基于MR影像学指标鉴别卵巢良恶性肿瘤列线图的构建和验证
Construction and Verification of a Nomogram for Differentiating Benign and Malignant Ovarian Tumors Based on MR Imaging Indicators
DOI: 10.12677/acm.2025.15102994, PDF, HTML, XML,    科研立项经费支持
作者: 王 曼, 罗国栋*:济宁医学院附属医院医学影像科,山东 济宁
关键词: 卵巢肿瘤半定量参数磁共振列线图良恶性鉴别Ovarian Neoplasms Semi-Quantitative Parameters Magnetic Resonance Imaging Nomogram Benign-Malignant Differentiation
摘要: 目的:探讨动态增强磁共振(DCE-MRI)动态增强时间–信号强度曲线(TIC)类型、半定量参数增强扫描后60 s强化率(SI60%)、增强扫描后200 s内达峰时间(TTP200s)及临床指标(最大径、CA125等)在鉴别卵巢良、恶性肿瘤中的价值。方法:收集2023年7月至2025年7月济宁医学院附属医院确诊的60例卵巢病变患者的临床及影像学资料(恶性25例,良性35例),按2:1随机划分为训练集(40例)和测试集(20例)。采用单因素及多因素Logistic回归分析病变良恶性与临床及影像指标的关系,并构建预测列线图模型评估诊断效能。结果:单因素分析显示CA125 (P = 0.004)、SI60% (P = 0.002)及TTP200s (P = 0.005)与病变良恶性显著相关。多因素分析进一步确认CA125 (OR = 1.12, P = 0.018)、SI60% (OR = 1.16, P = 0.036)及TTP200s (OR = 2.20, P = 0.031)为独立预测因素。基于这些变量构建的列线图模型在训练集中的AUC值为0.92,优于单一因素模型,校准曲线及决策曲线分析(DCA)均显示模型具有良好的预测性能和临床应用价值。结论:基于CA125、SI60%及TTP200s的多参数列线图模型可有效鉴别卵巢良恶性肿瘤,对术前风险评估具有一定价值。
Abstract: Objective: To investigate the value of dynamic contrast-enhanced magnetic resonance imaging (DCE-MRI) time-intensity curve (TIC) types, semi-quantitative parameters [including the enhancement rate at 60 seconds post-contrast (SI60%) and time to peak within 200 seconds (TTP200s)], and clinical indicators (such as maximum diameter and CA125) in differentiating between benign and malignant ovarian tumors. Methods: Clinical and imaging data from 60 patients with ovarian lesions (25 malignant, 35 benign) confirmed at Jining Medical University Affiliated Hospital between July 2023 and July 2025 were collected. The patients were randomly divided into a training set (40 cases) and a test set (20 cases) in a 2:1 ratio. Univariate and multivariate logistic regression analyses were used to examine the relationship between lesion malignancy and the clinical/imaging indicators. A predictive nomogram model was constructed and its diagnostic performance was evaluated. Results: Univariate analysis showed that CA125 (P = 0.004), SI60% (P = 0.002), and TTP200s (P = 0.005) were significantly associated with lesion malignancy. Multivariate analysis further confirmed CA125 (OR = 1.12, P = 0.018), SI60% (OR = 1.16, P = 0.036), and TTP200s (OR = 2.20, P = 0.031) as independent predictive factors. The nomogram model constructed based on these variables achieved an AUC of 0.92 in the training set, outperforming single-factor models. Both the calibration curve and decision curve analysis (DCA) demonstrated that the model has good predictive performance and clinical application value. Conclusion: The multiparameter nomogram model based on CA125, SI60%, and TTP200s can effectively differentiate between benign and malignant ovarian tumors and holds value for preoperative risk assessment.
文章引用:王曼, 罗国栋. 基于MR影像学指标鉴别卵巢良恶性肿瘤列线图的构建和验证[J]. 临床医学进展, 2025, 15(10): 2152-2159. https://doi.org/10.12677/acm.2025.15102994

