基于Google Earth Engine和遥感生态指数的拜泉县生态变化分析
Analysis of Ecological Changes in Baiquan County Based on Google Earth Engine and Remote Sensing Ecological Index
摘要: 随着现代城市化进程的加速,生态环境退化问题愈发突出。城市的快速发展与生态环境的变化密切相关,而生态环境质量的动态变化对区域的可持续发展有着极为重要的影响。遥感生态指数(Remote Sensing Ecological Index, RSEI)作为一种综合考虑绿度、湿度、干度与热度四个生态因子的指标体系,已广泛应用于生态监测研究中。本文以黑龙江省拜泉县为研究区域,利用Google Earth Engine (GEE)云平台,选取1990年至2022年间七个代表年份的Landsat遥感影像数据,构建归一化植被指数(Normalized Difference Vegetation Index, NDVI)、湿度指标(WET)、干度指标(Normalized Difference Built-up and Soil Index, NDBSI)与地表温度(Land Surface Temperature, LST)四个生态分量指标,采用主成分分析法(Principal Component Analysis, PCA)综合构建RSEI,并分析其时空演变规律。研究结果表明,拜泉县生态环境质量在整体上呈现“先波动、后恢复、逐步趋稳”的演变趋势。1990~2000年,受农业扩张与人类活动增强影响,RSEI显著下降;2000年后,随着植被恢复与生态保护措施的推进,生态质量逐渐改善。主成分分析结果显示,第一主成分PC1贡献率均超过60%,平均为72.67%,NDVI和WET为正向因子,对生态环境质量提升作用显著;而NDBSI和LST为负向因子,是生态退化的主导因素。本研究不仅验证了RSEI在区域生态质量评价中的有效性,也为拜泉县生态环境管理和土地利用规划提供了科学依据与技术支持。
Abstract: With the acceleration of modern urbanization, the problem of ecological environment degradation is becoming more and more prominent. The rapid development of the city is closely related to the change of the ecological environment, and the dynamic change of the ecological environment quality has a very important influence on the sustainable development of the region. As an indicator system that comprehensively considers four ecological factors of greenness, humidity, dryness and heat, Remote Sensing Ecological Index (RSEI) has been widely used in ecological monitoring research. This paper takes Baiquan County of Heilongjiang Province as the research area and uses Google Earth Engine (GEE) cloud platform to select Landsat remote sensing image data of seven representative years from 1990 to 2022. Four ecological component indexes of Normalized Difference Vegetation Index (NDVI), Humidity Index (WET), Normalized Difference Built-up and Soil Index (NDBSI) and Land Surface Temperature (LST) were constructed. Principal Component Analysis (PCA) was used to comprehensively construct RSEI and analyze its temporal and spatial evolution. The results show that the ecological environment quality of Baiquan County shows an evolution trend of “first fluctuation, then recovery, and gradually stabilizing” on the whole. From 1990 to 2000, RSEI decreased significantly due to the expansion of agriculture and the enhancement of human activities. After 2000, with the advancement of vegetation restoration and ecological protection measures, the ecological quality has gradually improved. The results of principal component analysis showed that the contribution rate of the first principal component PC1 was more than 60%, with an average of 72.67%. NDVI and WET were positive factors that had a significant effect on the improvement of ecological environment quality. NDBSI and LST are negative factors, which are the dominant factors of ecological degradation. This study not only verifies the effectiveness of RSEI in regional ecological quality evaluation, but also provides a scientific basis and technical support for ecological environment management and land use planning in Baiquan County.
文章引用:王翠. 基于Google Earth Engine和遥感生态指数的拜泉县生态变化分析[J]. 自然科学, 2025, 13(4): 738-750. https://doi.org/10.12677/ojns.2025.134078

