争力。

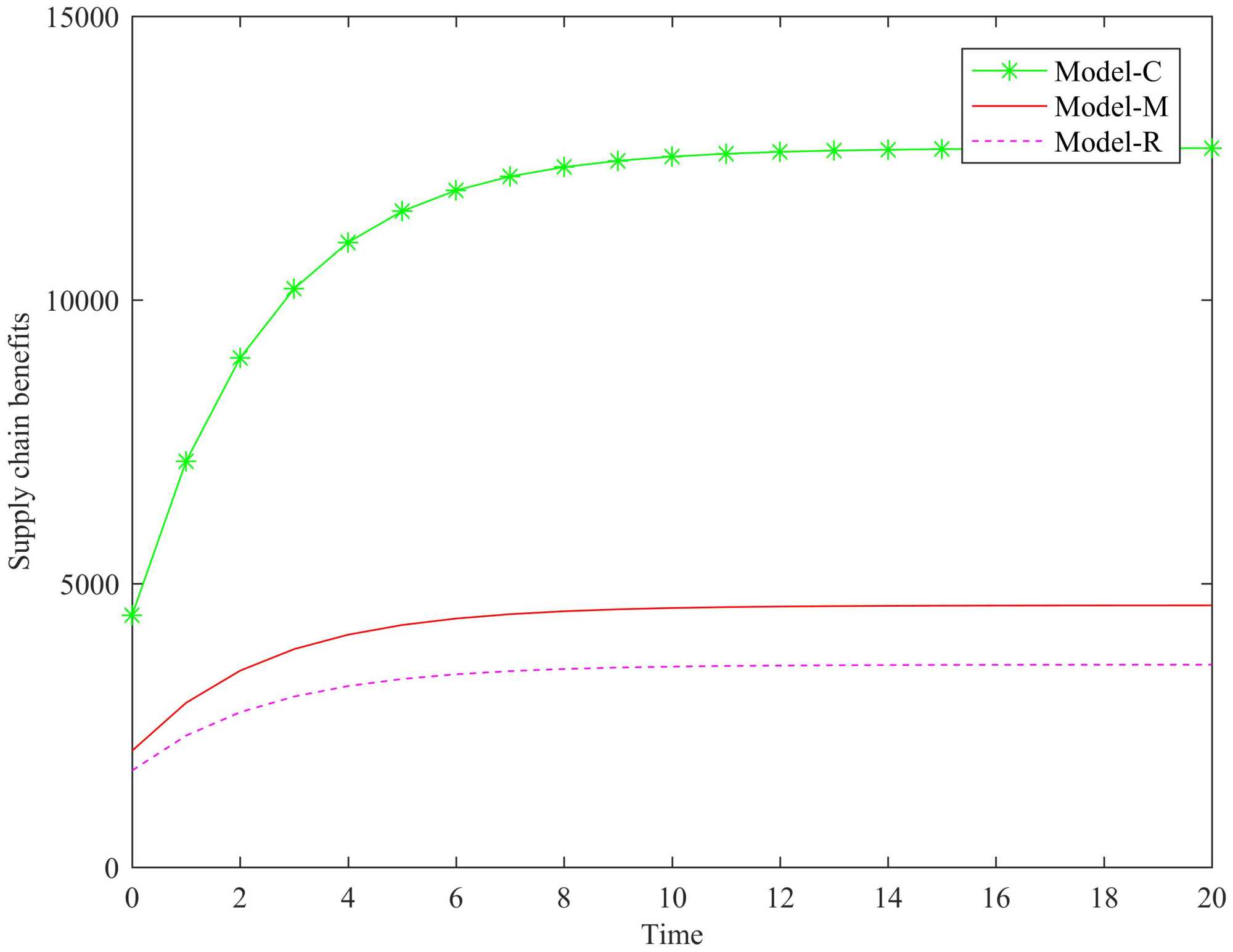
图5可知,当供应链成员为集中决策时,供应链成员决策以供应链整体最优为目标,因此供应链总利润的稳定值最大,总会大于分散决策中的任意一种情况,且利润随时间增加的比例也远远大于分散

