低吸力范围内膨胀土强度预测
Prediction of Strength of Expansive Soils in the Low Suction Range
DOI: 10.12677/hjce.2025.146153, PDF, HTML, XML,   
作者: 郑凯方:华北水利水电大学地球科学与工程学院,河南 郑州;曾凌垚:浙江华东岩土勘察设计研究院有限公司地质工程研究院,浙江 杭州
关键词: 基质吸力膨胀土抗剪强度有效饱和度预测Matrix Suction Expansive Soils Shear Strength Effective Saturation Prediction
摘要: 在低吸力范围内,针对膨胀土开展三轴压缩实验。实验所用试样借助轴平移技术实现吸力平衡。试验结果表明试样处于低吸力时应力应变曲线为硬化型曲线,当试样处于相同围压下时,试样基质吸力越大抗剪强度越大,当试样处于相同的基质吸力时围压越大,抗剪强度越大;在基于Bishop公式对非饱和膨胀土强度进行预测时将预测公式中的有效应力系数替换为有效饱和度可以使预测结果更为准确。
Abstract: Triaxial compression experiments were carried out on expansive soils in the low suction range. The specimens used in the experiments were balanced in suction with the help of axial translation technique. The results show that the stress-strain curve is hardened when the specimen is in the low suction range; when the specimen is in the same suction range, the greater the matrix suction the greater the shear strength; when the specimen is in the same suction range, the greater the perimeter pressure, the greater the shear strength; when the strength of unsaturated expansive soils is predicted based on the Bishop’s formula, the effective stress coefficient in the prediction formula is replaced by the effective degree of saturation, which can make the prediction results more accurate. The effective stress factor in the prediction formula can be replaced by the effective saturation degree to make the prediction more accurate.
文章引用:郑凯方, 曾凌垚. 低吸力范围内膨胀土强度预测[J]. 土木工程, 2025, 14(6): 1429-1438. https://doi.org/10.12677/hjce.2025.146153

1. 引言

膨胀土是一种十分特殊的土壤,具有遇水膨胀失水收缩的性质,其特殊的性质可能导致地基的异常沉降和建筑物的倾斜。膨胀土外部环境的变化导致膨胀土的吸力(含水率)变化,膨胀土吸力的变化会导致膨胀土抗剪强度的变化,进而影响工程的质量。因此研究膨胀土在不同吸力下的强度变化规律和对膨胀土的强度展开预测十分重要。

国内外许多学者针对膨胀土的强度和强度预测开展了研究,詹良通等[1]使用非饱和土三轴仪进行了不同吸力下的三轴压缩试验,分析了吸力对非饱和膨胀土剪切强度的影响;侯雅东等[2]人研究了不同基质吸力下非饱和粉土的强度,结果表明随着基质吸力的增大,非饱和粉土的抗剪强度也在不断增大;王欢等[3]研究了不同吸力下粉煤灰的抗剪强度,研究发现粉煤灰的应力应变曲线类型与基质吸力密切相关;张文春等[4]使用GDS非饱和土三轴仪研究了非饱和黏土抗剪强度与基质吸力之间的关系;冯志炎等[5]进行了不同含水率下原状土和重塑土的三轴剪切试验,发现相同含水率下原状土和重塑土的内摩擦角差异较小,粘聚力差异较大;党进谦等[6]通过进行黄土的三轴压缩试验得出基质吸力对黄土的粘聚力影响较大,对黄土的内摩擦角影响较小,孙德安等[7]通过对高吸力试样进行剪切试验,发现试样为高吸力试样时粘聚力控制了土体的强度;沈珠江等[8]发现基质吸力只是部分对土体的强度和抵抗变形的能力有贡献;Baker和Sam等[9]人的研究指出,非饱和土的内摩擦角与基质吸力的关联性较小;MatsushiI和Matsukura等[10]人认为非饱和残积土的粘聚力受土体基质吸力的影响较大;黄钟凯等[11]人根据原状样与压实样在脱湿与吸湿过程中的土水特征曲线,考虑吸力和饱和度的影响,提出了干湿过程中抗拉强度的预测公式;贾升安等[12]基于Vanapalli强度预测模型,构建出一种新的非饱和土体强度预测模型,且证明出新的预测模型效果更优。