1. 引言

生态环境[1]是人类生存与可持续发展的基础,尤其在全球气候变化和人类活动日益频繁的背景下,区域生态系统的动态监测与变化评估显得尤为重要。卫星遥感技术因其覆盖范围广、观测及时、效率高且具备周期性重复观测能力,已被广泛应用于生态环境质量监测研究[2]。而由徐涵秋[3]提出的遥感生态指数(RSEI)作为一种综合考虑植被状况、湿度、干旱和热力等多种生态因子的综合性指数[4],能够更加全面地反映区域生态质量的空间和时间演变规律。近年来,随着云计算平台如Google Earth Engine (GEE) [5]的发展,海量遥感数据的获取与处理效率大幅提升,为大尺度、长时间序列的生态环境监测提供了技术支撑。

拜泉县地处中国东北地区黑龙江省西部,隶属于齐齐哈尔市,是典型的寒温带农业县,地形以波状起伏的平原和丘陵为主。该地区具有明显的季风气候特征,冬季寒冷干燥,夏季温暖湿润,植被生长季节较短。作为国家重要的商品粮基地之一,拜泉县长期以来以农业为主导,其生态环境不仅直接关系到区域农业可持续发展,还对松嫩平原的生态安全格局产生深远影响。然而,近年来,随着农业开发强度的加大、土地利用方式的改变以及气候变化的影响,该地区生态环境面临诸多压力,如耕地扩张、湿地萎缩、水土流失等问题逐渐显现。

因此,深入研究拜泉县近年来生态环境的演变特征,掌握其时空变化规律,对于推动区域生态文明建设与可持续发展具有重要意义。本文基于Google Earth Engine平台,利用Landsat系列遥感影像数据,利用NDVI、WET、NDBSI和LST四个生态因子,构建遥感生态指数RSEI,系统分析拜泉县从1990年至2022年的生态变化趋势与空间分布特征,为地方生态环境管理和土地利用规划提供科学依据与决策支持。

2. 研究区概况

拜泉县隶属于黑龙江省齐齐哈尔市,位于黑龙江省中西部、齐齐哈尔市东部,地处松嫩平原北缘。地理坐标介于东经125˚30′~126˚31′,北纬47˚20′~47˚55′之间。东以通肯河为界,与海伦市、北安市相邻;南接明水县;西与依安县毗邻;北连克山县和克东县。南北纵深约55千米,东西宽约66千米,总面积3599.15平方千米。拜泉县研究区概况图如图1所示。

拜泉县地形以波状起伏的平原和低丘陵为主,地势由西南向东北倾斜,地势开阔、排水通畅。属寒温带大陆性季风气候,四季分明,年均气温约2.3℃,无霜期为125~135天,年降水量集中于夏季,为400~500毫米,适宜农业生产。

该县是国家重要的粮食主产区,农业以种植玉米、大豆、小麦为主,是典型的商品粮基地。全县耕地面积约为375.3万亩,草原面积17.8万亩,水域面积约8万亩。近年来,随着农业机械化水平的提升和农村土地利用强度的增加,拜泉县在经济发展的同时也面临生态环境方面的压力,如湿地萎缩、土壤退化、水资源紧张与地表温度升高等问题逐步显现。

来源:arcgis制图。

Figure 1. Baiquan County research area overview map

1. 拜泉县研究区概况图

3. 数据与研究方法

3.1. 数据来源及处理

本研究所用数据主要来源于Google Earth Engine (GEE)平台,涵盖了1990年至2022年拜泉县区域的多源遥感影像及辅助数据,具体如下:

遥感影像数据:采用Landsat系列卫星(Landsat 5 TM、Landsat 8 OLI/TIRS)在生长季(6~9月)获取的中分辨率影像,空间分辨率为30 m。

地形数据:来自地理空间数据云提供的数字高程模型(DEM),用于制作研究区拜泉县地形图。

土地利用数据:选用GEE中公开的中国土地利用/覆盖数据集(CLCD)进行地表类型识别与分区分析。

在GEE平台上完成以下数据预处理流程:

遥感影像筛选与合成:按照研究时间段(1990~2022)每年选取6~9月的云量小于10%的影像,利用云掩膜(QA)算法去除云和云影,并通过均值合成构建年尺度影像数据。