1. 引言

卵巢肿瘤是女性生殖系统常见的肿瘤,其种类繁多,组织类型多样,影像表现复杂,恶性的肿瘤是手术的适应征。术前准确的定性能够为临床提供参考,使患者获益。超声检查是卵巢肿瘤的首选检查方式,简单经济,但对复杂肿瘤定性存在困难。MR软组织分辨率高,能够区分囊性和实性成分,但卵巢肿瘤种类繁多,影像学表现存在重叠。常规的MR序列只能显示形态学结构,对内部的生物学行为无法检测,鉴别不典型良恶性肿瘤存在一定困难[1]。DCE-MR可以进行后处理生成时间–信号曲线,通过对组织的血流灌注及血管渗透性的血流动力学改变进行半定量和定量分析。DCE-TIC曲线在定性方面有较高的特异性[2]。有研究[3]表明,恶性肿瘤半定量参数增强扫描后60 s强化率(SI60%)明显高于良性肿瘤,增强扫描后200 s内达峰时间(TTP200s)恶性肿瘤明显早于良性肿瘤。林栋等[4]认为卵巢占位影像学指标对良恶性评估有一定提示。本文收集2023年7月~2025年7月济宁医学院附属医院的卵巢肿瘤患者60例,旨在探讨影像学指标联合半定量参数SI60%及TTP200s在鉴别卵巢良恶性肿瘤中的价值。

2. 资料与方法

2.1. 一般资料

收集2023年7月~2025年7月济宁医学院附属医院的卵巢肿瘤患者60例,共病变60处,经手术病理证实良性组(n = 35)、恶性组(n = 25)。纳入标准:① 具有完整磁共振平扫及行动态增强扫描,后处理获得DCE-TIC曲线及半定量参数;② 无磁共振扫描及钆对比剂禁忌证;③ 患者经手术取得病理。排除标准:① 磁共振检查及钆对比剂注射禁忌证;② 完全囊性的肿瘤或肿瘤完全囊变;③ 磁共振图像质量难以达到诊断要求。两组一般资料见表1,结果表明,CA125、SI60、和TTP200s具有统计学差异。

Table 1. Patient baseline data

1. 患者基线资料

变量

分类项

总览(n = 60)

良性0 (n = 35)

恶性1 (n = 25)

统计量

P

曲线类型,n (%)

I

35 (58.333)

35 (100.000)

0 (0.000)

nan

nan

3 (5.000)

0 (0.000)

3 (12.000)

22 (36.666)

0 (0.000)

22 (88.000)

年龄,mean (±SD)

nan

60.456 ± 14.480

45.285 ± 13.257

56.480 ± 11.562

−1.684

0.072

最大径,median [IQR]

nan

78.000 [39.000, 112.000]

66.000 [28.000, 110.000]

72.000 [45.000, 106.000]

−0.842

0.778

CA125, median [IQR]

nan

30.370 [15.000, 85.400]

14.700 [8.400, 39.000]

88.400 [45.300, 142.200]

−4.072

<0.001

CA199, median [IQR]

nan

8.570 [4.100, 13.760]

9.800 [6.210, 12.960]

8.180 [5.010, 14.770]

−0.016

0.89

CEA癌胚抗原,median [IQR]

nan

1.670 [1.280, 2.310]

1.490 [1.130, 1.360]

1.820 [1.320, 2.820]

−0.958

0.245

SI60, mean (±SD)

nan

81.958 ± 32.880

89.557 ± 33.658

113.453 ± 22.585

−2.298

0.028

TTP200s, mean (±SD)

nan

115.023 ± 40.693

144.002 ± 55.517

83.260 ± 20.180

2.185

0.002

2.2. 方法

(1) 仪器与方法

检查设备采用Prisma3.0T磁共振,采用32通道相控阵体线圈。扫描盆腔常规序列包括脂肪饱和横断位、矢状位、冠状位:T2WI;横断位T1WI;横断位:扩散加权成像(DWI)。具体参数参见表2。使用脂肪抑制容积内插法屏气检查(voume interpolated body examination, VIBE)动态增强。利用高压注射器,经肘静脉注射对比剂钆喷酸葡胺(北京北陆药业,国药准字:H10860001),规格:15 ml,浓度:0.1 mmol/kg,速率3 mL/s。

Table 2. Magnetic resonance imaging parameters

2. 磁共振扫描参数

MRI

Prisma 3.0T

sequence

DCE-MRI

DWI

T2WI

orientation

transverse

transverse

transverse

FOV (mm × mm × mm)

