生物可降解高分子材料在长效注射剂中的研究进展及应用
Research Progress and Application of Biodegradable Polymer Materials in Long-Acting Injections
DOI: 10.12677/hjbm.2025.154078, PDF, HTML, XML,   
作者: 朱承莉*:重庆医科大学药学院,重庆;福安药业集团重庆礼邦药物开发有限公司,重庆;张 涛:福安药业集团重庆礼邦药物开发有限公司,重庆;冯 涛#:重庆医科大学药学院,重庆
关键词: 生物可降解高分子材料长效注射剂特性应用Biodegradable Polymer Materials Long-Acting Injection Characteristic Apply
摘要: 当前,在国内外长效注射剂(Long-acting injection, LAI)的研究过程中,基于生物可降解高分子材料的LAI递送系统是近年来研究最多的。生物可降解高分子材料可分为天然产物与人工合成两大类。其中,人工合成生物可降解的高分子材料是通过化学合成的手段制备的聚合物材料,其物理化学性质可根据人们的需求进行调控,其主链中通常含有不稳定的化学键从而来实现生物可降解的功能。本综述总结了目前常见的几种用于长效注射给药系统的生物可降解高分子材料的应用现状,并对其各种性能以及优缺点进行分析。
Abstract: At present, in the research process of Long-acting injection (LAI) at home and abroad, LAI delivery system based on biodegradable polymer materials is the most studied in recent years. Biodegradable polymer materials can be divided into natural and synthetic materials. Among them, synthetic biodegradable polymer materials are polymer materials prepared by means of chemical synthesis, and their physical and chemical properties can be regulated according to people's needs, and their main chain usually contains unstable chemical bonds to achieve biodegradable functions. This review summarizes the current application status of several biodegradable polymer materials for long-acting injection drug delivery systems, and analyzes their various properties, advantages and disadvantages.
文章引用:朱承莉, 张涛, 冯涛. 生物可降解高分子材料在长效注射剂中的研究进展及应用[J]. 生物医学, 2025, 15(4): 715-724. https://doi.org/10.12677/hjbm.2025.154078

1. 引言

长效注射剂(Long-acting injection, LAI)因可延长药物的作用时间、减少给药次数、提高患者的依从性而成为当前药物递送系统领域研究的一大热点,目前主要有三种技术来制备LAI递送系统[1]:(1) 基于聚合物的递送系统;(2) 油基配方;(3) 结晶药物混悬剂。其中,基于聚合物材料的LAI递送系统是近年来研究最多的。

基于聚合物的LAI配方中,可生物降解的聚合物因其可被逐渐分解为代谢单体,从而逐步释放封装的药物,目前已成为聚合物载体材料领域的研究热点。

生物可降解聚合物材料可分为天然产物与人工合成两大类别。人工合成生物可降解的聚合物材料是通过化学合成的手段制备的聚合物材料,这类材料的理化性能可通过分子设计精准调控,以满足不同应用场景的需求,其分子链中常引入易断裂的分子结构单元以实现可控降解特性。这些易断裂的分子结构单元主要包括酯基(-COO-)、原酸酯基(-O-C-O-)、酸酐基(-(CO)₂O-)、碳酸酯基(-O-CO-O-)、酰胺基(-NH-CO-)以及氨基甲酸酯基(-NH-CO-O-)等[2],一般是通过开环聚合、逐步聚合或聚加成聚合等方法所合成的。本综述总结了目前常见的几种用于长效注射给药系统的生物可降解高分子材料的应用现状,并对其各种性能以及优缺点进行了分析,以期为后续的基于生物可降解高分子材料的LAI递送系统相关研究提供一定的参考。

2. 常见的生物可降解高分子材料及其特性研究

生物可降解高分子合成材料包括聚酯类材料和非聚酯类材料[3]。聚酯类材料主要包括聚ε-己内酯(Poly (ε-caprolactone), PCL)、聚原酸酯(Poly ortho esters, POE)、聚羟基链烷酸酯(Polyhydroxyalkanoate, PHA)、聚乳酸(Polylactic acid, PLA)、聚乙醇酸(Polyglycolic acid, PGA)、聚乳酸-羟基乙酸共聚物(Poly (DL-lactide-co-glycolideacid), PLGA)聚乳酸–羟基乙酸共聚物(Poly (DL-lactide-co-glycolideacid), PLGA)等,非聚酯类材料主要有聚缩醛、聚酯酰胺(Poly (ester amide), PEA)、聚磷酸酯(Polyphosphate, PPE)和聚磷腈等。生物可降解材料具有多种特性,如物理/化学稳定性、力学性能、溶解性/混溶性、热性能、可降解性、生物相容性等,在LAI递送系统中,可降解特性、生物相容性是聚合物材料特性的关键点。本节主要是对目前市面上较为重要的用于长效注射剂的产业化品种进行重要特性研究,包括有聚乳酸(PLA)、聚己内酯(PCL)、聚乳酸–羟基乙酸共聚物(PLGA)、聚原酸酯(POE)。

