基于期望补偿的煤机调高液压系统鲁棒自适应控制研究
Study on Robust Adaptive Control of Coal Machine Height Adjustment Hydraulic System Based on Expectation Compensation
DOI: 10.12677/mos.2025.146488, PDF, HTML, XML,    科研立项经费支持
作者: 刘庆国:中煤科工集团上海有限公司,上海
关键词: 期望补偿自适应鲁棒调高液压系统Expectation Compensation Adaptive Control Height Adjustment Hydraulic System
摘要: 针对煤机调高液压系统存在的参数摄动和未知的外部扰动引起的跟踪精度不足的问题,本文基于阀控非对称液压缸系统,建立其状态方程,设计了基于期望补偿的鲁棒自适应控制器。在控制器中基于模型补偿的设计部分,采用位移和速度信号的期望值来代替实际反馈值,以降低测量噪声对控制器性能的影响。此外,针对系统的参数摄动和扰动问题,利用Lyapunov渐近稳定理论推导参数自适应律以获得不确定参数实时估计值,同时也将不匹配扰动作为不确定参数进行估计,最后,通过仿真验证了控制器的有效性。
Abstract: Aiming at the problem of insufficient tracking accuracy caused by parameter uptake and unknown external perturbations in the hydraulic system of coal machine height adjustment, this article is based on the valve-controlled asymmetric hydraulic cylinder system, establishes its state equations, and designs a robust adaptive controller based on expectation compensation. In the model compensation-based design part of the controller, the expectation values of the displacement and velocity signals are used instead of the actual feedback values to reduce the influence of measurement noise on the controller performance. In addition, for the problem of parameter uptake and the existence of mismatched perturbations in the system, the Lyapunov asymptotic stability theory is utilized to derive the parameter adaptive law in order to obtain the real-time estimation of the uncertain parameters, and the mismatched perturbations are also estimated as the uncertain parameters, and finally, the validity of the controller is verified by simulation.
文章引用:刘庆国. 基于期望补偿的煤机调高液压系统鲁棒自适应控制研究[J]. 建模与仿真, 2025, 14(6): 187-195. https://doi.org/10.12677/mos.2025.146488

1. 引言

煤矿井下煤质状况差异较大,同一煤层沿综采走向的厚度会有很大不同,故为避免滚筒截齿割到岩石层,需要对滚筒高度进行实时调整。目前,手动调整的方式在控制稳定性和准确性上仍有不足,因此,通过滚筒自动调高,可降低劳动作业强度,对于煤矿的智能化建设也具有重大意义[1] [2]

由于煤机调高液压系统运行状态的不确定性和复杂性,建立的模型会存在明显的非线性和不确定性,因而导致系统控制性能的下降、控制不稳定[3] [4]等问题。煤机调高液压系统结构较为复杂,存在明显负载干扰,部分参数会随着运动位置的变化而改变,故要求控制器具有较强的鲁棒性。相关研究人员提出了很多的控制技术,如自适应控制器[4] [5]、鲁棒控制器[6] [7]等。Yao等[8]提出了基于自适应鲁棒控制的精确运动控制理论框架,实现了渐近输出跟踪。ARC的思想是估计模型的不确定参数,并利用鲁棒反馈减少系统外部干扰的影响,在ARC设计中,模型补偿和自适应函数中的回归变量取决于当前的运行状态,因此必须根据实际速度的测量值进行实时计算,故噪声对控制效果产生巨大影响,一般采用硬件滤波器对信号降噪,这不仅会降低响应速度,而且会降低控制性能[9]。因而,如何在提高自适应速率的同时减少测量噪声对其造成的影响,是一个重要的问题。由于ARC本身注重减小误差[10] [11],因此本文提出了期望补偿自适应鲁棒控制器(DARC),用期望的位移和速度值来替代实际位移和速度的测量值,此外,针对系统的参数摄动和存在不匹配扰动问题,利用Lyapunov渐近稳定理论推导参数自适应律以获得不确定参数的实时估计值,该控制器不仅具有较高的跟踪性能,还具有较强鲁棒性。

