国家大数据综合试点是否促进城市绿色创新?——基于多时点DID估计分析
Does the National Big Data Comprehensive Pilot Promote Urban Green Innovation?—An Analysis Based on Multi-Period DID Estimation
摘要: 本文旨在探讨国家大数据综合试点政策对城市绿色创新水平的影响。利用2010~2021年间我国287个地级以上城市的面板数据,通过构建多时点双重差分(DID)模型进行实证分析。研究结果显示,国家大数据综合试点的设立显著提高了城市绿色创新水平。这一结论在经过平行趋势检验、安慰剂检验和稳健性检验后依然成立。机制检验表明,国家大数据综合试点主要通过提升城市数字经济水平以及强化人才聚集两条渠道驱动了城市绿色创新水平的提升。异质性分析进一步揭示,该政策对东部地区城市、其次是中部城市的绿色创新增进效应更为强烈、其次是中部城市、最后是西部城市。本研究为通过推动大数据发展来增进城市绿色创新提供了重要的政策启示。
Abstract: This paper aims to explore the impact of the National Big Data Comprehensive Pilot Policy on urban green innovation levels. Utilizing panel data from 287 prefecture-level and above cities in China between 2010 and 2021, an empirical analysis was conducted by constructing a multi-period difference-in-differences (DID) model. The research results indicate that the establishment of the National Big Data Comprehensive Pilot significantly enhances urban green innovation levels. This conclusion remains valid after undergoing parallel trend tests, placebo tests, and robustness checks. Mechanism tests reveal that the National Big Data Comprehensive Pilot primarily drives the improvement of urban green innovation through two channels: promoting the development of the urban digital economy and strengthening the agglomeration of scientific and technological talent. Heterogeneity analysis further demonstrates that the policy exerts a more pronounced effect on enhancing green innovation in eastern cities, followed by central cities, and lastly western cities. This study provides important policy implications for promoting urban green innovation through the advancement of big data development.
文章引用:潘小红. 国家大数据综合试点是否促进城市绿色创新?——基于多时点DID估计分析[J]. 电子商务评论, 2025, 14(8): 666-675. https://doi.org/10.12677/ecl.2025.1482567

1. 引言

随着我国经济的飞速发展,“高投资、高耗能、高排放”的粗放型发展模式造成了严重的资源消耗和环境污染问题。面对资源约束和环境问题的双重压力,我国必须转变发展模式,实现经济绿色转型。党的二十大报告着重指出,推动经济社会发展绿色化、低碳化是实现高质量发展的关键环节。只有走绿色发展之路,才能够促进经济的高质量、可持续发展。

在数字经济迅猛发展的浪潮中,大数据以海量、高速、多样的特性成为推动经济社会发展的关键力量[1]。为了深化大数据产业发展,我国自20151年起开始设立国家大数据综合试点区。这些试点的设立为经济发展带来了新的机遇,同时也为城市绿色创新提供了新的动力。然而,关于国家大数据综合试点是否以及如何促进城市绿色创新的问题,学术界尚未形成一致的结论。因此,本文旨在通过DID估计分析,深入探讨国家大数据综合试点政策对城市绿色创新水平的影响,为相关政策制定提供理论依据。

针对如何提升企业绿色创新水平这一问题,现有相关研究重点关注了环境规制对企业绿色创新的影响机制及效果。一些研究认为合理设计的环境规制可以促进企业绿色创新[2]。与此同时,另一些研究则持有相反观点。虽然近年来绿色专利申请数量激增,但质量出现下滑[3]。政府绿色补贴这一环境规制政策并未能对绿色创新水平的提升起到持续性效果[4]。一些研究甚至发现,许多企业为了获取政府补贴往往会采取迎合政策的策略性创新战略,补贴政策竟成了绿色创新市场上“劣币驱逐良币的推手”[5]。纵观现有相关文献,对环境规制关注较多[6]-[10],但很少有研究从信息不对称角度来探讨如何提升绿色创新水平这一问题。鉴于此,本文以绿色创新系统中存在的信息不对称为出发点,探讨国家大数据综合实验点政策影响企业绿色创新的内在机制和作用效果则具有一定的理论价值。另外,由于缺乏与大数据相关的研究数据,所以现有关于大数据如何赋能实体经济的文献多停留在理论分析层面[11]-[15],实证分析很少见,仅有的几篇文献也只是采用案例分析的方法进行实证检验[16] [17]

