运输胁迫对梭鲈应急指标的影响
Effect of Transport Stress on Physicochemical Parameters of Sander lucioperca
DOI: 10.12677/ojfr.2025.122016, PDF, HTML, XML,   
作者: 孙 杰, 于 宏, 孙学亮*, 季延滨:天津农学院水产学院,天津;天津市水产生态及养殖重点实验室,天津;朱敬华:厚水印象(天津)水族有限公司,天津;陆宇杰:农业农村部渔政保障中心,天津;苗建发:天津市天祥水产有限责任公司,天津;王 启:武山县九九泉渔业科技发展有限公司,天津;尤宏争:天津市水产研究所,天津
关键词: 运输梭鲈内脏团理化Transportation Zander Visceral Mass Physicochemical
摘要: 该实验旨在研究梭鲈在运输胁迫后肌肉、内脏团、鳃理化指标含量变化。选取200尾平均体重为(2.67 ± 0.83) g的梭鲈为实验对象,本研究设置七个实验组,分别研究了在进行轿车2小时运输胁迫后,0 h,3 h,6 h,12 h,24 h,48 h,96 h,梭鲈理化指标的变化。结果表明,在短途运输胁迫下,运输胁迫对内脏团MDA含量的影响总体的趋势是呈下降后上升,对内脏团SOD活性、内脏团T-AOC、内脏团CAT活力的影响表现为先上升后下降再上升后下降,对内脏团GSH含量的影响呈下降后上升再下降,之后上升最后下降,运输胁迫前GSH含量最高,对内脏团GSH-PX酶活力,在运输胁迫后48 h开始上升,对肌肉LZM (溶菌酶)含量总体趋势为先上升后下降,对内脏团AKP含量、肌肉LDH活力的影响趋势总体呈上升后下降再上升,对鳃NA+-K+ ATP酶活力的影响总体趋势为下降后上升,下降后恢复至运输胁迫前水平。结果表明,短途运输胁迫对梭鲈造成的应激反应,在96 h后部分内脏团理化指标趋于胁迫前水平,对其生理机能不会产生持久性的影响。
Abstract: The experiment aims to study the changes in the content of muscle, visceral mass and gill physical and chemical indexes of spindle perch after transport stress. The 200-tailed shuttle bass with an average weight of (2.67 ± 0.83) g was selected as the experimental object. Seven experimental groups were set up in this study to study the changes of the physical and chemical indicators of 0 h, 3 h, 6 h, 12 h, 24 h, 48 h, 96 h, and shuttle bass after 2 hours of transportation stress. The results show that under short-distance transportation stress, the overall trend of the impact of transport stress on the MDA content of the visceral group is to rise after decline, the impact on the SOD activity of the visceral group T-AOC, and the CAT vitality of the viscera group is to rise first rise and then fall, then rise and then fall, the impact on the GSH content of the of the visceral group decreases and then rises and then decreases, and finally declines. The GSH content before the transport stress is the highest. The GSH-PX enzyme activity of the viscera group begins to rise 48 hours after the transport stress, and the overall trend of the content of muscle LZM (lysosozyme) is to rise first and then decreases. The overall trend of the influence on the AKP content and muscle LDH activity of the viscer The results show that the stress response caused by short-distance transport stress on shuttle perch tends to be at the pre-stress level after 96 hours, and will not have a lasting impact on its physiological function.
文章引用:孙杰, 于宏, 朱敬华, 孙学亮, 陆宇杰, 苗建发, 季延滨, 王启, 尤宏争. 运输胁迫对梭鲈应急指标的影响[J]. 水产研究, 2025, 12(2): 147-157. https://doi.org/10.12677/ojfr.2025.122016

1. 引言

梭鲈(Sander Lucioperca),别名小狗鱼、牙鱼、白梭吻鲈,头小,体形长,稍侧扁,吻尖,口端位,略倾斜。体呈梭形,身体浅黄色,腹部呈淡黄色、黄白色或淡青色色调,身体的两侧有大致纵行的黑色不规则色素斑8~12条。颊部无鳞或仅上部具鳞[1]。梭鲈原产于咸海、黑海、里海及波罗的海水系的河流、湖泊中[2]。梭鲈是在淡水中养殖的经济鱼类,其生长快、适应性强、具有很高的营养价值,且对水质、溶氧要求高。