本文对低吸力范围内的南阳邓州段膨胀土进行低吸力范围内的三轴压缩试验,分析了围压和吸力对强度的影响,后进行了压汞实验得出了不同吸力下的微观饱和度,同时提出使用有效饱和度来代替有效应力系数对非饱和膨胀土的强度进行预测,最后将实际强度和预测强度进行对比。

2. 土样的基本物理性质及孔隙分布特征

土样的基本物理性质

本次试验所用膨胀土取自南水北调某渠段,取土深度约为1.6 m。土体基本物理性质指标详见表1,相关参数通过现场原位测试与室内试验获取。三轴压缩试验所需的圆柱试样采用击实法制备,严格控制初始含水率为18%。制样过程中采用三开模,分三层击实成型,各层间进行刮毛处理以增强层间黏结效果。制备完成的试样尺寸为:高度76 mm,直径38 mm。

Table 1. Basic physical property parameters

1. 基本物理性质参数

序号

试验内容

测定参数

测试结果

1

土粒比重试验

比重

G s =2.7

2

含水率试验

天然含水率

w=18%

3

颗粒分析试验

颗粒级配

较好

4

天然密度试验

密度

ρ=1.91 cm 3

ρ d = 1.62/ cm 3

5

击实试验

最大干密度和最优含水率

ρ dmax = 1.65/ cm 3

w Op =21.5%

6

界限含水率试验

液限,塑限

w L =49.8% ; I L =0.3

w P =22.8% ; I P =27.1

图1为本论文所用土体的颗粒级配曲线,通过级配曲线可以看出该膨胀土的级配曲线较为平缓,颗粒均匀,级配良好。

Figure 1. Particle grading curve of expanded soil

1. 膨胀土颗粒级配曲线

3. 非饱和土试验过程及试验结果分析

本次试验依托GDS非饱和土三轴仪开展,低吸力试样的吸力平衡采用轴平移技术实现。鉴于按天然含水率制样后,试样在仪器内达到目标吸力耗时较长,为提高试验效率,采用预控含水率法:先将天然含水率试样加水至目标含水率,待含水率达标后,立即用保鲜膜对试样进行密封包裹,并置于保湿缸中,促使试样内部水分充分扩散均匀,从而加速吸力平衡进程。

3.1. 相同围压不同吸力下的应力应变曲线分析

图2为低吸力试样在围压50 kPa、80 kPa和110 kPa下的偏应力–应变曲线图。

(a) 50 kPa

(b) 80 kPa (c) 110 kPa

Figure 2. Stress-strain curves of expansive soil specimens under different perimeter pressures and different suction forces

2. 不同围压不同吸力下膨胀土试样的应力应变曲线

通过图2可以看出在三种围压下当试样处于低吸力时应力应变曲线呈现出硬化型特征,即偏应力随着应变的增加不断增大,在达到峰值趋于一个稳定值。

3.2. 相同吸力不同围压下的应力应变曲线分析

图3揭示了相同基质吸力条件下,不同围压工况下偏应力–应变的变化规律。由图可知,随着围压的逐级增大,偏应力–应变曲线整体呈显著上移趋势,试样的抗剪强度亦随之显著提升,表明二者存在明显的正相关关系。究其原因,在恒定基质吸力条件下,围压的增加致使试样承受的外部约束作用增强,土体颗粒间接触面的法向应力相应增大。在此过程中,土体颗粒原有的初始结构体系被破坏,颗粒发生重新排列并趋于密实。颗粒间更为紧密的排列方式显著增强了颗粒间的机械咬合力与摩擦阻力,从而有效提升了试样的抗剪强度。

(a) 0 kPa

(b) 50 kPa (c) 100 kPa

(d) 200 kPa (e) 400 kPa

Figure 3. Stress-strain curve of expansive soil under the same perimeter pressure with different suction force

3. 相同围压不同吸力下膨胀土的应力应变曲线

3.3. 低吸力范围内膨胀土强度参数

土体的强度参数是土的重要性质,其强度会对工程质量产生重要影响。本文所研究吸力范围内的膨胀土只有硬化型一种曲线类型。此时取试样应变为15%时对应的强度为抗剪强度。在三轴压缩试验中,净平均应力 p=q/3 + σ 3 ,偏应力 q= σ 1 σ 3 [13],通过三轴试验得到的试样在破坏时的应力状态 q f p f 表2所示,将通过计算得出的膨胀土的其他强度参数值也填入表2内,不同围压相同吸力下试样的 p f q f 值可以带入公式(1)。