2.1. 聚乳酸

聚乳酸(Polylactic acid, PLA)也称聚丙交酯,是一种通过乳酸(α-羟基丙酸)单体聚合得到的人工合成生物可降解高分子材料[4]。目前合成聚乳酸的方法有许多,其中,通过丙交酯开环聚合制备PLA是研究较早也是目前应用较广泛的聚合方式之一[5]。丙交酯是一类手性分子,主要以三种形式存在:L-丙交酯、D-丙交酯、meso-丙交酯[6] (见图1),其中L-丙交酯和D-丙交酯是具有光学活性的,而meso-丙交酯(内消旋丙交酯)是光学非活性的,两种光学活性形式单体各自聚合时可以生成半结晶形聚合物(PLLA, PDLA),但当两种单体混合聚合时则会生成无定形聚合物(PDLLA) [7]-[9]。玻璃化转变温度(Glass transition temperature, Tg)是聚合物材料中一个非常重要的物理特性参数,它表示非晶态聚合物从硬而脆的玻璃态向柔软的橡胶态转变的温度。聚乳酸Tg为60℃左右,由于结晶度低,温度达到Tg附近时,PLA会发生变形,因此表现出较差的耐热性,目前提高PLA耐热性的方法有化学共聚、共混、交联、热处理和拉伸等[10]-[12]。有研究者通过在PLA中添加环氧腰果酚作为改性助剂,与过氧化物在180℃反应5 min,一步法制备了长链支化PLA [13],该LCB-PLA具有良好的结晶性能和显著的耐热性。

Figure 1. Chemical structures of l-, meso- and d-lactides [6]

1. L-、内消旋-和D-丙交酯的化学结构示意图[6]

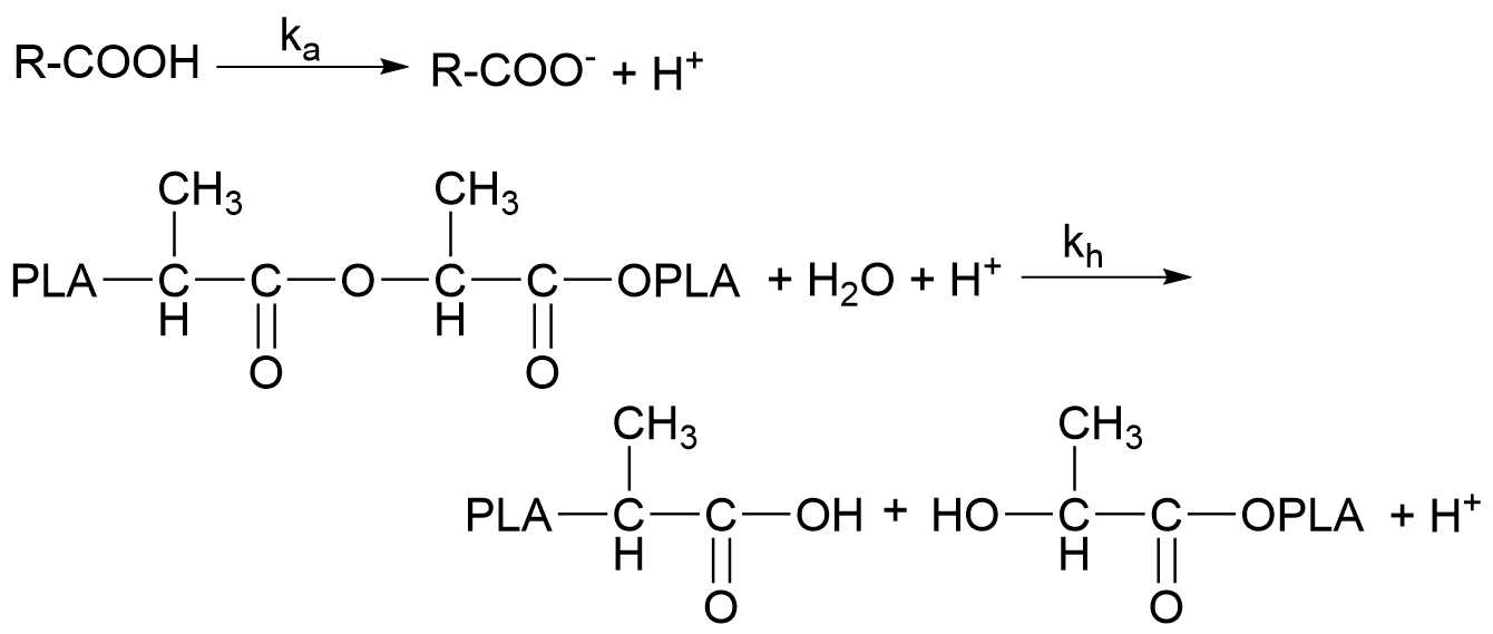
PLA的降解主要是由于酯键的水解,该水解发生在聚合物的主链上[14] (图2(a))。在该水解反应过程中存在自催化反应,即在降解过程中,端基羧基浓度的增加会进一步加速酯键的水解[14] (图2(b)),PLA对水的渗透性和自催化反应对稳定PLA有挑战,通过尽可能降低残留单体的水平和降低PLA中的水浓度能防止自催化反应。有研究者在PLA中引入长链支化(Long chain branching, LCB),通过监测暴露于60℃水解降解条件下的样品的质量、分子量分布及热性能,评估引入LCB对PLA长期水解的影响,结果发现尽管样品的水解曲线发生了变化,但这种改性并不会对LCB PLA在12周内的降解产生负面影响,相反改性PLA还可能在可降解聚合物中的商品应用中具有一定优势[15]。PLA较强的疏水性使其降解速率慢,高分子量PLA总共可能需要2~6年才能被体内吸收[16],但是降解速率也取决于聚合物的结晶度以及基质的孔隙率,所以有的聚合物在大约6个月内就会水解。PLA由于其高强度的优良特性,被用来替代手脚支架中的韧带部分和不可降解的纤维类零件[17] [18],同时可注射的PLA也可用于来恢复或改善患有人类免疫缺陷病毒人群的面部脂肪流失或脂肪萎缩等症状。

