新工科背景下融合OBE理念与思政元素的线性代数课程教学改革研究
A Study on the Reform of Linear Algebra Course Teaching by Integrating OBE Concept and Ideological and Political Elements in the Context of New Engineering Disciplines
摘要: 针对新工科建设对人才能力素质的新要求,文章以线性代数课程为研究对象,针对传统教学中存在的实践脱节、思政育人缺位等问题,提出融合课程思政与OBE理念的教学改革方案。通过对青海民族大学404名理工科学生的实证研究表明,将密码学等工程案例与科技报国等思政元素有机融合教学,提升了班级成绩,学生问题解决能力与思政认知水平得以加强。研究构建了“目标–过程–评价”的三位协同教学模型,为工程数学改革提供了实施路径。有助于在新工科背景下,培育具有创新思维和实践能力的优秀工程师。最后,文章指出,该教学方式不只是帮助满足新时代教育多元化的需求,更是对新工科背景下具有创新思维和实践能力的优秀工程师培养起到积极作用,有助于夯实基础并培养他们将基础理论与实际相联系的能力。
Abstract: In response to the new requirements of the construction of new engineering disciplines for the ability and quality of talents, this paper takes the linear algebra course as the research object and proposes a teaching reform plan that integrates the ideological and political education of courses with the OBE concept in response to the problems of disconnection from practice and lack of ideological and political education in traditional teaching. Through an empirical study of 404 science and engineering students from Qinghai Minzu University, it is shown that the organic integration of engineering cases such as cryptography and ideological and political elements such as science and technology for the country has improved class grades and students’ problem-solving ability and ideological and political cognition have been strengthened. The study constructed a three-dimensional collaborative teaching model of “goal-process-evaluation”, which provides an implementation path for the reform of engineering mathematics. It is helpful to cultivate outstanding engineers with innovative thinking and practical ability in the context of new engineering. Finally, this paper points out that this teaching method not only helps meet the needs of diversified education in the new era, but also plays a positive role in the cultivation of outstanding engineers with innovative thinking and practical ability in the context of new engineering, and helps to consolidate the foundation and cultivate their ability to connect basic theory with practice.
文章引用:张斌, 刘凤娜, 张彬彬, 叶利娟. 新工科背景下融合OBE理念与思政元素的线性代数课程教学改革研究[J]. 教育进展, 2025, 15(6): 834-838. https://doi.org/10.12677/ae.2025.1561068

1. 引言

随着新工科建设的深入推进,工程教育正经历从知识传授向能力素质培养的范式转型。线性代数作为人工智能、密码学等前沿领域的数学基础,其教学改革亟待突破传统模式。调查显示,超过60%的工科学生认为现行线性代数课程存在“重计算轻应用”的弊端[1],这与新工科强调的复杂问题解决能力培养要求形成显著差距。

成果导向教育(Outcome-Based Education, OBE)以其逆向设计、持续改进的特点,为工程教育改革提供了方法论支持[2]。与此同时,课程思政作为落实立德树人的关键路径[3],如何实现知识传授与价值引领的有机统一,成为高等教育研究的重要议题。已有研究表明,工程数学课程中蕴含丰富的思政元素,通过历史脉络梳理、科学家精神阐释等方式,可有效提升学生的专业认同感与社会责任感[4]

本文以青海民族大学线性代数课程改革为实践载体,系统探讨OBE理念与课程思政的融合机制。通过教学实践发现:通过构建“目标–过程–评价”的教学模式,不仅显著提升了学生的学业成绩,更培养了学生的创新思维与家国情怀。这一探索为西部民族类高校的新工科课程建设提供了有价值的实践经验。