290 × 340 × 150

300 × 340 × 144

280 × 330 × 150

Matrix

320 × 320

128 × 128

128 × 28

Slice Thickness

0.6

4

3

Gap

0

0

0

Nex

1

2

2

b value (s/mm2)

0, 800

Scanning Time

8 min

247 s

154 s

TR (ms)

4

10,200

5400

TE (ms)

2.2

53

60

(2) 图像后处理

采用Siemens后台工作站,Mean Curve软件包处理获得时间–信号曲线(TIC),手动放置感兴趣(region of interest, ROI),避开肿瘤囊变、出血、坏死区。参考Thomassin-Naggara等[5]的研究,TIC类型分为3种类型。缓慢上升型(I型):实性成分缓慢渐进性强化;平台型(II型):早期中等强化并持续强化;流出型(III型):实性成分早期明显强化并迅速下降。根据TIC曲线,获得半定量参数:(1) SI60% = (SIpost60s − SIpre)/SIpre × 100%,SIpost60s;増强扫描60 s病灶最大的信号强度值;SIpre为增强扫描前信号强度值。(2) 达峰时间(Time To Peak, TTP200s);增强扫描后200 s内信号强度达到高峰的时间。

2.3. 观察指标

(1) MR鉴别诊断情况:统计动态增强磁共振成像(DCE-MRI)时间–信号强度曲线(TIC)类型(I型:缓慢上升型;II型:平台型;III型:流出型)在卵巢良、恶性肿瘤组中的分布情况。

(2) MR鉴别诊断价值:将术后病理检查结果作为诊断金标准,分析评估基于TIC曲线类型、半定量参数(增强扫描后60 s强化率SI60%、增强扫描后200 s内达峰时间TTP200s)及临床指标(血清CA125水平、肿瘤最大径)构建的列线图模型在鉴别卵巢良恶性肿瘤中的诊断效能指标,包括灵敏度、特异度、准确度,并绘制受试者工作特征曲线(ROC)计算曲线下面积(AUC)。

(3) 影像学及临床参数对比:比较卵巢良、恶性肿瘤组间以下关键参数的差异:

半定量参数:SI60%、TTP200s。

临床指标:血清CA125水平、肿瘤最大径。

(4) TIC曲线特征分析:比较良性与恶性肿瘤组间TIC曲线分型(I型、II型、III型)的比例差异,重点分析III型(流出型)曲线在恶性肿瘤组中的出现频率。

2.4. 统计分析

采用SPSS 21.0软件对采集的数据进行统计分析,符合正态分布的计量资料用( x ¯ ±s )表示,肿瘤实性成分的时间–信号曲线(TIC模型;采用χ2检验,分析不同类型TIC曲线在良、恶性卵巢肿瘤之间是否存在差异。使用单因素及多因素回归分析筛选临床因素及影像学特征,在单因素Logistic回归分析中,CA125、SI60%及TTP200s与病变良恶性显著相关(P < 0.01),而年龄、最大径、CEA及TIC曲线类型未显示显著差异。多因素分析显示,CA125 (OR = 1.12, 95% CI 1.12~1.32, P = 0.018)、SI60% (OR = 1.16, 95% CI 1.11~1.26, P = 0.036)及TTP200s (OR = 2.20, 95% CI 1.35~2.61, P = 0.031)为独立预测因素,结果见表3。使用Mann-Whitney U检验,分析半定量参数在良、恶性卵巢肿瘤的差异。P < 0.05有统计学意义。根据ROC曲线分析确定半定量参数在鉴别良、恶性肿瘤的最佳阈值、敏感度、特异度。

Table 3. Univariate and multivariate regression analysis

3. 单因素及多因素回归分析

Variables

Univariate analysis

Multivariate analysis

β

S.E

Z

P

OR (95% CI)

β

S.E

Z

P

OR (95% CI)

年龄

0.03

0.05

0.62

0.443

1.35 (2.79~1.53)

最大径

0.33

0.25

3.65

0.552

2.56 (1.44~1.2)

CA199

−0.43

0.29

−0.13

0.742

3.54 (1.10~2.32)