2. 系统建模

采煤机滚筒液压调高系统主要由电机、液压泵、伺服阀、调高油缸、溢流阀、摇臂、滚筒等组成。采煤机滚筒调高系统的力平衡方程为:

m x ¨ = F out B x ˙ +d( t ) (1)

式中, m 为负载质量;x为调高油缸活塞杆的位移; B 为液压缸粘滞阻尼系数; F out 为调高油缸输出力; d( t ) 为干扰力。调高油缸的输出力 F out 为:

F out = A 1 P 1 A 2 P 2 (2)

式中, A 1 为调高油缸无杆腔的有效作用面积; P 1 为调高油缸无杆腔内的压力; A 2 为调高油缸有杆腔的有效作用面积; P 2 为调高油缸有杆腔内压力。伺服阀的流量方程为:

{ Q 1 =s( u ) k q u P s P 1 +s( u ) k q u P 1 P h Q 2 =s( u ) k q u P 2 P h +s( u ) k q u P s P 2 (3)

式中: u 为伺服阀输入信号; Q 1 为无杆腔流量; Q 2 为有杆腔流量; P s 为系统供油压力; P h 为系统回油压力; k q = C d w k v 2/ρ ,其中 C d 为流量系数; w 为伺服阀阀芯面积梯度; k v 为伺服阀动态比例增益系数; ρ 为液压油液密度。液压缸的流量连续性方程为:

{ P ˙ 1 = β e V 1 [ Q 1 A 1 x ˙ C i P L + q 1 ( t ) ] P ˙ 2 = β e V 2 [ A 2 x ˙ + C i P L Q 2 + q 2 ( t ) ] (4)

式中: β e 为液压油弹性模量; V 1 = V 01 + A 1 x V 1 为调高油缸无杆腔的有效容积, V 01 为调高油缸无杆腔的初始容积; V 2 = V 02 A 2 x V 2 为调高油缸有杆腔的有效容积, V 02 为调高油缸有杆腔的初始容积; C i 为调高油缸内泄露系数; P L = P 1 P 2 q 1 q 2 分别为 P 1 P 2 的建模误差。

整理以上各式,整个系统可以用下式(5)所示的状态空间方程来表述,其中,定义状态变量 [ x 1 x 2 x 3 ] T = [ x x ˙ F out ] T

{ x ˙ 1 = x 2 x ˙ 2 = 1 m x 3 θ 1 m x 2 + θ 2 + d ˜ ( t ) x ˙ 3 = θ 3 Gu θ 4 H 1 θ 5 H 2 θ 6 H 3 + θ 7 + q ˜ ( t ) (5)

式中, θ 1 =B θ 2 =d( t ) θ 3 = β e k q θ 4 = β e A 1 θ 5 = β e A 2 θ 6 = β e C i θ 7 =q( t ) H 1 = h 1 x 2 h 1 = A 1 / V 1 H 2 = h 2 x 2 h 2 = A 2 / V 2 H 3 =( h 1 + h 2 )( P 1 P 2 ) G= h 1 g 1 + h 2 g 2 g 1 =s( u ) P s P 1 +s( u ) P 1 P h g 2 =s( u ) P 2 P h +s( u ) P s P 2

3. 控制器设计

3.1. 参数自适应律的设计

应用参数自适应算法对参数摄动进行估计。对于式(5)定义的参数集,假设它们的波动范围如下:

θ Ω 0 ={ θ: θ min θ ^ θ max } (6)

θ min 为各参数上界, θ min = [ θ 1min ,, θ 1min ] T θ max 为各参数下界, θ max = [ θ 1max ,, θ 1max ] T ,因为 θ 1 =B θ 2 =d( t ) θ 3 = β e k q θ 4 = β e A 1 θ 5 = β e A 2 θ 6 = β e C i θ 7 =q( t ) ,故可结合实际工况,拟定各参数最大限度变化的范围, 1× 10 5 θ 1 4× 10 5 0 θ 2 4× 10 5 1× 10 3 θ 3 6× 10 3 5× 10 6 θ 4 2× 10 7 1× 10 6 θ 5 9× 10 6 1× 10 3 θ 6 7× 10 3 1× 10 3 θ 7 1× 10 3 。此外, θ ^ 表示为不确定参数 θ 的估计, θ ˜ 表示为估计误差,即 θ ˜ = θ ^ θ 。可定义一个非连续投影函数。

