泰安浅层土壤湿度与降水和气温的季节关联分析
Shallow Soil Moisture in Tai’an: Seasonal Correlations with Precipitation and Temperature
DOI: 10.12677/wjf.2025.144067, PDF, HTML, XML,   
作者: 邹 潇, 朱 霞, 陈洪儒:泰安农业气象试验站,山东 泰安
关键词: 土壤湿度气温降水相关性Soil Moisture Temperature Precipitation Correlation
摘要: 本研究基于2015~2024年泰安市国家应用气象观测站的土壤相对湿度数据及国家基本气象站的气温和降水观测数据,采用Pearson相关系数和偏相关分析方法,探讨了不同季节条件下浅层土壤湿度与降水、气温的相关关系及其变化特征。结果表明:气温和降水呈夏季高、冬季低的典型季风气候特征。土壤湿度空间分异显著,泰安站和新泰站秋季达峰值,宁阳站和东平站冬季达峰值,肥城站春季到冬季呈持续上升趋势。夏季降水是土壤水分最有效、最稳定的补给来源,所有区域均呈显著正相关;春秋两季的降水补给作用则存在区域差异。气温是土壤水分的主要消耗因子,春季和夏季多呈反向变化,冬季低温通常对应高土壤湿度。夏秋季气温的负效应常被降水掩盖,但控制降水后,气温的独立负向影响更为显著。总体来看,降水与土壤湿度主要呈正相关,气温与土壤湿度主要呈负相关。
Abstract: Based on soil relative humidity data from the Tai’an National Application Meteorology Observation Station and temperature and precipitation data from the national basic meteorological stations during 2015~2024, this study employed Pearson correlation analysis and partial correlation analysis to investigate the correlations and variation characteristics between shallow soil moisture and precipitation/temperature under different seasonal conditions. The results showed that temperature and precipitation exhibited typical monsoon climate characteristics, being higher in summer and lower in winter. Soil moisture demonstrated significant spatial heterogeneity: it peaked in autumn at the Tai’an and Xintai stations, peaked in winter at the Ningyang and Dongping stations, and showed a continuous increasing trend from spring to winter at the Feicheng station. Summer precipitation was the most effective and stable source of soil moisture recharge, showing a significant positive correlation in all regions; the recharge effect of precipitation in spring and autumn, however, exhibited regional differences. Temperature was a primary consumption factor for soil moisture, generally showing an inverse relationship in spring and summer. Low winter temperatures typically corresponded to high soil moisture. The negative effect of temperature in summer and autumn was often masked by precipitation, but after controlling for precipitation, the independent negative influence of temperature became more significant. Overall, precipitation was predominantly positively correlated with soil moisture, while temperature was predominantly negatively correlated.
文章引用:邹潇, 朱霞, 陈洪儒. 泰安浅层土壤湿度与降水和气温的季节关联分析[J]. 林业世界, 2025, 14(4): 565-572. https://doi.org/10.12677/wjf.2025.144067

1. 引言

土壤湿度作为表征土壤水分含量的关键参数[1] [2],不仅是评估陆地干旱状况的核心指标,更是连接陆地与大气系统能量交换和水循环的重要纽带[3]-[5]。作为生态环境的重要组成部分,其变化影响植被生长[6] [7]、农业生产以及气候变化[8] [9],在生态系统、农田灌溉、气候变化中具有重要作用[10] [11]。研究表明,气候和季节变化会影响土壤湿度[12] [13],这使得相关研究十分必要。目前,关于土壤湿度的时空模式以及其对气候变化的响应已有较多研究,重点关注其与温度、降水及光照等因素的相互作用[14]。马柱国等人研究表明,中国东部区域土壤湿度与气温呈负相关、与降水量呈正相关[15]。姜丽霞等人表明松嫩平原表层土壤呈现干旱化趋势,主要受气温和降水变化的共同影响[14]。庄慧敏进一步揭示了我国南北方土壤湿度变化驱动机制的差异,北方地区由降水主导,南方地区由蒸散发主导[16]。诸多研究表明,其中气温和降水的影响尤为显著,降水也是土壤湿度最主要的输入来源[17]-[19]

