分数阶广义扩散模型在市场营销中的应用
The Application of Fractional-Order Generalized Diffusion Model in Marketing
摘要: 本文提出了一种基于分数阶微积分的广义扩散模型(GDM-R),用于描述包含重复购买行为的市场扩散过程,该模型扩展了传统Bass模型,通过引入Caputo分数阶导数和记忆积分项,更准确地刻画消费者决策的历史依赖性和复购动态。我们详细推导了模型的数学形式,设计了高效的数值求解算法,并验证了模型的有效性。最后,提出了针对性的营销策略优化建议。
Abstract: This paper presents a generalized diffusion model (GDM-R) based on fractional calculus, which is used to describe the market diffusion process involving repeat purchasing behavior. This model extends the traditional Bass model by introducing Caputo fractional derivatives and memory integral terms, thereby more accurately depicting the historical dependence of consumer decisions and the dynamics of repeat purchases. We have derived the mathematical form of the model in detail, designed an efficient numerical solution algorithm, and verified the model’s effectiveness. Finally, specific marketing strategy optimization suggestions are proposed.
文章引用:尹德启. 分数阶广义扩散模型在市场营销中的应用[J]. 电子商务评论, 2025, 14(10): 1678-1685. https://doi.org/10.12677/ecl.2025.14103317

1. 引言

市场营销的核心挑战之一在于预测和解释新产品或服务在市场中的扩散过程。消费者对新产品的接受并非一蹴而就,而是一个受到多种因素影响的复杂社会过程。传统的扩散模型,尤其是Bass在20世纪70年代提出的经典模型,为这一领域奠定了坚实基础。Bass模型通过引入受外部影响的创新系数p和受内部影响的模仿系数q两个关键参数,成功地描述了诸多耐用品的扩散模式[1]。该模型假设创新者受大众传媒等外部影响而早期采纳产品,而模仿者则通过口碑传播和社会学习等内部影响跟随采纳,这一理论框架为理解市场扩散提供了简洁而有力的工具。

然而,现代市场环境已发生深刻变化,传统扩散模型提出的传统营销策略面临新的挑战[2]。一方面,数字经济的蓬勃发展催生了大量以订阅制和重复购买为核心商业模式的产品和服务,如SaaS软件、流媒体服务、会员制电商等。这些产品的收入模式不再依赖于一次性购买,而是建立在长期用户关系和持续价值交付的基础上。另一方面,消费者决策过程愈发复杂,其购买行为不仅受当下信息影响,还强烈依赖于历史体验和品牌记忆。营销学研究表明,消费者的决策过程具有显著的情感记忆成分,过往的品牌体验会形成认知印记,影响未来的购买决策。

传统Bass模型建立在两个可能不再完全适用的假设基础上:首先,它假设市场仅由初次购买驱动,完全忽略了用户续费、复购等对长期收入至关重要的行为;其次,它假设消费者决策是无记忆性的马尔可夫过程,即当前决策只依赖于当前状态,而与历史行为无关[3]-[5]。这使得模型本质上是“一次性”的,无法描述现代市场中常见的用户生命周期价值(LTV)、客户留存率等关键指标。这极大地限制了其在当代市场中的解释力和预测精度,特别是在需要评估长期用户价值和复购贡献的场景中。

从市场营销理论发展的角度来看,这种局限性尤为明显。现代营销观念已经从交易导向转向关系导向,强调与客户建立长期互惠关系的重要性[6]。关系营销理论认为,维持现有客户比获取新客户更具经济性,而传统扩散模型恰恰无法量化这种关系价值。此外,客户忠诚度理论和品牌权益模型都指出,历史体验会形成品牌记忆,影响未来的购买决策,这一重要机制在传统模型中未能得到体现。