波段计算与指数构建:基于Landsat影像计算遥感生态指数(RSEI)四个组成因子:

归一化植被指数(NDVI):反映植被覆盖状况。

湿度指数(WET):通过Tasseled Cap变换获得,用于表征地表湿润程度。

土壤裸露指数(NDBSI):融合裸地指数与建筑指数表征土地裸露强度。

地表温度(LST):利用热红外波段反演,反映区域热环境状况。

归一化处理:为统一量纲,对各个指数进行归一化处理,以保证其在0~1区间。

RSEI构建与主成分分析(PCA):将归一化后的四个生态因子作为输入变量,使用主成分分析法(PCA)提取第一主成分(PC1),并作为生态质量综合指数(RSEI)的最终值。

3.2. 研究方法

3.2.1. 分量指标构建

(1) 绿度指标(NDVI)

归一化植被指数是衡量地表植被覆盖状况的经典遥感指标,它与植物生物量、叶面积指数以及植被覆盖度都有着密切的关系[6]。因此,选用NDVI来代表绿度指标,计算公式为:

NDVI= ρ NIR ρ Red ρ NIR + ρ Red (1)

式中, ρ NIR ρ Red 分别为近红外波段和红波段的反射率。

(2) 湿度指标(WET)

湿度指标是遥感生态指数(RSEI)中的关键分量之一,用于反映区域地表的湿润程度和水分含量。它主要与地表的土壤湿度、植被含水量、水体分布等生态因子密切相关。因此,本研究的湿度指标采用这一湿度分量来代表。Landsat 5 TM和Landsat 8 OLI的湿度计算公式分别为:

Wet TM =0.0315 ρ blue +0.2021 ρ green +0.3102 ρ red +0.1594 ρ NIR 0.6806 ρ SWIR1 0.6109 ρ SWIR2 (2)

Wet OLI =0.1511 ρ blue +0.1973 ρ green +0.3283 ρ red +0.3407 ρ NIR 0.7117 ρ SWIR1 0.4559 ρ SWIR2 (3)

式中, ρ blue ρ green ρ red ρ NIR ρ SWIR1 ρ SWIR2 分别表示各影像所对应的蓝、绿、红、近红、短波红外1和短波红外2波段反射率。

(3) 干度指标(NDBSI)

干度指标是用于衡量地表“干旱、裸露、人为扰动”程度的重要生态因子。在遥感生态指数(RSEI)中,干度指标主要代表区域内的非植被地表覆盖,如裸地、建筑区、道路、荒地等,这些区域通常生态功能较差,生态退化风险高。

干度指标选用裸土指数(SI)和建筑指数(IBI)合成,取二者的平均值,计算公式为:

NDBSI= SI+IBI 2 (4)

其中裸土指数计算公式为

SI= [ ρ SWIR1 + ρ red ρ NIR + ρ blue ] [ ρ SWIR1 + ρ red + ρ NIR + ρ blue ] (5)

式中, ρ blue ρ red ρ NIR ρ SWIR1 分别表示各影像所对应的蓝、红、近红和短波红外1波段的反射率。

建筑指数计算公式为:

IBI={ 2 ρ SWIR1 ρ SWIR1 + ρ NIR [ ρ NIR ρ NIR + ρ red + ρ green ρ green + ρ SWIR1 ] 2 ρ SWIR1 ρ SWIR1 + ρ NIR +[ ρ NIR ρ NIR + ρ red + ρ green ρ green + ρ SWIR1 ] } (6)

式中, ρ green ρ red ρ NIR ρ SWIR1 分别表示各影像所对应的绿、红、近红和短波红外1波段反射率。

(4) 热度指标(LST)

地表温度是反映地表热环境状况的重要遥感参数,也是遥感生态指数(RSEI)中的关键生态因子之一。热度指标是地表和大气之间能量交换的重要参数,它反映了地表的能量收支和物质交换过程,对于气候变化、环境监测和城市规划方面具有重要意义。热度指标的计算公式为:

LST= T b [ 1+( λ T b ρ )×ε ] 273.15 (7)