2. 线性代数教学模式现状

面对新的工程学科环境,线性代数的教育范式越来越难以解决教学任务中的问题与挑战。虽然线性代数在大学数学教学中是核心元素,对于培育学生的逻辑推理和解题技巧显得尤为关键,但是当前的线性代数教育正遇到诸多的挑战和困境。首先,教育方法上,教师常常偏向单一的授课方式,而往往忽略了学生们的个性化和多元需求[5]。该教学模式过于侧重理论知识与解题技巧的传授,忽视了数学的实践价值。教师未能有效整合线上教育资源,亦未将理论知识与实际应用结合,导致学生参与度不足,影响教学效果。教学内容与日常生活以及其他学科的连接出现了偏差,这使得学生们在线性代数的真实应用上存在理解上的不足,往往只是将这门课看作一门基本的理论课程[6]。在学习方法上,许多学生仍停留在被动接受信息层面,缺乏主动探究与反思能力,他们对课程内容理解较浅,课后未能及时巩固,甚至存在抄袭现象。这种被动学习模式严重影响了学生对线性代数知识的掌握与应用。此外,因为教学材料缺乏启示和系统化,使学生很难领悟内容的根源及其价值,并难于构建起一个全面的知识结构。另外一个困惑是,教育教学内容没有成功整合思想和政治教育元素,从而忽视了思想政治观念在课堂教育中的重要性。在课程评估层面,现行课程评估机制过于单一,过度依赖日常测验与考试成绩。其考查内容偏重基础理论及计算能力,未能有效评估学生的理解深度、创造性思维及实践能力,缺乏多维度的综合评价体系。此评估制度不利于学生整体发展,并且很难精确判断他们是否满足线性代数课程的教育目标。总的来说,当前的线性代数教学方法在新的工程环境中遭遇到了众多挑战,急需进行相应的创新和改进。

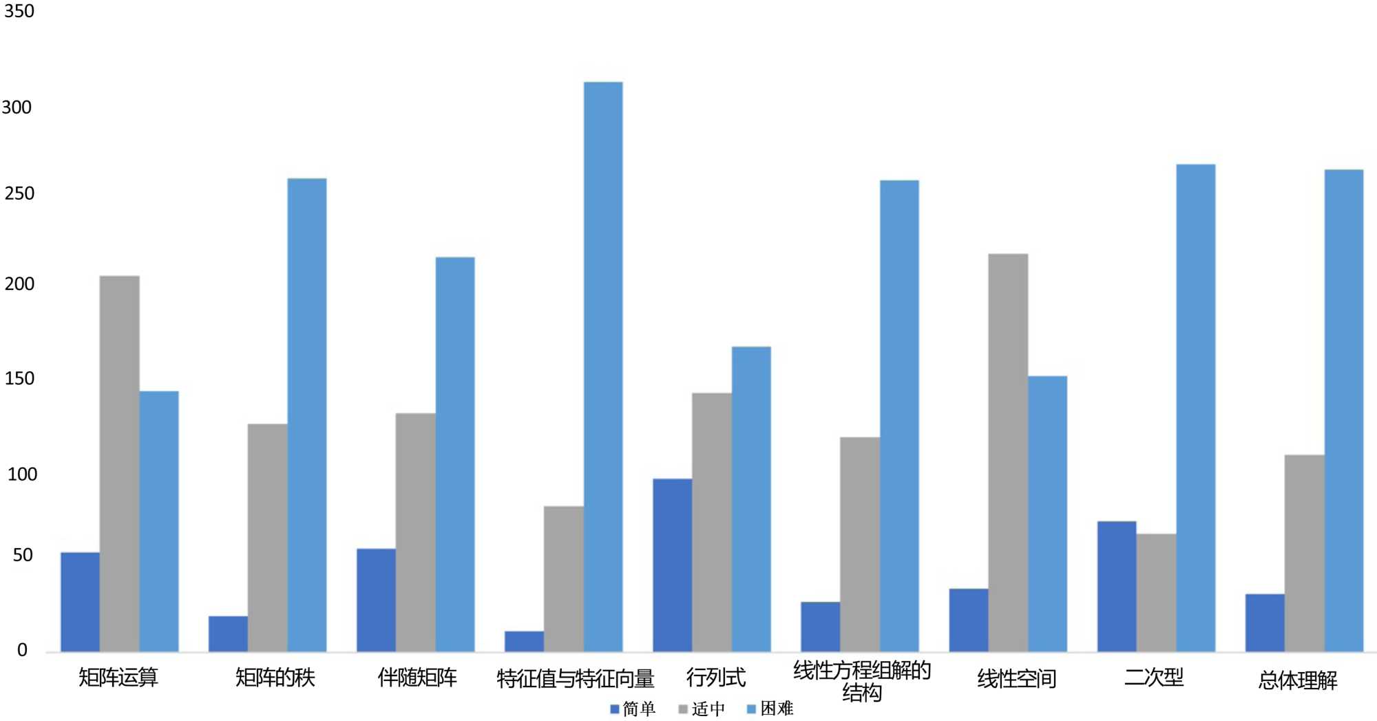
基于线性代数教学和学习的上述特点,我们对青海民族大学的理工专业学生进行了调查研究,并成功地收集到了404份反馈信息,这些调查帮助我们了解现行线性代数教育模式面临的挑战。调查显示(见图1),学生普遍反映线性代数课程存在理解困难,主要表现为计算过程复杂且实际应用掌握不足。这样的反馈揭示了教学途径单一和学习方法被动等因素的深入探讨,揭示了教学主题与学生真实需求存在不匹配的情况。调查中,学生们提出了线性代数教学在培养学生实际应用能力及解决实际问题上的局限性,明确指出了目前教学模式在满足学生实际需求和优化教学效益方面亟需改进的领域。基于此,有必要系统优化线性代数教学方式,以契合新工科教育需求,实现教学质量与学生学术发展的双重提升。