Pro j θ ^ i ( θ i )={ 0 if θ ^ i = θ imin and θ i <0 0 if θ ^ i = θ imax and θ i >0 θ i else (7)

上式中: i=1,2,3,4,5,6,7 θ i 代表矩阵 θ 的第 i 项。设计自适应律为:

θ ^ ˙ =Pro j θ ^ ( Γτ ) (8)

上式中: Γ>0 为自适应增益; τ 为自适应函数,对任意的自适应函数 τ ,均有如下性质:

{ θ ^ Ω={ θ ^ : θ min θ ^ θ max } θ ˜ T [ Γ 1 Pro j θ ^ ( Γτ )τ0 ] (9)

3.2. 控制器的设计

控制器的设计目标是合成一个有界的控制输入,使得系统对于给定的期望运动轨迹都能以尽可能高的精度跟踪。参考反步算法[12],定义一组误差变量:

{ z 1 = x 1 x 1d z 2 = z ˙ 1 + c 1 z 1 = x 2 x 2d + c 1 z 1 z 3 = x 3 r (10)

上式中, x 1d x 2d 为系统位移和速度信号, c 1 c 2 为正反馈增益系数, r 为一阶虚拟控制律。根据式(10), z 2 对时间的微分展开式为:

z ˙ 2 = 1 m ( r+ z 3 ) θ 1 x 2 m + θ 2 + d ˜ ( t ) x 2d + c 1 z ˙ 1 (11)

根据式(10),对 θ 1 x 2 项进行拆分得:

θ 1 x 2 =( θ ^ 1 θ ˜ 1 )( x 2d + z ˙ 1 )= θ ^ 1 x 2d θ ˜ 1 x 2d + θ 1 z ˙ 1 (12)

上式中, θ ^ 1 x 2d 项为基于模型的补偿项, θ ˜ 1 x 2d 项将参与参数自适应律的设计, x 3 将被视为虚拟输入量,从而虚拟控制律 r 可设计为:

{ r= r a r s r a =m( x ˙ 2d θ ^ 2 )+ θ ^ 1 x 2d (13)

上式中, r a 基于模型的在线参数自适应前馈补偿控制律, r s 待合成的鲁棒控制律。将上式(13)代入式(11)并对其求导可得到 z ˙ 2 动态表达式:

z ˙ 2 = 1 m ( r ˙ s + z ˙ 3 )+ θ ˜ T Ψ 1 + d ˜ ( t )+( c 1 θ 1 m )( z 2 c 1 z 1 ) (14)

上式中, Ψ 1 = [ x 2d m 1 0 0 0 0 ] T 是参数自适应函数的回归变量。由于模型不确定性的存在和自适应参数的估计值与其真实值之间存在误差,因此,需要设计如下鲁棒控制律来稳定系统:

{ r s = r s1 r s2 r s1 = k 2s z 2 (15)

上式中, r s1 用于稳定系统的标称模型,其中 k 2s 是一个正常数反馈增益;而 r s2 用于镇定不匹配扰动的动态和参数自适应的估计误差,它可以是满足如下条件的任意函数:

{ z 2 [ r s2 m + θ ˜ T Ψ 1 + d ˜ ( t ) ] ε 1 z 2 r s2 0 (16)

上式中, ε 1 可为任意小的正数,因此 r s2 可被设计为如下形式:

r s2 = k 2r z 2 (17)

上式中, k 2r 是一个正反馈增益,其数值界限可以规定为, k 2r m( θ m Ψ 1 )+ δ 1 θ m = θ max θ min 。至此,一阶虚拟控制律 r 设计完毕。将其表达式代入式(14),可以得到完整的 z ˙ 2 ,的动态表达式:

z ˙ 2 = 1 m z 3 + r s2 m + θ ˜ T Ψ 1 + d ˜ ( t )+( c 1 2 + θ 1 m ) z 1 +( c 1 θ 1 + k 2s m ) z 2 (18)