T b = K 2 / ( K 1 L 6/10 +1 ) (8)

L 6/ 10 =gain×DN+bias (9)

式中, L 6/10 分别为TM/TIRS热红外波段像元在传感器处的辐射值;DN为像元灰度值;gain和bias为热红外波段的增益值和偏置值;T为传感器处的亮度温度值;K1和K2为定标参数,对于TM,K1 = 607.76 W/(m2·sr·μm)、K2 = 1260.56 K;而对于TIRS band10,K1 = 774.89 W/(m2·sr·μm)、K2 = 1321.08K。λ为热红外波段的中心波长,对于TM数据,λ = 11.4 μm,对于TIRS数据,λ = 10.9 μm,α = 1.438 × 102 m/K。ε为地表比辐射率,通过植被指数混合模型进行估算[7]

3.2.2. 遥感生态指数评价

遥感生态指数是一种基于遥感数据的区域生态环境质量综合评价模型。该方法最早由中国科学院研究员刘纪远等人提出,利用遥感影像自动提取绿度、湿度、干度和热度四个生态因子,通过主成分分析(PCA)集成成一个无权重、客观的综合生态指数。

RSEI=f( NDVI,WET,NDBSI,LST ) (10)

式中:NDVI为绿度;WET为湿度;NDBSI为干度;LST为热度,单位为℃。

遥感生态指数综合考量了绿度、湿度、干度和热度这四个指标。本研究的核心问题在于,如何借助单一变量来将这四个变量进行有效耦合。在常规做法中,通常是先为各个指标赋予相应权重,再将各指标与对应权重相乘后求和。然而,这种方法存在明显弊端,即指标权重的确定具有较强主观性,完全由人为设定,这无疑会对最终的评价结果产生影响。更为棘手的是,当有两个或两个以上的指标同时对生态变化产生影响时,要精准判断究竟是哪个指标在生态系统的整体变化中起主导作用,并为其赋予一个确切的权重值,难度极大。正因如此,即便国家环保部在行业标准中统一规定了权重值,在实际执行过程中,不同的人也往往会因理解差异等因素,导致执行结果不尽相同[8]

本文所运用的多元统计方法——主成分分析(PCA),属于一种多变量数据降维技术,在数据分析领域应用广泛,主要用于消除变量之间的相关性,并从中提取出关键信息成分。该方法能够把多维度的信息整合到少数几个特征分量当中,在这些特征分量里,第一个主分量是全新生成的变量,它对原始多变量数据集的方差贡献最大[8]。这一方法最大的优势在于,它并非依靠人为主观判断来确定集成各指标时的权重,而是基于数据自身的特性,依据各个指标对各个主分量的贡献程度,自动且客观地确定权重。如此一来,在计算过程中就能够有效规避因不同人员、不同方法所设定的权重差异,进而避免由此引发的结果偏差问题。由于四个分量指标的量纲不同,在进行主成分分析之前需进行归一化处理,使四个分量指标在同一量纲之下进行耦合。

3.2.3. 水体掩膜处理

水体对湿度指标WET以及PCA分析结果会造成影响,要使WET指标较好反映地表湿度的真实情况,在进行主成分分析之前,需要先将拜泉县研究区域内的水体进行掩膜处理。根据改进的归一化差异水体指数来进行提取水体并进行掩膜处理,计算公式为:

MNDWI= ( ρ Green ρ SWIR1 )/ ( ρ Green + ρ SWIR1 ) (11)

式中, ρ Green ρ SWIR1 分别为绿波段和短波红外1波段的反射率。

3.2.4. 生态指数的构建

对去除水体范围后的4个分量指标波段进行合成遥感影像,选择主成分分析的方法来构建生态遥感指数RSEI,选择第一主成分PC1作为初始遥感生态指数(RSEI0),表达式为:

RSEI 0 =PC1[ f( NDVI,Wet,NDBSI,LST ) ] (12)