Table 2. Strength parameters of expanded soils

2. 膨胀土的强度参数

s/kPa

σ 3 /kPa

q f /kPa

p f /kPa

ξ /kPa

M

c/kPa

φ (˚)

0

50

107.4263

85.8088

50.6531

0.6630

23.9474

17.3435

80

133.0536

124.3512

110

158.4343

162.8114

50

50

140.4314

96.8104

75.9847

0.6657

35.8434

17.4335

80

166.0978

135.3659

110

191.7641

173.9213

100

50

181.0141

110.3380

107.6283

0.6651

50.7740

17.4216

80

206.6508

148.8836

110

232.2874

187.4291

200

50

256.1782

135.3972

165.5896

0.6691

78.1109

17.5201

80

282.0133

174.0044

110

307.8483

212.6161

400

50

431.3159

193.7719

239.7723

0.9885

113.7852

25.1063

80

475.5429

238.5143

110

519.7723

283.2574

q f =ξ+M p f (1)

公式(1)中 ξ 为直线的截距,M为直线的斜率。内摩擦角 φ 和粘聚力c与截距 ξ 和斜率M的关系分别如公式(2)和(3)所示。

sinφ= 3M/ ( 6+M ) (2)

c=ξ ( 3sinφ )/ ( 6cosφ ) (3)

4. 低吸力范围内膨胀土的强度预测

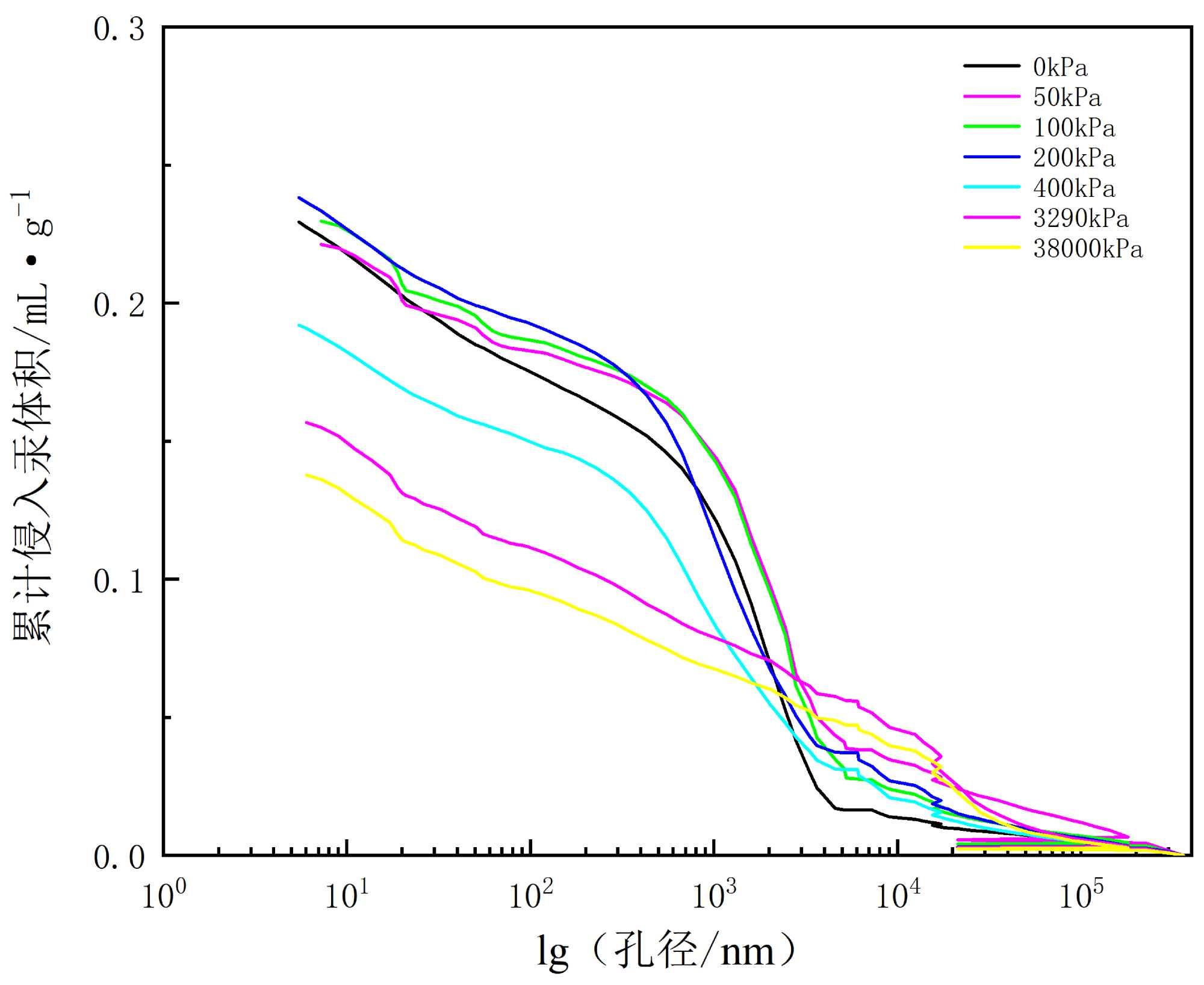
土体内的孔隙分为颗粒间孔隙和颗粒内的孔隙,颗粒间孔隙是指存在于土颗粒之间的大孔隙,其之间有较好的连通性,对土体强度产生较大影响,颗粒内孔隙指颗粒内的开口孔隙和闭口孔隙,它们孔隙直径小,分散性大,且孔隙彼此之间的连通性也较差,不对土体强度产生影响。通过压汞实验可以获得土体内部孔隙的具体分布情况。图4分别为累计侵入汞体积与吸力的关系和孔径分布密度与孔径的关系。