本文基于2015~2024年泰安市国家应用气象观测站的土壤相对湿度观测数据以及国家基本气象站的气温和降水观测数据,通过季节划分将数据按春、夏、秋、冬四个季节进行分类处理。利用Person相关系数以及偏相关分析方法,重点探讨了泰安市不同季节条件下浅层土壤湿度与降水、气温之间的相关关系及其变化特征。这一研究为深入理解区域土壤水分动态变化规律及其气候响应机制提供了科学依据。

2. 研究区概况及数据来源

2.1. 研究区概况

本研究区聚焦于山东省泰安市。该市地处鲁中地区(地理位置:东经116˚20'至117˚59',北纬35˚38'至36˚28'),属典型的温带大陆性半湿润季风气候区。区域内四季分明,光照充足,热量资源丰富,降水主要集中在夏季,雨热同季特征显著[20]。地形格局呈现出自东北向西南倾斜的趋势,地貌类型多样,涵盖山地、丘陵、平原、洼地及湖泊等多种形态[21]。作为山东省重要的农业生产核心区,土壤水分状况及其动态变化是影响当地农作物生长发育的关键因素,对保障区域农业系统的可持续性至关重要。

2.2. 数据来源与预处理

本研究数据利用2015~2024年泰安市国家应用气象观测站的土壤相对湿度观测数据以及国家基本气象站的气温和降水观测数据。主要选用20 cm土壤相对湿度数据,是小麦玉米等作物根系的主要活动层[22]。将土壤湿度、气温和降水数据进行季节划分,进行土壤湿度与气温和降水的相关性分析。在下文中,如无特殊说明,土壤湿度均指20 cm土壤相对湿度。

3. 研究方法

3.1. Pearson相关系数

为量化土壤湿度与气温、降水的相关性,采用Pearson积矩相关系数(r)进行分析。其计算基于成对标准化协方差,对土壤湿度与气温和降水的相关性进行定量分析,评估其线性相关程度。

r xy = i=1 n ( x i x ¯ )( y i y ¯ ) ( x i x ¯ ) 2 ( y i y ¯ ) 2 (1)

3.2. 偏相关

为辨析降水和气温对土壤湿度的独立作用,本研究采用偏相关分析(Partial Correlation)量化变量间的关联性。分析降水与土壤湿度关系时,控制气温影响;分析气温与土壤湿度关系时,控制降水影响。

r xyz = r xy r xz r yz ( 1 r xz 2 )( 1 r yz 2 ) (2)

4. 结果与分析

4.1. 降水与土壤湿度的季节变化特征

本研究将2015~2024年降水数据和土壤湿度数据进行了季节划分,并通过时空对比分析发现(见图1):泰安市各县市的降水季节变化差异不大,一致性强,均在夏季达到最高值,冬季为最低值,全市降水季节分配差异不显著。与降水不同,土壤湿度呈现明显的区域分异。泰安市区、新泰市土壤湿度峰值出现在秋季,而宁阳、东平和肥城峰值滞后至冬季,特别是宁阳和东平的最低值出现在夏季。肥城土壤湿度从春季到冬季呈持续上升趋势,泰安和新泰从春季到秋季逐渐上升,但到冬季有所回落。

4.2. 气温与土壤湿度的季节变化特征

在明确降水与土壤湿度季节关联的基础上,进一步整合气温数据进行对比分析(见图2),揭示水热耦合关系的区域特征。与降水类似,泰安市各县市气温均呈现高度一致的季节变化模式,表现为典型的单峰曲线。夏季为高温峰值期,冬季为低温谷值期,春秋季为过渡期。泰安和肥城的土壤湿度与气温在春季和夏季有明显的反向变化,即气温较高时土壤湿度呈低水平。特别是肥城,从夏季到冬季气温持续下降的同时,土壤湿度持续上升。冬季这种现象更为明显,气温为最低值时,土壤湿度呈高水平。从变化趋势上看,春季到夏季土壤湿度与气温的变化一致性较高,夏季到冬季呈现较为明显的反向变化。整体上,气温与土壤湿度在不同区域和不同季节存在明显差异性。

Figure 1. Seasonal variations in precipitation and soil moisture at different stations in Tai’an (2015~2024)

1. 泰安各站点降水与土壤湿度的季节变化(2015~2024)

Figure 2. Seasonal variations in temperature and soil moisture at different stations in Tai’an (2015~2024)

2. 泰安各站点气温与土壤湿度的季节变化(2015~2024)