下一步,将合成系统的实际控制律,对z进行微分,可以得到以下式(19):

z ˙ 3 = θ 3 Gu+ θ 4 H 1 θ 5 H 2 θ 6 H 3 + θ 7 + q ˜ ( t ) r ˙ (19)

依然用 x 1d x 2d 代替 x 1 x 2 ,参与控制律的设计,但 P 1 P 2 的期望值难以直接求取,且它们存在于系统方程的第三阶中,来自传感器的高频测量噪声经过多次积分运算能够有效抑制,因此 P 1 P 2 仍然使用实际反馈值。由此引起的误差为: H ˜ 1 = θ 4 ( H 1 H 1d ) H ˜ 2 = θ 5 ( H 2 H 2d ) H ˜ 3 = θ 6 ( H 3 H 3d ) G ˜ = θ 3 ( G G d ) ,则式(19)可写为如下形式:

z ˙ 3 = θ 3 Gu+ θ 4 H 1d θ 5 H 2d θ 6 H 3d + θ 7 + q ˜ ( t ) r ˙ H ˜ 1 H ˜ 2 H ˜ 3 + G ˜ u (20)

最终,形成实际控制律 u

{ u= u a + u s u a = θ ^ 4 H 1d θ ^ 5 H 2d θ ^ 6 H 3d + θ ^ 7 r ˙ θ ^ 3 G d (21)

上式中, u a 基于模型的在线参数自适应前馈补偿控制律, u s 为待合成的鲁棒控制律。将式(21)代入式(20)可得:

z ˙ 3 = θ 3 G d u+ θ ˜ T Ψ 2 + q ˜ ( t ) H ˜ 1 H ˜ 2 H ˜ 3 + G ˜ u (22)

上式中, Ψ 2 = [ 0 0 G d u a H 1d H 2d H 3d 1 ] T 为回归变量, u s 可被设计为如下形式:

{ u s = 1 θ 3min G d ( u s1 + u s2 ) u s1 = k 3s z 3 u s2 = k 3r z 3 (23)

上式中, u s1 用于稳定系统的标称模型,而 u s2 用于镇定匹配扰动和参数自适应的估计误差。 k 3r 的数值界限被定义为:

k 3r θ m Ψ 2 + δ 2 ε 2 (24)

此外, u s2 满足以下两个条件:

{ z 3 [ θ 2 θ 2min + θ ˜ T Ψ 2 + δ 2 ] ε 2 z 3 u s2 0 (25)

上式中, ε 2 为可以任意小的常数。至此,得到了最终输入控制律 u

u= θ ^ 4 H 1d θ ^ 5 H 2d θ ^ 6 H 3d + θ ^ 7 r ˙ θ ^ 3 G d + 1 θ 3min G d ( k 3s z 3 k 3r z 3 ) (26)

结合实际情况, d ˜ ( t ) q ˜ ( t ) 均不等于0,故可定义如下Lyapunov函数:

V= 1 2 z 1 2 + 1 2 z 2 2 + 1 2 z 3 2 (27)

对上式(27)进行求导,可得:

V ˙ = z 1 ( z 2 c 1 z 1 )+ z 2 [ z 3 m + r s2 m + θ ˜ T Ψ 1 + d ˜ ( t )+( c 1 2 θ 1 m ) z 1 +( c 1 θ 1 k 2s m ) z 2 ] + z 3 [ θ 3 k 3s θ 3min z 3 + θ 2 u s2 θ 2min + θ ˜ T Ψ 2 + q ˜ ( t ) H ˜ 1 H ˜ 2 H ˜ 3 + G ˜ u ] (28)

V ˙ 的上界可以表示为:

V ˙ e 1 Λ e 1 + ε 1 + ε 2 2ξV+ ε 1 + ε 2 (29)

ξ 表示正定矩阵 Λ 的最小特征值,求解上述不等式可得:

V( t )V( 0 ) e 2ξt + ε 1 + ε 2 2ξ [ 1 e 2ξt ] (30)

上式(30)为Lyapunov函数的最终收敛误差,收敛速度和最终跟踪误差取决于矩阵 Λ 的特征值大小,即在保证系统稳定的情况下,可通过选择合适的参数,使系统以规定速度收敛至最小跟踪误差。

