基于ABAQUS型钢混凝土梁温度场分析
Temperature Field Analysis of Steel-Reinforced Concrete Beams Using ABAQUS
DOI: 10.12677/mos.2025.1410618, PDF, HTML, XML,   
作者: 谢晓敏:上海理工大学环境与建筑学院,上海
关键词: 型钢混凝土梁数值模拟温度场Steel-Reinforced Concrete Beam Numerical Simulation Temperature Field
摘要: 火灾作用下构件内部温度场随时间和空间的变化规律对结构和构件抗火性能具有重要意义。本文通过ABAQUS有限元软件来建立型钢混凝土梁的传热模型,研究工字钢、保护层厚度、升温条件、受火方式这几种影响因素对截面温度场的影响。结果表明:尽管钢材自身温度变化幅度较小,但工字钢对构件截面温度场的分布具有显著影响,其影响程度随受火时间呈先增后减的趋势,并于72 min时达到最大值;此外,混凝土保护层有效发挥了隔热保护作用,随着其厚度的增加,钢筋的耐火时间显著延长。对比混凝土保护层厚度分别为30 mm、40 mm的升温曲线发现:当混凝土保护层增加10 mm后,相同受火试件的钢筋降低100℃以上;在不同升温曲线下,混凝土和钢筋的温度变化趋势同其对应的四种升温曲线温度变化趋势基本上是一致的,HCM升温条件下钢筋和混凝土结点温度最高,依次是HC、ISO-834、ASTM;在单面、两面、三面受火方式下,单面受火温度整体低于三面受火。随着受火面数的增加,截面温度也随之增加。通过分析混凝土温度场云图发现:除两面外,单面和三面受火方式下温度分布都是单轴对称。
Abstract: The temporal and spatial variations of internal temperature fields within structural members under fire exposure are crucial for evaluating the fire resistance performance of structures and components. This study employs ABAQUS FEA Software to establish a model of heat transfer for steel reinforced concrete beams, investigating the influence of several factors—including I beam, concrete cover thickness, heating conditions, and fire exposure scenario—on the temperature distribution within the cross-section temperature field. Although the temperature change of the steel itself is relatively limited, the I-beam significantly influences the temperature distribution across the component cross-section. The extent of this influence initially increases and then decreases with prolonged fire exposure, reaching its maximum value at 72 minutes. The concrete cover effectively fulfills its insulating function, and as its thickness increases, the fire resistance time of the steel reinforcement is significantly extended. A comparison of the heating curves for concrete cover thicknesses of 30 mm and 40 mm reveals that an increase of 10 mm in cover thickness results in a temperature reduction of over 100˚C in the reinforcing steel at the same duration of fire exposure. Under different heating curves, the temperature change trends of concrete and reinforcing steel generally align with their corresponding four heating curve temperature profiles. Under HCM heating conditions, the highest temperatures occur at the concrete-reinforcing steel joints, followed by HC, ISO-834, and ASTM conditions. Under single-sided, double-sided, and triple-sided fire exposure conditions, the overall temperature of single-sided exposure is lower than that of triple-sided exposure. As the number of exposed surfaces increases, the cross-sectional temperature rises accordingly. Analysis of the concrete temperature field nephograms reveals that, with the exception of two-face exposure, the temperature distribution under both one-face and three-face fire scenarios exhibits a mono-axial symmetric pattern.
文章引用:谢晓敏. 基于ABAQUS型钢混凝土梁温度场分析[J]. 建模与仿真, 2025, 14(10): 210-222. https://doi.org/10.12677/mos.2025.1410618

1. 引言

型钢混凝土结构是一种在型钢骨架周围配置钢筋并浇筑混凝土的埋入式组合结构体系。该结构形式主要应用于大跨度、高层及超高层建筑等领域。与钢筋混凝土结构相比,型钢混凝土结构具有承载力更高、施工速度快、工期短、抗震性能优越等特点;相较于纯钢结构,其在耐久性、耐火性、结构侧向刚度等方面表现更优,同时能够有效节约钢材用量。由于当前我国建筑结构火灾频繁发生,了解并掌握型钢混凝土梁在火灾中的温度分布及其变化规律,对于提升建筑结构的抗火安全性、减少人员伤亡与财产损失、降低灾后修复成本以及加快重建进程具有重要意义。