有鉴于此,本文将试图解决如下两个问题:第一,国家大数据综合实验点政策影响城市绿色创新的内在机制是什么,影响路径有哪些?第二,国家大数据综合实验点政策对城市绿色创新的总体影响效果如何,不同路径的作用效果又如何?

本文力图在如下两方面有所贡献:一是,虽然近年来大数据技术等新技术已经被广泛应用于商业领域,但大数据如何赋能实体经济的理论框架却尚未构建,尤其是国家大数据综合实验点政策如何促进当地的绿色创新的微观机理更是鲜有关注。因此,本文试图对国家大数据综合实验点政策促进城市主体绿色创新的微观机理加以论证,以填补该研究领域的空白。二是,以大数据为代表的新技术能否通过精准的用户画像、精细化的产品定价以及集约化的业务流程来驱动城市主体绿色创新,也是一个现实问题,有待通过数据分析进行实证检验。目前我国尚缺乏连续性的国家大数据综合实验点政策指数数据,因此鲜有文献对国家大数据综合实验点政策对城市主体绿色创新的影响路径进行实证检验。鉴于此,构建了2010~2021年地级市面板数据应用多时点双重差分估计方法,实证检验了国家大数据综合实验点政策对城市主体绿色创新的影响机制和作用效果。

本文余下部分的安排是:第二部分是国家大数据实验点影响企业绿色创新的理论分析和研究假设的提出,第三部分是研究设计,第四部分是实证结果分析,第五部分是结论和启示。

2. 理论分析及假设提出

(一) 国家大数据实验点政策和城市绿色创新的直接影响

提升城市绿色竞争力:通过试验点的示范作用,被实验城市在绿色创新方面可以取得显著进展,提升城市绿色竞争力。促进经济与生态协调发展:试验点有助于探索经济与生态协调发展的新路径,实现可持续发展。增强城市可持续发展能力:通过大数据技术的应用,被实验城市可以更好地应对环境挑战,增强城市可持续发展能力。总之,国家大数据综合试验点对于被实验城市的绿色创新具有积极的推动作用,有助于实现经济发展与环境保护的双赢。所以本文提出假说1:

假设1:国家大数据实验点政策可以促进城市绿色创新。

(二) 基于人才聚集和数字经济发展对城市主体绿色创新的间接影响

大数据和人工智能等数字技术的发展,为绿色创新提供了技术支持。例如,通过数据分析优化能源使用,提高资源利用效率,减少浪费。数字经济的兴起推动了传统产业的数字化转型,这可能导致更绿色、更高效的生产方式,如智能制造、智能物流等。数字经济的增长可能带来新的市场需求,激励企业开发绿色产品和服务,以满足消费者对可持续性的需求。试验点的建立吸引了一批大数据、人工智能、绿色科技等领域的高端人才,为绿色创新提供了智力支持。人才的聚集促进了知识的传播和交流,加速了绿色创新技术的研发和应用。试验点可能提供良好的创业环境,鼓励人才创业,推动绿色创新企业的诞生和发展。所以本文提出:

假设2:国家大数据实验点政策通过提升城市数字经济发展水平和推动人才聚集从而促进企业绿色创新。

3. 研究设计

(一) 数据来源

2014年贵州省率先全面着手布局大数据产业,标志着大数据赋能实体经济的思维开始被政府关注,随后一些省份也全面着手布局大数据产业,考虑准备到完成需要时间,本文将政策发生时间设为2015和2016年。又由于大部分地级市数据可获得性,因此本文的样本期为2010~2021年。本文的研究对象为我国地级市2。企业绿色专利数据是按照环境友好型标准从国家知识产权局专利库中手工整理所得;其他城市层面的数据均来自城市统计年鉴。在剔除了缺失值过多样本后,共得到城市——年度观测值3440个。为消除极端值对回归结果的影响,本文对相应变量进行了对数化处理。