已有研究表明低温、震动的运输胁迫会影响金鱼的生理和生化机制[3]。在活鱼运输相关研究中,现目前运输策略有有水保活运输和无水保活运输两种[4],在梭鲈运输活鱼的过程中,运输胁迫也会对鱼类的生化和生理机制有重要影响,包括也会对鱼类的生化和生理机制有重要影响,包括心脏功能、氧化应激、生长、新陈代谢、耗氧和心脏功能、氧化应激、生长、新陈代谢、耗氧和繁殖性能等繁殖性能等[5]。本研究主要探讨了运输胁迫梭鲈理化指标的变化,为梭鲈保活运输,提高运输成活率提供理论基础和科学依据。

2. 实验材料与方法

2.1. 实验材料

2.1.1. 实验鱼

梭鲈幼鱼来自天津市天祥水产有限责任公司提供,体长(7.1 ± 0.72) cm,体重(2.67 ± 0.83) g。

2.1.2. 试验仪器与设备

灭菌锅(SX-500);

电子分析天平(Sartorius,BS210S,北京赛多利斯天平有限公司);

高速冷冻离心机(赛默飞世尔科技(中国)有限公司);

紫外分光光度计(UV-5500上海元析仪器有限公司);

电热恒温水浴锅(SYG-1230);

酶标仪(TECAN Infinite M200Pro);

高通量组织研磨仪(Xinyi-48宁波新艺超声设备有限公司)。

2.2. 试验方法

2.2.1. 制备取样

实验鱼200条分两个打包袋充氧密封打包,用轿车运输2 h运输完成后,缓苗后放置天津农学院实验室分十二个循环水养殖缸养殖,每个缸都加一个气泵,补充氧气,期间不换水不喂食;在运输前(对照组),运输后0 h,3 h,6 h,12 h,24 h,48 h,96 h,八个时间点,对鱼体量体长,称重,再解剖,分别取出鳃,内脏团,肌肉,放置取样管中贴好标签,−80℃冰箱保存备用,全部解剖完成后,进行测样。

2.2.2. 数据处理与统计分析

数据用SPSS 27.0做单因素方差分析,用Duncan法、P < 0.05为显著性水平比较各个数据之间差异显著性,用Origin2021作图显示。

3. 结果与分析

3.1. 运输胁迫对梭鲈抗氧化指标的影响

运输胁迫对内脏团MDA含量的影响如图1所示,总体的趋势是呈下降后上升,内脏团MDA胁迫后24 h是最低值,胁迫后48 h到达最高值。运输胁迫后48 h显著高于运输胁迫前和运输胁迫后其他各个时间组(P < 0.05)。运输胁迫对内脏团SOD活性的影响如图2所示,先上升后下降再上升后下降,运输胁迫后0 h达到最高值,胁迫后0 h,12 h均显著高于运输胁迫前和运输胁迫后其余时间组(P < 0.05),胁迫后3 h是最低值。运输胁迫对内脏团T-AOC的影响如图3所示,总体趋势是呈上升后下降再次上升后下降,胁迫后0 h达到最高值,胁迫后0 h显著高于胁迫前和胁迫后其他各个时间组(P < 0.05),胁迫后12 h降低到最小值。