(a) 累计侵入汞体积 (b) 孔径分布密度

Figure 4. Data curves from mercury compression

4. 压汞所得数据曲线

通过图4可以得出微观孔隙(孔隙直径小于200 nm的孔隙)占总孔隙的比例,此数据的值等于微观饱和度的大小[14],将计算出的数据汇入表3内。

Table 3. Microscopic saturation at different suction forces

3. 不同吸力下的微观饱和度

吸力/kPa

0

50

100

200

400

3290

38000

微观孔隙占比/%

27.46

21.56

23.19

22.24

25.19

35.16

36.58

微观饱和度/%

27.46

21.56

23.19

22.24

25.19

35.16

36.58

非饱和膨胀土强度预测基于Bishop公式[15] (4)进行预测,在前文中提出膨胀土中的颗粒内孔隙不对膨胀土强度产生影响,故为了保证预测结果的准确性需要将有效应力系数 χ 替换为有效饱和度 S e = ( S r S rm )/ ( 1 S rm ) ,此时强度预测公式为公式(5)所示。

τ f = c +[ σ u a +χ( u a u w ) ]tan φ (4)

式中 c 为有效粘聚力,单位为kPa; σ 为总法向应力,单位为kPa; φ 为内摩擦角,单位为˚; u a 为孔隙气压,单位为kPa; u w 为孔隙水压,单位为kPa; u a u w 为基质吸力,单位为kPa; χ 为有效应力系数。

τ f = c +[ σ u a + S e ( u a u w ) ]tan φ (5)

使用Bishop公式,三轴应力状态下的破坏准则可以表达为如公式(6)所示。

q f = c 6cos φ 3sin φ +M( p ¯ χs ) (6)

式(6)中 q f = σ 1 σ 3 为偏应力, σ 1 为大主应力, σ 3 为小主应力,上述三者单位为kPa; p ¯ =[ ( σ 1 +2 σ 3 )/3 ] u a 为平均净应力,单位为kPa; M= 6sin φ / ( 3sin φ ) p ¯ -q 平面上破坏线的斜率; s= u a u w 为基质吸力,单位为kPa。

将有效应力系数替换为有效饱和度,此时强度预测公式为公式(7)所示。

q f = c 6cos φ 3sin φ +M[ p ¯ ( S r S rm )/ ( 1 S rm )s ] (7)

使用公式(7)对不同围压不同吸力下的膨胀土强度进行预测,将得出的预测结果填入表4,其中预测公式中的 c φ 在三轴压缩试验中得出,微观饱和度 S rm 在压汞试验中得出,饱和度 S r 可以通过土水特征曲线得出。