CA125

0.42

0.13

3.40

0.004

2.32 (1.26~1.95)

0.02

0.05

1.50

0.018

1.12 (1.12~1.32)

CEA

0.18

0.27

2.71

0.257

1.23 (1.91~1.63)

曲线类型

I

1.00 (Reference)

II

−0.13

0.21

−0.16

0.674

1.83 (0.34~3.23)

III

−0.25

0.42

−0.56

0.475

2.81 (0.34~2.45)

SI60

−0.23

0.87

−0.92

0.002

3.23 (1.34~3.75)

0.05

0.04

1.20

0.036

1.16 (1.11~1.26)

TTP200s

0.10

0.21

2.10

0.005

2.87 (1.23~1.24)

0.08

0.01

3.10

0.031

2.20 (1.35~2.61)

OR: Odds Ratio, CI: Confidence Interval.

3. 结果

3.1. 病理结果

本组收集病变共60例,其中恶性肿瘤25例,其中卵巢癌17例,颗粒层细胞瘤3例,子宫内膜样腺癌5例。良性肿瘤35例,其中卵泡膜纤维瘤4例,腺纤维瘤1例,卵泡膜细胞瘤5例,畸胎瘤12例,囊腺瘤13例。

3.2. 临床数据及影像分析

在2023年7月~2025年7月,共纳入60名患者用于训练集、验证集。其中,训练集有40名患者,测试集有20名患者。表1显示了病变良恶性与患者临床信息和影像资料之间的关系。良恶性与CA125水平(P < 0.001)、SI (P = 0.028)、TTP200s (P = 0.02)显著相关。

3.3. 模型构建及效能评估

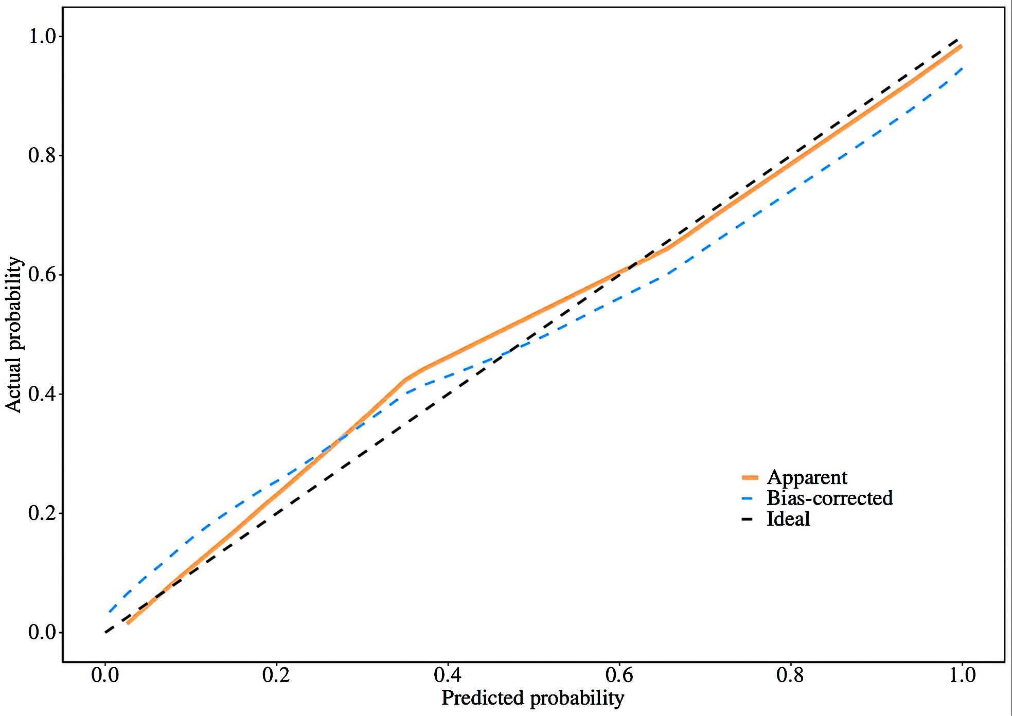
通过统计学检验,选择具有统计学价值的CA125水平(P < 0.001)、SI (P = 0.028)、TTP200s (P = 0.02)进行构建模型,首先构建三个指标的单一模型,然后通过列线图构建模型(图1),结果表明列线图模型AUC值为0.92,高于单一因素构建模型(图2)。同时校准曲线显示,列线图一致性良好(图3),DCA曲线显示列线图在一定水平可以取得较高净收益(图4)。