Figure 3. The profit time trajectory of fresh product manufacturer

3. 生鲜产品生产商利润时间轨迹

Figure 4. The profit time trajectory of fresh product retailer

4. 生鲜产品零售商利润时间轨迹

Figure 5. The time trajectory of the total profit of the supply chain

5. 供应链总利润时间轨迹

决策。这主要归功于集中决策能够消除双重边际效应并实现全局最优化的资源配置,使得供应链整体利润的增长速度和最终稳定水平都远超生产商或零售商主导的分散决策模式,充分验证了供应链协同合作的价值。

图6图7的敏感性分析表明,生鲜产品的新鲜度水平与价格敏感系数呈负相关关系,而与新鲜度敏感系数呈正相关关系。当消费者对价格越敏感时,供应链成员倾向于降低保鲜投入以控制成本,导致新鲜度水平下降;相反,当消费者对新鲜度越敏感时,供应链成员会提高保鲜努力以满足市场需求,从而显著提升产品新鲜度。这一结果揭示了消费者偏好对供应链保鲜决策的关键影响,为企业在不同市场环境下制定差异化的保鲜策略提供了重要依据,说明在消费者更注重品质的高端市场应加大保鲜投入,而在价格敏感型市场则需平衡成本与新鲜度的关系。

图8的敏感性分析显示,生鲜供应链总利润与新鲜度敏感系数 γ 呈现显著正相关关系。随着消费者对产品新鲜度的重视程度提高,供应链整体利润呈现明显增长趋势。这一现象说明,当市场对新鲜度的偏好增强时,供应链成员通过加大保鲜投入能够获得更高的边际收益,从而带动总利润提升。分析结果验证了在消费升级背景下,提升保鲜技术水平和服务质量对供应链盈利能力的重要价值,同时也提示企业应当密切关注消费者偏好的变化趋势,在新鲜度敏感度较高的细分市场优先配置保鲜资源,以实现利润最大化。这一发现为生鲜供应链的差异化竞争策略提供了量化依据,表明在消费升级趋势下,以品质为导向的保鲜战略将成为提升供应链经济效益的关键驱动力。

6. 结论

本文考虑在生鲜供应链上生产商和零售商同时提供保鲜努力的影响,首先构建了集中决策模型,接着在分散决策下分别构建了生产商主导和零售商主导两种权力结构的微分博弈模型,求得三种博弈情形

Figure 6. The sensitivity of freshness level to β

6. 新鲜度水平关于 β 的敏感度分析

Figure 7. The sensitivity of freshness level to γ

7. 新鲜度水平关于 γ 的敏感度

Figure 8. The sensitivity of the total profit of the supply chain to γ

8. 供应链总利润水平关于 γ 的敏感度

下的最优保鲜努力策略、生鲜产品最优零售价、生鲜产品新鲜度及供应链最优利润。通过对比分析及关键参数敏感度分析可知:(1) 集中决策能够有效消除双重边际效应,实现供应链整体利润最大化和资源配置最优化,其生鲜产品零售价格最低、新鲜度水平最高且总利润显著优于分散决策模式。(2) 在分散决策中,权力结构对供应链绩效具有显著影响,生产商主导的Stackelberg博弈通过先行者优势优化批发价决策,促使保鲜投入与市场需求形成良性循环,其产品新鲜度与总利润均优于零售商主导模式,但零售价格因市场定价机制的一致性而保持不变。(3) 消费者偏好通过价格敏感系数与新鲜度敏感系数对供应链决策产生差异化影响。价格敏感性的提升会抑制保鲜投入,导致新鲜度与总利润下降。而新鲜度敏感性的增强则显著激励供应链成员增加保鲜努力,推动利润增长。

本研究对生鲜供应链成员制定策略具有重要启示:首先,供应链成员应通过契约设计或收益共享机制向集中决策趋近,以突破权力结构对协同优化的限制。其次,生产商可通过主导权获取与技术赋能强化保鲜投入的长期效益,零售商则需避免过度挤压上游利润空间以维持产品质量。最后,生鲜企业需建立市场敏感度监测体系,依据消费者偏好变化动态优化保鲜与定价策略。未来研究可进一步探讨多周期动态博弈、外部环境扰动以及多层级多渠道供应链对决策模式的影响。