(二) 变量选取及构建

1) 被解释变量——绿色创新:本文以绿色专利申请总数量取对数、绿色专利发明专利申请数量和绿色专利实用新型专利申请数量等衡量,分别用作基准回归和稳健性检验。

2) 核心解释变量——国家大数据实验点政策:虽然2014年贵州省开始布局大数据产业,其他省份次年跟随,但是准备到完全实施需要时间所以本文以2015和2016年为政策发生时间记为post,时间之前的政策发生时间post取值为零政策发生后取值为1,以大数据综合实验点城市为处理组,处理变量记为treat,如果为处理组treat变量值取1,否则取0,政策冲击变量为treat与post相乘项也即treat*post,是本文重点观察变量。

3) 控制变量:为了避免出现遗漏变量问题带来的内生性问题,本文在模型回归中尽可能加入控制变量具体如下:

(1) 城市经济密度:地区生产总值/行政区域土地面积取对数衡量

(2) 经济集聚水平:地区生产总值/行政区域土地面积取对数衡量

(3) 经济发展水平:人均地区生产总值取对数衡量

(4) 金融发展程度:年末金融机构存贷款余额/地区生产总值取对数衡量

(5) 产业结构合理化:构建产业合理化泰尔指数作为产业结构合理性度量的指标取对数衡量[18]

(6) 对外开放程度:进出口总额/地区生产总值取对数衡量

(7) 财政投资力度 = 固定资产投资/政府财政一般支出取对数衡量

(8) 科技水平支出:科学技术支出/政府财政一般支出取对数衡量

(9) 科教支出:教育支出 + 科学技术支出取对数衡量

(10) 人力资本水平:普通本专科在校学生数/年末总人口取对数衡量

4) 中介变量

(1) 数字经济:构建指标3利用熵值法测算[19]

(2) 人才聚集:研发人员数比总就业人数取对数衡量。

(三) 模型构建

为了考察对企业绿色创新的影响,本文构建了如下回归模型:

( greeninven t it )= β 1it + β 2 treat + β 2 post+ β 3 posttreat+βZ+ λ i + u t + ε it   (1)

式(1)中,下标it分别代表城市和年份。Ln (greeninvent)代城市主体绿色创新水平本文用绿色专利申请总数量取对数、绿色专利发明专利申请数量和绿色专利实用新型专利申请数量等衡量,分别用作基准回归和稳健性检验。本文以2015和2016年为政策发生时间记为post,时间之前的政策发生时间post取值为零政策发生后取值为1,以大数据综合实验点城市为处理组,处理变量记为treat,如果为处理组treat变量值取1,否则取0,政策冲击变量为treat与post相乘项也即treat*post,是本文重点观察变量,Z为控制变量集。如果参数 β 3 > 0,则意味着国家大数据综合实验点政策可以促进城市绿色创新。

同时为了检验国家大数据实验点政策通过促进城市数字经济发展水平和促进人才聚集从而促进企业绿色创新本文构建经典三步法的中介效应模型具体如下:

{ ln( greeninven t it )= β it + β 2 treat+ β 2 post+ β 3 posttreat+βZ+ λ i + u t + ε it M it = β 1it * + β 1 * treat + β 2 * post+ β 3 * psottreat+βZ+ λ i + u t + ε it   ln( greeninven t it )= β 1it 1 + β 2 1 treat+post+ β 5 1 M it + β 6 1 Z+ λ i + u t + ε it (2)

式(2)中 M it 为机制变量,分别是数字经济发展水平和人才聚集水平。

4. 实证结果分析

(一) 基准回归

表1基准回归结果,可以看出不管是普通最小二乘法还是面板固定效应估计都表明国家大数据综合实验点的设立都显著提高了被试验点城市的绿色创新水平。

Table 1. Benchmark regression results

1. 基准回归结果

(1)

(2)