在型钢组合梁研究中,郑永乾、韩林海[1]用ABAQUS有限元软件,通过纤维模型法对火灾下型钢混凝土梁的耐火性能进行了分析。通过考察含钢率、配筋率、混凝土保护层厚度、截面尺寸等关键参数,分析了材料强度及几何构造对型钢混凝土梁耐火性能的影响,进而提出了一个耐火极限的实用计算公式。陈玲[2]通过压型钢板–混凝土组合梁在局部火灾下的实验,通过对工字型梁沿高度方向的温度梯度分布及其沿长度方向随时间变化的温度数据进行采集,并利用有限元分析软件进行模拟,获得了工程常用窄翼缘工字型钢截面高度方向的温度分布规律,可为钢结构抗火设计及整体钢框架的抗火性能研究提供参考依据。蒋翔[3]利用ABAQUS有限元软件建立了分析模型,模拟采用防火涂料与防火板保护的耐火钢–混凝土简支组合梁在标准升温下的抗火性能,并分析了各因素对组合梁耐火极限的影响。高轩[4]基于有限元热分析结果,建立了标准火灾作用下冷弯薄壁槽钢–混凝土组合梁的热–结构耦合有限元模型,并通过该模型系统分析了荷载水平、防火涂层厚度等因素对组合梁抗火性能的影响。

2. 材料热工程参数

2.1. 混凝土参数

2.1.1. 导热系数λc

混凝土的导热系数随温度的升高明显减小,主要受骨料种类、含水量等因素的影响。EC4 [5]规定的高温下普通混凝土的导热系数计算公式:

λ c =0.012 ( T 120 ) 2 0.24( T 120 )+2       20T1200 (1)

式中: λ c ——混凝土的热传导系数,W/(m∙℃)。

2.1.2. 比热容Cc

升温过程中,由于混凝土内部含有水分,温度升高到100℃时,混凝土内水分受热蒸发带走部分热量,所以水分迁徙对截面温度场的分布有一定的影响,本文使用EC4 [5]规定的比热容计算公式来考虑混凝土中水分对温度场的影响,选取2%含水率。

C c ={ 900                                      20T100 900+( T100 )                   100<T200 1000+ ( T200 )/2              200<T400 1100                                    400<T1200 (2)

式中: C c ——混凝土的比热,J/(kg∙℃)。

2.1.3. 热膨胀系数αc

本文使用EC4 [5]规定的高温下普通混凝土的热膨胀系数公式:

Δl l ={ 2.3× 10 11 T 3 +9× 10 6 T1.8× 10 4       20T700 14× 10 3                                                 700<T1200        (3)

式中: Δl ——由于温度升高引起的构件的伸长量; l ——升温前的构件长度;αc——混凝土的热膨胀系数,m/(m∙℃)。

2.2. 钢材热参数

2.2.1. 导热系数λs

本文使用欧洲钢结构规范EC3 [6]及欧洲规范EC4 [5]提出的导热系数的关系:

λ s ={ 543.33× 10 2 T      20T800 27.3                          T>800        (4)

式中: λ s ——钢材的热传导系数,W/(m∙℃)。

2.2.2. 钢材比热容Cs

本文使用EC3 [6]及EC4 [5]提出的温度与比热的关系:

C s ={ 425+7.73× 10 1 T1.69× 10 3 T 2 +2.22× 10 6 T 3         20T600 666 13002/ ( T738 )                                                 600<T735 545+ 17820 / ( T731 )                                                735<T900 650                                                                             900<T1200 (5)

式中: C s ——钢材的比热容,J/(kg∙℃)。

2.2.3. 热膨胀系数αs

本文使用EC3 [6]及EC4 [5]提出的热膨胀的计算公式:

α s ={ 0.8× 10 8 ( T20 )+1.2× 10 5       20T750 0                                                  750<T860 2.0× 10 5                                      860<T1200 (6)

式中: α s ——混凝土的热膨胀系数,m/(m∙℃)。

2.3. 钢筋热参数

2.3.1. 比热容Cs

本文中钢筋的比热容采用李引擎[7]提出的计算公式:

C s =473+20.1× 10 2 T+37.1× 10 5 T 2 (7)

式中: C s ——钢筋的比热容,J/(kg∙℃)。

2.3.2. 导热系数λs

本文使用EC4 [5]规范的计算公式:

λ s ={ 543.33× 10 2 T      20T800 27.3                          T>800 (8)