鉴于NDVI和WET这两个指标对生态环境具有正面促进作用,按照逻辑,它们在第一主成分(PC1)上的载荷值符号应当为正。与之相反,对生态环境产生负面效应的NDBSI和LST指标,其载荷值符号则应为负。然而,由于不同软件在计算过程中存在差异,导致计算结果不尽相同。部分软件计算得出的NDVI和Wet载荷值可能呈现为负值,而NDBSI和LST的载荷值为正值。面对这种情况,就需要运用“1-PC1”的方式对结果进行还原处理。但要是NDVI和WET在PC1上的载荷值为正,NDBSI和LST为负,那么就无需进行上述还原操作[9]

为便于指标的度量和比较,同样对 RSEI 0 进行归一化处理,结果即为所求的遥感生态指数RSEI,其值介于[0, 1]之间。最后处理得到的结果其数值越大,表示生态环境质量状况越好;反之则越差。

4. 分量指标变化特征

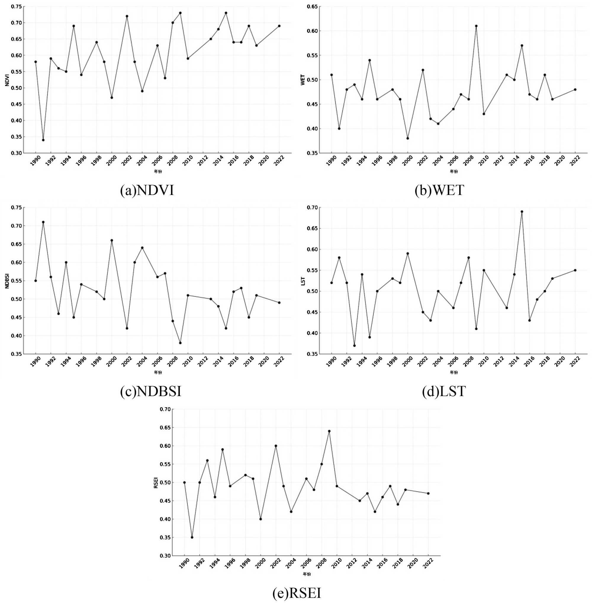
为了更充分了解研究区生态环境状况,首先对各期分量指标变化情况进行分析。对拜泉县行政区内1990~2022年的遥感影像进行信息提取和计算,获取区域内各年份的绿度分量、湿度分量、干度分量、热度分量,并进行归一化处理[10]。每年分量指标以及RSEI指标均值如图2所示,NDVI整体上呈现波动上升趋势。从1990年较低水平逐步上升,特别是在2010年后有较为明显的提升;WET波动较大,整体变化不明显。2008年出现较大峰值,其余年份较为平稳;NDBSI整体上呈现下降趋势。说明干旱程度有所下降,特别是1990年代初较高,后逐步减少;LST波动变化,2009年出现明显高峰。整体趋势不显著,但局部年份波动剧烈;RSEI整体呈下降趋势,波动较小。1990年后逐渐上升至高位,但之后出现缓慢下降。

Figure 2. The mean line chart of each index in each period of the study area

2. 研究区各时期各指标均值折线图

取1990年、1995年、2000年、2006年、2010年、2014年和2022年7期遥感影像各项统计结果如表1所示,表1则统计了研究区内各个年份4个分量指标以及RSEI的均值、标准差。从表1可以发现,拜泉县的RESI均值:1990年RSEI均值为0.503,基线偏低,生态质量一般;1995年RSEI均值为0.593,快速改善,绿度 + 湿度增强;2000年RSEI均值为0.400,明显退化,人为压力加大;2006年RSEI均值为0.508,恢复初见成效;2010年RSEI均值为0.493,生态水平趋稳;2014年RSEI均值为0.467,稍有回落;2022年RSEI均值为0.472,稳中有升,生态适当恢复。