(3)

(4)

DID

0.4054***

0.4922***

0.1320***

0.1320***

(8.79)

(14.77)

(4.64)

(4.64)

N

3440

3440

3440

3440

R2

0.7146

0.9331

0.9587

0.9587

adj. R2

0.7138

0.9269

0.9547

0.9547

城市固定效应

No

yes

yes

yes

时间固定效应

No

No

yes

yes

省份固定效应

No

No

No

yes

控制变量

yes

yes

yes

yes

注:t statistics in parentheses * p < 0.1,** p < 0.05,*** p < 0.01。

(二) 稳健性检验

本文以更换绿色创新水平度量,基准回归是以绿色专利申请总数量取对数度量的稳健性检验转换为绿色专利发明专利申请数量和绿色专利实用新型专利申请数量等等衡量,然后是考虑到面板数据可能存在截面相关、组间异方差和主内自相关本文通过xtgls和xtscc等估计方法,最后通过缩减样本数据,将不平衡面板变为2010到2021年的平衡面板等方法进行稳健性检验。

表2更换绿色创新水平其中y1到y5分别是以ln (绿色专利发明专利申请数量)、ln (绿色专利实用新型专利申请数量)、ln (绿色专利授权总量)、ln (绿色专利发明专利授权量)和(ln绿色专利实用新型专利授权量)等度量的绿色创新水平,根据回归结果,国家大数据综合试验点依然对试验城市的绿色创新水平有着显著促进作用,且系数变化与基准回归差别不大,故而认为基准回归有着稳健性。

Table 2. Robustness Test 1

2. 稳健性检验1

(1)

(2)

(3)

(4)

(6)

y1

y2

y3

y4

y5

DID

0.1279***

0.0957***

0.1358***

0.0988***

0.1136***

(4.55)

(2.74)

(4.60)

(3.48)

(3.75)

N

3440

3440

3440

3440

3440

R2

0.9598

0.9421

0.9541

0.9591

0.9523

adj. R2

0.9558

0.9364

0.9496

0.9551

0.9476

城市固定效应

yes

yes

yes

yes

yes

时间固定效应

yes

yes

yes

yes

yes

省份固定效应

yes

yes

yes

yes

yes

控制变量

yes

yes

yes

yes

yes

注:t statistics in parentheses * p < 0.1,** p < 0.05,*** p < 0.01。

考虑到面板数据可能存在同期组建相关、组内自相关和组间异方差,从导致t统计和f统计量会失效使用xtscc以及xtgls估计方法,对存在同期组建相关、组内自相关和组间异方差进行重新估计,见表3结果可知,国家大数据综合试验点依然对试验城市的绿色创新水平有着显著促进作用,且系数变化与基准回归差别不大,故而认为基准回归有着稳健性的可靠性。

Table 3. Robustness Test 2

3. 稳健性检验2

(1)

(2)

xtscc

xtgls

DID

0.1774***

0.1774***

(0.0332)

(0.0268)

N

3440

3440

城市固定效应

yes

yes

时间固定效应

yes

yes

省份固定效应

yes

yes

控制变量

yes

yes

注:Standard errors in parentheses * p < 0.1,** p < 0.05,*** p < 0.01。

表4,通过缩减样本变为平衡,同时进行对不同绿色创新水平进行度量,度量方式同前文一致,进行回归,结果显示国家大数据综合试验点依然对试验城市的绿色创新水平有着显著促进作用,且系数变化与基准回归差别不大,故而认为基准回归有着稳健性和可靠性。

Table 4. Robustness Test 3

4. 稳健性检验3

(1)

(2)

(3)

(4)

(5)

(6)

y1

y2

y3

y4

y5

y6

DID

0.1230***

0.0879**

0.1315***

0.0962***

0.0263***

0.1119***

(4.34)

(2.51)

(4.42)

(3.35)

(3.67)

(3.66)