式中: λ s ——钢筋的热传导系数,W/(m∙℃)。

2.3.3. 热膨胀系数αs

本文钢筋的热膨胀系数采用加拿大学者Lie [8]的计算公式:

α s ={ ( 0.004T+12 )× 10 6       T1000 16× 10 6                         T>1000 (9)

式中: α s ——钢筋的热膨胀系数,m/(m∙℃)。

3. 温度场建立与验证

3.1. 模型建立

对混凝土、工字型钢及钢筋进行建模,混凝土采用三维–实体–拉伸、工字型钢采用三维–实体–拉伸、钢筋采用三维–线–平面。在温度场模型中钢筋采用内置的方式放入混凝土中,工字型钢与混凝土贴在一起。受火面对流换热系数取25 W/(m2∙℃),综合辐射系数取0.5,环境温度取1;非直接受火面对流传热较小,取9 W/(m2∙℃);空气温度设置20℃,环境温度的幅值选取瞬时。在模型属性中Stefan-Boltzmann常数为5.67 × 108 W/(m2∙K4);绝对零度−273.15℃。进行热传导分析时,型钢、混凝土采用DC3D8单元,钢筋采用DC1D2单元,网格划分在长度、宽度及厚度方向上均采用20 mm的单元尺寸。有限元模型及结果如图1所示,基于ABAQUS模拟得到的梁跨中截面温度场云图如图2所示,在图2图3中选取梁跨中截面网格结点S1、S2、S3、S4和钢筋网格结点B1、B2、B3来研究各影响因素对截面温度场的影响,其中点S3为截面形心,点S4为型钢混凝土截面内型钢下翼缘中心处;点B2、点B3分别是钢筋宽度的中点和高度的2/3处。

Figure 1. Finite element model

1. 有限元模型

Figure 2. Simulation cloud diagram of the temperature field of the middle section under different fire times

2. 不同受火时间下中截面温度场模拟云图

Figure 3. Simulation cloud diagram of the temperature field of steel bars across the middle section when the fire time is 120 min

3. 受火时间120 min时跨中截面钢筋温度场模拟云图

3.2. 温度场验证

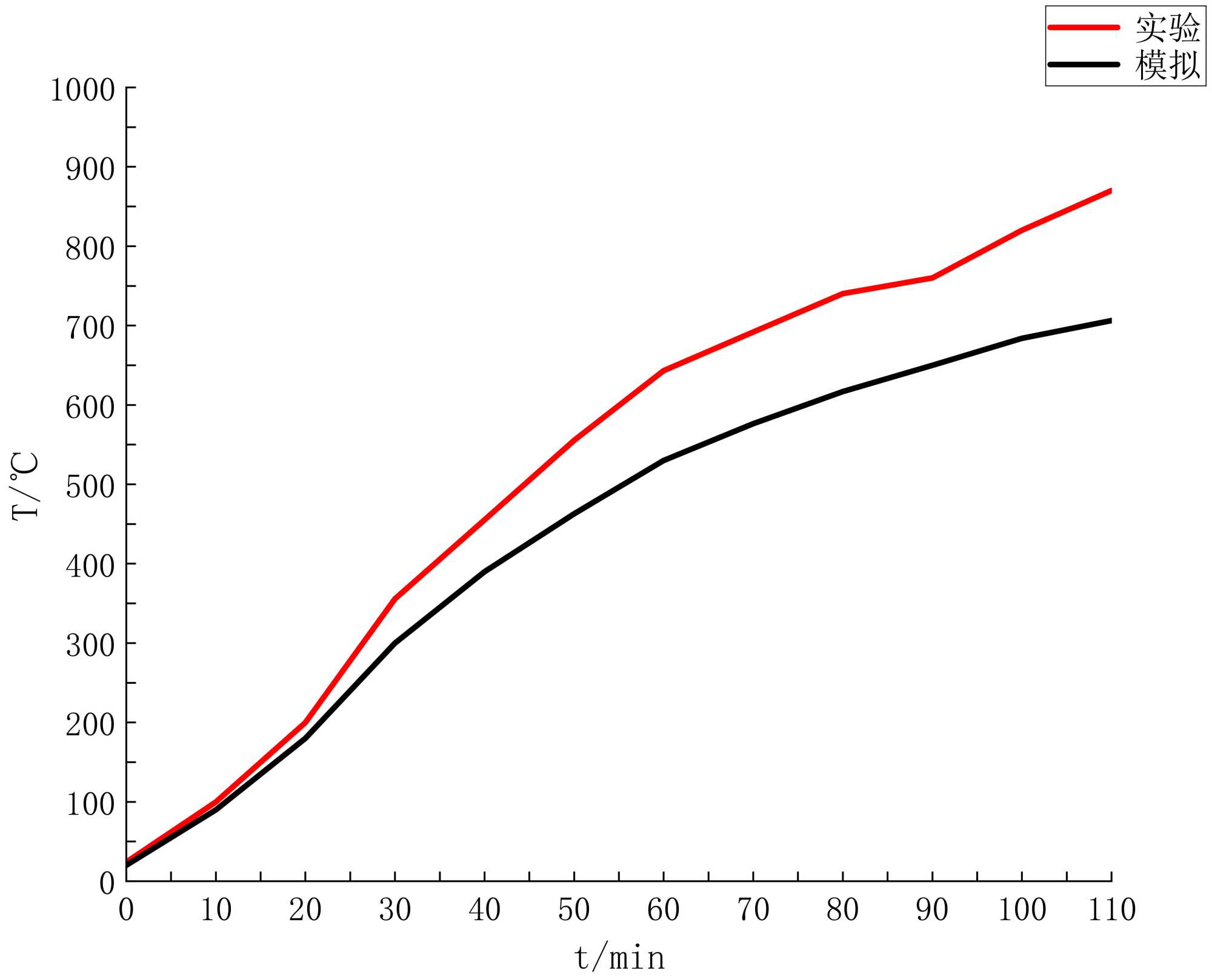
为了验证温度场模型的正确性,本文采用文献[9]中F-PSRC12实验梁进行对比验证,其混凝土尺寸200 × 350,工字形尺寸200 × 100,箍筋尺寸Փ8@200,受拉钢筋2Փ12,受压钢筋2Փ14。构件三面受火,ISO-834进行升温。如图4所示,实验值和模拟值温度吻合较好,从而证明利用有限元软件ABAQUS模拟受火后温度场是可靠、正确的。