Figure 1. Column line chart

1. 列线图

Figure 2. Receiver Operating Characteristic curve

2. ROC曲线

Figure 3. Calibration curve

3. 校准曲线

Figure 4. DCA curve

4. DCA曲线

4. 讨论

本研究探讨了DCE-MRI动态增强时间–信号强度曲线(TIC)类型、半定量参数(SI60%、TTP200s)及肿瘤影像学指标在卵巢良恶性肿瘤鉴别中的价值。在单因素Logistic回归分析中,CA125、SI60%及TTP200s与病变良恶性显著相关(P < 0.01),而年龄、最大径、CEA及TIC曲线类型未显示显著差异。多因素分析显示,CA125 (OR = 1.12, 95% CI 1.12~1.32, P = 0.018)、SI60% (OR = 1.16, 95% CI 1.11~1.26, P = 0.036)及TTP200s (OR = 2.20, 95% CI 1.35~2.61, P = 0.031)为独立预测因素,提示这些指标在卵巢肿瘤定性诊断中具有重要价值。基于这些变量构建的列线图模型在训练集中的AUC值为0.92,校准曲线与DCA曲线均表明模型具有良好的预测准确性和临床应用潜力。

4.1. CA125水平

CA125 (癌抗原125)是一种糖蛋白,在卵巢上皮性癌尤其是浆液性卵巢癌患者血清中水平升高,是目前临床上用于卵巢癌筛查和监测的常用肿瘤标志物[6]。恶性卵巢肿瘤细胞可分泌CA125,导致其血清水平升高,而大多数良性卵巢肿瘤或其他非恶性病变(如子宫内膜异位症)中CA125水平通常较低[6]。因此,CA125在术前评估卵巢肿瘤的恶性风险方面具有重要价值,但由于其特异性有限,需结合影像学检查提高诊断准确性[7]

4.2. SI (Signal Intensity,信号强度)

SI指动态对比增强磁共振(DCE-MRI)扫描过程中病变区域信号强度的变化。增强扫描后60 s强化率(SI60%)反映了病变组织对造影剂的摄取程度,与病变的血供及血管通透性密切相关[8]。研究表明,恶性卵巢肿瘤因血管生成活跃、微血管密度增加,使得造影剂快速进入肿瘤组织,导致SI60%显著高于良性卵巢肿瘤[9]。而良性卵巢肿瘤通常血供较少,造影剂弥散缓慢,强化程度较低,因此SI60%较低。

4.3. TTP200s (Time to Peak within 200 s,达峰时间)

TTP200s指在增强扫描后200 s内病变信号强度达到最大值的时间,该指标反映了病变组织的血流动力学特征[10]。恶性卵巢肿瘤由于具有丰富的新生血管网络,造影剂进入肿瘤组织迅速且排出较快,因此其TTP200s较短。相比之下,良性卵巢肿瘤的血流供应相对较少,血管通透性较低,造影剂进入和弥散的速度较慢,因此TTP200s较长[11]

列线图模型的构建进一步验证了多参数联合分析的优势。本研究列线图模型的AUC值达到0.92,显著高于单一因素模型,显示出较强的诊断效能。校准曲线和DCA曲线分析表明,该模型在不同概率阈值下均能保持较高的预测准确性和临床收益,说明其在临床实践中具有较高的应用价值。

尽管本研究取得了较好的结果,但仍存在一定局限性。首先,本研究为单中心回顾性研究,样本量相对较小,可能影响模型的泛化能力。其次,本研究仅采用半定量参数进行分析,未纳入定量参数(如Ktrans、Ve等)进行深入探讨,未来研究可结合定量分析进一步优化模型。此外,人工放置ROI可能存在一定的主观性误差,后续研究可尝试基于人工智能或放射组学方法,提高影像分析的客观性和准确性。