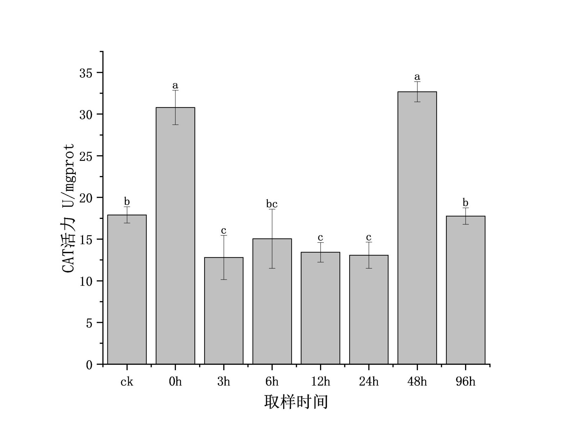
对内脏团GSH含量的影响如图4所示,下降后上升再下降,之后上升最后下降,运输胁迫前GSH含量最高,运输胁迫前显著高于运输胁迫后各个时间组(P < 0.05)。胁迫0 h,3 h,12 hGSH含量均差异不显著(P > 0.05)。运输胁迫对内脏团GSH-PX酶活力如图5所示,在运输胁迫后48 h开始上升,运输胁迫后48 h,96 h均显著高于运输胁迫前和运输胁迫后其余时间组(P < 0.05)。运输胁迫对内脏团CAT活力的影响如图6所示,总体趋势为先上升后稳定,之后上升,胁迫后48 h为最高值,最后恢复到运输胁迫前水平,运输胁迫后0 h,48 h均显著高于运输胁迫前和运输胁迫后其余时间组(P < 0.05),胁迫后3 h,12 h,24 h时间组差异显著不明显(P > 0.05)。

注:图中字母的不同表示着在不同时间点的数据存在显著性差异(P < 0.05)。

Figure 1. Impact of Transport Stress on Malondialdehyde (MDA) Levels in Pike-Perch (Sander lucioperca) Viscera

1. 运输胁迫对梭鲈内脏团MDA含量的影响

Figure 2. Impact of Transport Stress on SOD Activity in Pike-Perch (Sander lucioperca) Viscera

2. 运输胁迫对梭鲈内脏团SOD活性的影响

Figure 3. Effect of Transport Stress on Total Antioxidant Capacity (T-AOC) in the Viscera of Pike-Perch (Sander lucioperca)

3. 运输胁迫对梭鲈内脏团T-AOC的影响

Figure 4. Impact of Transport Stress on Glutathione (GSH) Content in Pike-Perch (Sander lucioperca) Viscera

4. 运输胁迫对梭鲈内脏团GSH含量的影响

Figure 5. Effect of Transport Stress on Glutathione Peroxidase (GSH-PX) Activity in the Viscera of Pike-Perch (Sander lucioperca)

5. 运输胁迫对梭鲈内脏团GSH-PX酶活力的影响

Figure 6. Impact of Transport Stress on Catalase (CAT) Activity in Pike-Perch (Sander lucioperca) Viscera

6. 运输胁迫对梭鲈内脏团CAT活力的影响

3.2. 运输胁迫对梭鲈免疫指标的影响

运输胁迫对肌肉LZM (溶菌酶)含量的影响如图7所示,总体趋势是先上升后下降,之后肌肉溶菌酶含量下降恢复到运输胁迫前水平;在运输胁迫后的3 h达到最高值,显著高于胁迫前和胁迫后其余各个时间组(P < 0.05),运输胁迫后的0 h,3 h,6 h,12 h,24 h LZM均显著高于运输胁迫前水平(P < 0.05)。运输胁迫对内脏团AKP含量的影响如图8所示,趋势总体呈上升后下降再上升,之后恢复到运输胁迫前水平,胁迫后6 h显著高于运输胁迫前和胁迫后其余时间组(P < 0.05),运输胁迫前和胁迫后24 h,48 h,96 h,AKP含量均差异不显著(P > 0.05)。

Figure 7. Effect of Transport Stress on Lysozyme (LZM) Content in the Muscle of Pike-Perch (Sander lucioperca)

7. 运输胁迫对梭鲈肌肉LZM含量的影响

Figure 8. Impact of Transport Stress on Alkaline Phosphatase (AKP) Activity in the Viscera of Pike-Perch (Sander lucioperca)

8. 运输胁迫对梭鲈内脏团AKP活力的影响

3.3. 运输胁迫对梭鲈肌肉LDH和鳃Na+-K+ ATP的影响

运输胁迫对梭鲈肌肉LDH活力的影响如图9所示,梭鲈肌肉LDH活力在试验开始后上升,再下降,胁迫后12 h到达最低值,而后在胁迫后96 h达到最高值。运输胁迫后96 h显著高于运输胁迫前和运输胁迫后其余时间组(P < 0.05)。运输胁迫对鳃NA+-K+ ATP酶活力的影响如图10所示,总体趋势为下降后上升,下降后恢复至运输胁迫前水平。胁迫后3 h活力降低最小值,胁迫后12 h上升到最大值。运输胁迫后12 h显著高于运输胁迫前和其余各个时间组(P < 0.05)。运输胁迫前和运输胁迫后0 h,6 h,24 h~96 h差异不显著(P > 0.05)。