因此,开发一个能够同时捕捉初次购买、重复购买、决策记忆效应的新型市场扩散模型,不仅具有理论创新价值,更能为企业在用户生命周期管理、营销资源分配和长期战略规划上提供精准的决策支持。特别是在数据驱动的营销时代,企业迫切需要能够准确预测长期市场潜力和客户价值的工具,以优化营销投入回报率。

作为整数阶微积分的推广,分数阶微积分具有更加明确的物理意义,能够更好地体现研究对象发展变化的历史过程和记忆效应[7]。在现实生活中,许多现象是路径依赖和历史积累的。郑玉雯等人研究了新型重复购买产品的订购和定价问题,并将重复购买率和价格效应纳入Bass模型中,以刻画需求模式[8]。赵伶俐对基本Bass模型“新产品进入市场后,消费者每人只够买一个单位的该产品且只够买一次”的基本假设进行修正,研究可重复购买的扩散模型及其应用[9]。事实上,分数阶微积分这种特性使其特别适合描述具有历史依赖性的消费者行为。引入Caputo型分数阶导数 C 0 D t α F( t ) 来量化市场增长速率,其中 α( 0,1 ] 是一个关键参数,其值越小,表示历史信息对当前决策的影响越长,即用户的品牌忠诚度或决策惯性越强,这从数学上正式描述了“消费者决策具有记忆性”这一营销学基本假设。

在Bass模型的基础上,本文增加了一个记忆积分项 λ 0 t e β( tτ ) F( τ )dτ 来构建分数阶广义扩散模型。该项模拟了已采购者群体产生的重复购买流,其中 λ 控制复购强度, β 控制复购行为与产品生命周期和用户活跃度相关的衰减速率。这使得模型能同时描述初次采纳和重复购买两股驱动力量,更符合现代市场的实际情况。更重要的是,每个参数被赋予了明确的市场营销内涵,建立了从数学模型到营销策略的桥梁。例如, α 值可作为衡量用户粘性和品牌忠诚度的指标; λ 值反映了企业的客户关系管理效果;而 λ\β 的比值直接决定了最终市场饱和点的上限,为企业战略规划提供了量化依据。这种参数化的方法使得企业能够通过监测模型参数的变化来评估营销策略的效果,实现了从定性描述到定量分析的转变。

本文的研究不仅推进了市场扩散理论的发展,也为企业营销实践提供了实用的分析工具。通过将复杂的市场现象转化为可量化的数学模型,我们帮助营销人员更好地理解市场动态,优化资源配置,最终提升营销投资回报率。在数据驱动的营销时代,这种模型化、量化的分析方法将成为企业获取竞争优势的重要工具。

2. 模型构建与平衡点分析

2.1. 基本假设与符合说明

2.1.1. 基本假设

1) 市场总规模恒定(标准化为1), F( t ) 表示t时刻的累计市场份额。

2) 初次购买由创新和模仿驱动,且服从Bass模型框架。

3) 重复购买贡献随历史购买量指数衰减,衰减速率由 β 控制。

2.1.2. 符号说明

为了清晰表达建立的模型,本文引入了一些数学符号。通过符号对模型变量和参数进行简记,具体符号含义请见表1

Table 1. Symbol description

1. 符号说明

符号

具体含义

p

创新系数

q

模仿系数

α

记忆系数

λ

复购强度

β

复购衰减率

ROI

投资回报率

2.2. 分数阶广义扩散模型

Caputo分数阶导数是分数阶微积分中最常用的定义之一,将分数阶微积分引入并增加一个记忆积分项 λ 0 t e β( tτ ) F( τ )dτ 得到分数阶广义扩散模型:

C 0 D t α F( t )=( p+qF( t ) )( 1F( t ) )+λ 0 t e β( tτ ) F( τ )dτ

分数阶导数 C 0 D t α F( t ) 描述销售增长的“惯性效应”,当 α=1 时,模型退化为带复购的整数阶Bass模型。

在现代市场营销中,消费者决策过程具有明显的历史依赖性和记忆效应。传统Bass模型采用整数阶微分方程描述市场扩散,隐含地假设消费者决策是“无记忆”的——当前购买行为只受当前市场状况影响,而与过去的经验和信息接触无关。这一假设显然与实际情况存在较大偏差。