Figure 4. Experimental values are compared with simulated values

4. 实验值与模拟值对比

4. 温度场分析及其影响因素

4.1. 工字钢对温度场的影响

Figure 5. Heating curve of concrete internal sectional steel

5. 混凝土内型钢升温曲线

Figure 6. The temperature heating curve of each point in the section of steel concrete

6. 型钢混凝土截面内各点的温度升温曲线

型钢混凝土构件与钢筋混凝土构件高温下的温度场有相似之处,同样受到受火时间、截面尺寸和骨料种类等因素的影响,但是型钢混凝土梁内由于型钢的存在,使得型钢混凝土构件与钢筋混凝土构件的截面温度分布大不相同。研究表明[10]:混凝土内钢筋对截面温度场分布影响很小,可忽略钢筋对截面温度场的分布影响。文献[2]指出,钢材的热传导热系数大,比热容小,与混凝土相比,钢材自身温度变化不大,由图5可知,工字型钢整体温度较小。然而根据图6中的曲线对比可以看出,工字钢对构件截面温度场的变化具有显著影响,其影响程度随受火时间的增加呈先增大后减小的趋势,并在72 min时达到最大值。这一现象可归因于升温初期外部温度上升较快,导致截面内温度梯度较大;而在受火后期,外部升温趋于平缓,截面内的温度梯度也随之减小。进一步从图6可知,型钢混凝土截面中型钢翼缘中心处节点S4与截面形心处节点S3之间的温差,明显小于素混凝土相应位置处的温差。具体而言,在受火120 min时,S4与S3的温差相比素混凝土相同位置处的温差分别高出16.5℃和174℃。可见,型钢能加速截面内热传导,使温度显著上升。这是因为钢材具有良好的导热性能,从而降低两点之间的温差。因此,在型钢混凝土梁中,型钢的存在对截面温度场分布具有一定影响,后续开展抗火性能研究时需考虑这一因素。