Figure 1. Survey map of linear algebra learning in science and engineering

1. 理工科线性代数学习状况调研图

3. 新工科背景下的OBE理念与课程思政的融合教学改革研究

在新工科背景下,OBE (Outcome-Based Education)的教育理念与课程思想政治的交融和教学改革的研究,为工程教育提供了一个新的方向和发展轨迹。自从2016年“新工科”概念被引入之后,在新科技革命、新产业革命、新经济时代等多个时代的大环境下,教育部积极响应并组织了详尽的讨论,进而形成了具有持久影响的“复旦共识”和“天大行动”[7] [8]。此举不只是一种展望前景的新观念和创新策略,它更代表了我国在工程教育改革上的核心战略决定,目标是培育未来的多元化、有创新能力的工程专家。鉴于目前的背景,OBE的教育思想变得尤为重要。教育模式是以成果导向为核心的,它注重学生的中心地位,使用逆向思路来设计课程框架[2]。OBE教育哲学倡导教师应从他们预期的学习效果开始,确保学生满足预定的学习目标,并专注于培养学生全方位的能力和成长。

与此同时,课程思政被视为一个核心的教育策略,对于线性代数的教育提供了更加宽广的视野。线性代数这门课程中充满了丰富的思想政治教育元素,这包括了数学、线性代数的历史发展过程、数学家的奋斗历程等方面。把这些思政元素纳入到教学实际中,能够悄悄地把德育整合到教学过程中,实现知识的有效传播与价值观的有效导向结合[9] [10]。研究数学史与线性代数发展过程可达成三重教学目标:深化理论认知、培养科学思维、塑造正确价值观。在课程思政层面,通过数学家典型案例的教学设计,既能激发科研兴趣,又可培育坚韧品格这一核心素养。这种整合式的教学方法不仅有助于学生深刻理解和熟练掌握数学概念,而且还能培养他们的高尚品德和塑造他们的价值观,为学生全方位的成长提供了不可或缺的支柱。

将OBE理论与课程思政融入线性代数教学是极其关键和不可忽视的。这种综合方式表明,教师需要以学生期待的学习结果作为参考[11],从而确保他们能够实现预定的教学目的。举例而言,教师可以在教授线性代数的过程中,将数学和线性代数的历史进程、数学家如何奋斗等HPM视角与思政元素融入课程中。借助这些教学内容的介绍,帮助学生得以进一步钻研理论的深奥,并在其学习旅程中培育出科学的思维方式、恰当的人生哲学及价值观[10]

实施融合教学策略时,教师应充分尊重学生主体地位,基于个体差异采用多元化教学方法。其中的措施涵盖了指导学生提前做好学习计划,同时有效地运用多种教学资源平台,旨在推动他们在各个方面均衡成长。通过采用这种独特的策略,线性代数教学不只关注学生对数学工具的熟练掌握程度,更强调其道德品质的培养和价值观的塑造。这种融合性的教学方法不仅能够传递知识和指导价值观念,并且为学生的全方位成长提供坚实的保障。

4. 实施案例(密码与国家安全——最简单的逆矩阵加密方式)

本研究构建了“目标–过程–评价”三维协同的教学模型。在目标层面,参照新工科培养方案与要求,确立“掌握矩阵理论–解决工程问题–树立科技报国理想”的阶梯式目标体系;在过程层面,采用项目式学习(Project-Based Learning PBL)方法,设计“基础理论–工程案例–思政映射”的教学链;在评价层面,建立包含知识测试、项目报告、思政反思、同伴评价、项目讨论的多元评价体系。