4.3. 气温和降水与土壤湿度的季节相关性

在明确土壤湿度与气温和降水的季节变化后,本节进行气温和降水与土壤湿度的季节相关性分析。基于2015~2024年观测数据,按气候学季节(春:3~5月;夏:6~8月;秋:9~11月;冬:12~次年2月)划分数据集。首先利用双变量Pearson相关分析:初步识别土壤湿度与气温/降水的线性关联强度,然后利用偏相关分析(控制降水或气温的协变量干扰),揭示单一因子的独立贡献。

4.3.1. 降水与土壤湿度的季节相关性

首先进行降水与土壤湿度的季节相关性分析(见图3)。结果显示,除宁阳外,所有站点夏季降水与土壤湿度呈显著正相关,这一结果印证了雨季降水对土壤水分补给具有直接且重要的贡献,反映出典型季风气候区水分输入的积极响应机制。春季,不同站点表现出明显差异:泰安和新泰两地降水与土壤湿度呈负相关关系,其余站点则呈正相关;进一步控制气温变量后,肥城的正相关性显著增强并通过显著性检验;相反,新泰在控制气温影响后,原有的显著负相关明显减弱且不再显著。秋季所有站点均呈现正相关,但除泰安和肥城达到显著水平外,其余站点相关性较弱,未通过显著性检验。冬季,大部分站点显示降水与土壤湿度呈正相关,但由于该时期降水总量偏少、气温偏低导致的土壤冻结或低温抑制蒸发等作用,所有站点均未通过显著性检验。

Figure 3. Seasonal correlation between precipitation and soil moisture at various stations in Tai’an (*p < 0.05)

3. 泰安各站点降水与土壤湿度的季节相关性(*p < 0.05)

4.3.2. 气温与土壤湿度的季节相关性

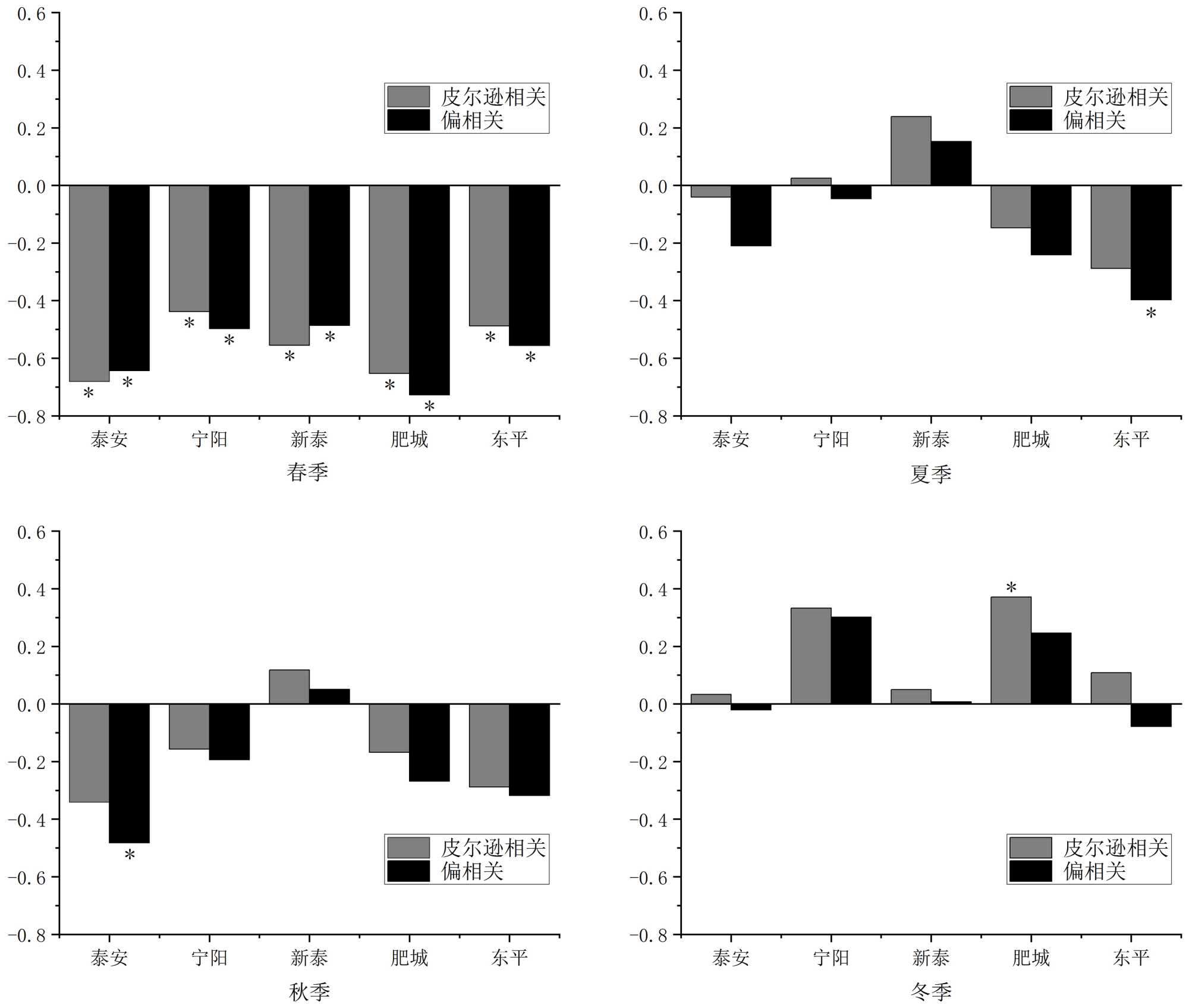
本小节分析了气温与土壤湿度的季节相关性(见图4)。结果显示,所有区域春季气温与土壤湿度呈显著负相关。在其他季节只在个别站点通过显著性检验。夏季,大部分站点气温与土壤湿度呈负相关,但仅个别站点通过显著性检验;东平在控制降水影响的情况下,气温与土壤湿度的负相关性显著增强并通过显著性检验。秋季除新泰外气温与土壤湿度主要呈负相关;泰安在控制降水影响的情况下,负相关性显著增强并通过显著性检验。冬季宁阳和肥城两站气温与土壤湿度主要呈正相关,肥城在控制降水影响的情况下,肥城站由正相关转为不显著的负相关。总体来看,气温对土壤湿度的影响呈现显著的季节性和区域性差异,除温度的直接效应外,降水和局地环境因子也在其中扮演重要调节角色。

