车桥耦合振动下的组合梁细节疲劳可靠度研究
Study on Detail Fatigue Reliability of Composite Beams under Vehicle Bridge Coupling Vibration
摘要: 桥梁的疲劳破坏作为一种不易发现的破坏形式,发生后易造成较为严重的人员伤亡以及财产损失。可靠度分析方法作为一种科学的疲劳事故预防手段,可以有效地为桥梁的维护以及修缮工作提供理论指导。本文采用车桥耦合振动分系体系,计算车辆荷载作用下桥梁细节产生的应力响应,针对交通量增长、路面不平整度等级以及初始路面平整度指数影响下的桥梁可靠度指标变化规律进行研究。
Abstract: Fatigue failure of bridges, as a form of failure that is difficult to detect, can easily cause serious casualties and property damage when it occurs. The fatigue reliability analysis method, as a scientific means of preventing fatigue accidents, can effectively provide theoretical guidance for the maintenance and repair of bridges. This article uses a vehicle bridge coupled vibration system to calculate the stress response of bridge details under vehicle loads, and studies the variation of bridge reliability indicators under the influence of traffic volume growth, road roughness level, and initial road roughness index.
文章引用:陈泽恺, 窦卫华, 陈小兵. 车桥耦合振动下的组合梁细节疲劳可靠度研究[J]. 土木工程, 2025, 14(6): 1523-1533. https://doi.org/10.12677/hjce.2025.146164

1. 引言

在桥梁的破坏形式中,疲劳破坏属于脆性破坏,破坏前结构不会表现出明显的变形,难以察觉并且破坏过程特别迅速[1]。疲劳作用是疲劳破坏的外因,桥梁一旦发生疲劳破坏将会造成严重的后果。我国规范《公路钢结构桥梁设计规范》(JTG D64-2015)中明确指出公路桥梁出现疲劳损伤和疲劳破坏的主要影响因素是随机车辆荷载,基于车桥耦合振动的分析方法可以有效针对车辆荷载作用下的桥梁响应进行分析,准确预估车辆荷载对桥梁疲劳性能的影响。

在学术研究中,通常采用建立极限状态方程的方法对结构安全运行的可靠性能状态的临界阈值进行界定。这种基于概率统计的结构安全性评估方法将材料性能的随机性、施工过程导致的随机性等随机变量纳入系统分析,为工程中的风险管控提供了量化依据。

2. 车桥耦合振动分析系统

2.1. 桥梁有限元模型

基于建模平台ANSYS Workbench建立桥梁的上部结构有限元模型,桥梁全长45 m,由混凝土桥面板、钢箱主梁、加劲肋、横隔板以及端部压重混凝土组成。考虑到实体单元在进行三维应力场计算方面的优越性,桥梁全桥采用8节点的Soild45单元进行桥梁建模。梁端设置的边界条件按照桥梁的工程实际设置为简支边界条件,建立的桥梁有限元模型如图1所示。

Figure 1. Finite element model of bridge

1. 桥梁有限元模型

2.2. 车桥耦合振动体系

本文采用MATLAB软件编写车桥耦合振动分析程序并基于四阶Runge-Kutta法在时域内对车桥耦合振动方程进行求解。

首先依照美国国家高速公路和交通运输协会桥梁设计规范中的HS20-44车辆模型,基于d’Alembert原理构建本文中车桥耦合振动分析系统中的3轴车辆数值模型,将车体离散并简化为图2所示结构。

Figure 2. Numerical model of a 3-axis vehicle

2. 3轴车辆数值模型

按照动力学分析原理分别建立车辆和桥梁的动力学方程,其中车辆和桥梁的运动方程分别如式(1)和式(2)所示。根据车辆与桥梁接触点的位移关系和作用力关系,联立车辆和桥梁的运动方程,建立车桥耦合振动方程。

M V Z ¨ V + C V Z ˙ V + K V Z V = F VG + F VB (1)

M B Z ¨ B + C B Z ˙ B + K B Z B = F BV (2)

