批判思维与语言因素对二语学习者写作水平的影响路径分析
Analysis of the Impact Path of Critical Thinking and Linguistic Factors on L2 Writing Proficiency
DOI: 10.12677/ae.2025.1561165, PDF, HTML, XML,   
作者: 余 娟, 王晶晶:广东技术师范大学外国语学院,广东 广州
关键词: 批判性思维语言因素二语写作Critical Thinking Language Factors L2 Writing Performance
摘要: 本研究旨在探讨批判性思维与语言因素对高中生二语写作的影响机制。以高霄和文秋芳的因果模型为基础,研究选取基础教育阶段的240名学生,构建批判性思维与语言因素作用于二语写作的假设模型,并通过验证性因子分析和路径分析检验其作用路径及影响。结果表明,批判性思维与语言因素共同解释了二语写作成绩16.8%的方差,其中批判性思维直接解释6.2%的方差,并通过三条语言因素路径间接解释9.5%的方差。
Abstract: This study aims to explore the mechanism through which critical thinking and language factors influence high school students’ second language (L2) writing performance. Based on the causal model proposed by Gao Xiao and Wen Qiufang, the study selected 240 students from the basic education stage to construct a hypothetical model of the effects of critical thinking and language factors on L2 writing. The model’s effect pathways and impacts were tested using confirmatory factor analysis (CFA) and path analysis. The results showed that critical thinking and language factors jointly explained 16.8% of the variance in L2 writing performance, with critical thinking directly explaining 6.2% of the variance and indirectly explaining 9.5% of the variance through three language factor pathways.
文章引用:余娟, 王晶晶. 批判思维与语言因素对二语学习者写作水平的影响路径分析[J]. 教育进展, 2025, 15(6): 1528-1540. https://doi.org/10.12677/ae.2025.1561165

1. 引言

近年来,中国基础教育领域持续推进以核心素养为导向的深度改革,思维能力的培育成为政策关注的核心议题。国务院办公厅《关于新时代推进普通高中育人方式改革的指导意见》明确提出“强化综合素质培养”要求[1],教育部随后将思维品质纳入学科核心素养体系[2],教育部考试中心亦在高考命题中强化高阶思维能力的测评导向[3]。在语言学科领域,批判性思维品质被定位为解决复杂语言任务的关键能力,促使学界关注思维训练与语言能力发展的交互机制。

二语写作质量受多维语言知识的影响,现有研究表明,词汇复杂度、句法特征和语篇组织在写作表现中发挥重要作用[4]-[6]。然而,关于批判性思维与语言因素在二语写作中的交互机制尚缺乏系统研究,特别是在高中生群体中的作用机制仍不明确。本研究在此背景下,旨在探讨批判性思维与语言因素对高中生二语写作的直接和间接影响。

母语语言迁移也对二语写作产生影响。王立非提出母语知识可能通过多重路径作用于二语写作,其理论模型指出直接效应与中介效应并存的可能[7]。近年实证研究中,Cheong发现母语综合作文能力对二语同类任务具有预测作用[8],Zhu通过路径分析提示母语阅读可能通过策略迁移影响二语写作质量[9]

在批判性思维研究领域,学者们尝试从不同视角探索其与写作的关联。Normore通过大规模准实验发现思维训练可能间接提升写作表现[10],Xu针对中国高中生的研究则表明,续写任务设计可能促进思辨能力与写作水平的同步发展[11]。高霄与文秋芳针对大学生群体的研究构建了思辨–语言–写作的整合模型,提示批判性思维既可能直接影响写作质量,也可能通过语言要素产生中介效应[12]

现有研究已较为深入地探讨了语言因素对二语写作的影响,但关于批判性思维与语言因素共同作用于二语写作的研究仍较为有限,且多集中于大学生群体。研究方法上,结构方程模型(SEM)在验证多因素对二语写作的影响方面展现出明显优势。本研究在以往研究的基础上,将批判性思维作为核心变量,结合其他语言因素,系统考察其对高中生二语写作的直接和间接影响。

2. 研究模型与假设

2.1. 理论模型

本研究以高霄与文秋芳的因果模型为理论基础[12],构建适用于高中教育场景的批判性思维与语言因素影响二语写作的假设模型,该模型包含一个结构模型和五个测量模型(见图1)。该模型将批判性思维作为核心自变量,母语知识、二语知识等语言要素作为中介变量,二语写作能力作为因变量,旨在探讨变量间的多维作用路径。