N

3408

3408

3408

3408

3408

3408

adj.R2

0.9562

0.9373

0.9500

0.9552

0.9202

0.9479

城市固定效应

yes

yes

yes

yes

yes

yes

时间固定效应

yes

yes

yes

yes

yes

yes

省份固定效应

yes

yes

yes

yes

yes

yes

控制变量

yes

yes

yes

yes

yes

yes

注:* p < 0.1,** p < 0.05,*** p < 0.01 t statistics in parentheses。

(三) 双重差分有效性检验

1) 平行趋势检

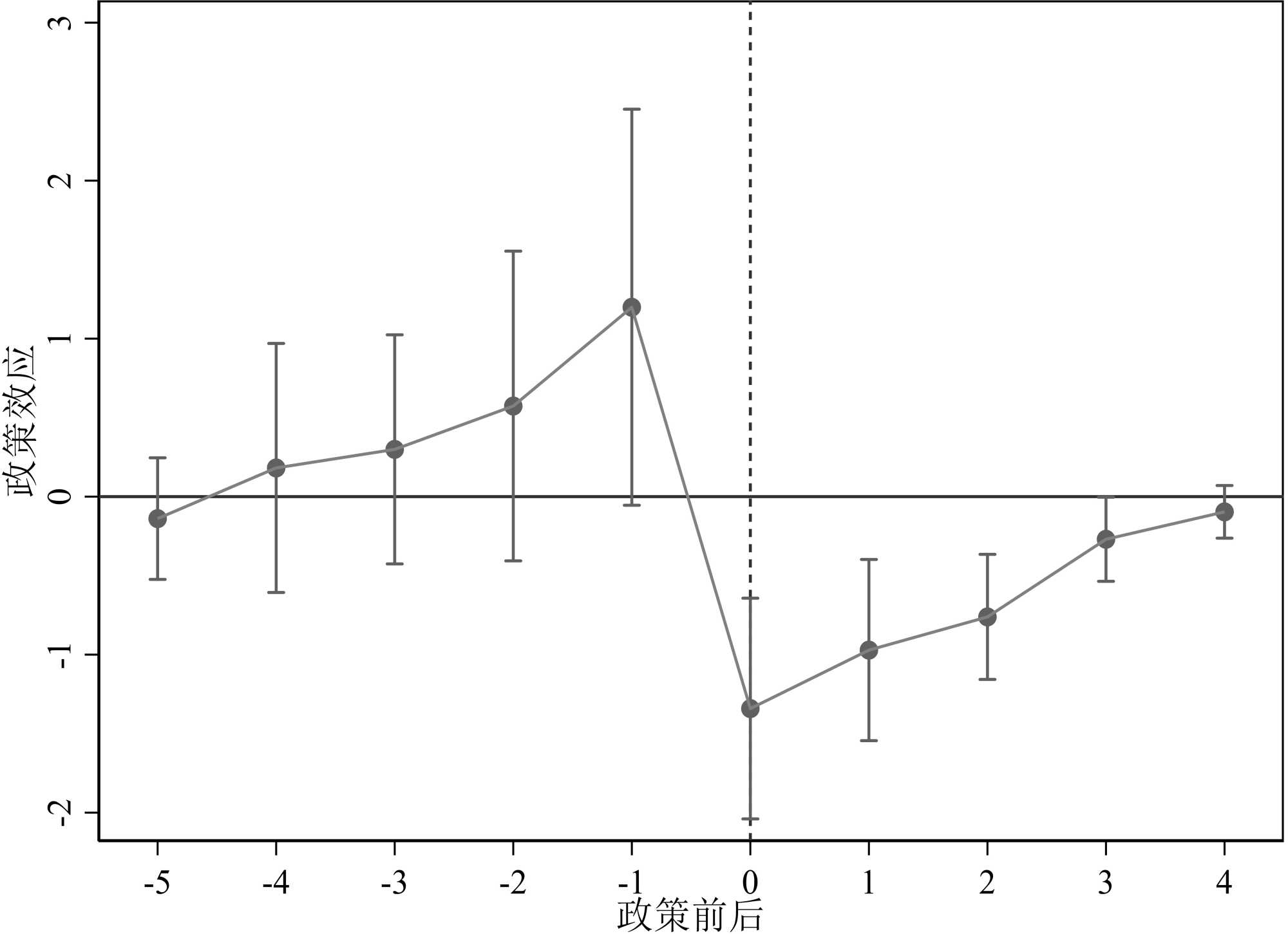
图1,在国家大数据综合试验点开始前,控制组城市与实验点城市在绿色创新水平趋势没有显著区别,国家大数据综合试验点控制组城市与实验点城市在绿色创新水平趋势没有显著区别,但是慢慢又没有显著区别,说明政策可能只是短期冲击有作用,但是依然通过平行趋势检验。