4.2. 保护层厚度对钢筋温度场的影响

根据有限元模拟对不同保护层厚度的梁进行温度场模拟,以常见三面火为例,在保证其他条件相同的情况下,计算保护层分别取c = 30 mm、c = 40 mm。同时选取40 mm保护层的构件截面同一位置结点B1、B3。由图7升温曲线可知,随着混凝土保护层厚度的增加,钢筋温度有明显降低,说明增加混凝土厚度可以有效保护钢筋。其中对比混凝土保护层厚度分别为30 mm、40 mm的升温曲线发现:当混凝土保护层增加10 mm后,相同受火试件的钢筋降低100℃以上。ASTM E119-20 [11]中规定:钢筋混凝土构件在受火环境下的耐火极限,以受力钢筋的温度作为判定标准,其不能超过钢筋的临界温度(普通钢筋其临界温度为593℃)。以钢筋温度达到593℃作为判别条件,其耐火极限约为50 min,钢筋升温曲线达到593℃时,保护层厚度为30 mm时,结点B1、B3达到593℃的受火时间分别为55 min、87 min。保护层为40 mm厚时,结点B1、B3达到593℃的受火时间分别为88 min、108 min。经分析可得,高温下,型钢混凝土梁中混凝土保护层在一定程度上能够对钢筋起到有效的保护作用。

Figure 7. The effect of different cover thicknesses on steel bar temperature

7. 不同保护层厚度对钢筋温度的影响

4.3. 升温曲线对混凝土及钢筋温度场的影响

升温曲线的不同会导致型钢混凝土组合梁各个部位的温度场不同,对混凝土和钢筋都有不同程度的影响。本文选取四种不同升温曲线来研究升温曲线对混凝土和钢筋的温度场影响。

Figure 8. Heating curve

8. 升温曲线

Figure 9. Effects of different heating curves on concrete temperature

9. 不同升温曲线对混凝土温度的影响

第一种曲线是由国家标准组织制订的标准升温曲线ISO-834,第二种是ASTM-E119,第三种是HCM,第四种是HC,这四种升温曲线如图8所示。将这四种升温曲线加入到型钢混凝土组合梁的温度场模拟中,得到混凝土和钢筋的温度如图9图10所示。从图中可以看出混凝土升温曲线在100℃~200℃之间有一点曲折,这是由于混凝土含水率所导致的,水分在100℃开始蒸发,吸收大量热,所以在100℃~200℃之间温度变化缓慢,200℃之后迅速升温。由图9图10可知,混凝土和钢筋在不同升温曲线下的温度变化趋势同其对应的四种升温曲线温度变化趋势基本上是一致的,同一结点,HCM升温条件下钢筋和混凝土结点温度最高,然后依次是HC、ISO-834、ASTM。ISO-834和ASTM两种升温曲线下,二者的混凝土和钢筋温度曲线呈现重合趋势,比较接近,区别较小。图9中HC曲线、HCM曲线结点S3在120 min时的温度为677℃、777℃,相比于ISO-834,升温曲线在120 min时结点S3温度提升了33.5%和16.3%。图10中HC曲线、HCM曲线结点B3在120 min时的温度为801℃、949℃,相比于ISO-834,升温曲线在120 min时结点B3温度提升了33.6%和12.8%。可以看出不同升温曲线对型钢混凝土梁的截面温度场有很大程度的影响。

Figure 10. Effects of different heating curves on the temperature of steel bars

10. 不同升温曲线对钢筋温度的影响

4.4. 受火方式对混凝土及钢筋温度场的影响

因火灾实际情况无法预测,构件受火面数也不能确定,故以ISO-834为升温条件对不同受火面数的梁进行模拟,以分析受火方式对温度场的影响。由图11可知,单面受火时测点升温速度较慢,混凝土最终温度整体低于三面受火时的温度。在三种受火方式下,热量均由受火面向构件内部传递。截面表层区域温度梯度较大,且温度梯度不断减小。即距离受火面越近的位置温度越高,距离越远则温度越低。随着受火时间的增长,受火面数对截面温度的影响越大。分析可以发现,在与受火面平行方向,越靠近截面宽度中心,节点的升温速度越快;在与受火面垂直方向,越靠近受火面,温度梯度变化越为显著,升温速度更快。

Figure 11. Effects of different fire exposure surfaces on concrete temperature rise

11. 不同受火面对混凝土升温的影响

Figure 12. Effects of different fire-exposed surfaces on steel bar temperature rise

12. 不同受火面对钢筋升温的影响

通过对温度场模拟结果图13的分析可以得出,构件受火面的分布状态基本对称,截面温度场也呈现出显著的对称特性。无论是在单面受火还是三面受火情况下,截面温度均表现为单轴对称分布,同时随着受火面数的增加,型钢混凝土梁截面温度场的高温区域越来越大,低温区域越来越小。