(a)

(b)

Figure 2. Schematic diagram of PLA degradation mechanism. (a) Hydrolysis mechanism of PLA degradation; (b) PLA autocatalytic hydrolysis reaction [14]

2. PLA降解机制示意图。(a) PLA的水解机制;(b) PLA的自催化水解反应[14]

2.2. 聚乳酸–羟基乙酸共聚物

聚乳酸–羟基乙酸共聚物(Poly (DL-lactide-co-glycolideacid), PLGA)是一种生物可降解的高分子材料,它由乳酸(LA)和羟基乙酸(GA)两种单体随机聚合而成,目前合成PLGA常用的2种方法是开环聚合法和直接缩聚法,其中开环聚合法可以更好地控制单体聚合,获得较高分子量的聚合物,是目前较为成熟且应用最广泛的PLGA合成方法[19]。LA与GA的摩尔比决定PLGA的许多物理特性,如Tg、降解速率、疏水性和结晶度等[20],不同比例的PLGA已经实现了商业化的开发并且正在针对相应的生物医学应用进行研究。PLGA具有广泛的溶解性、可加工性、可控的降解时间以及可生物降解性等优点,这些特性都比早期用于临床的生物医用材料具有更加明显的优势,加上PLGA已被FDA批准用于临床,所以人们使用其作为组织工程支架以及药物或蛋白递送载体进行了大量的研究[21]。但同样PLGA也存在着生产成本高、水解降解速率易受pH影响、结晶度控制较复杂等缺点,并且PLGA降解过程中产生的乳酸容易发生炎症。针对乳酸易发生炎症方面,为了避免此缺点,Min Liang [22]等人利用交联成核技术制备了一种结晶4臂-PLGA (C4-PLGA-M),该C4-PLGA-M具有可控的结晶度,可以有效控制PLGA的降解速率,C4-PLGA-M较单独的四臂PLGA降解时间更长,且C4-PLGA-M水解过程中LA的减少可能有利于细胞生长,有望实现这种结晶C4-PLGA-M在组织工程中更加理想的性能。

PLGA已经被广泛用作药物递送系统的材料,如PLGA微球、PLGA原位凝胶、PLGA纳米粒子等[23],为了改善PLGA的制剂性质,如药物靶向性、释药特性、降解性和药物稳定性等,需要对PLGA进行结构修饰。基于此,有研究者采用壳聚糖通过物理吸附和化学结合的方法对PLGA的表面进行了改性,制造了一种新型的基于PLGA的药物递送系统,壳聚糖修饰过的PLGA纳米颗粒的表面呈正电性,正电荷和亲水性诱导了较长时间及高积累的药物释放,为扩展基于PLGA的药物递送系统的应用提供了新方法,并为细胞分子靶向偶联提供了可能[24]

2.3. 聚己内酯

ε-己内酯(Poly (ε-caprolactone), PCL)是一种通过单体ε-己内酯开环聚合得到的脂肪族聚酯共聚物[25],其物理状态为半结晶形。PCL是一种在组织工程中广泛使用的材料,它具有生物相容性、生物降解性、弹性、可用性、成本效益等特性,并且得到了美国食品和药物管理局(FDA)等卫生当局的批准[26]。PCL可以溶于多种有机溶剂,具有易于加工的特性。虽然PCL具有较低的熔点和玻璃化转变温度,但是由于其易加工性使得其可以和其他聚合物形成共混物进而调节聚合物属性以满足人们的需要。PCL的降解周期长达两到三年,所以PCL是一类可以长期释放药物的优良载体。