Figure 1. Parallel trend test chart

1. 平行趋势检验图

2) 安慰剂检验

为进一步确定双重差分估计量有效本文将进行安慰检验,常见安慰剂检验有政策发生时间虚拟变量,也就是假设政策发生时间提前看看是否依然存在冲击考虑本文时间选取本文假设国家大数据综合试验点分别提前一年、两年和三年发生进行安慰剂检验,见表5回归结果,可以清晰地看到回归结果都不再显著,说明虚拟国家大数据综合试验点发生不会对试验点城市带来显著的影响,说明是政策发生带来的影响,故而通过安慰剂检验。

Table 5. Placebo test

5. 安慰剂检验

(1)

(2)

(3)

提前一年

提前两年

提前三年

did1

0.1279

(0.1930)

did2

0.0992

(0.2978)

did3

0.0538

(0.5747)

N

3440

3440

3440

adj. R2

0.9554

0.9552

0.9551

城市固定效应

yes

yes

yes

时间固定效应

yes

yes

yes

省份固定效应

yes

yes

yes

控制变量

yes

yes

yes

注:p-values in parentheses * p < 0.1,** p < 0.05,*** p < 0.01。

(四) 机制检验

1) 数字经济机制检验

为弄清国家大数据综合试验点如何影响试验点城市绿色创新水平将利用三步法中介效应进行机制检验估计。

表6回归结果我们可以看出国家大数据综合试验点会显著促进数字经济水平提升从而提升城市绿色创新水平,假设2得以验证。

Table 6. Mechanism testing of digital economy development level

6. 数字经济发展水平机制检验

(1)

(2)

(3)

DID

0.1445***

0.0037***

0.13***

(0.0000)

(0.0002)

(0.0000)

lndigital_economy

0.039*

(0.069)

N

3156

3156

3156

adj. R2

0.9575

0.8620

0.9575

城市固定效应

yes

yes

yes

时间固定效应

yes

yes

yes

省份固定效应

yes

yes

yes

控制变量

yes

yes

yes

注:p-values in parentheses * p < 0.1,** p < 0.05,*** p < 0.01。

2) 人才聚集机制检验

表7回归结果,我们可以看出国家大数据综合试验点会显著促进人才聚集从而提升城市绿色创新水平,假设2得以验证。

Table 7. Talent aggregation mechanism test

7. 人才聚集机制检验

(1)

(2)

(3)

DID

0.1345***

0.0027***

0.12***

(0.0000)

(0.0005)

(0.0000)

R&D_population

0.029*

(0.059)

N

3156

3156

3156

adj. R2

0.9575

0.8620

0.9575

城市固定效应

yes

yes

yes

时间固定效应

yes

yes

yes

省份固定效应

yes

yes

yes

控制变量

yes

yes

yes

注:p-values in parentheses * p < 0.1,** p < 0.05,*** p < 0.01。

(五) 异质性分析

由于不同地区可能经济发展水平、基础设施等等不同从而导致国家大数据综合试验点对不同试验点城市绿色创新促进不同,所以本文将样本根据地区不同分为三个组别,东部、中部和西部三个组。

表8无论是在东部还是在中部抑或在西部国家大数据综合试验点会显著提升城市绿色创新水平。但是促进效果由东中西部依次递减,这很好理解,东中西部经济发展水平、基础设施等等都有很大差距故而对东部试验点城市绿色创新水平提升促进作用最大其次是中部最后是西部。