4. 仿真分析

为了能直观体现本文所提基于期望补偿的鲁棒自适应控制研究(DARC)的控制性能,选取PID和自适应鲁棒控制器(ARC)使用Matlab/simulink平台搭建仿真模型并在相同极限工况下进行仿真分析,仿真模型的具体参数如表1所示。

Table 1. Patameters of simulation model

1. 仿真模型参数

数量

质量

负载质量/kg

1200

供油压力/MPa

18

油缸的无杆腔直径/mm

250

油缸的杆径/mm

180

油缸行程/mm

800

油缸粘滞阻尼系数/(N∙s∙m1)

40000

伺服阀额定流量/(L∙min1)

80

伺服阀流量系数/(Cd)

0.61

为验证文中所提基于扩展状态观测器的自适应鲁棒控制器(DARC)的有效性,分别和自适应鲁棒(ARC)和PID控制器进行对比。选择3个控制器各自表现较好的参数。其中:DARC参数为: c 1 =3500 k 2s =1500 k 3s =300 k 2r =100 k 3r =250 ω=1200 θ( 0 )=[ 4× 10 5 ,0,2.04× 10 3 ,9.8× 10 6 ,4.7× 10 6 ,2× 10 3 ,0 ] θ min =[ 1× 10 5 ,0,1× 10 3 ,5× 10 6 ,1× 10 6 ,1× 10 3 ,1× 10 3 ] θ max =[ 8× 10 5 ,4× 10 5 ,6× 10 3 ,2× 10 7 ,9× 10 6 ,7× 10 3 ,1× 10 3 ] ,自适应率矩阵 Γ=diag{ 20,100,1× 10 6 ,5× 10 3 ,50,1× 10 5 ,10 } ;ARC参数为: c 1 =3500 c 2 =1800 c 3 =350 ;PID参数为: K p =100 K i =65 K d =5