模型构建的理论依据主要包括批判性思维与语言知识的交互机制及其与二语写作的内在联系。批判性思维作为高阶认知活动,依赖语言载体运作[13]。语言知识水平影响思维表达的准确性:个体在掌握丰富语言资源的情况下,能够更精准地提取语义、识别逻辑漏洞并构建论证[14];同时,批判性思维提升语言应用能力,促使学习者摆脱机械记忆,对词汇语义和语法结构进行动态分析[15]。这种双向作用在写作中体现为词汇层面的语域适配[14]、句法层面的逻辑化组织[16]以及语篇层面的连贯性强化[7],表明语言能力与思维能力的协同是提升写作质量的关键。

写作是语言外化与思维内化相互作用的过程[17]。在二语写作中,批判性思维通过双重路径发挥作用:一是作为认知驱动机制,引导假设验证、证据筛选与论点优化[18];二是作为元认知监控机制,帮助预判读者需求并调整表达准确性[19]。研究表明,批判性思维较强的写作者更擅长构建层级论证结构,其文本在论点清晰度和论据充分性上表现更优[15]。此外,二语写作的特殊性在于思维表达需跨越语言屏障,这使得母语认知资源与二语语言知识的动态交互成为关键中介变量[12]

本研究中,批判性思维(CT)指个体主动对所面对的观点、所面临的事件、自身决策过程的客观性、公正性、准确性等进行质疑,经过自己的分析判断,最终做出合理决策的一种思维过程,包含批判性思维倾向(CTDT)和批判性思维技能(CTST) [19]。语言知识(L1K、L2K)包括词汇、语法与语篇能力,其中词汇知识强调学习者对词汇广度与深度的掌握,语法知识关注句法规则的运用,语篇知识则体现为对文本连贯性与结构组织的理解[20] [21]。母语写作能力(L1W)反映学习者用母语表达思想的能力,具体表现为语言形式的流畅性与准确性,以及内容组织的逻辑性与层次性;二语写作能力(L2W)则指学习者用英语进行书面表达的能力,其水平受二语知识水平与批判性思维能力的共同作用[22] [23],这些能力共同构成了模型的核心变量体系。

2.2. 研究假设

本研究基于假设模型(见图1),探讨批判性思维与语言因素对二语写作能力的影响机制。通过分析批判性思维、语言知识(母语与二语)及写作能力(母语与二语)之间的多维关系,提出十项研究假设,涵盖变量间的直接与间接作用路径。这些假设为验证模型提供了系统框架,具体假设内容见表1

Figure 1. Hypothesized structural model of CT, LK & LW of high school students

1. 批判性思维及语言因素影响高中生二语写作的假设模型

Table 1. Research hypotheses

1. 研究假设

序号

研究假设

Ha1

批判性思维对二语写作产生正向影响

Ha2

批判性思维对母语语言知识产生正向影响

Ha3

批判性思维对二语语言知识产生正向影响

Ha4

批判性思维对母语写作产生正向影响

Hb

母语语言知识对母语写作产生正向影响

Hc

二语语言知识对二语写作产生正向影响

Hd

母语写作对二语写作产生正向影响

He1

批判性思维通过二语语言知识间接影响二语写作

He2

批判性思维通过母语写作间接影响二语写作

He3

批判性思维通过母语语言知识和母语写作间接影响二语写作

3. 研究设计

3.1. 研究目的

本研究以基础教育阶段为背景,构建批判性思维与语言因素影响二语写作能力的结构方程假设模型。基于批判性思维作为核心自变量、语言因素作为中介变量的理论框架,旨在系统探讨以下问题:(1) 批判性思维和语言因素是否对高中生的二语写作成绩产生影响?(2) 若存在影响,批判性思维对二语写作成绩的直接作用表现如何?(3) 批判性思维如何通过语言因素间接影响二语写作成绩?