参考文献

[1] 赵忠, 程瑜. 考虑保鲜努力的生鲜农产品供应链期权契约协调[J]. 中国管理科学, 2024, 32(11): 258-269.
[2] 覃燕红, 向林, 秦星红. 公平偏好下考虑双边保鲜努力的生鲜农产品供应链协调研究[J]. 工业工程, 2021, 24(5): 27-38.
[3] 王磊, 但斌. 考虑消费者效用的生鲜农产品供应链保鲜激励机制研究[J]. 管理工程学报, 2015, 29(1): 200-206.
[4] 曹裕, 李业梅, 万光羽. 基于消费者效用的生鲜农产品供应链生鲜度激励机制研究[J]. 中国管理科学, 2018, 26(2): 160-174.
[5] 曹裕, 刘培培, 胡韩莉. 基于成本共担契约的生鲜供应链保鲜努力机制[J]. 控制与决策, 2020, 35(1): 205-214.
[6] 陆芬, 吴小畅, 徐烨昕. 生鲜电子商务供应链质量控制与保鲜努力决策研究[J]. 济南大学学报(自然科学版), 2023, 37(6): 752-757+765.
[7] Cai, X., Chen, J., Xiao, Y. and Xu, X. (2010) Optimization and Coordination of Fresh Product Supply Chains with Freshness-Keeping Effort. Production and Operations Management, 19, 261-278. [Google Scholar] [CrossRef
[8] Liu, M., Dan, B., Zhang, S. and Ma, S. (2021) Information Sharing in an E-Tailing Supply Chain for Fresh Produce with Freshness-Keeping Effort and Value-Added Service. European Journal of Operational Research, 290, 572-584. [Google Scholar] [CrossRef
[9] 张科静, 马曼琼. 考虑生鲜电商退货的双渠道供应链协调研究[J]. 东华大学学报(自然科学版), 2021, 47(6): 116-123.
[10] 王文隆, 何竹云, 张涑贤. 动态视角下生鲜品双渠道供应链保鲜努力与促销努力联合决策研究[J/OL]. 中国管理科学, 1-16. 2025-05-09.[CrossRef
[11] 王旭坪, 孙自来, 詹红鑫. 不同权力结构对跨境电商双渠道供应链的影响[J]. 系统工程学报, 2017, 32(3): 385-396.
[12] 李新然, 刘媛媛, 俞明南. 不同权力结构下考虑搭便车行为的闭环供应链决策研究[J]. 科研管理, 2018, 39(3): 45-58.
[13] 孙自来, 王旭坪, 阮俊虎, 等. 不同权力结构对制造商双渠道供应链的影响研究[J]. 运筹与管理, 2020, 29(9): 106-114.
[14] Soleimani, F., Pirayesh, M. and Dehghanian, F. (2022) A Stackelberg Game for Ordering and Pricing Policies in a Decentralised Dual-Channel Supply Chain. International Journal of Procurement Management, 15, 93-112. [Google Scholar] [CrossRef
[15] Javadi, T. and Hafezalkotob, A. (2019) Impacts of Government Interventions on Pricing Policies of the Dual-Channel Supply Chain by Considering Retailer Services. Journal of Industrial Engineering International, 15, 231-252. [Google Scholar] [CrossRef
[16] 闻卉, 郑本荣, 曹晓刚, 等. 不同渠道权力结构下的双渠道闭环供应链定价与协调决策[J]. 运筹与管理, 2020, 29(6): 65-74
[17] 李丽滢, 李金萍, 赵康. 制造商和零售商的双渠道低碳供应链定价决策研究[J]. 辽宁工程技术大学学报(社会科学版), 2022, 24(6): 453-462.
[18] 岳柳青, 刘咏梅, 朱桂菊. 零售商主导的生鲜双渠道供应链协调契约研究[J]. 软科学, 2016, 30(8): 123-128+144.