以逆矩阵的教学单元为例,具体实施途径包括:1) 课前准备阶段:通过MOOC平台发布逆矩阵教学视频,要求学生完成希尔密码发展史的文献阅读。2) 课堂教学阶段:首先播放《破密》片段,引导学生思考密码技术的战略价值;随后开展希尔密码加解密项目实践,学生分组对“no homework today”进行矩阵加密,并使用程序代码验证解密过程。在此过程中,适时引入我国密码学家王小云破解MD5算法的事迹,激发学生的科技自信。3) 课后拓展阶段:布置《密码学中的数学思想》拓展阅读,要求学生查阅文献调研当下与逆矩阵相关的应用并撰写学习拓展。

5. 效果评价

融合OBE理念和课程思政模式,对于提高教学的质量和效果具有重要意义。这种结合能够更好地联系基础理论与实践,同时激发学生的学习兴趣,培养从被动学习到主动学习的习惯。例如,在线性代数课程的A班(40人物理1班)、B班(42人物理2班)和C班(44人物理3班)中,教师可以根据OBE理念明确设定学生的学习目标。对于A班,目标是通过理论课程学习,掌握线性代数的基本概念和原理,在作业布置中强调计算;对于B班,目标则是通过OBE理念项目,运用数学知识解决实际问题;对于C班则是在B班的基础上融合一些思政元素同时提供课外阅读清单并作为平时成绩的组成部分。

在评价学生的学习成果时,采用多种形式和方法,如课堂表现评价、作业评价、项目评价等。在A班中,通过理论知识的考试和作业来评价学生的学习成果;在B班中,通过实践项目的成果和报告来评价学生的学习成果;在C班中,在此基础上还加入了一些与其专业相关的课外阅读材料与案例计算。通过这些评价方式,可以更加客观地了解学生的学习情况,及时发现问题并加以解决。同时,还可以通过学生自我评价和同学互评等方式,促进学生之间的交流和合作,培养他们的团队合作精神和自我管理能力。

通过相同的期末测试(强调基本概念的理解和计算),A、B和C班的卷面成绩经检验均满足正态分布且方差齐。A班成绩为(56.0 ± 15.4)分,B班成绩为(63.9 ± 14.6)分,而C班成绩为(71.4 ± 14.3)分。经ANOVA与两两t检验发现,A、B、C三个班级之间存在统计学差异(p < 0.05),且从期末卷面成绩上,C班优于B班和A班。

6. 结论

面对线性代数教育中出现的问题,本研究提供了一个融合课程思政与OBE教育理念的方法。在新型工科背景下,这种应用方式能够更有效地进一步完善工程教育框架,并为社会培育出更多具有创新思维与实践技能的工程技术人员,而这一群专业技术人才有潜力为我国科技的不断进步和产业结构的提升作出显著贡献。该研究结果显示了教育体制的变革在国家长期战略规划中的核心地位,并为未来工程教育的进一步发展提供了明确的指导方针。

基金项目

本研究受青海民族大学教育教学研究与改革重点研究项目(2024-ZDYJ-007)支持。

参考文献

[1] 高德毅, 宗爱东. 从思政课程到课程思政: 从战略高度构建高校思想政治教育课程体系[J]. 中国高等教育, 2017(1): 43-46.
[2] 刘香萍, 周红梅, 编. 基于OBE理念的专业与课程建设[M]. 北京: 北京理工大学出版社, 2022.
[3] 思政课是落实立德树人根本任务的关键课程[J]. 新长征(党建版), 2021(3): 4-13.
[4] 余江涛, 王文起, 徐晏清. 专业教师实践“课程思政”的逻辑及其要领——以理工科课程为例[J]. 学校党建与思想教育, 2018(1): 64-66.
[5] 张晓妮. “三教”理念下的高职线性代数教学模式革新探究[J]. 现代职业教育, 2023(11): 121-124.
[6] 刘锡平, 何常香, 魏连鑫. 新工科背景下线性代数课程教学改革的实践与探索[J]. 黑龙江教育(高教研究与评估), 2021(4): 35-36.
[7] 钟登华. 新工科建设的内涵与行动[J]. 高等工程教育研究, 2017, 65(3): 1-6.
[8] 陆国栋. “新工科”建设的五个突破与初步探索[J]. 中国大学教学, 2017(5): 38-41.
[9] 吴岩. 建设中国“金课” [J]. 中国大学教学, 2018(12): 4-9.
[10] 潘佳佳. 《高等数学》教学中课程思政的探索[J]. 教育进展, 2023, 13(4): 1649-1653.
[11] 吴秋凤, 李洪侠, 沈杨. 基于OBE视角的高等工程类专业教学改革研究[J]. 教育探索, 2016(5): 97-100.