3.2. 研究对象

本研究以广东省某高中的高中生为研究对象。采用纸笔测试的方式采集数据,共收集试题250份,剔除出现大量空白、所有题项回答选项一致的无效问卷之后,共得到有效问卷240份,有效率为96%。在有效被调查者中,男生共102名,占总样本42.5%;女生138名,占总样本57.5%。在历史/物理班分布上,物理班92人,占比38.3%;历史班148人,占比61.7%。

3.3. 研究方法

本研究采用结构方程建模方法,采用SPSS 27.0和AMOS 28.0统计软件,结合测量模型和结构模型验证理论假设。测量模型通过验证性因子分析(CFA)评估观测变量与潜变量之间的关系,检验测量工具的信度和效度;结构模型则通过路径分析探讨潜变量之间的因果关系,揭示直接影响和间接效应。数据分析采用最大似然法(ML)进行模型估计,并通过1000次Bootstrap抽样检验中介效应的稳健性。模型的拟合优度通过卡方自由度比(χ2/df)、比较拟合指数(CFI)、Tucker-Lewis指数(TLI)、拟合优度指数(GFI)和近似误差均方根(RMSEA)等指标进行评估,确保模型与数据的适配性。

3.4. 研究工具

此次研究参考了批判性思维、母语语言知识、二语语言知识、母语写作、二语写作等已有的测量标准和工具。量具的具体信息见表2

Table 2. Information of instruments

2. 量具基本信息

工具

内容

题量

题型

时间

分值

来源

批判性思维

批判性思维倾向量表

14

李克特4分量表

40分钟

56

戚业国等(2020)

聚焦与界定能力测试

4

客观题

16

分析与评估能力测试

7

28

推理与论证能力测试

10

40

审查与修正能力测试

3

12

汉语语言知识

汉语词汇知识

20

客观题

60分钟

30

近十年高考真题

汉语语法知识

15

30

汉语语篇知识

3

客观题 + 主观题

30

英语语言知识

英语词汇知识

15

客观题

60分钟

30

英语语法知识

20

主观题

30

英语语篇知识

3

客观题

30

汉语写作

汉语写作测试

1

主观题

50分钟

100

自编

英语写作

英语写作测试

1

主观题

50分钟

100

自编

批判性思维测试采用了戚业国和孙秀丽开发的“普通高中学生批判性思维倾向问卷量表”和“普通高中学生批判性思维能力测量量表”,量具经过先导性研究,经修订后倾向量表的内部一致性系数为0.750,能力量表的内部一致性系数为0.753,达到统计要求[19]

汉语和英语语言知识水平测试侧重考查其词汇、语法和语篇知识水平,题目选自近十年普通高等学校招生全国统一考试真题。汉语写作测试要求被试就“科技与人文”这一话题用汉语写一篇作文,此话题具有熟悉度恰当、兴趣度得当及难度适中等特点。英语写作测试要求被试就“科技驱动下的未来工作变革”这一话题发表看法,英语写作测试采取话题类似的策略[24],另外考虑到高中生已经开始留意或关注就业方向,通过课堂学习、书籍阅读、网络资源等多种渠道,已相对了解科技如何改变未来工作的相关信息。在写作测试中,明确要求被试不得查阅任何资料,以确保真实反映其语言运用能力和思维水平。

3.5. 研究变量

本研究基于SEM框架构建的理论模型由一个结构模型与五个测量模型组成。结构模型包含5个潜在变量,每个潜在变量分别由一组观测变量来反映,共16个观测变量。变量代码及其间关系见表3

Table 3. Relationship between latent variables and observed variables, code and explanation

3. 潜在变量与观测变量关系、代码及说明

潜在变量

观测变量

观测变量说明

母语语言知识(L1K)

母语词汇知识(L1V)

母语词汇知识测试成绩

母语语法知识(LIG)

母语语法知识测试成绩

母语语篇知识(LID)

母语语篇知识测试成绩

批判性思维(CT)

批判性思维倾向(CTDI)

批判性思维倾向量表成绩

聚焦与界定能力(CTST1)

聚焦与界定能力测试成绩

分析与评估能力(CTST2)

分析与评估能力测试成绩

推理与论证能力(CTST3)

推理与论证能力测试成绩

审查与修正能力(CTST4)

审查与修正能力测试成绩

二语语言知识(L2K)

二语词汇知识(L2V)

二语词汇知识测试成绩

二语语法知识(L2G)

二语语法知识测试成绩

二语语篇知识(L2D)

二语语篇知识测试成绩

母语写作(L1W)

母语写作评分员a评估成绩(L1WRa)

母语写作评分员a评估成绩

母语写作评分员b评估成绩(L1WRb)

母语写作评分员b评估成绩

二语写作(L2W)

二语写作评分员c评估成绩(L2WRc)