Figure 9. Effect of Transport Stress on Lactate Dehydrogenase (LDH) Activity in the Muscle of Pike-Perch (Sander lucioperca)

9. 运输胁迫对梭鲈肌肉LDH活力的影响

Figure 10. Impact of Transport Stress on Na⁺-K⁺ ATPase Activity in the Gill of Pike-Perch (Sander lucioperca)

10. 运输胁迫对梭鲈鳃Na+-K+ ATP酶活力的影响

4. 讨论

4.1. 运输胁迫对梭鲈抗氧化指标的影响

丙二醛(MDA)与超氧化物歧化酶(SOD)一起反应了鱼类机体抗氧化能力的情况,丙二醛(MDA)是由生物体内自由基作用脂质发生过氧化反应产生,具有细胞毒性,所以MDA含量的高低是反映抗体抗氧化潜在能力的重要参数,MDA主要损伤生物膜结构,改变膜的通透性,从而影响生化反应,其含量可以反映脂质过氧化速率和强度,间接反应组织过氧化损伤程度[6],胁迫后0 h高于胁迫前和胁迫后3 h~24 h,说明经过运输胁迫后造成的氧化应激对机体产生了影响,前期变化趋势与孙鹏[7]运输胁迫下日本黄姑鱼肝脏抗氧化系统的响应中实验变化大致一致,胁迫后48 h和96 h较高,可能是由于养殖缸水中氧气含量低的原因,导致机体细胞开始出现缺氧造成细胞受损;SOD是生物体内的重要抗氧化酶,其主要功能是催化超氧离子为过氧化氢和氧气,避免细胞膜和线粒体等细胞结构被攻击,SOD活性的高低反映了机体清除氧自由基的能力的高低,也表明鱼体对炎症的抵抗能力的强弱[8],运输胁迫后0 hSOD为最大值,此时刚产生应激反应,对炎症的抵抗能力最高;内脏团总抗氧化能力(T-AOC)是指各种抗氧化物质和抗氧化酶等构成的总体抗氧化水平,其大小可以表示并反映机体对外界胁迫的代偿能力以及机体内自由基代谢状态[9],其主要的作用是可以用来分解与清除鱼体代谢过程产生的部分活性氧自由基[10],T-AOC可以衡量鱼类抗氧化综合能力,在经过运输胁迫后0 h显著高于运输胁迫前以及其他各个时间组(P < 0.05),说明在运输的过程中,机体已经受损,并开始进行自我调节,清除运输过程中代谢产生活性自由基,而后下降是因为机体调节完成逐渐恢复,胁迫后96 h比运输胁迫前低可能由于产生了饥饿应激。内脏团谷胱甘肽(GSH)作为体内重要的抗氧化剂和自由基清除剂,其含量下降,是由于大量参与清除自由基的反应使得含量下降[6];内脏团谷胱甘肽过氧化物酶(GSH-PX)是机体内广泛存在的一种重要的催化过氧化氢(H2O2)分解酶,H2O2和ROOH可以被其分解清洁掉,促进过氧化氢的分解,从而保护细胞膜结构和功能不受过氧化物的干扰和损害[11],运输胁迫后48 h,96 h显著高于运输胁迫前和运输胁迫后其余时间组(P < 0.05),可以推测,机体已经利用谷胱甘肽过氧化物酶调节好了受损部位,导致48 h,96 h剩余了过多谷胱甘肽过氧化物酶;内脏团过氧化氢酶(CAT)是生物防御系统的重要组成部分,将过氧化氢分解为水和氧气,以此减少机体内的-OH的积累,清除过氧化氢的活性,防止细胞被破坏[12],运输胁迫后0 h,48 h显著高于运输胁迫前和运输胁迫后其余时间组(P < 0.05),而后胁迫后96 h恢复至运输前水平,说明机体能够自我调节稳定,分解机体中H2O2,这与孙鹏[13]操作胁迫对云纹石斑鱼肝脏抗氧化CAT变化大致一致。