Table 1. Statistics of each component index in each period of the study area

1. 研究区各时期各分量指标统计

年份

指标

NDVI

WET

NDBSI

LST

RSEI

1990

最小值

0

0

0

0

0

最大值

1

1

1

1

1

均值

0.581

0.512

0.549

0.524

0.503

标准差

0.182

0.171

0.185

0.208

0.161

1995

最小值

0

0

0

0

0

最大值

1

1

1

1

1

均值

0.688

0.537

0.455

0.394

0.593

标准差

0.169

0.171

0.176

0.195

0.144

2000

最小值

0

0

0

0

0

最大值

1

1

1

1

1

均值

0.472

0.382

0.660

0.588

0.400

标准差

0.195

0.185

0.207

0.203

0.178

2006

最小值

0

0

0

0

0

最大值

1

1

1

1

1

均值

0.634

0.438

0.562

0.464

0.508

标准差

0.176

0.179

0.179

0.195

0.144

2010

最小值

0

0

0

0

0

最大值

1

1

1

1

1

均值

0.588

0.430

0.508

0.550

0.494

标准差

0.196

0.185

0.184

0.185

0.165

2014

最小值

0

0

0

0

0

最大值

1

1

1

1

1

均值

0.678

0.502

0.484

0.541

0.467

标准差

0.175

0.209

0.200

0.199

0.173

2022

最小值

0

0

0

0

0

最大值

1

1

1

1

1

均值

0.689

0.478

0.488

0.552

0.472

标准差

0.179

0.194

0.201

0.201

0.167

四个分量指标空间分布如图3。拜泉县自1990年以来,绿度指标显著改善,表明生态修复取得一定成效;但与此同时,湿度下降和热度上升也反映出潜在的干旱与热胁迫问题。未来应重点关注湿地保护、水资源调控与防止土地过度裸露,以实现生态系统的协调稳定发展。

Figure 3. Spatial distribution of components in each period of the study area

3. 研究区各时期分量空间分布

5. 遥感生态指数分析

5.1. 拜泉县生态环境时空变化分析

图4为GEE平台计算得出的拜泉县遥感生态指数RSEI影像,RSEI数值范围为0~1,值越高表示生态环境质量越好。拜泉县生态质量自2000年之后呈现持续恢复和提升态势,特别是2022年生态指数达到较高水平。从早期的生态退化局部集中转为现今的广泛均衡分布,说明生态保护与修复措施初见成效。2000年出现的退化现象,可能与农业开发、气候干旱或人为干扰相关。主导因素可能为植被恢复和湿度增加,而干度与热度虽有压力,但未阻断生态系统整体恢复趋势。

Figure 4. Remote sensing ecological index RSEI image

4. 遥感生态指数RSEI影像

气候变化的影响,拜泉县属寒温带季风气候,夏季降水集中(400~500 mm)。2000年前RSEI显著下降与同期干旱事件相关,导致湿度(WET)降低、地表温度(LST)升高。2010年后生态趋稳则受益于降水恢复和暖湿化趋势,缓解了热胁迫。极端气候事件,LST异常峰值与区域性高温干旱事件吻合,直接加剧生态退化,凸显气候对生态敏感性的放大效应。

农业活动的核心作用,扩张期(1990~2000年):作为商品粮基地,耕地面积增至375.3万亩,引发:植被覆盖下降:林地/草地转耕地导致NDVI均值从0.688 (1995年)降至0.472 (2000年)。干度加剧:农业开垦推高裸地指数(NDBSI从0.455升至0.660),水土流失风险增加。转型期(2000年后):生态保护政策下农业集约化:植被恢复:退耕还林使NDVI回升至0.689 (2022),驱动RSEI改善。技术减排:机械化减少土地扰动,NDBSI持续下降(2022年为0.488),缓解干化压力。

政策调控的关键性,生态工程干预:2000年后国家退耕还林、三北防护林工程实施,直接提升绿度(NDVI增长38.6%)。湿地保护政策抑制了水域萎缩,WET在2014年后趋稳(均值0.478~0.502)。土地规划优化:黑龙江省黑土地保护条例(2017)严格限制耕地扩张,促进RSEI空间分布“从局部集中退化转向广泛均衡”,印证政策对生态恢复的结构性调控。