PCL多元醇可作为反应活性材料,常用于对聚氨酯、聚乳酸等多种聚合物材料进行改性或共聚合,所得新材料具有更优异的柔韧性、耐水解性、耐低温性等性能。在过去几年,PLA因其可堆肥性、生物相容性和高机械性能而被广泛研究,但存在脆性高、热稳定性差、结晶速率慢等局限性,有研究者发现将PLA与PCL共混是一种经济上可行的方法来克服PLA的这些限制,但PCL/PLA共混系统存在不混溶且易发生相分离的问题[27]。一些研究者提出可通过增容方法来解决这一问题,同时除了使用增容剂外,还可以掺入填料,常用的填料有炭黑(CB)、有机粘土、碳纳米管(CNT)、纤维素、木质素和羟基磷灰石(HAP)等[28]

2.4. 聚原酸酯

聚原酸酯(Poly ortho esters, POE)是一类以表面溶蚀的方式进行水解的人工合成高分子材料,虽然原酸酯键是易水解的但是由于聚合物本身具有非常强的疏水性,导致其水解过程是极为缓慢的。POE除了具有表面溶蚀的优良特性之外,还包括酸敏感性以及玻璃化转变温度的可调节性,POE的酸敏感性为其作为药物递送系统提供了可能,其药物的释放速率主要通过聚合物中的潜在酸性辅料或酸性环境来调控。

Figure 3. Structure diagram of polyprotoacrylate [29]

3. 聚原酸酯的结构示意图[29]

由前人报道,Heller教授等人[29]已经开发了四种不同类别的POE (见图3),POE I是通过二醇与二乙氧基四氢呋喃通过酯交换聚合而成,其水解产物之一的羟基丁酸具有催化聚合物进一步水解的作用。为了避免POE I过强的自催化作用,Heller教授团队使用二烯酮缩醛3,9-双(亚乙基)2,4,8,10-四氧六环[5,5]十一烷和二醇通过加成聚合的方式合成了POE II,但是由于POE II的降解产物是中性分子所以导致其降解速度过慢,为了调节该聚合物的降解速率,在之后的聚合过程中加入了潜在酸性辅料用以调节其降解速率即为POE IV。POE III则是通过三醇与三酯通过酯交换获得,该方法合成的聚合物链十分柔性,在室温下呈半固体凝胶状。凝胶状的POE III可以使某些药物不通过溶剂就被包载到聚合物中,有研究者发现负载5-氟尿嘧啶(5-FU)的POE III药物递送系统遵循零级释放动力学,具有在眼科领域中进行广泛研究的潜能[30],但POE III存在不能工业化生产的局限性,致使POE IV被大量开发与应用。POE IV通过在聚合物主链中掺入基于乳酸或乙醇酸的潜在酸性辅料来调节其降解速率,其具体水解过程是POE IV在暴露于水性环境之后,聚合物会进行表面溶蚀从而潜在的酸也会释放出来,释放出的乳酸或乙醇酸将进一步催化聚合物的水解。这些聚合物的降解速度也可以通过更改聚合物主链中酸的含量而进行调控。另外通过改变二醇的刚性,也可获得不同刚性程度的聚合物来满足需求。POE IV已经被进行了大量的评估实验,实验结果均表明其具有良好的生物相容性,所以POE IV成为拓宽聚原酸酯在生物医用材料领域应用中最具有潜力的材料[31]

3. 生物可降解高分子材料在长效注射剂中的应用

生物可降解聚合物材料在长效注射剂中的应用是医药领域的一个重要研究方向。这些材料可以通过特定的设计来实现体内长效注射,以在所需时间段内维持药物在体内的作用,从而改善患者的依从性,特别是对于需要长期管理的慢性疾病而言尤为重要。本节主要是对基于生物可降解高分子材料的长效注射剂的两大类进行简单介绍:微球长效注射剂和原位凝胶长效注射剂。

3.1. 生物可降解高分子材料在微球长效注射剂中的应用

微球长效注射剂通常指将药物溶解或分散于高分子材料中制成的骨架型球状或类球状实体,粒径通常在1~250 μm之间。通过皮下注射或肌肉注射给药后,在注射位置形成药物储库[32]。高分子材料在体内环境下缓慢溶蚀降解,被包载的药物会随着微球的降解以一定速率扩散,从而维持稳定的药物浓度、延长药物疗效,达到长效缓释与高生物利用度的目的。

Table 1. Marketed products of microsphere preparations

1. 微球制剂上市产品

活性成分

商品名

适应症

给药途径

FDA/中国批准日期

罗替高汀

金悠平®

帕金森病

注射

中国(2024.6)

阿立哌唑

阿丽唯®

精神分裂症

肌肉注射

中国(2025.5)

利培酮

Risperdal Consta/恒德/

瑞欣妥

精神分裂症、双相情感障碍

肌肉注射

FDA (2003,恒德);

中国(2021,瑞欣妥);

亮丙瑞林

贝依®/Lupron Depot

前列腺癌、乳腺癌、子宫内膜异位症

注射

FDA (1989, Lupron Depot);中国(2009,贝依®)

曲普瑞林

维宝宁®/Diphereline

前列腺癌、子宫内膜异位症

注射

FDA (2000, Diphereline);