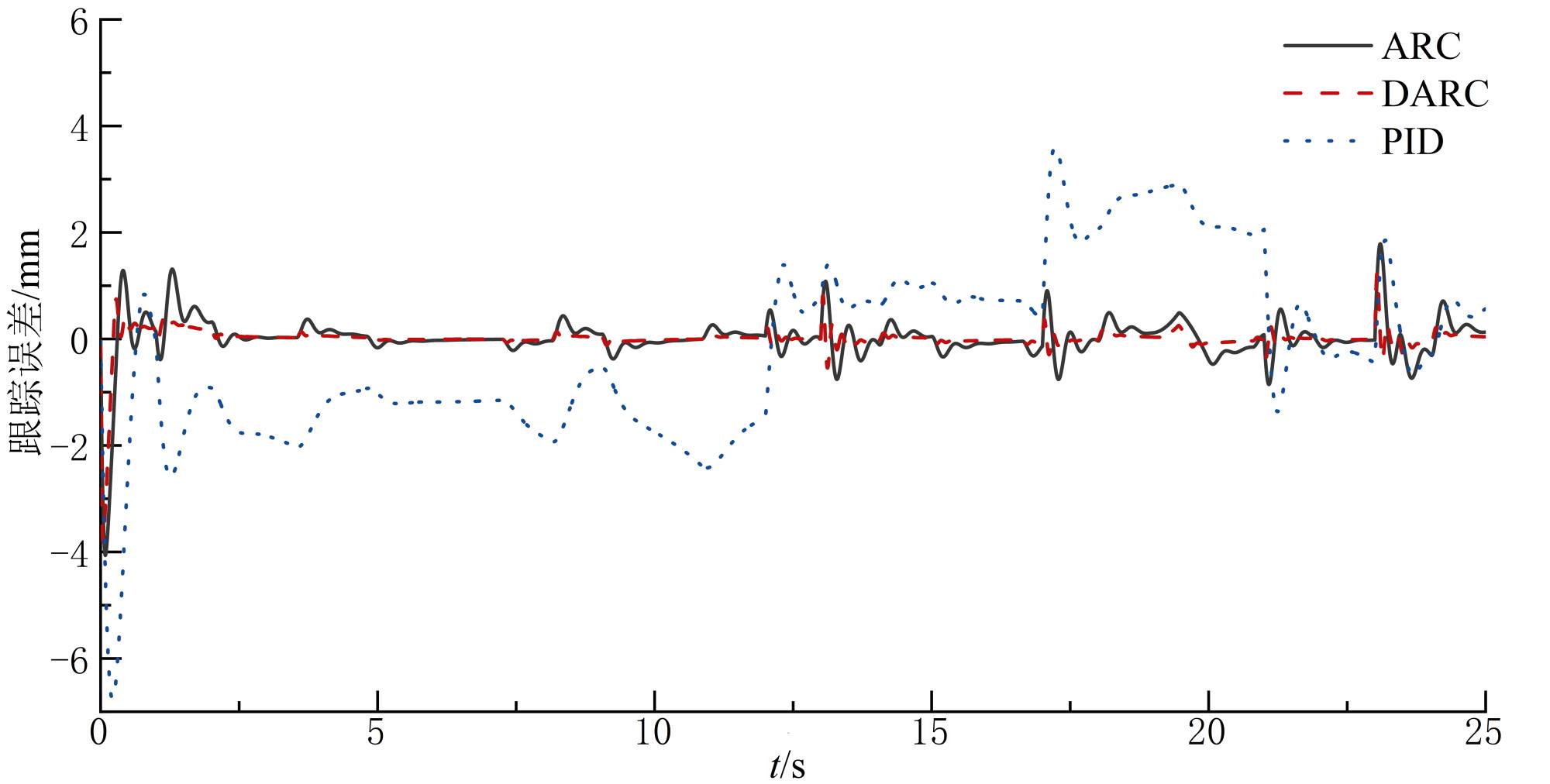
煤机截割部在实际工作过程中,其受力会频繁发生变化,故需要验证该工况下的各个控制器的性能。在此,使用Matlab/simulink平台搭建系统仿真模型和控制算法,将目标信号设为斜坡信号,系统1 s开始上升,12 s时到达目标高度150 mm并保持,17 s开始下降,22 s时回到50 mm并保持,油缸在接近目标位置过程中的最大误差被称为最大跟踪误差,过程中的平均误差为平均跟踪误差,这2个指标是衡量调高系统定位能力强弱的重要参考,可考察系统的双向定位能力。为了能够定量评价上述3种控制算法的控制器性能,本文选取调高油缸跟踪误差绝对值的最大值 M e 和平均跟踪误差 μ e 来进行具体的量化。

Figure 1. Oil cylinder position response curve

1. 调高油缸位置响应曲线

Figure 2. Tracking error curve of the oil cylinder

2. 调高油缸跟踪误差曲线

在此工况下,三种控制器作用下的系统位置响应曲线和跟踪误差曲线分别如图1图2所示。在1 s~17 s调高油缸上升阶段中,系统受扰性负载作用,3种控制器的调高油缸位置都有一定的波动,DARC、ARC、PID三种控制算法的最大跟踪误差分别为:0.92 mm、1.58 mm和2.39 mm,平均误差分别为:0.13 mm、0.24 mm和1.79 mm。在17 s至25 s的下降阶段中的最大误差分别为1.63 mm、2.41 mm和3.71 mm,平均误差分别为:0.19 mm、0.33 mm和1.97 mm。从最大跟踪误差来看,在上升和保持两个阶段中,DARC控制效果相比PID分别提高了61.5%和56.1%,从平均误差来看,在上升和保持两个阶段中,DARC控制效果相比PID分别提高了92.7%和90.4%,这主要是因为PID仅通过跟踪误差进行控制,只是考虑了输入与输出对整个系统的影响,而DARC基于模型的补偿设计将位移和速度的实际状态反馈替换为其期望信号,降低了测量噪声的污染。图3为参数自适应得到的失配扰动曲线,从图3中可以看得出,扰动的估计值能够大致跟踪上真实值,因为参数摄动的存在,部分位置仍存在较大的估计误差,故通过构造参数自适应律对系统的时变参数和不匹配扰动进行了自适应估计,并通过控制补偿提升控制性能,整体上提高了系统的控制精度和鲁棒性。