综上所述,DCE-MRI的半定量参数SI60%、TTP200s及CA125在鉴别卵巢良恶性肿瘤中具有重要价值。基于多参数构建的列线图模型表现出优异的预测能力,有望成为术前卵巢肿瘤良恶性评估的有效工具,为临床诊断和治疗决策提供有力支持。

声 明

本研究获得济宁医学院附属医院伦理委员会批准(审批号:2025-08-C023)。

基金项目

济宁市重点研发计划项目(2023YXNS093)。

NOTES

*通讯作者。

参考文献

[1] 马永刚, 张晖, 黄斌, 等. 磁共振动态增强联合扩散加权成像在卵巢肿瘤临床诊断及复发评估中的应用价值[J]. 临床和实验医学杂志, 2022, 21(5): 545-549.
[2] 陈建春, 易凤连, 邱永友, 等. 磁共振DCE-TIC曲线联合DWI-ADC值对非囊性卵巢肿瘤良恶性的鉴别诊断价值[J]. 影像研究与医学应用, 2023, 7(8): 31-33.
[3] Li, X., Hu, J., Zhu, L., Sun, X., Sheng, H., Zhai, N., et al. (2015) The Clinical Value of Dynamic Contrast-Enhanced MRI in Differential Diagnosis of Malignant and Benign Ovarian Lesions. Tumor Biology, 36, 5515-5522. [Google Scholar] [CrossRef] [PubMed]
[4] 林栋, 黄家杰, 吴尚文, 等. IVIM-DWI参数对卵巢良/恶性肿瘤的诊断效能及与肿瘤标志物、临床病理因素相关性分析[J]. 影像科学与光化学, 2021, 39(3): 407-411.
[5] Moore, R.G., McMeekin, D.S., Brown, A.K., DiSilvestro, P., Miller, M.C., Allard, W.J., et al. (2009) A Novel Multiple Marker Bioassay Utilizing HE4 and CA125 for the Prediction of Ovarian Cancer in Patients with a Pelvic Mass. Gynecologic Oncology, 112, 40-46. [Google Scholar] [CrossRef] [PubMed]
[6] Bast, R.C., Hennessy, B. and Mills, G.B. (2009) The Biology of Ovarian Cancer: New Opportunities for Translation. Nature Reviews Cancer, 9, 415-428. [Google Scholar] [CrossRef] [PubMed]
[7] Menon, U., Gentry-Maharaj, A., Burnell, M., Singh, N., Ryan, A., Karpinskyj, C., et al. (2021) Ovarian Cancer Population Screening and Mortality after Long-Term Follow-Up in the UK Collaborative Trial of Ovarian Cancer Screening (UKCTOCS): A Randomised Controlled Trial. The Lancet, 397, 2182-2193. [Google Scholar] [CrossRef] [PubMed]
[8] Thomassin‐Naggara, I., Daraï, E., Cuenod, C.A., Rouzier, R., Callard, P. and Bazot, M. (2008) Dynamic Contrast‐enhanced Magnetic Resonance Imaging: A Useful Tool for Characterizing Ovarian Epithelial Tumors. Journal of Magnetic Resonance Imaging, 28, 111-120. [Google Scholar] [CrossRef] [PubMed]
[9] Otani, S., Kido, A., Himoto, Y., Sakata, A., Otani, T., Kuwahara, R., et al. (2022) Diagnostic Value of DCE-MRI for Differentiating Malignant Adnexal Masses Compared with Contrast-Enhanced-T1WI. Magnetic Resonance in Medical Sciences, 21, 599-607. [Google Scholar] [CrossRef] [PubMed]
[10] Thomassin-Naggara, I., Daraï, E., Cuenod, C.A., Fournier, L., Toussaint, I., Marsault, C., et al. (2009) Contribution of Diffusion-Weighted MR Imaging for Predicting Benignity of Complex Adnexal Masses. European Radiology, 19, 1544-1552. [Google Scholar] [CrossRef] [PubMed]
[11] Thomassin‐Naggara, I., Soualhi, N., Balvay, D., Darai, E. and Cuenod, C. (2017) Quantifying Tumor Vascular Heterogeneity with DCE‐MRI in Complex Adnexal Masses: A Preliminary Study. Journal of Magnetic Resonance Imaging, 46, 1776-1785. [Google Scholar] [CrossRef] [PubMed]