中国(2023,维宝宁®)

奥曲肽

Sandostatin LAR/善龙

肢端肥大症、神经内分泌瘤

肌肉注射

FDA (1998)

艾塞那肽

Bydureon/百达扬

2型糖尿病

皮下注射

FDA (2012)

曲安奈德

ZILRETTA

膝盖关节炎

关节腔注射

FDA (2017)

生物可降解高分子材料在微球长效注射剂中的应用主要体现在药物递送系统的开发上,目前全球已上市多款微球制剂产品(见表1)。据调查发现研究最多的是PLA和PLGA注射用微球[33] [34],其中PLGA因其可通过改变两单体的比例及聚合条件来调节聚合物在体内的降解速度而应用最为广泛,所涉及到的LAI递送领域包括各种抗癌药物、抗精神病药物、蛋白质或肽类药物、细菌或病毒DNA等的递送。Kim等人[35]使用IVL-DrugFluidicTM系统制备了基于PLGA 1个月和基于PLA 3个月的亮丙瑞林长效注射用微球,并将其与现有的商业化品种进行比较,研究发现IVL-DrugFluidicTM系统新开发的载亮丙瑞林微球可以提供延长的药物释放,并且具有减少初始爆发释放和睾酮水平抑制以及稳定的血浆药物浓度等优点。

3.2. 生物可降解高分子材料在原位凝胶长效注射剂中的应用

原位凝胶给药系统(In situ forming gel drug delivery systems, ISFG)通常是在皮下或肌肉部位进行注射给药,可在给药部位随外界环境刺激(温度、pH、光照,离子强度变化等因素)发生相转变,形成固体或半固体态凝胶的局部载药贮库,从而实现药物持续释放[36] [37]

基于可降解高分子材料的原位凝胶给药系统常利用聚合物沉淀系统Atrigel®输送技术,所涉及到的LAI递送领域包括各种抗癌药物、抗精神病药物、阿片类戒毒药物、预防化疗恶心呕吐类药物、多肽类药物等的递送。该技术由Dunn等人于1987年开发,其原理是将药物和疏水性的可降解高分子材料溶解在生物相容性好的有机溶剂中形成溶液或悬浮液,注入体内后,通过有机溶剂和体液中的水交换导致聚合物的相分离和沉积,形成一个局部持续释药库[38]-[40]。目前利用Atrigel®输送技术已获批上市多种原位凝胶产品(见表2)。

Table 2. In-situ gel agent marketed product

2. 原位凝胶剂上市产品

活性成分

商品名

适应症

给药途径

处方基质组成

FDA批准日期

盐酸多西环素

Atridox

成人慢性牙周炎

牙周

PLA,NMP

1998

醋酸亮丙瑞林

Eligard

晚期前列腺癌

皮下注射

(PLGH or PLG) + NMP

2002

格拉司琼

Sustol

预防成人化疗后产生的 急性和迟发性恶心呕吐

皮下注射

三甘醇聚原酸酯,聚乙二醇单甲醚,DMSO

2016

丁丙诺啡

Sublocade

阿片药物戒断辅助治疗

腹部皮下注射

PLG,NMP

2017

利培酮

Perseris

精神分裂症

皮下注射

PLGH,NMP(溶液)

2018

醋酸亮丙瑞林

Fensolvi

中枢性性早熟

皮下注射

(PLGH or PLG) + NMP

2020

利培酮

Uzedy

成人精神分裂症

皮下注射

mPEG-PDL, PDL-PEG-PDL, DMSO

2023

4. 开发基于生物可降解高分子材料的LAI的挑战

虽然在基于聚合物的LAI递药系统开发过程中,已经通过适当的措施解决了大部分问题,但该递药系统依然存在复杂的药物释放机制、生物可降解高分子材料的生产成本较高、缺乏真正的体内外相关性研究方法、初始爆发释放等问题。

长效注射产品首先应满足缓释效果,尽量较少的爆发释放或者延迟不释放的问题,延迟不释放药物达不到功效,爆发释放会造成一系列问题。例如,呕吐等不良反应随着艾塞那肽(商品名:BYDUREON)爆发释放率的增加而增加[41] [42]。而且,体内的理化环境比较复杂,一些体内因素如免疫反应、血流流速、静水压/胶体渗透压等会影响体外研究对体内药物释放的真实性,致使体外实验很难模拟体内实际的释放效果[43],这也使得仿制药生物等效性证明困难。仿制药制造商要想在ANDA (Abbreviated New Drug Application)获批,则其必须证明(基于可降解聚合物材料的长效仿制药)产品在药学、治疗学和生物学上已经与参考药品(Reference Listed Drug, RLD)等效,仿制药产品应具有与RLD相同的原料药、剂型、强度、给药途径、原料药吸收率、安全性和疗效。