Figure 3. Curve of mismatch disturbance estimation

3. 失配扰动估计曲线

5. 结语

本文针对煤机调高液压系统存在的参数摄动和未知的外部扰动引起的跟踪精度不足的问题,基于阀控非对称液压缸系统设计了基于期望补偿的鲁棒自适应控制器。在控制器中基于模型补偿的设计部分,采用位移和速度信号的期望值来代替实际反馈值以降低测量噪声对控制器性能的影响。针对系统的参数摄动和存在不匹配扰动问题,利用Lyapunov渐近稳定理论推导参数自适应律以获得不确定参数的实时估计值,最后通过仿真验证了设计方法的有效性,使得系统对于调高液压系统的参数不确定性和干扰,具有优秀的控制精度和鲁棒性,较好地满足系统位移控制和工作平稳性的要求,具有较好的实际应用前景。

基金项目

2024年中煤科工集团上海有限公司科研开发项目(02060420824X)资助。

参考文献

[1] 邱锦波, 刘聪, 吴昊坤, 等. 采煤机智能化发展现状及关键技术展望[J]. 工矿自动化, 2024, 50(7): 64-78.
[2] 刘杰. 煤矿机械液压系统滑模控制研究[J]. 机床与液压, 2023, 51(6): 41-44.
[3] 高文才, 闫政. 闭式泵控采煤机调高系统的高精度控制[J]. 液压与气动, 2024, 48(3): 99-106.
[4] Liao, J., Chen, Z. and Yao, B. (2019) Model-Based Coordinated Control of Four-Wheel Independently Driven Skid Steer Mobile Robot with Wheel-Ground Interaction and Wheel Dynamics. IEEE Transactions on Industrial Informatics, 15, 1742-1752.
https://doi.org/10.1109/tii.2018.2869573
[5] Zhang, X., Wang, Y., Zhu, G., Chen, X., Li, Z., Wang, C., et al. (2021) Compound Adaptive Fuzzy Quantized Control for Quadrotor and Its Experimental Verification. IEEE Transactions on Cybernetics, 51, 1121-1133.
https://doi.org/10.1109/tcyb.2020.2987811
[6] Deng, W. and Yao, J. (2021) Asymptotic Tracking Control of Mechanical Servosystems with Mismatched Uncertainties. IEEE/ASME Transactions on Mechatronics, 26, 2204-2214.
https://doi.org/10.1109/tmech.2020.3034923
[7] Yong, K., Chen, M., Shi, Y. and Wu, Q. (2020) Flexible Performance-Based Robust Control for a Class of Nonlinear Systems with Input Saturation. Automatica, 122, Article ID: 109268.
https://doi.org/10.1016/j.automatica.2020.109268
[8] Yao, B. and Xu, L. (1999) Adaptive Robust Control of Linear Motors for Precision Manufacturing. IFAC Proceedings Volumes, 32, 25-30.
https://doi.org/10.1016/s1474-6670(17)56007-3
[9] Xu, L. and Yao, B. (2001) Adaptive Robust Precision Motion Control of Linear Motors with Negligible Electrical Dynamics: Theory and Experiments. IEEE/ASME Transactions on Mechatronics, 6, 444-452.
https://doi.org/10.1109/3516.974858
[10] Hu, C., Yao, B. and Wang, Q. (2010) Integrated Direct/Indirect Adaptive Robust Contouring Control of a Biaxial Gantry with Accurate Parameter Estimations. Automatica, 46, 701-707.
https://doi.org/10.1016/j.automatica.2010.01.022
[11] Shen, W. and Zhao, H. (2022) Fault Tolerant Control of Nonlinear Hydraulic Systems with Prescribed Performance Constraint. ISA Transactions, 131, 1-14.
https://doi.org/10.1016/j.isatra.2022.04.052
[12] Shen, W., Huang, H. and Wang, J. (2018) Robust Backstepping Sliding Mode Controller Investigation for a Port Plate Position Servo System Based on an Extended States Observer. Asian Journal of Control, 21, 302-311.
https://doi.org/10.1002/asjc.1885