Figure 4. Seasonal correlation between temperature and soil moisture at various stations in Tai’an (*p < 0.05)

4. 泰安各站点气温与土壤湿度的季节相关性(*p < 0.05)

5. 结论与讨论

本研究首先明确了土壤湿度与气温和降水的季节变化后,进行气温和降水与土壤湿度的季节相关性分析。结果表明,降水与气温均呈现高度一致的季节模式,夏季高而冬季低,但土壤湿度表现出明显的空间异质性:泰安市区和新泰市土壤湿度峰值出现在秋季;宁阳和东平滞后至冬季;肥城则呈持续上升趋势。空间异质性的存在可能与城市下垫面、农业活动以及局部地形等有关,且降水和气温对土壤湿度的影响均存在滞后性。气温与土壤湿度在春季和夏季多呈反向变化,尤其冬季低温往往对应高土壤湿度。

夏季降水是土壤水分最有效、最稳定的补给来源,所有区域均表现出显著正相关。春秋两季降水对土壤水分的补给作用存在明显的区域差异。气温是土壤水分的主要消耗因子,在夏、秋季,气温的负效应依然存在,但其显著性往往被降水事件所掩盖或减弱;通过控制降水分析,可以得到更强的气温独立的负向影响。综合来说,降水与土壤湿度主要为正相关,气温与土壤湿度主要为负相关。本研究的局限性在于主要聚焦于气温和降水两个气象因子,土壤相对湿度受多方面因素的共同作用,未考虑太阳辐射、植被覆盖、土地利用方式等的影响,在未来的工作中,系统收集各站点的土壤、地形和详细土地利用数据,并将其纳入模型进行综合分析,对于深刻揭示观测现象的内在机理至关重要。后续研究将在此基础上,结合更多要素,对不同土层的湿度进行更全面的机理性分析。

致 谢

感谢泰安市科技创新发展项目“土壤湿度变率及其对气温和降水的敏感性研究”(项目编号:2024NS036)提供的研究背景与数据支持。本文系该项目阶段性成果。同时,感谢审稿专家提出的宝贵意见,以及同事在论文撰写过程中给予的建设性讨论。