目前,可降解高分子材料被广泛用于包括小分子、核酸和蛋白质在内的药物递送系统[44] [45]。尽管首款FDA批准的基于PLGA的产品醋酸亮丙瑞林(商品:LUPRON)已经上市三十多年,但目前基于该聚合物体系的产品仅有二十多款成功上市,学术界、工业界和监管机构尚有很大空间来开展研究和制定规则,以解决众多悬而未决的问题。

5. 总结与展望

本文总结了聚乳酸、聚乳酸–羟基乙酸共聚物、聚己内酯和聚原酸酯的特性、制备方法以及在LAI中的应用,初步介绍了两大类基于生物可降解高分子材料的微球长效注射剂和原位凝胶长效注射剂,此外,本文还浅析了目前开发基于生物可降解高分子材料的LAI存在的问题。相信随着可生物降解的聚合物材料研发的深入,各类材料的生物相容性、安全性评价的不断完善,长效注射给药系统质量评价体系的完整建立,产业化生产的设备和工艺的日趋成熟,将会有更多理想的基于生物可降解高分子材料的长效注射产品上市,为长期用药的患者带来更舒适的治疗体验。

NOTES

*第一作者。

#通讯作者。

参考文献

[1] Bauer, A., Berben, P., Chakravarthi, S.S., Chattorraj, S., Garg, A., Gourdon, B., et al. (2023) Current State and Opportunities with Long-Acting Injectables: Industry Perspectives from the Innovation and Quality Consortium “Long-Acting Injectables” Working Group. Pharmaceutical Research, 40, 1601-1631. [Google Scholar] [CrossRef] [PubMed]
[2] Song, R., Murphy, M., Li, C., Ting, K., Soo, C. and Zheng, Z. (2018) Current Development of Biodegradable Polymeric Materials for Biomedical Applications. Drug Design, Development and Therapy, 12, 3117-3145. [Google Scholar] [CrossRef] [PubMed]
[3] He, J., Shi, H., Li, X., Nie, X., Yang, Y., Li, J., et al. (2022) A Review on Microbial Synthesis of Lactate-Containing Polyesters. World Journal of Microbiology and Biotechnology, 38, Article No. 198. [Google Scholar] [CrossRef] [PubMed]
[4] Hao, Y., Liu, Z., Zhang, H., Wu, Y., Xiao, Y., Li, Y., et al. (2019) Effect of Reactive Group Types on the Properties of Poly(ethylene Octane) Toughened Poly(Lactic Acid). Journal of Polymer Research, 26, Article No. 109. [Google Scholar] [CrossRef
[5] Cui, J.Y., Chen, C., Yang, Y., et al. (2020) Research Progress of the Synthesis and Modification of Biomedical PLA. New-Chemical Materials, 48, 268-272.
[6] Li, G., Zhao, M., Xu, F., Yang, B., Li, X., Meng, X., et al. (2020) Synthesis and Biological Application of Polylactic Acid. Molecules, 25, Article 5023. [Google Scholar] [CrossRef] [PubMed]
[7] Hu, X., Kamberi, M. and Xu, X. (2021) Quantitative Analysis of Lactic Acid Oligomers from Dimer to 15mer in poly(D,L-Lactide) (PDLLA) Polymers. International Journal of Polymer Analysis and Characterization, 26, 145-157.
[8] Vermet, G., Degoutin, S., Chai, F., Maton, M., Flores, C., Neut, C., et al. (2017) Cyclodextrin Modified PLLA Parietal Reinforcement Implant with Prolonged Antibacterial Activity. Acta Biomaterialia, 53, 222-232. [Google Scholar] [CrossRef] [PubMed]
[9] Dai, F., Li, X., Lv, K., Wang, J. and Zhao, Y. (2023) Combined Core Stability and Degradability of Nanomedicine via Amorphous PDLLA-Dextran Bottlebrush Copolymer for Alzheimer’s Disease Combination Treatment. ACS Applied Materials & Interfaces, 15, 26385-26397. [Google Scholar] [CrossRef] [PubMed]
[10] Zhao, X., Liu, J., Li, J., Liang, X., Zhou, W. and Peng, S. (2022) Strategies and Techniques for Improving Heat Resistance and Mechanical Performances of Poly(Lactic Acid) (PLA) Biodegradable Materials. International Journal of Biological Macromolecules, 218, 115-134. [Google Scholar] [CrossRef] [PubMed]
[11] Li, X., Lin, Y., Liu, M., Meng, L. and Li, C. (2022) A Review of Research and Application of Polylactic Acid Composites. Journal of Applied Polymer Science, 140, e53477. [Google Scholar] [CrossRef
[12] Yang, Y., Zhang, L., Xiong, Z., et al. (2024) Research Progress on Heat Resistant Modification of Polylactide. Poly-Mer Bulletin, 37, 430-441.
[13] Li, C., Gong, W., Deng, Z., Yao, Z., Meng, X. and Xin, Z. (2022) Fully Biodegradable Long-Chain Branched Polylactic Acid with High Crystallization Performance and Heat Resistance. Industrial & Engineering Chemistry Research, 61, 10945-10954. [Google Scholar] [CrossRef
[14] Ebrahimi, F. and Ramezani Dana, H. (2021) Poly Lactic Acid (PLA) Polymers: From Properties to Biomedical Applications. International Journal of Polymeric Materials and Polymeric Biomaterials, 71, 1117-1130. [Google Scholar] [CrossRef