二语写作评分员c评估成绩

二语写作评分员d评估成绩(L2WRd)

二语写作评分员d评估成绩

二语写作评分员e评估成绩(L2WRe)

二语写作评分员e评估成绩

4. 研究结果分析

4.1. 验证性因子分析结果

4.1.1. 模型标准化结果

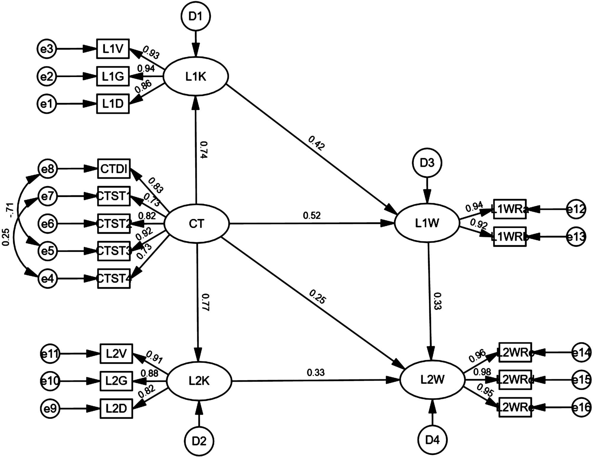
最终的结构方程模型标准化估计结果及中介效应如图2所示,图中清晰展示了潜变量与观测指标之间的关系。结构方程模型运行结果的拟合指数表明,该模型对数据的拟合程度良好,具体结果如下:卡方与自由度比值(χ2/df)为1.902,拟合优度指数(GFI)为0.918,比较拟合指数(CFI)为0.979,Tucker-Lewis指数(TLI)为0.974,近似误差均方根(RMSEA)为0.06。以上指标均达到可接受范围的标准,表明模型与数据的拟合度良好,能够有效支持研究假设的检验。

为优化模型拟合度,在CTST1和CTST4的测量误差(e4和e7)之间,以及CTST3和CTDI的测量误差(e5和e8)之间增加了协方差。这些调整显著改善了模型拟合指数(p < 0.001),包括CFI和TLI的提升,以及RMSEA和卡方值的下降。e4和e7的协方差源于CTST1和CTST4在题目格式和评分方法上的相似性,可能导致共同方法偏差[25],而e5和e8的协方差则反映了批判性思维倾向(CTDI)对思维技能(CTST3)的影响[19]。这些调整符合理论框架,增强了模型的有效性。

4.1.2. 信效度检验

本研究使用SPSS 27.0和AMOS 28.0软件对测试题的信效度进行分析,对测量模型、结构模型以及研究假设进行检验。试题的信度及收敛效度检验结果如表4所示;试题的区别效度检验如表5所示。

内部一致性信度通过Cronbach’s Alpha (评分员信度通过计算ICC系数)和组合信度(CR)进行检验。由表4可知,所有观测变量的信度均达到可接受水平,Cronbach’s Alpha或ICC值在0.66到0.985之间,均超过了0.60的建议阈值[25]。所有潜变量的CR值在0.856到0.974之间,均大于0.8,属于高信度区间。综合以上评价指标,该测量模型的信度较好。

Figure 2. Standardized estimates of the SEM

2. 结构方程模型标准化估计结果

Table 4. Reliability and convergent validity test value

4. 信度及收敛效度检验值

潜在变量

观测变量

λ

Cronbach’s Alpha

ICC

CR

AVE

CT

CTDI

0.83

0.75

-

0.906

0.661

CTST1

0.73

0.80

CTST2

0.82

0.78

CTST3

0.92

0.85

CTST4

0.73

0.75

L1K

L1V

0.93

0.66

-

0.941

0.826

L1G

0.94

0.69

L1D

0.86

0.71

L2K

L2V

0.91

0.67

-

0.856

0.644

L2G

0.88

0.71

L2D

0.82

0.79

L1W

L1WRa

0.94

-

0.904

0.929

0.866

L1WRb

0.92

L2W

L2WRc

0.96

-

0.985

0.974

0.919

L2WRd

0.98

L2WRe

0.95

注:评分员信度计算ICC。

收敛效度通过因子载荷(λ)进行评估,所有观测变量的因子载荷均显著,范围在0.73到0.98之间,均大于0.7,同时,所有潜变量的平均萃取变异量(AVE)均大于0.5 (范围:0.644至0.919),进一步支持了收敛效度。