从消费者行为学角度看,人们的购买决策往往受到历史体验、品牌记忆和以往信息接触的深刻影响。这种“记忆效应”在营销研究中已被广泛证实:消费者对品牌的认知态度和购买意向会随着时间累积而形成路径依赖[10]。分数阶微积分的引入,正是为了从数学上刻画这种决策过程中的历史依赖特性。我们采用Caputo型分数阶导数来描述市场增长速率,这一选择具有明确的市场营销意义。阶数 α( 0,1 ] 成为一个关键的市场特征参数, α 值越小,表明历史信息对当前决策的影响时间越长,消费者的品牌忠诚度或决策惯性越强。例如,对于需要高度信任的服务行业(如金融服务、医疗服务), α 值往往较小,反映出消费者决策更加谨慎且受长期历史体验影响,而对于快消品等低介入度产品, α 值可能接近1,决策过程更接近传统Bass模型描述的无记忆状态。这种数学表述很好地对应了营销理论中的“品牌资产”概念即品牌在消费者心中积累的历史价值会持续影响未来的购买决策[11]。分数阶导数项实质上量化了这种历史积累效应对当前市场增长的影响强度。

模型中引入的记忆积分项 λ 0 t e β( tτ ) F( τ )dτ 专门用于刻画重复购买行为对市场扩散的贡献。这一项的设计基于两个重要的营销观察:首先,重复购买是现代商业模式的重要组成部分。订阅制服务、会员经济、定期耗材等商业模式都依赖于用户的持续购买。传统Bass模型完全忽略了这一重要收入来源,导致对市场长期潜力的系统性低估。其次,重复购买行为具有时间衰减特性。用户最近的购买体验对当前决策影响最大,随时间推移,这种影响逐渐减弱。参数 β 正控制着这种影响衰减的速率: β 值较大表明用户活跃度变化较快,复购行为更容易受近期体验影响; β 值较小则反映用户行为更加稳定,历史购买的影响更加持久。参数 λ 则代表了企业的客户关系管理能力, λ 值较高表明企业能够有效维持用户活跃度,促进重复购买; λ 值较低则提示需要在产品体验、客户服务或用户激励方面进行改进。

完整的分数阶广义扩散模型将传统Bass模型的初次购买驱动与记忆积分项的重复购买驱动有机结合,更准确地反映了现代市场的真实运作机制。模型右侧第一项 ( p+qF( t ) )( 1F( t ) ) 代表了市场扩散的“广度”——新用户的获取;第二项 λ 0 t e β( tτ ) F( τ )dτ 则代表了市场价值的“深度”——现有用户的持续价值挖掘。这种建模方式使得企业能够同时关注用户获取和用户留存两个维度,符合现代营销管理中“客户生命周期价值最大化”的理念。通过调节模型中的各个参数,营销人员可以模拟不同策略组合下的市场响应,为资源分配决策提供量化依据。特别地,当 α=1 时,模型退化为带复购的整数阶Bass模型,这为传统模型提供了一个自然的扩展框架。企业可以根据自身行业特性和产品特点,通过参数估计来确定最适合的模型形式,避免了模型选择的主观性。

这种建模方法将营销理论中的定性概念(如品牌忠诚度、客户关系强度、用户活跃度等)转化为可量化的参数,为数据驱动的营销决策提供了坚实基础。通过对这些参数的持续监测和分析,企业可以及时发现市场动态变化,调整营销策略,实现可持续增长。