Table 8. Heterogeneity analysis results

8. 异质性分析结果

(1)

(2)

(3)

东部

中部

西部

DID

0.1365***

0.1142**

0.0433***

(0.0008)

(0.0348)

(0.0007)

N

1200

1200

1040

adj. R2

0.9718

0.9464

0.9249

城市固定效应

yes

yes

yes

时间固定效应

yes

yes

yes

省份固定效应

yes

yes

yes

注:p-values in parentheses * p < 0.1,** p < 0.05,*** p < 0.01。

5. 结论与政策启示

本文利用2010~2021年间我国287个地级以上城市的面板数据,通过构建双重差分模型,对国家大数据综合试点政策对城市绿色创新的影响进行了实证检验。研究结果显示,国家大数据综合试点的设立显著提高了城市绿色创新水平,这一结论在经过平行趋势检验、安慰剂检验和稳健性检验后依然成立。机制检验表明,国家大数据综合试点主要通过提升数字经济水平以及强化人才聚集两条渠道驱动了城市绿色创新水平的提升。异质性分析进一步揭示,该政策对东部地区城市的绿色创新增进效果更为强烈。基于以上结论,本文提出以下政策启示:

加强大数据综合试点区建设:继续推进国家大数据综合试点区建设,充分发挥大数据在推动城市绿色创新中的重要作用。通过优化政策环境、完善基础设施、加强人才培养等措施,提高大数据综合试点区的创新能力和竞争力。促进区域协调发展:充分利用国家大数据综合试点的空间溢出效应,推动区域协调发展。加强区域合作、优化资源配置、共享创新成果等措施,是促进周边城市绿色发展的途径。

强化数字经济与人才聚集的协同效应:政府应加大对数字经济和人才聚集的投入,通过政策引导和市场机制,促进数字经济与人才聚集的深度融合,形成协同效应,共同推动城市绿色创新水平的提升。同时,应加强对数字经济和人才聚集的监测和评估,及时发现问题并采取相应措施进行调整和优化。

制定差异化政策:针对不同地区的实际情况,制定差异化的政策。对于东部地区,应进一步加大大数据综合试点的力度,探索更多创新模式;对于中西部地区,应加强对数字经济和人才聚集的培育,缩小与东部地区的差距。

加强国际合作与交流:积极参与国际大数据和绿色创新领域的合作与交流,借鉴国际先进经验和技术,推动我国城市绿色创新水平的不断提升。同时,加强与国际组织的合作,争取更多国际支持和援助,为我国城市绿色创新提供更多资源和机会。

附 录

Table S1. Comprehensive evaluation index system of digital economy

S1. 数字经济综合评价指标体系

一级指标

二级指标

指标说明

状态

权重

数字化基础设施

互联网宽带接入率(%)

互联网宽带接入端口数与地区总人口数的比值

+

0.0317

长途光缆线路长度(km)

长途光缆线路长度

+

0.0388

移动电话设施规模(户)

移动电话交换机容量

+

0.0453

数字化应用程度

互联网普及率(%)

互联网宽带接入用户数占地区常住人口数的比值

+

0.0306

移动电话普及率(%)

移动电话总数占地区总人口数的比值

+

0.0287

电商交易活动企业占比(%)

从事电商交易的企业占地区总企业数的比值

+

0.0280

信息软件业就业人员占(%)

信息软件业就业人员数占地区就业人数的比值

+

0.1073

数字化驱动能力

电商销售额(元)

地区电子商务交易额

+

0.1403

高技术产业收入(元)

提供信息服务、电子商务服务等高技术企业的销售收入

+

0.1693

二三产业增加值(元)

除农林牧渔外的工业、服务业的最终成果

+

0.0711

数字化创新潜力

普通高校总量(所)

地区内高等学校总数量

+

0.0330

科技创新投入(元)

规模以上工业企业研发经费

+

0.1270

科技创新产出(项)