[15] Simmons, H. and Kontopoulou, M. (2018) Hydrolytic Degradation of Branched PLA Produced by Reactive Extrusion. Polymer Degradation and Stability, 158, 228-237. [Google Scholar] [CrossRef
[16] Wanyan, Q., Qiu, Y., Xie, W. and Wu, D. (2020) Tuning Degradation and Mechanical Properties of Poly(L-Lactic Acid) with Biomass-Derived Poly(L-Malic Acid). Journal of Polymers and the Environment, 28, 884-891. [Google Scholar] [CrossRef
[17] Pandey, D., Pandey, R., Mishra, A., et al. (2024) Effect of Printing Temperature on Fatigue and Impact Performance of 3-D Printed Carbon Fiber Reinforced PLA Composites for Ankle Foot Orthotic Device. Mechanics of Composite Materials, 60, 549-560. [Google Scholar] [CrossRef
[18] Subramaniyan, M., Karuppan, S., Appusamy, A. and Pitchandi, N. (2025) Sandwich Printing of PLA and Carbon Fiber Reinforced-Pla for Enhancing Tensile and Impact Strength of Additive Manufactured Parts. Journal of Manufacturing Processes, 137, 425-436. [Google Scholar] [CrossRef
[19] Butreddy, A., Gaddam, R.P., Kommineni, N., Dudhipala, N. and Voshavar, C. (2021) PLGA/PLA-Based Long-Acting Injectable Depot Microspheres in Clinical Use: Production and Characterization Overview for Protein/Peptide Delivery. International Journal of Molecular Sciences, 22, Article 8884. [Google Scholar] [CrossRef] [PubMed]
[20] Lu, Y., Cheng, D., Niu, B., Wang, X., Wu, X. and Wang, A. (2023) Properties of Poly (Lactic-Co-Glycolic Acid) and Progress of Poly (Lactic-Co-Glycolic Acid)-Based Biodegradable Materials in Biomedical Research. Pharmaceuticals, 16, Article 454. [Google Scholar] [CrossRef] [PubMed]
[21] Andhariya, J.V., Jog, R., Shen, J., Choi, S., Wang, Y., Zou, Y., et al. (2019) In Vitro-in Vivo Correlation of Parenteral PLGA Microspheres: Effect of Variable Burst Release. Journal of Controlled Release, 314, 25-37. [Google Scholar] [CrossRef] [PubMed]
[22] Dai, J., Liang, M., Zhang, Z., Bernaerts, K.V. and Zhang, T. (2021) Synthesis and Crystallization Behavior of Poly(Lactide-co-Glycolide). Polymer, 235, Article 124302. [Google Scholar] [CrossRef
[23] Kumar, L., Kukreti, G., Rana, R., Chaurasia, H., Sharma, A., Sharma, N., et al. (2023) Poly(Lactic-co-Glycolic) Acid (PLGA) Nanoparticles and Transdermal Drug Delivery: An Overview. Current Pharmaceutical Design, 29, 2940-2953. [Google Scholar] [CrossRef] [PubMed]
[24] Wang, Y., Li, P. and Kong, L. (2013) Chitosan-Modified PLGA Nanoparticles with Versatile Surface for Improved 4 Drug Delivery. AAPS PharmSciTech, 14, 585-592.
[25] Pawar, R., Pathan, A., Nagaraj, S., Kapare, H., Giram, P. and Wavhale, R. (2023) Polycaprolactone and Its Derivatives for Drug Delivery. Polymers for Advanced Technologies, 34, 3296-3316. [Google Scholar] [CrossRef
[26] Dias, J.R., Sousa, A., Augusto, A., Bártolo, P.J. and Granja, P.L. (2022) Electrospun Polycaprolactone (PCL) Degradation: An in Vitro and in Vivo Study. Polymers, 14, Article 3397. [Google Scholar] [CrossRef] [PubMed]
[27] Matumba, K.I., Mokhena, T.C., Ojijo, V., Sadiku, E.R. and Ray, S.S. (2024) Morphological Characteristics, Properties, and Applications of Polylactide/Poly(ε‐Caprolactone) Blends and Their Composites—A Review. Macromolecular Materials and Engineering, 309, Article 2400056. [Google Scholar] [CrossRef
[28] Mtibe, A., Motloung, M.P., Bandyopadhyay, J. and Ray, S.S. (2021) Synthetic Biopolymers and Their Composites: Advantages and Limitations—An Overview. Macromolecular Rapid Communications, 42, Article 2100130. [Google Scholar] [CrossRef] [PubMed]
[29] Heller, J. and Barr, J. (2004) Poly(Ortho Esters) from Concept to Reality. Biomacromolecules, 5, 1625-1632. [Google Scholar] [CrossRef] [PubMed]