区别效度采用Fornell-Larcker准则进行检验,要求每个潜变量的AVE平方根(对角线加粗值)大于其与其他构念的相关系数(非对角线值) [26]。由表5可知,所有构念均满足这一准则。CT的AVE平方根(0.813)大于其与L1K (0.743)、L2K (0.767)、L1W (0.521)和L2W (0.249)的相关系数;L1K的AVE平方根(0.909)超过其与L2K、L1W和L2W的相关系数;L2K的AVE平方根(0.803)高于其与L2W (0.330)的相关系数;L1W和L2W的AVE平方根分别为0.931和0.959,均超过其与其他变量的相关系数。综上所述,测量模型具有良好的信度和效度,能够为后续分析提供可靠支持。

Table 5. Discriminant validity test value

5. 区别效度检验值

CT

L1K

L2K

L1W

L2W

CT

0.813

L1K

0.743

0.909

L2K

0.767

-

0.803

L1W

0.521

0.420

-

0.931

L2W

0.249

-

0.330

0.330

0.959

注:短横线(-)表示未假设相关关系。

4.2. 路径分析结果

通过路径分析,最终的因果模型(图3)展示了批判性思维和语言因素通过直接和间接路径共同影响高中生二语写作表现的作用机制。

4.2.1. 路径系数分析

本研究通过路径分析检验了潜变量之间的假设关系,路径系数及其显著性水平(基于1000次Bootstrap抽样)见表6。所有假设路径均在p < 0.05水平上显著,支持了模型的有效性。直接效应分析显示,批判性思维对二语写作、母语语言知识、二语语言知识和母语写作均具有显著正向影响;母语语言知识显著预测母语写作;二语语言知识和母语写作对二语写作均表现出显著正向作用。中介效应分析表明,批判性思维通过三条路径间接影响二语写作:通过二语语言知识、通过母语写作以及通过母语语言知识→母语写作的链式路径。所有假设(Ha1~He3)均得到验证,表明理论框架得到验证。

批判性思维显著影响语言知识和写作表现。母语语言知识和二语语言知识分别直接提升母语写作和二语写作,凸显了语言能力在写作中的重要性。值得注意的是,批判性思维通过链式中介路径“批判性思维→母语语言知识→母语写作→二语写作”显著影响二语写作,表明语言能力在批判性思维与二语写作之间发挥了关键中介作用,同时揭示了母语和二语能力在双语写作发展中的紧密联系。

Figure 3. Causal model of CT, linguistic factors on L2W of high school students

3. 批判性思维及语言因素对高中生二语写作影响的因果模型

Table 6. Hypothesis testing results

6. 假设检验结果

编号

路径

路径系数

路径关系

p

研究假设

Ha1

CT→L2W

0.249*

正向

0.016

成立

Ha2

CT→L1K

0.743**

正向

0.002

成立

Ha3

CT→L2K

0.767**

正向

0.002

成立

Ha4

CT→L1W

0.521**

正向

0.002

成立

Hb

L1K→L1W

0.418**

正向

0.002

成立

Hc

L2K→L2W

0.332***

正向

0.001

成立

Hd

L1W→L2W

0.334**

正向

0.002

成立

He1

CT→L2K→L2W

0.255***

正向

0.001

成立

He2

CT→L1W→L2W

0.174**

正向

0.002

成立

He3

CT→L1K→L1W→L2W

0.104**

正向

0.002

成立

注:* p ≤ 0.05, ** p ≤ 0.01, *** p ≤ 0.001 (下同)。

4.2.2. 影响效应分析

本文主要从变量间的总效应、直接效应和间接效应三个角度,分析批判性思维对高中生二语写作的影响机制。

(1) 总效应分析

表7可知,批判性思维对二语写作具有显著影响(总标准化效应β = 0.781,p < 0.01),解释了二语写作表现16.8%的变异。其中,批判性思维不仅对二语写作有直接作用,还通过语言因素间接影响二语写作,语言因素的中介作用占批判性思维总影响的69.3%。这些发现与Schoonen等人的多成分模型一致,强调了批判性思维和语言能力在塑造二语写作水平中的共同作用[23]

(2) 直接效应分析

批判性思维对二语写作具有中等程度的直接效应(β = 0.249, p = 0.016) (表8),回答了研究问题2。这一直接路径占批判性思维总效应的30.7%,表明批判性思维在元认知过程中具有独立作用,即使二语水平有限,也能通过逻辑组织论点和修改草稿提升文本的连贯性。这一结果与Manchón的认知假说相符,表明批判性思维能够通过策略规划和自我调节,弥补语言能力的不足[27]