3. 数值求解与分析

3.1. 离散格式的推导

在市场营销实践中,模型的数值求解过程与企业持续的市场监测和数据分析流程高度吻合。采用Grunwald-Letnikov近似法处理分数阶导数,本质上是对消费者历史行为数据进行加权处理,这与现代客户数据分析中的“衰减加权”理念一致即越近期的行为数据对当前决策影响越大。这种数据处理方式反映了消费者记忆中近期体验比远期体验更具影响力的心理学原理。

记忆积分项的离散化处理采用梯形积分法,这一过程模拟了企业实际经营中对用户复购行为的跟踪记录:企业通常以固定时间间隔(如每月、每季度)统计复购数据,而非连续监测。首先对时间进行离散,设时间步长为 h ,离散时间点: t k =kh,k=0,1,2,,N F( t k ) 的近似值为 F k ,时间步长 h 对应着企业数据收集的频率, h 值越小意味着企业监测频率越高,对市场动态的把握越精准,Caputo型分数阶导数在 t k 时刻可采用Grunwald-Letnikov近似有[12]

C 0 D t α F( t k ) 1 h α j=0 k w j ( α ) F kj , w j ( α ) = ( 1 ) j ( α j )

注意到权重 w j 满足递推

w j =( 1 1+α j ) w j1

复购项 0 t e β( tτ ) F( τ )dτ 利用梯形求积公式

I k = 0 t e β( tτ ) F( τ )dτ h 2 i=1 k ( e β( t k t i1 ) F i1 + e β( t k t i ) F i )

可进一步整理

I k = h 2 [ e βhk F 0 +2 i=1 k1 e βh( ki ) F i + F k ]

因此,右端函数在 t k 时刻的值为: G k =[ p+q F k ][ 1 F k ]+λ I k ,于是将离散后的 C 0 D t α F( t k ) I k 代入原方程得到离散方程:

1 h α j=0 k w j ( α ) F kj =[ p+q F k ][ 1 F k ]+λ h 2 [ e βhk F 0 +2 i=1 k1 e βh( ki ) F i + F k ]

由于方程是非线性的,于是利用预测校正法求解 F( t k ) 

步骤1:用显示方法预测 F ˜ k

F ˜ k = h α ( G k1 1 h α j=1 k w j ( α ) F kj )

步骤2:利用预测的 F ˜ k 计算右端函数近似值 G ˜ k ,然后求解非线性方程

1 h α ( w 0 ( α ) F k + j=1 k w j ( α ) F kj )=[ p+q F k ][ 1 F k ]+λ I ˜ k

其中, I ˜ k 是利用预测值计算的记忆积分项。

步骤3:迭代校正直至收敛

F k ( m+1 ) = h α ( G( F k ( m ) ) 1 h α j=1 k w j ( α ) F kj ).