4.2. 运输胁迫对梭鲈免疫指标的影响

溶菌酶(LZM)能水解细菌中黏多糖的碱性酶,化学性质非常稳定,是由巨型吞噬细胞分泌的,广泛的存在于鱼体血液以及一些淋巴细胞中,是体液免疫的第一道防线[6],有抗菌、抗病毒、止血、消肿止痛及加快组织恢复功能等作用。运输胁迫后的时间里,均高于运输胁迫前,说明机体在受到应激后,加速分泌溶菌酶,而后最后下降趋于胁迫前水平是由于在运输过程中对机体造成应激已经得到较好的抑制。内脏团碱性磷酸酶(AKP)是一种多功能水解酶,AKP是溶酶体酶的重要组成部分,参与对外来病原体的分解消化,在非特异免疫反应中发挥重要作用[14],可作为反映鱼体应激和胁迫的指示因子[15],胁迫后6 h显著高于胁迫后3 h,12 h (P < 0.05),此时鱼体耗氧量升高,对能量需求增高,代谢加快,通过代谢和能量供给,增强了鱼体的免疫力,而胁迫后96 h恢复至胁迫前水平,说明梭鲈经过四天能够抑制部分应激反应,这与狄瑜[16]捕捉胁迫对暗纹东方鲀肝脏非特异性免疫指标AKP实验结果基本一致。

4.3. 运输胁迫对梭鲈肌肉LDH和鳃Na+-K+ ATP的影响

乳酸脱氢酶(LDH)是存在于大多数生物体中的酶,主要存在于心肌、肝、肾、骨骼肌和肺等组织中,糖的无氧酵解和糖异生的重要酶系之一,可以将丙酮酸转化为乳酸。当机体或者器官受到刺激,会导致组织中的LDH产生变化,所以可以推断出,在组织或者器官中LDH发生变化是可标志着各组织或器官受到损伤[17]。运输胁迫后0 h~6 h高于胁迫前水平,可说明机体受到一定影响,而后96 h最大值,可能是由于未投喂而引起的饥饿应激。鳃Na+-K+ ATP酶是一个用于评估环境压力影响的生物指数,是鱼体鳃组织泌氯细胞及细胞器的膜上存在的一种蛋白酶[18]分解ATP获得能量,控制细胞膜内外的K+,Na+离子的浓度差,维持细胞内外液的渗透压,在鱼体渗透调节过程中起着非常重要的作用[19],运输胁迫后12 h活力显著高于其他时间点,可能是由于受运输胁迫后产生应激,且外界水环境发生改变,与基地水环境差异大,水体中梭鲈密度改变,机体没有适应,需要分泌大量酶来调节机体,最后恢复至运输胁迫前水平,说明机体有在主动进行渗透调节并且恢复渗透压平衡。

5. 结论

综上所述,运输胁迫会导致梭鲈鱼发生氧化应激反应,造成梭鲈鱼的组织损伤并且破坏其免疫系统,随着运输胁迫结束后时间的增加,对梭鲈鱼的影响逐渐减弱,鱼类结束运输后,可以适当加长缓苗的时间,给鱼体缓冲时间,并注意水体中氧气含量的补充,避免出现缺氧现象;运输时间越短,对梭鲈鱼的影响越小,从而提高梭鲈鱼在运输过程中的存活率。研究结果可为梭鲈鱼短途运输提供参考依据,在梭鲈鱼运输过程中应尽量使用低温,并尽可能地减少路途上的颠簸,从而减少对梭鲈鱼的影响,提高运输过程中的存活率。