Table 4. Strength measured and predicted values

4. 强度实测值与预测值

围压/kPa

吸力/kPa

实测值/kPa

预测值/kPa

50

0

107.4263

100.8368

80

133.0536

126.3511

110

158.4343

151.8110

50

50

140.4314

134.0590

80

166.0978

159.7246

110

191.7641

185.3901

50

100

181.0141

166.0653

80

206.6058

191.6953

110

232.2874

217.3452

50

200

256.1782

223.6019

80

282.0133

251.7056

110

307.8483

277.5053

50

400

431.3159

400.5179

80

475.5429

446.9712

110

519.7723

491.6587

表4中的实测数据和预测数据进行绘图,以吸力为横坐标,以强度为纵坐标绘制图5

(a) 围压50 kPa

(b) 围压80 kPa (c) 围压110 kPa

Figure 5. Measured and predicted strengths of expansive soils under three perimeter pressures

5. 三种围压下膨胀土实测强度与预测强度

采用公式(7)对不同围压条件下非饱和膨胀土的抗剪强度进行预测,并绘制实测强度值与预测强度值的对比曲线(图5)。结果表明,二者数据点呈现出良好的一致性,表明将强度预测公式中的有效应力系数替换为有效饱和度,能够有效实现非饱和膨胀土抗剪强度的精准预测。

5. 结论

1) 在膨胀土三轴压缩试验中,低吸力条件下试样的偏应力–应变曲线呈现剪切硬化特征,而高吸力试样则表现为剪切软化特性。试验数据表明,当围压保持恒定时,吸力的增大与膨胀土抗剪强度提升呈正相关;由于围压对土体强度存在显著增强效应,相同吸力工况下,围压值的增加同样会导致膨胀土抗剪强度的提高。

2) 基于Bishop公式开展非饱和土体强度预测研究时发现,将强度预测公式中的有效应力系数替换为有效饱和度,可显著优化预测结果的准确性。

参考文献

[1] 詹良通, 吴宏伟. 非饱和膨胀土变形和强度特性的三轴试验研究[J]. 岩土工程学报, 2006(2): 196-201.
[2] 候雅东, 王锋, 谢东武. 含水率和基质吸力变化对非饱和粉质土的影响分析[J]. 甘肃科学学报, 2021, 33(5): 71-77.
[3] 王欢, 陈群, 王红鑫, 等. 不同压实度和基质吸力的粉煤灰三轴试验研究[J]. 岩土力学, 2019, 40(S1): 224-230.
[4] 张文春, 佟瑞向, 上官云龙. 非饱和黏性土应力-应变曲线特性研究[J]. 吉林建筑大学学报, 2018, 35(6): 30-33.
[5] 冯志炎, 邱本胜, 谢定义. 黄土的三轴试验研究[J]. 西安建筑科技大学学报, 2010, 42(6): 803-808.
[6] 党进谦, 李靖. 非饱和黄土的强度特征[J]. 岩土工程学报, 1997(2): 59-64.
[7] 孙德安, 何家浩, 高游. 广吸力范围内压实红黏土的强度特性[J]. 岩土力学, 2017, 38(S2): 51-56.
[8] 沈珠江. 广义吸力和非饱和土的统一变形理论[J]. 岩土工程学报, 1996(2): 1-9.
[9] Baker, R. and Frydman, S. (2009) Unsaturated Soil Mechanics: Critical Review of Physical Foundations. Engineering Geology, 106, 26-39.
https://doi.org/10.1016/j.enggeo.2009.02.010
[10] Matsushi, Y. and Matsukura, Y. (2006) Cohesion of Unsaturated Residual Soils as a Function of Volumetric Water Content. Bulletin of Engineering Geology and the Environment, 65, 449-455.
https://doi.org/10.1007/s10064-005-0035-9
[11] 黄钟凯, 孙德安, 徐永福, 等. 干湿过程中膨胀土抗拉强度及其预测[J]. 上海大学学报(自然科学版), 2023, 29(3): 536-548.
[12] 贾升安, 李春阳, 黄海峰, 等. 基于土-水特征曲线试验的非饱和土强度预测[J]. 水运工程, 2022(12): 225-231.
[13] 杨泽. 非饱和压实黄土孔隙结构与变形强度特性研究[D]: [硕士学位论文]. 西安: 西安石油大学, 2021.
[14] 张俊然, 孙德安, 姜彤, 等. 宽广吸力范围内弱膨胀土的抗剪强度及其预测[J]. 岩土工程学报, 2016, 38(6): 1064-1070.
[15] Bishop, A.W. (1959) The Principle of Effective Stress. Teknisk Ukeblad, 39, 859-863.