式中: M V M B 分别为车辆和桥梁的质量矩阵; C V C B 分别为车辆和桥梁的阻尼矩阵; K V K B 分别为车辆和桥梁的刚度矩阵; Z V Z B 分别为车辆和桥梁的位移矩阵; Z ˙ V Z ˙ B 分别为车辆和桥梁的速度矩阵; Z ¨ V Z ¨ B 分别为车辆和桥梁的加速度矩阵; F VG 为车辆的重力荷载矩阵; F VB F BV 为车辆与桥梁的相互作用力矩阵。有:

[ M B M V ][ Z ¨ B Z ¨ V ]+[ C B + C B-B C B-V C V-B C V ][ Z ˙ B Z ˙ V ]+[ K B + K B-B K B-V K V-B K V ][ Z B Z V ]=[ F B-R F V-R + F VG ] (3)

式中: C B-B C B-V C V-B K B-B K B-V K V-B F B-R F V-R 为时间变量相关的附加项。

桥梁的位移可表示为如式(1.4)所示:

Z B =[ τ 1 τ 2 τ i τ n ] [ ξ 1 ξ 2 ξ i ξ n ] T =[ τ B ][ ξ B ] (4)

式中:n为桥梁保留的模态阶数; τ B ξ B 分别为桥梁的模态振型向量和广义模态坐标向量; τ i ξ i 分别为桥梁的第i阶模态振型和第i阶广义模态坐标。

将每阶模态振型进行标准化处理后代入式(3)得到车桥耦合振动方程:

[ E M V ][ ξ ¨ B Z ¨ V ]+[ 2 ω i η i E+ τ B T C B-B τ B τ B T C B-V C V-B τ B C V ][ ξ ˙ B Z ˙ V ] +[ ω i 2 E+ τ B T K B-B τ B τ B T K B-V K V-B τ B K V ][ ξ B Z V ]=[ τ B T F B-R F V-R + F VG ] (5)

3. 桥梁细节疲劳可靠度分析

3.1. 可靠度分析方法

一般地,采用极限状态函数来定义结构功能性生效与失效的临界状态,通过该状态可以对结构是否处于有效状态进行判别,结合Miner疲劳损伤累积准则下的疲劳寿命计算方法,结构的疲劳功能极限状态函数表示为:

Z=f( X )=RS= Δ lim n365 Q d N eq S eca m K D (6)

式中, Z 为结构的功能函数,结构的可靠度受到各类不确定因素的影响,所以该功能函数也为以各不确定影响因素作为自变量的函数,本文主要考虑的自变量为材料特性以及结构经受的荷载特性; R 为结构的抗力,在疲劳分析中表示为结构抵抗疲劳破坏的能力,即为Miner临界疲劳损伤累积, Δ lim 一般取值为1; S 表示为结构在外部激励下产生的荷载效应,本文中进行分析的对象为桥梁细节应力循环造成的疲劳损伤累积。

当结构的荷载效应与结构的抗力相等时,即本文中桥梁细节的疲劳损伤累积到达其损伤累积限值时,结构的功能函数 f( X )=0 ,此时结构正好处于功能失效的临界状态。在结构的荷载效应大于结构的抗力时,此时结构已经发生失效,其失效概率 P f 为:

P f =P( f( X )<0 ) (7)

根据结构的失效概率使用正态分布的概率累积反函数定义疲劳可靠度指标 β

1 P f =Φ( β ) (8)

β= Φ 1 ( 1 P f ) (9)

式中, Φ 为标准正态分布的概率累积函数。可以看出,在标准正态分布的概率累积下,可靠度指标 β 越高,结构失效的概率就越低,其在运营服役中的安全性也就越好。对于 β 具体数值的拟定,需要综合考虑结构失效的危害性以及对结构过度维护产生的经济负担,本文参考已有文献的研究成果[2],将可靠度指标 β 的限值 β lim 拟定为1.65。

3.2. 随机变量的分布特征

根据建立的疲劳极限状态函数,其中需要进行分析的随机变量包括Miner临界疲劳损伤累积、疲劳细节常数、由材料种类决定的S-N曲线的斜率负倒数m、等效循环应力幅 S eca 以及应力循环次数 N eq ,以下对各变量的随机特征进行分析:

1) Miner临界疲劳损伤累积 Δ lim

基于Miner线性累积损伤准则,结构在理论层面上累积损伤达到临界阈值时将进入疲劳失效阶段。实际导致破坏的损伤累积量呈现显著概率分布特征,其统计离散性主要受三方面因素影响:试件几何结构差异、材料性能的不确定性以及加载次序的随机性。

在Miner临界疲劳损伤累积指数 Δ lim 的概率分布量化分析方面,Wirsching [3]基于大量的疲劳试验数据样本,建立了临界损伤指数 Δ lim 的概率模型。其研究成果表明该临界损伤指数 Δ lim 服从对数正态分布,推荐采用均值 μ 取1.0、变异系数 δ 取0.3的模型概率分布参数,该模型有效表征了Miner线性累积损伤准则在工程应用中的预测偏差。反映出不同工程背景下损伤累积总量的差异性。

2) 疲劳细节常数 K D 及材料常数m

根据疲劳规范中的规定,S-N曲线的走向由疲劳细节常数 K D 及材料常数m进行确定,其中m为S-N曲线斜率的负导数,疲劳细节常数 K D 由不同的材料属性进行确定。根据英国规范中的建议,英国BS 5400规范中将不同疲劳等级下的疲劳细节常数C视作具有正态分布概率模型的随机变量,其变异系数 δ 建议取值为0.3。对于材料常数m,各规范中将其视为确定的数值,唯一的影响因素为材料自身的种类,不随其他因素而改变。

参考英国BS 5400规范中对疲劳细节常数C的概率分布参数,将欧洲疲劳规范Eurocode 3中所用到的疲劳细节常数 K D 的取值以及统计特征整理如表1所示,本文以疲劳细节②作为分析对象。

Table 1. The values and statistical characteristics of material detail constants K D in Eurocode 3

1. Eurocode 3中的材料细节常数 K D 的取值及统计特征

细节序号

细节类别

Δ σ C /MPa

均值

u K D /MPa 5

标准差

σ K D

变异系数

δ K D

125

3.318× 10 16

1.014× 10 16

0.3

110

1.751× 10 16

4.713× 10 15

0.3

80

3.563× 10 15

1.069× 10 14

0.3

3) 等效常幅应力循环幅值 S eca 、应力循环次数 N eq

桥梁疲劳细节在一辆车辆的行驶过程中,经历的等效常幅应力循环幅值 S eca 以及应力循环次数 N eq 受到路面不平整度等级的影响。为了对不同路面不平整度等级下桥梁细节的 S eca 以及 N eq 的概率分布特征进行统计,基于车桥耦合振动分析程序,计算随机车速下不同路面不平整度等级的桥梁疲劳细节动应力时程,使用雨流计数法提取各循环的应力幅以及循环次数,整理经过修正以及等效后的等效常幅应力循环幅值 S eca 、应力循环次数 N eq 的统计结果,对其进行概率分布拟合。常用的概率分布模型包括正态分布、对数正态分布、Gamma分布、Weibull分布,本文采用上述四种概率分布模型对桥梁疲劳细节动应力计算结果进行拟合,使用K-S检验以及卡方检验对拟合后的概率分布模型拟合效果进行验证。

使用车桥耦合振动分析程序计算车辆以随机车速行驶时,不同路面平整度等级下疲劳细节的动应力时程,重复计算100次,对变量的概率分布模型进行拟合。以路面等级为“一般”为例,测点的等效常幅应力循环幅值 S eca 以及应力循环次数 N eq 概率分布的拟合及检验结果如图3所示,各概率分布模型的显著性检验结果中的p值越大代表检验质量越好,其中p值最大的概率分布模型就为该随机变量的最优概率分布模型。

(a) 疲劳应力幅的各概率分布模型 (b) 疲劳应力幅的拟合度检验

(c) 应力循环次数的各概率分布模型 (d) 应力循环次数的拟合度检验

Figure 3. Probability distribution model fitting results of fatigue stress amplitude and cycle number

3. 疲劳应力幅及循环次数的概率分布模型拟合结果

对比分析图3中不同概率分布模型下K-S检验以及卡方检验的p值,可以发现随机变量的最优概率分布模型为对数正态分布模型,将各路面不平整度等级下等效应力循环幅值 S eca 以及循环次数 N eq 的概率分布模型统计特征整理如表2所示。