NOTES

*通讯作者。

参考文献

[1] 王安琪, 郭贵良. 水产养殖新品种——梭鲈[J]. 科学种养, 2017(12): 55-56.
[2] 张霞霞, 吴强, 孙自军, 等. 梭鲈的北方人工繁殖及苗种驯化技术[J]. 水产养殖, 2022, 43(8): 74-75.
[3] 张饮江, 黎臻, 谢文博, 等. 金鱼对低温、振动胁迫应激反应的试验研究[J]. 水产科技情报, 2012, 39(3): 116-122.
[4] 张坤, 刘书成, 范秀萍, 等. 鱼类保活运输策略与关键技术研究进展[J]. 广东海洋大学学报, 2021,41 (5): 137-144.
[5] Topal, A., Özdemir, S., Arslan, H. and Çomaklı, S. (2021) How Does Elevated Water Temperature Affect Fish Brain? (A Neurophysiological and Experimental Study: Assessment of Brain Derived Neurotrophic Factor, cFOS, Apoptotic Genes, Heat Shock Genes, ER-Stress Genes and Oxidative Stress Genes). Fish & Shellfish Immunology, 115, 198-204.
https://doi.org/10.1016/j.fsi.2021.05.002
[6] 马壮, 田涛, 吴忠鑫, 等. 运输胁迫对大菱鲆生理免疫影响的初步探究[J]. 安徽农学通报, 2020, 26(4): 74-83.
[7] 孙鹏, 柴学军, 尹飞, 等. 运输胁迫下日本黄姑鱼肝脏抗氧化系统的响应[J]. 海洋渔业, 2014, 36(5): 469-474.
[8] 刘霞, 司飞, 孙朝徽, 等. 5种光色对牙鲆幼鱼生长、生化及基因表达的影响[J/OL]. 渔业科学进展: 1-11.
https://doi.org/10.19663/j.issn2095-9869.20240716001
, 2024-12-06.
[9] 孙学亮,陈成勋, 郭永军, 等. 复方中草药对山女鳟、白点鲑和亚东鲑肝脏抗氧化及非特异性免疫指标的影响[J]. 饲料研究, 2019, 42(3): 16-20.
[10] 王晓艳, 李宝山, 孙永智, 等. 精氨酸对许氏平鲉豆粕型肠炎的修复作用研究[J]. 渔业科学进展, 2024, 45(3): 76-86.
[11] 韩丽琴, 虞为, 周增太, 等. 混合蛋白源替代鱼粉对花鲈(Lateolabrax maculatus)生长性能、血浆生化指标和肝脏健康的影响[J]. 饲料工业, 2024, 45(24): 54-62.
[12] Amanajás, D.R., Silva, D.M.J., Silva, D.P.N.D.M., et al. (2024) Temperature Alters Antioxidant Status and Induces Cell Damage in the Amazonian Fish Tambaqui. Journal of Thermal Biology, 126, Article ID: 103995.
https://doi.org/10.1016/j.jtherbio.2024.103995
[13] 孙鹏, 尹飞, 王建建, 等. 操作胁迫对云纹石斑鱼肝脏抗氧化和鳃Na+-K+-ATPase活力的影响[J]. 海洋渔业, 2014, 36(3): 247-251.
[14] 蒋飞, 徐嘉波, 林琪, 等. 盐度胁迫对褐菖鲉幼鱼消化酶和非特异性免疫酶的影响[J]. 渔业研究, 2024, 46(2): 129-135.
[15] 仇登高, 温凭, 林琪, 等. 投喂频率对工厂化循环水养殖珍珠龙胆石斑鱼生长和血浆抗应激酶活力的影响[J]. 渔业研究, 2018, 40(6): 441-448.
[16] 狄瑜, 徐奕, 李姗敏, 等. 捕捉胁迫对暗纹东方鲀肝脏非特异性免疫指标的影响[J]. 浙江海洋学院学报(自然科学版), 2015, 34(4): 314-317, 322.
[17] 尤宏争, 石洪玥, 孙学亮, 等. 短途运输胁迫对珍珠龙胆石斑鱼血清酶活力及葡萄糖含量的影响[J]. 经济动物学报, 2018, 22(2): 72-77, 84.
[18] 王东东, 吴成宾, 郑国栋, 等. 饥饿胁迫对团头鲂鳃组织结构及Na+/K+-ATP酶、抗氧化酶的影响[J]. 上海海洋大学学报, 2019, 28(5): 765-771.
[19] 余利海, 陈雅琦, 陈怡雪, 等. 底质对硬壳蛤(Mercenaria mercenaria)幼贝潜砂及相关酶活性的影响[J]. 天津农业科学, 2024, 30(4): 12-17.