3.2. 结果分析

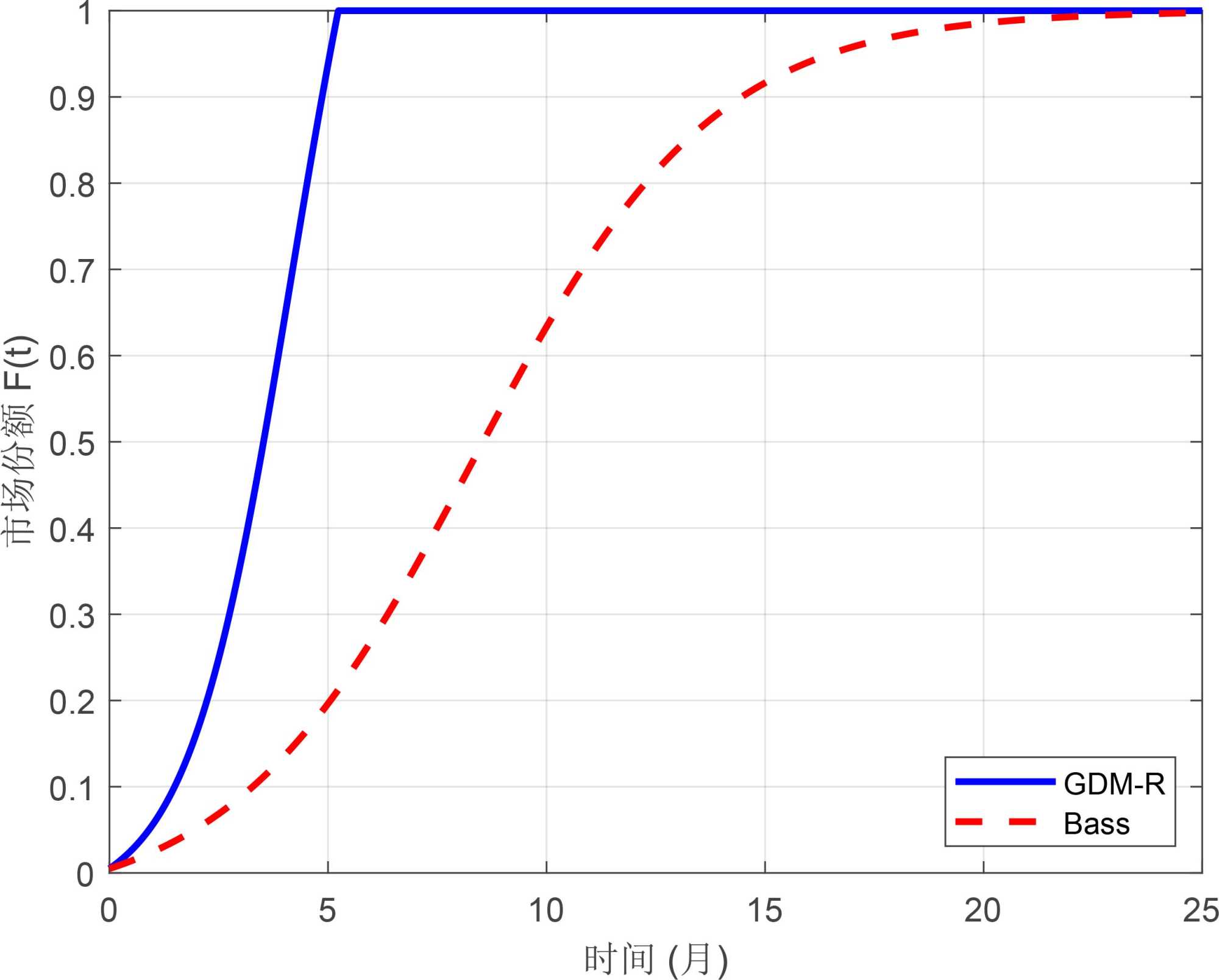
图1可以看到,GDM-R模型先于Bass模型达到市场饱和点,事实上,Bass模型基于整数阶微积分,假设市场增长是无记忆的马尔可夫过程,当前增长只依赖于当前状态,Bass模型系统性低估了最终市场饱和点,无法描述“长尾”现象,GDM-R模型基于分数阶微积分,引入记忆效应和历史依赖性,当前增长是整个历史状态的加权平均。能准确预测因重复购买而提升的市场饱和点,更好地拟合市场扩散的“长尾”阶段。GDM-R模型的长期预测精度更高。相比而言GDM-R模型能更准确地描述人类决策行为中普遍存在的历史依赖性和惯性特征。能准确预测因重复购买而提升的市场饱和点,更好地拟合市场扩散的“长尾”阶段,可以灵活适配不同行业和产品生命周期阶段。