5.2. 主成分分析结果

表2中可以看出PC1的特征值以及贡献率,对比各年份不同指标的PC1荷载值可以看出,绿度NDVI与湿度WET的荷载值为正值,二者对生态环境有正面的贡献,而干度NDBSI与热度LST荷载值为负值,它们对生态有负面的影响,这与实际情况相符[11]

Table 2. The results of principal component analysis of RSEI indicators

2. RSEI各指标主成分分析结果

年份

指标

PC1

PC2

PC3

PC4

1990

NDVI

0.501

−0.210

−0.690

−0.478

WET

0.423

−0.446

0.698

−0.368

NDBSI

−0.527

−0.829

−0.176

0.065

LST

−0.541

0.265

0.078

−0.795

特征值

0.097

0.023

0.010

0.002

贡献率/%

74.11

17.23

7.48

1.19

1995

NDVI

0.500

−0.194

−0.661

−0.525

WET

0.469

−0.279

0.744

−0.386

NDBSI

−0.466

−0.882

−0.060

−0.042

LST

−0.560

0.326

0.082

−0.757

特征值

0.076

0.027

0.013

0.001

贡献率/%

65.27

22.75

10.75

1.22

2000

NDVI

0.484

−0.412

0.672

−0.379

WET

0.466

−0.180

−0.719

−0.483

NDBSI

−0.490

−0.859

−0.141

0.057

LST

−0.555

0.247

0.107

−0.787

特征值

0.118

0.017

0.009

0.002

贡献率/%

81.38

11.49

5.93

1.19

2006

NDVI

0.497

−0.246

−0.694

−0.459

WET

0.507

−0.181

0.719

−0.440

NDBSI

−0.428

−0.901

0.045

−0.048

LST

−0.559

0.307

0.000

−0.770

特征值

0.074

0.030

0.014

0.002

贡献率/%

61.58

24.62

11.85

1.96

2010

NDVI

0.538

−0.259

−0.670

−0.441

WET

0.478

−0.274

0.742

−0.383

NDBSI

−0.443

−0.895

−0.030

0.030

LST

−0.535

0.237

0.013

−0.811

特征值

0.101

0.018

0.011

0.002

贡献率/%

77.05

13.37

8.29

1.29

2014

NDVI

0.420

−0.306

−0.763

−0.384

WET

0.557

−0.204

0.636

−0.494

NDBSI

−0.452

−0.885

0.109

−0.004

LST

−0.556

0.285

−0.028

−0.780

特征值

0.111

0.021

0.011

0.001

贡献率/%

76.98

14.63

7.79

0.59

2022

NDVI

0.446

−0.376

0.713

−0.389

WET

0.535

−0.091

−0.664

−0.515

NDBSI

−0.437

−0.875

−0.206

−0.034

LST

−0.569

0.292

0.093

−0.763

特征值

0.100

0.027

0.009

0.001

贡献率/%

73.33

19.39

6.52

0.77

表2中可知,第一主成分(PC1)的特征值始终占据主导地位,其贡献率均超过60%,最高达到81.38%,平均贡献率为72.67%,说明PC1能够代表生态环境的综合状况,且是构建RSEI的关键因子,验证了遥感生态指数在反映区域生态质量方面的科学性和稳定性。

1990~1995年:PC1贡献率由74.11%降至65.27%,生态系统受到一定外部干扰,各指标间主导性趋于均衡,系统结构复杂化;2000年:PC1贡献率达到81.38%,为全期最高,表明该阶段生态系统变化受少数主导因子强烈控制,可能与土地利用变更或农业开发活动密切相关;2006年:PC1贡献率下降至61.58%,为最低点,可能意味着此阶段生态系统处于过渡或波动期,生态影响因素多样化;2010~2022年:PC1贡献率重新稳定在73%左右,生态系统逐步恢复平衡,结构清晰,各指标间关系趋于协调,表现出良好的生态恢复趋势。