Table 7. Standardized total effect

7. 总效应检验

CT

L1K

L2K

L1W

L1K

0.743**

L2K

0.767**

L1W

0.832**

0.418**

L2W

0.781**

0.140***

0.332***

0.334***

Table 8. Standardized direct effect

8. 直接效应检验

CT

L1K

L2K

L1W

L1K

0.743**

L2K

0.767**

L1W

0.521**

0.418**

L2W

0.249*

0.332***

0.334**

(3) 间接效应分析

表9揭示了批判性思维影响二语写作的三条显著间接路径,回答了研究问题3:

二语语言知识路径(CT→L2K→L2W)的间接效应最强(β = 0.255, 95% CI [0.538, 0.779], p = 0.001),占批判性思维总效应的32.7%。该路径表明批判性思维在提升二语语言精确性(如词汇选择、语法准确性)中的作用,与Schoonen等人的语言阈值假说一致[23]

母语写作路径(CT→L1W→L2W)的间接效应中等(β = 0.174, 95% CI [0.196, 0.452], p = 0.002),占批判性思维总效应的22.3%。批判性思维通过提升母语写作能力,借助共享体裁图式促进二语写作,符合Cummins的相互依赖模型[28]

母语语言知识→母语写作路径(CT→L1K→L1W→L2W)的效应较小但显著(β = 0.104, 95% CI [0.064, 0.239], p = 0.002),占批判性思维总效应的13.3%。该路径表明批判性思维通过优化母语句法复杂性,学习者通过比较分析将其迁移至二语写作,即适应性迁移[29]

5. 结论,启示与局限

5.1. 研究结论

本研究基于高霄和文秋芳的因果模型,通过量化测试与结构方程模型分析,探讨了批判性思维和语言因素对高中生二语写作表现的影响机制。研究结果表明,批判性思维和语言因素共同对二语写作具有显著影响,验证了认知与语言资源在二语写作中的协同作用。具体而言,批判性思维不仅通过直接路径对二语写作产生独立贡献,还通过三条间接路径发挥中介作用,体现了其多维度影响机制(见表10)。在间接路径中,二语语言知识路径的效应最强,验证了语言阈值假说,表明语言能力是认知优势发挥的前提条件;母语写作路径的效应中等,支持了相互依赖模型,强调了跨语言迁移的重要性;母语语言知识→母语写作路径的效应较小但显著,符合适应性迁移理论,表明学习者能够有选择地迁移母语资源。

Table 9. Standardized indirect effect

9. 间接效应检验

中介变量

路径

效应值

95%置信区间

p值

L2K

CT→L2K→L2W

0.255

[0.538, 0.779]

0.001

L1W

CT→L1W→L2W

0.174

[0.196, 0.452]

0.002

L1K, L1W

CT→L1K→L1W→L2W

0.104

[0.064, 0.239]

0.002

Table 10. Path effects between CT, LW & LK of high school students

10. 批判性思维及语言因素对高中生二语写作的影响路径

影响类型

影响路径

效应值

解释方差

整体影响

L2W = CT

0.781**

16.8%

直接影响

L2W = CT

0.249*

6.2%

间接影响

L2W = CT + L2K

0.255**

6.5%

L2W = CT + L1W

0.174**

3.0%

L2W = CT + L1K + L1W

0.104**

1.1%

此外,研究发现高中生主要依赖二语技能支持写作,但随着语言能力提升,逐步利用跨语言资源。由于高中生的二语水平较低,且元认知能力尚未成熟,其跨语言迁移能力明显弱于大学生。因此,在二语学习的早期阶段,需为学生提供充分的语言支持,同时系统整合跨语言比较,以充分开发学习者的双语潜力。为此,教师应注重培养学生的批判性思维,通过优化语言教学策略,提升学生的二语写作表现。

5.2. 研究启示

(1) 采用多因素系统框架深化二语写作研究

本研究以高中生为研究对象,尝试采用多因素系统框架,将母语和二语语言因素整合为批判性思维的中介变量,初步揭示了批判性思维与双语资源在这一特定群体中的协同作用。这一框架为未来研究提供了一种可能的思路,但尚需进一步探讨语言与非语言因素在不同年龄群体中的交互作用,以更全面地理解二语写作的复杂性,尤其是在高中阶段这一关键发展期的独特表现和需求。