[30] HELLER, J. (2005) Ocular Delivery Using Poly(Ortho Esters). Advanced Drug Delivery Reviews, 57, 2053-2062. [Google Scholar] [CrossRef] [PubMed]
[31] Wang, C., Ge, Q., Ting, D., Nguyen, D., Shen, H., Chen, J., et al. (2004) Molecularly Engineered Poly(Ortho Ester) Microspheres for Enhanced Delivery of DNA Vaccines. Nature Materials, 3, 190-196. [Google Scholar] [CrossRef] [PubMed]
[32] Wang, M., Wang, S., Zhang, C., et al. (2024) Microstructure Formation and Characterization of Long-Acting Injectable Microspheres: The Gateway to Fully Controlled Drug Release Pattern. International Journal of Nanomedicine, 2024, 1571-1595. [Google Scholar] [CrossRef
[33] Su, Y., Zhang, B., Sun, R., Liu, W., Zhu, Q., Zhang, X., et al. (2021) PLGA-Based Biodegradable Microspheres in Drug Delivery: Recent Advances in Research and Application. Drug Delivery, 28, 1397-1418. [Google Scholar] [CrossRef] [PubMed]
[34] 何广宏, 万丹丹, 董然. 长效微球注射剂的研究进展[J]. 中国医院药学杂志, 2015, 35(10): 963-966.
[35] Kim, M., Kim, J.H., Kim, S., Maharjan, R., Kim, N.A. and Jeong, S.H. (2022) New Long-Acting Injectable Microspheres Prepared by IVL-DrugFluidic™ System: 1-Month and 3-Month in Vivo Drug Delivery of Leuprolide. International Journal of Pharmaceutics, 622, Article 121875. [Google Scholar] [CrossRef] [PubMed]
[36] Dimatteo, R., Darling, N.J. and Segura, T. (2018) In Situ Forming Injectable Hydrogels for Drug Delivery and Wound Repair. Advanced Drug Delivery Reviews, 127, 167-184. [Google Scholar] [CrossRef] [PubMed]
[37] Dunn Richard, L., English James, P., Cowsar Donald, R., et al. (1997) Biodegradable in-Situ Forming Implants and Methods of Producing the Same.
http://europepmc.org/patents/PAT/US5990194
[38] Christian, R., Thakkar, V., Patel, T., Gohel, M., Baldaniya, L., Shah, P., et al. (2018) Development of Biodegradable Injectable in Situ Forming Implants for Sustained Release of Lornoxicam. Current Drug Delivery, 16, 66-78. [Google Scholar] [CrossRef] [PubMed]
[39] Abulateefeh, S.R. (2023) Long-Acting Injectable PLGA/PLA Depots for Leuprolide Acetate: Successful Translation from Bench to Clinic. Drug Delivery and Translational Research, 13, 520-530. [Google Scholar] [CrossRef] [PubMed]
[40] Ansari, Z., Kalantar, M., Kharaziha, M., Ambrosio, L. and Raucci, M.G. (2020) Polycaprolactone/Fluoride Substituted-Hydroxyapatite (PCL/FHA) Nanocomposite Coatings Prepared by In-Situ Sol-Gel Process for Dental Implant Applications. Progress in Organic Coatings, 147, Article 105873. [Google Scholar] [CrossRef
[41] Aroda, V.R. and DeYoung, M.B. (2011) Clinical Implications of Exenatide as a Twice-Daily or Once-Weekly Therapy for Type 2 Diabetes. Postgraduate Medicine, 123, 228-238. [Google Scholar] [CrossRef] [PubMed]
[42] Ekinci, E.I., Pyrlis, F., Hachem, M., et al. (2021) Feasibility of once Weekly Exenatide-LAR and Enhanced Diabetes Care in Indigenous Australians with Type 2 Diabetes. (Long-Acting-Once-Weekly-Exenatide Lower-SUGAR, “Lower SUGAR” Study). Internal Medicine Journal, 51, 1463-1472.
[43] Bradham, K.D., Diamond, G.L., Burgess, M., Juhasz, A., Klotzbach, J.M., Maddaloni, M., et al. (2018) In Vivo and in Vitro Methods for Evaluating Soil Arsenic Bioavailability: Relevant to Human Health Risk Assessment. Journal of Toxicology and Environmental Health, Part B, 21, 83-114. [Google Scholar] [CrossRef] [PubMed]
[44] Panchal, S.S. and Vasava, D.V. (2023) Synthetic Biodegradable Polymeric Materials in Non-Viral Gene Delivery. International Journal of Polymeric Materials and Polymeric Biomaterials, 73, 478-489. [Google Scholar] [CrossRef
[45] Bose, R.J., Kim, M., Chang, J.H., Paulmurugan, R., Moon, J.J., Koh, W., et al. (2019) Biodegradable Polymers for Modern Vaccine Development. Journal of Industrial and Engineering Chemistry, 77, 12-24. [Google Scholar] [CrossRef] [PubMed]