Table 2. Statistical characteristics of variables under uneven road surfaces

2. 各路面不平整度下的变量统计特征

随机变量种类

路面不平整度等级

最优概率分布

均值

标准差

变异系数

等效应力循环

幅值 S eca (MPa)

非常好

对数正态分布

14.22

3.74

0.263

对数正态分布

16.35

3.50

0.214

一般

对数正态分布

17.06

3.22

0.189

对数正态分布

21.85

8.76

0.401

非常差

对数正态分布

24.31

8.70

0.358

应力循环次数 N eq

非常好

对数正态分布

20.17

5.89

0.291

对数正态分布

23.31

10.41

0.431

一般

对数正态分布

43.66

13.36

0.306

对数正态分布

89.23

25.34

0.284

非常差

对数正态分布

125.18

59.71

0.477

3.3. 考虑路面不平整度以及交通量增长的桥梁细节疲劳可靠度分析

本文采用蒙特卡洛抽样法进行桥梁细节疲劳可靠度指标的计算。将桥梁年交通量的增长指数表示为 α ,其取值考虑为1%~5%五种增长速度,基于结构的疲劳功能函数以及可靠度指标的构建方法计算桥梁疲劳细节在不同路面平整度以及不同年交通量增长系数的影响下的疲劳可靠度指标 β ,分析 β 随服役年限增长以及交通量增长指数 α 改变的变化规律,计算结果如图4所示。

(a) 路面平整度等级为“非常差” (b) 路面平整度等级为“差”

(c) 路面平整度等级为“一般” (d) 路面平整度等级为“好”

(e) 路面平整度等级为“非常好”

Figure 4. Fatigue reliability indicators for various levels of road surfaces considering the impact of changes in traffic volume

4. 考虑交通量变化影响的各级路面疲劳可靠度指标

在平衡计算效率以及结果质量后,将抽样次数拟定为106次。受到蒙特卡洛抽样法中统计原理的限制,在路面状态较好、服役时长较短的状况下无法抽样出失效的样本,导致计算出的失效概率为0,相应的可靠度指标为无穷大。基于统计学计算,该状态下桥梁细节在所有抽样样本中均不会发生疲劳破坏,在绘制时忽略路面不平整度等级较好的曲线中前20年服役时长,对20年之后的疲劳可靠度指标变化趋势进行分析。

图4中可以看出,交通量的增长对桥梁细节疲劳可靠度指标的影响显著,路面状况越好,可靠度指标受到交通量的增长影响效果也就越明显。但是这并不代表路面状况好的桥梁细节疲劳寿命或可靠度受到交通量增长影响大于路面状况较差的桥梁,只是因为路面状况较差的桥梁其达到疲劳可靠度指标限值所需要的服役年限较短,此时交通量增长指数对总交通量的影响有限,交通量增长指数的影响随着服役时长的增加逐渐增大。疲劳可靠度指标直接反映了细节的失效概率,不考虑交通量的增长,在路面状态为“非常差”时,桥梁运营3.3年后即到达疲劳失效概率的限值,在路面状态为“差”时,桥梁运营12年后将到达疲劳失效概率的限值,在桥梁路面为“一般”时,桥梁运营150年后将到达疲劳失效概率的限值,在桥梁路面为“好”以及“非常好”时,桥梁在运营200年内的疲劳失效概率不会到达限值。

路面不平整度等级对桥梁可靠度指标的变化趋势影响显著,在实际工程中,桥梁的路面平整度会随着服役时长的增加而劣化,针对桥梁细节的疲劳可靠度分析需要考虑路面不平整度等级随时间的变化情况,对桥梁运营过程中的桥面平整度劣化过程进行模拟,从而获得更有参考意义的疲劳可靠度分析结果。

3.4. 考虑初始路面不平整指数的桥梁细节疲劳可靠度分析

由于桥梁刚建成通车,路面的劣化需要时间与车辆荷载的共同作用,其初始道路初始国际平整度指数IRI0取值应该大于0,且其对应的路面评定等级应为优一级。根据我国《公路技术状况评定标准》,路面行驶质量指数RQI与国际平整度指数IRI之间的数量关系为:

RQI= 100 1+ a 0 × e a 1 ×IRI (10)

式中,对于一级公路及以上等级的道路而言, a 0 取为0.026, a 1 取为0.65。

根据表3中的IRI和RQI的数量关系可知,桥梁的路面初始行驶质量指数RQI0应该处于[90, 97.46]的区间内部。取RQI为90、92、94、96进行分析,则对应的IRI为2.24、1.86、1.38、0.73。

根据文献[4]的研究,考虑桥梁在运营t年后的IRI值为:

IRI t =1.04× e αt × IRI 0 +263× ( 1+SNC ) 5 × Z t (11)

式中用 IRI t 表示时间 t 对应的IRI值;IRI0表示IRI的初始值; α 为环境影响系数,本文取值为状态平均值0.1;SNC表示路基结构数,一般取为6.19; Z t 表示以80kN作为标准车辆轴重时,桥梁运行t年后所经过的轴数,每经过106次计为1。

Table 3. The correspondence between RQI and pavement grade

3. 路面行驶质量指数与路面等级的对应关系

RQI范围

>90

90~80

80~70

70~60

<60

道路等级

默认所有经过桥梁的车辆轴重均为标准轴重80 kN,根据IRI、RQI以及路面等级的对应关系,按照四个不同的IRI初始值计算桥梁路面不平整度随时间的变化情况,得出各级路面在桥面全寿命周期中的寿命占比。本桥交通量采用一交通条件相似的桥梁健康监测系统的统计值进行计算,日交通量为2480辆,各级路面的劣化时间及寿命占比的计算结果如表4所示。

Table 4. The proportion of deterioration time and service life of road surfaces at all levels

4. 各级路面的劣化时间及寿命占比

计算参数

路面不平整度等级

非常好

一般

非常差

IRI0 = 2.24

阶段运营年限/年

1.12

2.57

1.83

3.29

2.42

累计运营年限/年

1.12

3.69

5.52

8.81

11.23

全寿命周期占比(%)

9.96

22.89

16.30

29.30

21.55

IRI0 = 1.86

阶段运营年限/年

2.97

2.57

1.83

3.29

2.42

累计运营年限/年

2.97

5.54

7.37

10.66

13.08

全寿命周期占比(%)

22.70

19.65

14.00

25.15

18.50

IRI0 = 1.38

阶段运营年限/年

5.93

2.57

1.83

3.29

2.42

累计运营年限/年

5.93

8.5

10.33

13.62

16.04

全寿命周期占比(%)

36.97

16.02

11.41

20.51

15.09

IRI0 = 0.73

阶段运营年限/年

12.26

2.57

1.83

3.29

2.42

累计运营年限/年

12.26

14.83

16.66

19.95

22.37

全寿命周期占比(%)

54.80

11.49

8.18

14.71

10.81

考虑不同初始路面平整度指数IRI0和年交通量增长指数 α 对可靠度指标的影响,计算4种路面初始平整度指数下的桥梁疲劳可靠度指标随桥梁服役时长的变化趋势。按照不同的路面初始平整度指数构建桥梁的细节疲劳极限状态函数,将路面不平整度五种等级由好至差定义为A、B、C、D、E,则对极限状态函数 f( X ) 有:

f( X )= Δ lim n365 Δ d,IRI [ 1+ n1 2 α ] (12)

Δ d,IRI = Q d ( N eq,A S eca,A m P A ++ N eq,E S eca,E m P E ) K D (13)

其中, Δ d,IRI 为考虑路面初始平整度系数的平均日疲劳损伤累积, S eca,A 表示在路面不平整度等级为“非常好”下的等效常幅应力循环幅值, N eq,A 表示在路面不平整度等级为“非常好”下的循环次数, P A 为路面不平整度等级为“非常好”在路面全寿命周期中的占比,其值由路面的IRI0决定。