同时分析图11图12中各结点升温曲线可以看出,曲线初始阶段都出现了一个平台,也可以说是滞后现象,这是因为在初始阶段,构件从受火面由外向内进行热传递,但由于混凝土的导热性能较差,外部热量要经过一定时间的传导才能到达内部各点,因此不同结点处初始平台阶段的持续时间存在明显差异,反映出结点与受火面之间的距离对热传导过程具有显著影响。具体而言,结点距离受火面越近,热量传递所需时间越少,其平台阶段持续时长也相对较短;而距离受火面较远的结点,由于热传导路径较长,所需时间增加,因此平台阶段的持续时间也相应更长。

Figure 13. Temperature field cloud diagram of concrete section on different fire surfaces

13. 不同受火面混凝土截面温度场云图

5. 结论

本文通过ABAQUS有限元软件建立数值模型,系统分析了工字钢、保护层厚度、升温曲线、受火方式对型钢混凝土梁截面温度场的影响。研究结果表明:

1) 工字钢对构件截面温度场的分布与演变具有显著影响,其影响程度随受火时间呈先增大后减小的趋势,并于72 min时达到峰值。此外,型钢混凝土截面中型钢翼缘中心处节点S4与截面形心处节点S3之间的温差,明显小于素混凝土相同位置处的温差。

2) 混凝土保护层厚度的增加能够降低钢筋温度,对钢筋起到有效的保护作用。其中,对比混凝土保护层厚度分别为30 mm、40 mm的升温曲线发现:当混凝土保护层增加10 mm后,相同受火试件的钢筋降低100℃以上。

3) 将这四种升温曲线加入到型钢混凝土组合梁的温度场模拟中,结果表明:HCM升温条件下钢筋和混凝土结点温度最高,然后依次是HC、ISO-834、ASTM曲线,曲线120 min时的温度相比于ISO-834升温曲线在120 min时的温度提升了33.5%和16.3%。

4) 在三种受火方式下,热量始终由受火面向构件内部传递。截面表层温度梯度较大,温度梯度也随之减小。表现为距受火面越近,其温度值越高;而距离越远,温度相对较低。无论是在单面受火还是三面受火条件下,混凝土截面温度分布均呈现出单轴对称的特征。随着受火面数量的增多,型钢混凝土梁截面中的高温区域范围不断扩大,同时低温区域相应收缩。

参考文献

[1] 郑永乾, 韩林海, 经建生. 火灾下型钢混凝土梁力学性能的研究[J]. 工程力学, 2008, 25(9): 118-125+148.
[2] 陈玲, 陈伟, 吕惠娟, 等. 局部火灾下混凝土组合梁温度实验及模拟[J]. 天津理工大学学报, 2007, 23(4): 15-17+42.
[3] 蒋翔, 童根树, 张磊. 耐火钢-混凝土简支组合梁抗火性能[J]. 哈尔滨工业大学学报, 2017, 49(12): 68-74.
[4] 高轩, 黄文欢, 朱皓明. 冷弯薄壁槽钢-混凝土组合梁抗火性能参数分析[J]. 建筑结构学报, 2012, 33(5): 133-140.
[5] European Committee for Standardization (1994) ENV 1994-1-2, Eurocode 4, Design of Composite and Concrete Structures. Part 1-2: Structural Fire Design.
[6] European Committee for Standardization (1993) ENV 1993-1-2, Eurocode 3, Design of Steel Structures. Part 1-2: Structural Fire Design.
[7] 李引擎, 马道贞, 徐坚. 建筑结构防火设计计算和构造处理[M]. 北京: 中国建筑工业出版社, 1991.
[8] Lie, T.T. and Kodur, V.K.R. (1996) Fire Resistance of Steel Columns Filled with Bar-Reinforced Concrete. Journal of Structural Engineering, 122, 30-36. [Google Scholar] [CrossRef
[9] 韩建. 预应力型钢混凝土梁火灾后的力学性能试验研究[D]: [硕士学位论文]. 济南: 山东建筑大学, 2011.
[10] 杨清文, 徐玉野, 郑涌林, 罗漪. 含钢率对混凝土截面温度场分布的影响[J]. 华侨大学学报: 自然科学版, 2012, 33(1): 89-93.
[11] ASTM Internation (2005) Standard Test Methods for Fire Tests of Building Construction and Mateials: ASTM E119-20.