参考文献

[1] 高贵生, 马扶林, 王明, 等. 青海湖北岸天然草地土壤湿度变化规律及土壤干旱特征分析[J]. 青海草业, 2021, 30(3): 51-56.
[2] 王征. 陕西省土壤湿度时空变化特征及其驱动力分析[J]. 城市勘测, 2023(5): 71-76.
[3] 高琪, 彭杰, 冯春晖, 等. 基于Landsat 8数据的荒漠土壤水分遥感反演[J]. 水土保持通报, 2021, 41(1): 125-131+151.
[4] 杨洋, 林朝晖, 骆利峰. 中国区域夏季地表气温与陆面过程耦合强度的分布特征[J]. 气候与环境研究, 2022, 27(3): 333-350.
[5] Legates, D.R., Mahmood, R., Levia, D.F., DeLiberty, T.L., Quiring, S.M., Houser, C., et al. (2011) Soil Moisture: A Central and Unifying Theme in Physical Geography. Progress in Physical Geography: Earth and Environment, 35, 65-86. [Google Scholar] [CrossRef
[6] 朱中华, 王雄师, 柳金权. 干旱区中小尺度不同作物地段土壤湿度对气候变化的响应关系研究[J]. 节水灌溉, 2017(8): 6-12.
[7] 刘立文, 段永红, 赵涛. 山西省土壤湿度时空分布及气候因素的耦合[J]. 科学技术与工程, 2020, 20(11): 4250-4255.
[8] 刘川, 余晔, 解晋, 等. 多套土壤温湿度资料在青藏高原的适用性[J]. 高原气象, 2015, 34(3): 653-665.
[9] 程善俊, 管晓丹, 黄建平, 等. 利用GLDAS资料分析黄土高原半干旱区土壤湿度对气候变化的响应[J]. 干旱气象, 2013, 31(4): 641-649.
[10] 白晓英, 马筛艳, 梁奇琛, 等. 咸阳30年土壤湿度变化特征及影响因子分析[J]. 陕西气象, 2024(2): 50-53.
[11] 李勤, 张强, 黄庆忠, 等. 中国气象农业非参数化综合干旱监测及其适用性[J]. 地理学报, 2018, 73(1): 67-80.
[12] 李博, 张淼, 唐世浩, 等. 基于组网观测的那曲土壤湿度不同时间尺度的变化特征[J]. 气象学报, 2018, 76(6): 1040-1052.
[13] 李若麟, 保鸿燕, 李课臣, 等. 全球土壤湿度的记忆性及其气候效应[J]. 冰川冻土, 2016, 38(6): 1470-1481.
[14] 姜丽霞, 李帅, 纪仰慧, 等. 1980-2005年松嫩平原土壤湿度对气候变化的响应[J]. 应用生态学报, 2009, 20(1): 91-97.
[15] 马柱国, 魏和林, 符淙斌. 中国东部区域土壤湿度的变化及其与气候变率的关系[J]. 气象学报, 2000, 58(3): 278-287.
[16] 庄慧敏, 张朝, 程飞, 等. 1992-2018年中国旱作农田土壤湿度的时空模式及气象驱动因素[J]. 地理学报, 2022, 77(9): 2308-2321.
[17] 符淙斌, 董文杰, 温刚, 等. 全球变化的区域响应和适应[J]. 气象学报, 2003(2): 245-250.
[18] 孙凤华, 杨素英, 陈鹏狮. 东北地区44年的气候暖干化趋势分析及可能影响[J]. 生态学杂志, 2005(7): 751-755+762.
[19] Koster, R.D., Dirmeyer, P.A., Guo, Z., Bonan, G., Chan, E., Cox, P., et al. (2004) Regions of Strong Coupling between Soil Moisture and Precipitation. Science, 305, 1138-1140. [Google Scholar] [CrossRef] [PubMed]
[20] 梁强, 李传荣, 张锋, 等. 泰安市不同绿地土壤微生物群落结构分析[J]. 山东农业科学, 2017, 49(2): 99-104.
[21] 林泽民. 基于RS和GIS的泰安市土壤侵蚀空间分布格局及防治对策研究[D]: [硕士学位论文]. 济南: 山东师范大学, 2015.
[22] 杜俊杉, 马英, 胡晓农, 等. 基于双稳定同位素和MixSIAR模型的冬小麦根系吸水来源研究[J]. 生态学报, 2018, 38(18): 6611-6622.