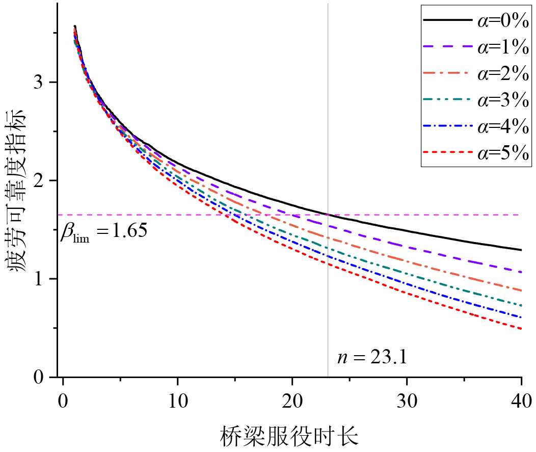
图5可知,随着路面初始平整度指数IRI0的减少,桥梁细节疲劳可靠度指标 β 到达限值 β lim 所需的服役时长逐渐增加。在不考虑交通量增长(α = 0)的情况下,IRI0 = 2.24,桥梁细节疲劳可靠度指标达到1.65时,所经过的服役年限为11.2年;IRI0 = 1.86,桥梁细节疲劳可靠度指标达到1.65时,所经过的服役年限为13.8年;IRI0 = 1.38,桥梁细节疲劳可靠度指标达到1.65时,所经过的服役年限为17年;IRI0 = 0.73,桥梁细节疲劳可靠度指标达到1.65时,所经过的服役年限为23.1年。在此基础上,交通量的增长也与路面初始平整度指标耦合着影响疲劳可靠度指标的变化趋势,年交通量增长指数α越大,疲劳可靠度指标下降的速度就越快,且其影响随着服役时长的增加逐渐增大。

(a) 路面初始平整度指数IRI0 = 2.24 (b) 路面初始平整度指数IRI0 = 1.86

(c) 路面初始平整度指数IRI0 = 1.38 (d) 路面初始平整度指数IRI0 = 0.73

Figure 5. Fatigue reliability indicators of road surfaces at all levels considering the impact of traffic volume growth

5. 考虑交通量增长影响的各级路面疲劳可靠度指标

4. 结论

1) 路面不平整度对桥梁细节的疲劳可靠度影响显著,不考虑交通量的增长,在路面状态为“非常差”、“差”、“一般”时,桥梁疲劳细节分别需要3.3年、12年、150年到达疲劳失效概率的限值,在桥梁路面为“好”以及“非常好”时,桥梁细节在运营200年内的疲劳失效概率不会到达限值。

2) 在桥梁路面状态较差的情况下,其到达可靠度指标限值所用的时间较短,导致在较短的时间内,交通量增长对可靠度指标的影响程度不高。

3) 将IRI0考虑为2.24、1.86、1.38、0.734种取值,分析路面初始平整度指数和年交通量增长指数α对桥梁细节疲劳可靠度指标的耦合影响。结果显示,不考虑交通量增长的前提下,4种IRI0桥梁细节疲劳可靠度指标达到1.65所需要的时间分别为11.2年、13.8年、17年、23.1年。交通量增长指数越大,疲劳可靠度指标下降的速度就越快,且交通量增长指数的影响随着服役时长的增加逐渐增大。

参考文献

[1] 王春生, 翟慕赛, 王雨竹. 钢桥疲劳研究进展[J]. 交通运输工程学报, 2024, 24(1): 9-42.
[2] Kwon, K. and Frangopol, D.M. (2010) Bridge Fatigue Reliability Assessment Using Probability Density Functions of Equivalent Stress Range Based on Field Monitoring Data. International Journal of Fatigue, 32, 1221-1232.
https://doi.org/10.1016/j.ijfatigue.2010.01.002
[3] Wirsching, P.H. (1984) Fatigue Reliability for Offshore Structures. Journal of Structural Engineering, 110, 2340-2356.
https://doi.org/10.1061/(asce)0733-9445(1984)110:10(2340)
[4] Paterson, W. (1986) International Roughness Index: Relationship to Other Measures of Roughness and Riding Quality. 65th Annual Meeting of the Transportation Research Board, Washington DC, 13-16 January 1986, 49-59.