通过主成分分析可以看出,拜泉县遥感生态系统评价结果具备良好的解释力和指标区分度。NDVI与LST为最显著的主导因子,前者反映植被状况的改善对生态系统的促进作用,后者则揭示热环境对生态退化的压力。湿度因子的正向贡献增强了对局地水文条件变化的反映能力,而干度指数的负向影响体现了裸露土地扩张的生态风险。

综上所述,拜泉县生态环境质量在研究期内总体呈现先波动、后恢复、逐步稳定的演变趋势。生态系统受人为活动与气候环境双重影响,但近年来通过加强生态保护与土地利用调控,区域生态质量逐步提升,RSEI表现更加均衡合理。

6. 结语

本文基于Google Earth Engine平台,集成多时相Landsat影像与RSEI模型,揭示了1990~2022年拜泉县生态环境“波动–恢复–趋稳”的演变规律。研究表明:气候变化是生态波动的自然驱动力,干旱事件通过抬升地表温度(LST)和抑制湿度(WET)加剧早期退化;农业活动则是人为影响的核心,1990~2000年的耕地扩张直接导致植被覆盖下降(NDVI)与土地裸露(NDBSI),而2000年后的集约化经营与生态农业转型显著促进恢复;政策调控发挥了决定性作用,退耕还林、黑土地保护等工程系统性提升了绿度与湿度,推动生态质量向均衡化发展。

未来拜泉县需重点关注三重挑战:① 气候韧性构建——强化抗旱植被配置以缓冲升温压力;② 农业生态优化——推广保护性耕作抑制NDBSI上升;③ 政策精准落地——结合RSEI动态监测划定生态修复优先区。本研究验证了GEE与RSEI在寒温带农业生态评估中的适用性,其“自然–人为–政策”驱动链解析模型可为类似区域提供范式参考。

参考文献

[1] An, M., Xie, P., He, W., Wang, B., Huang, J. and Khanal, R. (2022) Spatiotemporal Change of Ecologic Environment Quality and Human Interaction Factors in Three Gorges Ecologic Economic Corridor, Based on RSEI. Ecological Indicators, 141, Article ID: 109090. [Google Scholar] [CrossRef
[2] 张华, 宋金岳, 李明, 等. 基于GEE的祁连山国家公园生态环境质量评价及成因分析[J]. 生态学杂志, 2021, 40(6): 1883-1894.
[3] 徐涵秋. 城市遥感生态指数的创建及其应用[J]. 生态学报, 2013, 33(24): 7853-7862.
[4] 李南. 宁夏遥感生态指数构建及变化特征分析[D]: [硕士学位论文]. 银川: 宁夏大学, 2023.
[5] Gorelick, N., Hancher, M., Dixon, M., Ilyushchenko, S., Thau, D. and Moore, R. (2017) Google Earth Engine: Planetary-Scale Geospatial Analysis for Everyone. Remote Sensing of Environment, 202, 18-27. [Google Scholar] [CrossRef
[6] Goward, S.N., Xue, Y. and Czajkowski, K.P. (2002) Evaluating Land Surface Moisture Conditions from the Remotely Sensed Temperature/Vegetation Index Measurements. Remote Sensing of Environment, 79, 225-242. [Google Scholar] [CrossRef
[7] Sobrino, J.A., Jiménez-Muñoz, J.C. and Paolini, L. (2004) Land Surface Temperature Retrieval from LANDSAT TM 5. Remote Sensing of Environment, 90, 434-440. [Google Scholar] [CrossRef
[8] 徐涵秋. 水土流失区生态变化的遥感评估[J]. 农业工程学报, 2013, 29(7): 91-97, 294.
[9] 徐涵秋, 邓文慧. MRSEI指数的合理性分析及其与RSEI指数的区别[J]. 遥感技术与应用, 2022, 37(1): 1-7.
[10] 叶席. 基于综合型遥感生态指数的渝东南地区生态环境质量变化研究[D]: [硕士学位论文]. 重庆: 西南大学, 2023.
[11] 张浩, 杜培军, 罗洁琼, 等. 基于遥感生态指数的南京市生态变化分析[J]. 地理空间信息, 2017, 15(2): 58-62, 10.