(2) 二语写作教学实践的可能方向

基于研究结果,以下教学策略可为二语写作教学提供一定参考。批判性思维与语言知识相结合。在写作训练中适当融入批判性思维任务(如比较性写作、辩论总结),同时注重语言知识的教学(如词汇搭配、语法练习等),可能有助于学生在逻辑表达与语言准确性两方面取得平衡,从而提升写作能力。关注跨语言迁移与适应性学习。通过对比性任务(如比较母语与二语文本的衔接标记),引导学生有意识地迁移母语资源,或能帮助其更好地适应二语写作的要求,促进跨语言能力的灵活运用。

(3) 教学方法与认知发展的适应性调整。针对高中生的认知和语言特点,可尝试使用视觉化工具(如论证图)和结构化模板,以降低其认知负荷,支持其写作过程的顺利进行;对于较高水平的学习者,适当设计开放性任务(如评估论说文中的来源可信度),可能为其提供更多思考空间,培养其高阶批判性分析能力。提升学生的元认知意识。通过反思性问题(如引导学生比较母语与二语的修辞结构)和低风险写作练习(如图片叙事),或能帮助学生逐步增强对写作过程的自我监控与调节能力,从而更有效地规划和组织自己的写作。

5.3. 研究局限

本研究探讨了批判性思维与语言因素对高中生二语写作的影响机制,但仍存在一些局限,需在未来研究中进一步完善。首先,本研究仅采用议论文写作任务,可能未能全面反映学生在不同文体中的写作能力,且评分者偏差难以完全消除。未来研究可纳入多种文体任务(如叙事文、说明文),提升研究结果的适用性。其次,参与者均来自同一所高中,可能限制了研究结果的普适性。未来研究可扩大样本范围,涵盖不同地区和教育背景的学生,增强研究的代表性。此外,研究主要采用量化路径分析,未能深入揭示写作过程中的动态认知机制(如计划、修改)。未来可结合有声思维和键盘记录等方法,深入探讨批判性思维与语言因素在写作过程中的交互作用。最后,研究未涉及批判性思维与语言能力在不同发展阶段的动态变化。未来可采用纵向研究方法,追踪学生跨年级的发展动态,以揭示二者的长期交互机制。通过这些改进,未来研究有望为高中生提供更均衡的二语写作发展支持,丰富批判性思维与二语写作能力之间的理论联系。