Figure 1. Comparison of models

1. 模型对比

图1所示的模型对比结果为企业战略决策提供了重要启示。GDM-R模型较早达到市场饱和点且饱和水平更高的特性表明:忽视重复购买价值的企业会系统性低估市场潜力,可能导致过早减少市场投入,错失增长机会。Bass模型基于整数阶微积分的“无记忆”假设,相当于企业只关注新客获取而忽略老客价值,这种策略在订阅经济和会员制主导的市场环境中明显不足。GDM-R模型揭示的“长尾”现象提醒企业:市场扩散不是一次性事件,而是持续的过程,后期复购产生的价值可能远超初期销售。这一发现支持了现代营销中的“用户生命周期价值(LTV)”理念[13],即企业不应将营销预算全部投入获客,而应在用户全生命周期内合理分配资源,通过提升用户体验、建立会员体系、设计复购激励等措施最大化长期价值。

在实际操作中,企业通常会通过增加广告、提升口碑、增强留存等策略以达到提升市场份额的目的。为了方便,对于基准策略,因投资记为了0,故将投资回报率记为0,下面定义不同投资策略的投资回报率 ROI

RO I ( i ) = r K=1 M ( F strategy ( i1 ) ( t k ) F base ( t k ) ) C inv ( i ) C inv ( i )

其中 r 为单位份额月收入, M 为总时间月数, F strategy ( i1 ) ( t k ) 为第i种策略在 t k 时刻的市场份额, F base ( t k ) 为基准策略在 t k 时刻的市场份额, C inv ( i ) 为第i种策略的投资成本。

图2给出了GDM-R模型不同营销策略下的市场份额随时间的变化曲线和投资回报率。利用GDM-R模型的预测功能,可以模拟不同策略组合下未来的市场份额曲线和投入成本,选择投资回报率(ROI)最高的策略组合,量化评估不同策略组合的最终效果。

(a) (b)

Figure 2. Analysis of marking strategies

2. 市场营销策略分析

图2展示的不同营销策略仿真结果为企业提供了量化的决策依据。投资回报率(ROI)分析表明,提升口碑策略的回报最高,这一发现与碑营销的杠杆效应和牌资产积累价值理论相吻合:满意的用户会自发进行口碑传播,产生指数级的扩散效果。相比广告投放需要持续资金投入,口碑营销一旦启动便具有自生长特性,长期ROI更高。口碑积累直接提升品牌资产,而品牌资产作为无形资产具有持续价值创造能力。模型通过参数 α 量化了这种长期价值,为企业品牌建设投入提供了一定指导。

此外,将模型参数本身作为目标进行监控。例如,如果发现 α 值(忠诚度)持续上升,说明品牌建设有效,如果 λ 值(复购强度)下降,则需要立刻检查产品、服务或复购激励策略是否出现了问题。

总结而言,GDM-R模型将抽象的营销概念转化为了可测量、可模拟、可优化的数学参数,为企业在复杂的市场环境中进行精准的营销资源分配提供了科学的决策依据和强大的战略罗盘。

4. 管理启示与模型局限性

GDM-R模型的价值不仅在于市场预测,更在于战略诊断。分数阶广义扩散模型(GDM-R)通过更先进的数学工具和更贴合现实的模型假设,显著提升了对现代市场(尤其是包含订阅制和重复购买行为市场)的解释力和预测精度。更重要的是,它超越了传统的预测功能,成为一个强大的战略诊断和决策支持系统,能够将企业的营销策略与其潜在的市场结果定量地联系起来,最终推动市场营销向数据驱动的科学转变,助力企业在复杂的市场环境中实现可持续增长。

通过分析参数变化趋势,企业可以识别隐藏问题: λ 值下降可能反映产品质量、服务水平或用户体验方面的问题,早于财务指标显现;评估策略有效性:营销活动后观察 α 值变化,可量化评估品牌建设效果;指导产品迭代: β 值变化反映用户活跃度模式变化,指导产品更新节奏。此外,该模型将参数转化为可行动的营销策略,图2不同策略的投资回报率显示提升口碑这一策略的投资回报最高,这指导企业应将更多资源投入口碑营销和品牌建设,而非单纯依赖广告投放。基于数值分析结果,我们提出以下可操作的营销策略:

1) 参数监控预警系统

  • 建立 α 值(用户粘性指标)实时监测机制,当 α 值持续下降时启动用户流失预警

  • 设置 λ 值(复购强度)阈值监控,及时发现复购率下降问题

  • 定期评估 λ\β 比值变化,预测市场饱和点移动趋势

2) ROI导向的预算优化

  • 使用模型模拟不同预算分配方案下的长期ROI

  • 建立营销投入的边际效益分析框架

  • 制定基于预测结果的动态预算调整机制

3) 数据基础建设

  • 建立用户行为追踪体系,记录首次购买和重复购买数据

  • 设计营销活动标签系统,关联策略与效果数据

  • 构建统一的数据仓库,整合交易、营销、用户数据

4) 模型校准与验证

  • 使用历史数据估计初始参数值

  • 建立参数定期更新机制

5) 决策支持集成

  • 将模型输出集成到营销自动化平台

  • 建立基于模型洞察的预警和推荐系统

这种数据驱动的营销管理方法,使企业能够从依赖经验的传统营销转向基于预测和模拟的科学决策,在复杂多变的市场环境中保持竞争优势。

该模型也存在一些局限性,其一是模型假设市场总规模恒定,未考虑市场本身的扩张或收缩,该假设限制了模型在高增长新兴市场中的应用,模型将无法区分份额增长是源于竞争力提升还是市场大盘的红利。其二是模型为单产品模型,未显式考虑多产品竞争的复杂互动,这会导致无法评估竞争对手降价或推出新品对自身份额的影响。其三是参数校准需要相对丰富的历史数据,在新产品预测中存在挑战。因此,未来研究可围绕以下方向展开,第一是开发多产品竞争的扩展模型。第二是集成机器学习方法进行参数动态学习和实时预测。第三是结合成本函数,开发营销预算自动优化算法。

参考文献

[1] 王欢, 张绪美, 鲍婷婷. 中国新能源汽车市场扩散研究——基于修正的Bass模型[J]. 运筹与模糊学, 2024(1): 872-878.
[2] 陈源. 企业信息化管理在市场营销策略中的应用[J]. 科学与信息化, 2025(8): 178-180.
[3] 赵振霞. 基于改进Bass模型的网购用户扩散研究[J]. 商业经济, 2018(11): 18-20.
[4] 丁士海, 韩之俊. 基于Bass模型的品牌扩散模型研究综述[J]. 技术经济, 2009, 28(4): 123-128.
[5] 陈芳, 闫坤伐. 基于Bass模型的移动通信用户销售预测[J]. 河南城建学院学报, 2017(4): 86-92.
[6] 张闯. 交换与营销观念: 一个营销理论的整合模型[J]. 河北经贸大学学报, 2008, 29(3): 59-67.
[7] 牛金龙, 周激流. 基于分数阶图像增强的P-M模型[J]. 通信技术, 2010, 43(2): 74-76.
[8] 郑玉雯, 李婧婧, 李勃. 基于联合定价模型的重复购买产品的联合订购和定价决策分析[J]. 工程管理科技前沿, 2024(11): 1-14.
[9] 赵伶俐. 可重复购买的扩散模型及其应用研究[D]: [硕士学位论文]. 北京: 北京邮电大学, 2016.
[10] 常河山. 消费者品牌决策及决策策略的认知加工机制研究[D]: [博士学位论文]. 上海: 华东师范大学, 2008.
[11] 常志斌, 张月莉. 基于消费者视角的农产品区域品牌资产探究[J]. 四川农业科技, 2025(5): 171-176.
[12] 王怡丹, 袁晓. 高阶逼近Grunwald-Letnikov分数阶加权系数的快速算法[J]. 信息技术, 2020, 44(5): 78-82+86.
[13] 陈睿豪. 电子商务用户生命周期和终身价值的优化方法研究[J]. 电脑采购, 2023(37): 126-129.