国内专利申请授权量

+

0.1490

NOTES

1也有部分城市是2016年开始成为实验点。

2由于数据可获得性原因不包含港澳台和西藏的样本数据。

3具体指标见附录。

参考文献

[1] Chareonpanich, M., Kongkachuichay, P., Donphai, W., Mungcharoen, T. and Huisingh, D. (2017) Integrated Transdisciplinary Technologies for Greener and More Sustainable Innovations and Applications of Cleaner Production in the Asia-Pacific Region. Journal of Cleaner Production, 142, 1131-1137.
https://doi.org/10.1016/j.jclepro.2016.10.174
[2] Kaplan, S.N. and Zingales, L. (1997) Do Investment-Cash Flow Sensitivities Provide Useful Measures of Financing Constraints? The Quarterly Journal of Economics, 112, 169-215.
https://doi.org/10.1162/003355397555163
[3] Ley, M., Stucki, T. and Woerter, M. (2016) The Impact of Energy Prices on Green Innovation. The Energy Journal, 37, 41-76.
https://doi.org/10.5547/01956574.37.1.mley
[4] 王旭, 王兰. 难辞其咎的大股东: 绿色创新导向下政府补贴对绿色创新驱动乏力的新解释[J]. 研究与发展管理, 2020(2): 24-36.
[5] 王班班, 齐绍洲. 市场型和命令型政策工具的节能减排技术创新效应——基于中国工业行业专利数据的实证[J]. 中国工业经济, 2016(6): 91-108.
[6] 陶锋, 赵锦瑜, 周浩. 环境规制实现了绿色创新的“增量提质”吗——来自环保目标责任制的证据[J]. 中国工业经济, 2021(2): 136-154.
[7] Tan, Y., Tian, X., Zhang, X. and Zhao, H. (2015) The Real Effects of Privatization: Evidence from China as Split Share Structure Reform. Kelley School of Business Research Paper No. 2014-33.
https://doi.org/10.2139/ssrn.2481838
[8] 黎文靖, 郑曼妮. 实质性创新还是策略性创新?——宏观产业政策对微观企业创新的影响[J]. 经济研究, 2016(4): 60-73.
[9] 肖静华, 吴瑶, 刘意, 谢康. 消费者数据化参与的研发创新——企业与消费者协同演化视角的双案例研究[J]. 管理世界, 2018(8): 154-173
[10] 寇宗来, 刘学悦. 中国企业的专利行为: 特征事实以及来自创新政策的影响[J]. 经济研究, 2020, 55(3): 83-99.
[11] 严若森, 陈娟. 高管政治关联对企业绿色创新的影响研究: 基于政府-企业-社会互动视角[J]. 人文杂志, 2022(7): 105-116.
[12] Popp, D., Newell, R.G. and Jaffe, A.B. (2010) Energy, the Environment, and Technological Change. Handbook of the Economics of Innovation, 2, 873-937.
https://doi.org/10.1016/S0169-7218(10)02005-8
[13] 涂正革, 谌仁俊. 排污权交易机制在中国能否实现波特效应? [J]. 经济研究, 2015, 50(7): 160-173.
[14] 邵帅, 李欣, 曹建华, 等. 中国雾霾污染治理的经济政策选择——基于空间溢出效应的视角[J]. 经济研究, 2016, 51(9): 73-88.
[15] Elhorst, J.P. (2010) Applied Spatial Econometrics: Raising the Bar. Spatial Economic Analysis, 5, 9-28.
https://doi.org/10.1080/17421770903541772
[16] LeSage, J. and Pace, R.K. (2009) Introduction to Spatial Econometrics. CRC Press.
[17] 郭峰, 熊瑞祥. 地方金融机构与地区经济增长——来自城商行设立的准自然实验[J]. 经济学(季刊), 2018, 17(1): 221-246.
[18] 干春晖, 郑若谷, 余典范. 中国产业结构变迁对经济增长和波动的影响[J]. 经济研究, 2011, 46(5): 4-16, 31.
[19] 王莹, 花俊国, 李冰冰. 数字经济对城乡融合发展的赋能效应与机制研究[J]. 农业现代化研究, 2024, 45(3): 477-487.