参考文献

[1] 国务院办公厅. 关于新时代推进普通高中育人方式改革的指导意见[EB/OL]. 2019-06-19.
https://www.gov.cn/zhengce/content/2019-06/19/content_5401568.htm, 2025-03-12.
[2] 国家教育部. 普通高中课程标准(2017年版2020年修订) [M]. 北京: 人民教育出版社, 2020.
[3] 教育部考试中心. 中国高考评价体系[M]. 北京: 高等教育出版社, 2020.
[4] Lee, C., Ge, H. and Chung, E. (2021) What Linguistic Features Distinguish and Predict L2 Writing Quality? A Study of Examination Scripts Written by Adolescent Chinese Learners of English in Hong Kong. System, 97, Article ID: 102461.
https://doi.org/10.1016/j.system.2021.102461
[5] Bestgen, Y. (2017) Beyond Single-Word Measures: L2 Writing Assessment, Lexical Richness and Formulaic Competence. System, 69, 65-78.
https://doi.org/10.1016/j.system.2017.08.004
[6] Bi, P. and Jiang, J. (2020) Syntactic Complexity in Assessing Young Adolescent EFL Learners’ Writings: Syntactic Elaboration and Diversity. System, 91, Article ID: 102248.
https://doi.org/10.1016/j.system.2020.102248
[7] 王立非. 汉语语言能力向英语写作迁移的路径与理据[M]. 西安: 陕西师范大学出版社, 2004.
[8] Cheong, C.M., Zhu, X., Li, G.Y. and Wen, H. (2019) Effects of Intertextual Processing on L2 Integrated Writing. Journal of Second Language Writing, 44, 63-75.
https://doi.org/10.1016/j.jslw.2019.03.004
[9] Zhu, X., Li, G.Y., Cheong, C.M. and Wen, H. (2021) Effects of L1 Single-Text and Multiple-Text Comprehension on L2 Integrated Writing. Assessing Writing, 49, Article ID: 100546.
https://doi.org/10.1016/j.asw.2021.100546
[10] Normore, G.P., Leibovitch, Y.M., Brown, D.J., Pearson, S., Mazzola, C., Ellerton, P.J., et al. (2024) Investigating the Impact of Critical Thinking Instruction on Writing Performance: A Multilevel Modelling Analysis of Relative Gain Data in the Australian National Assessment Program. Thinking Skills and Creativity, 53, Article ID: 101546.
https://doi.org/10.1016/j.tsc.2024.101546
[11] Xu, J., Qi, W., Xia, C., Sun, H. and Chen, L. (2025) The Effect of the Continuation Task on Senior High School Students’ Critical Thinking in EFL Writing Using Interactive Alignment Theory. Thinking Skills and Creativity, 56, Article ID: 101784.
https://doi.org/10.1016/j.tsc.2025.101784
[12] 高霄, 文秋芳. 思辨能力及语言因素对二语写作影响的研究[J]. 外语教学理论与实践, 2017(4): 44-50.
[13] 范晓. 关于语言与思维的关系及其相关问题[J]. 语言科学, 2003, 2(6): 73-85.
[14] 张志公. 语文教学论集[M]. 福州: 福建教育出版社, 1985.
[15] Hughes, J. and Dummett, P. (2009) Critical Thinking in ELT: A Working Model for the Classroom. Cengage Learning.
[16] 杨永林. 社会语言学研究: 功能∙称谓∙性别篇[M]. 上海: 上海外语教育出版社, 2004.
[17] Thadphoothon, J. (2009) Enhancing Critical Thinking in Language Learning through Computer-Mediated Collaborative Learning: A Proposed Intellectual Framework. Asia CALL 2002 Conference Proceedings.
[18] Bensley, D.A. (1998) Critical Thinking in Psychology: A Unified Skills Approach. Brooks/Cole Publishing Company.
[19] 戚业国, 孙秀丽. 我国普通高中学生批判性思维状况与教育应对[J]. 教师教育研究, 2020, 32(2): 63-70.
[20] Laufer, B. (1998) The Development of Passive and Active Vocabulary in a Second Language: Same or Different? Applied Linguistics, 19, 255-271.
https://doi.org/10.1093/applin/19.2.255
[21] Halliday, M.A.K. (2001) An Introduction to Functional Grammar. Foreign Language Teaching and Research Press.
[22] Grabe, W. and Kaplan, R.B. (1996) Theory and Practice of Writing: An Applied Linguistic Perspective. Longman.
[23] Schoonen, R., vanGelderen, A., de Glopper, K., Hulstijn, J., Simis, A., Snellings, P., et al. (2003) First Language and Second Language Writing: The Role of Linguistic Knowledge, Speed of Processing, and Metacognitive Knowledge. Language Learning, 53, 165-202.
https://doi.org/10.1111/1467-9922.00213
[24] Manchon, R.M., Murphy, L. and Roca De Larios, J. (2005) Using Concurrent Protocols to Explore L2 Writing Processes: Methodological Issues in the Collection and Analysis of Data. In: Matsuda, P.K. and Silva, T., Eds., Second Language Writing Research: Perspectives on the Process of Knowledge Construction, Lawrence Erlbaum Associates, 191-205.
[25] Hair, J.F., Black, W.C., Babin, B.J. and Anderson, R.E. (2010) Multivariate Data Analysis. 7th Edition, Pearson Prentice Hall.
[26] Fornell, C. and Larcker, D.F. (1981) Evaluating Structural Equation Models with Unobservable Variables and Measurement Error. Journal of Marketing Research, 24, 337-346.
[27] Manchón, R.M. (2014) The Internal Dimension of Task Representation in L2 Writing: The Role of Metacognitive Knowledge and Critical Thinking. Journal of Second Language Writing, 25, 82-99.
[28] Cummins, J. (2016) Teaching for Transfer in Multilingual School Contexts. In: Garcia, O., Lin, A. and May, S., Eds., Bilingual and Multilingual Education, Springer, 1-13.
https://doi.org/10.1007/978-3-319-02324-3_8-1
[29] Jarvis, S. and Pavlenko, A. (2008) Cross-Linguistic Influence in Language and Cognition. Routledge.
https://doi.org/10.4324/9780203935927