良性前列腺增生合并膀胱结石的危险因素分析及列线图预测模型的建立
Analysis of Risk Factors and Establishment of a Nomogram Prediction Model for Benign Prostatic Hyperplasia with Bladder Stones
DOI: 10.12677/acm.2025.15103013, PDF, HTML, XML,    科研立项经费支持
作者: 胡智超, 伍晓雅, 周若晨, 陆兆祥*:安徽医科大学第四附属医院泌尿外科,安徽 巢湖
关键词: 良性前列腺增生膀胱结石危险因素列线图Benign Prostatic Hyperplasia Bladder Stones Risk Factors Nomogram
摘要: 目的:探索良性前列腺增生(Benign prostatic hyperplasis, BPH)患者合并膀胱结石的相关危险因素,并建立良性前列腺增生合并膀胱结石的列线图预测模型。方法:对我院泌尿外科2021年1月至2022年12月收治的395例因BPH接受手术治疗的患者进行临床回顾性分析,按7:3比例随机分为训练集(n = 276)和验证集(n = 119),训练集根据是否合并膀胱结石将患者分为膀胱结石组(n = 98)和无膀胱结石组(n = 178)。比较训练集中两组患者的病历资料,通过单因素及多因素Logistic回归筛选出BPH患者结石形成的独立危险因素,并采用R软件建立膀胱结石的列线图预测模型并验证。结果:多因素Logistic回归分析结果显示,血尿酸(OR = 1.005, 95% CI: 1.002~1.007)、尿比重(OR = 3.754, 95% CI: 2.004~7.153)、尿白细胞(OR = 2.491, 95% CI: 1.130~4.750)、尿培养(OR = 2.998, 95% CI: 1.223~7.707)是BPH并发膀胱结石的独立危险因素。将多因素分析结果纳入模型构建,训练集和验证集的校正曲线显示实际值和预测值基本吻合;采用Bootstrap自抽样法对模型进行内部验证,训练集和验证集的一致性指数(C-index)分别为0.709、0.773;本研究Hosmer-Lemeshow拟合优度检验P = 0.131 (P > 0.05),提示预测模型拟合度好。训练集的受试者工作特征曲线的曲线下面积为0.720 (95% CI: 0.652~0.788),灵敏度和特异度分别是61.2%和83.1%,验证集的受试者工作特征曲线的曲线下面积为0.792 (95% CI: 0.720~0.888),灵敏度和特异度分别是64.1%和83.8%;决策曲线分析显示BPH患者合并膀胱结石的列线图模型的临床预测效用较好。结论:血尿酸、尿比重、尿白细胞、尿培养是BPH合并膀胱结石的独立危险因素,该列线图预测模型具有较高准确度,对临床患者的个体化预防及治疗具有一定的指导价值。
Abstract: Objective: To explore the related risk factors for benign prostatic hyperplasia (BPH) patients complicated with bladder stones and establish a nomogram prediction model for BPH complicated with bladder stones. Methods: A retrospective clinical analysis was conducted on 395 patients with benign prostatic hyperplasia (BPH) who underwent surgical treatment in the department of urology from January 2021 to December 2022. The patients were randomly divided into a training set (n = 276) and a validation set (n = 119) at a ratio of 7:3. In the training set, patients were categorized into a bladder stone group (n = 98) and a non-bladder stone group (n = 178) based on the presence or absence of bladder stones. The medical records of the two groups in the training set were compared. Univariate and multivariate Logistic regression analyses were performed to identify independent risk factors for stone formation in BPH patients. A nomogram prediction model for bladder stones was then established and validated using R software. Results: Multivariate Logistic regression analysis revealed that serum uric acid (OR = 1.005,95% CI: 1.002~1.007), urine specific gravity (OR = 3.754, 95% CI: 2.004~7.153), urinary leukocytes (OR = 2.491, 95% CI: 1.130~4.750) and urine culture results (OR = 2.998, 95% CI: 1.223~7.707) are independent risk factors for bladder calculi in patients with benign prostatic hyperplasia (BPH). The results of the multivariate analysis were incorporated into the model construction. The calibration curves of the training and validation sets demonstrated a good agreement between the actual and predicted values. Internal validation of the model was conducted using the Bootstrap resampling method, with consistency indices (C-index) of 0.709 and 0.773 for the training and validation sets, respectively. The Hosmer-Lemeshow goodness-of-fit test in this study yielded a P-value of 0.131 (P > 0.05), indicating a good fit of the prediction model. The area under the receiver operating characteristic curve (AUC) was 0.720 (95% CI: 0.652~0.788) for the training set, with a sensitivity and specificity of 61.2% and 83.1%, respectively. For the validation set, the AUC was 0.792 (95% CI: 0.720~0.888), with a sensitivity and specificity of 64.1% and 83.8%, respectively. Decision curve analysis demonstrated that the nomogram model for BPH patients complicated with bladder stones had good clinical predictive utility. Conclusions: Serum uric acid, urine specific gravity, urine white blood cells, and urine culture are independent risk factors for BPH complicated with bladder stones. The nomogram prediction model exhibits high accuracy and has certain guiding value for the individualized prevention and treatment of clinical patients.
文章引用:胡智超, 伍晓雅, 周若晨, 陆兆祥. 良性前列腺增生合并膀胱结石的危险因素分析及列线图预测模型的建立[J]. 临床医学进展, 2025, 15(10): 2299-2310. https://doi.org/10.12677/acm.2025.15103013

1. 引言

在人口老龄化进程不断推进的背景下,良性前列腺增生(BPH)的发病率逐年上升,俨然成为了影响中老年男性生活质量的重要疾病范畴,40岁以下男性BPH发生率为4.8%,大于40岁者BPH发生率随年纪逐渐上升,其中80岁以上者发生率可达67.9%,城市发病率大于农村[1]。良性前列腺增生不仅会导致排尿困难、尿频、尿急等下尿路症状,还可能引发一系列并发症,其中膀胱结石更为常见。最新的EAU指南指出,BPH相关膀胱结石占所有泌尿系结石的3%~7% (平均5%),且在老年群体中这一比例更高[2]-[4]。膀胱结石作为泌尿系统常见的病理产物,其形成与滞留过程并非孤立事件。它不仅会对局部组织造成机械性损伤,还会通过多种病理生理机制进一步加剧泌尿系统的功能障碍。这种功能障碍若持续发展,最终可能导致终末期肾病或者膀胱癌等严重后果[5] [6]。既往针对良性前列腺增生患者并发膀胱结石的研究中探索出诸多危险因素,涵盖了残余尿量、最大尿流率、前列腺尿道角、前列腺膀胱内突出度、前列腺移行区体积、国际前列腺症状评分等多个方面的指标[7]-[9]。但在这众多的研究中只有少部分建立了预测模型,但鲜有研究运用直观的列线图进行模型建立。因此,本研究旨在探究BPH合并膀胱结石的危险因素,建立更方便于临床早期识别和干预膀胱结石的列线图预测模型。

2. 对象与方法

2.1. 研究对象

在我院泌尿外科2021年1月至2022年12月期间收治的良性前列腺增生病例中随机抽取395例因BPH接受手术治疗的患者作为本次临床回顾性研究的研究样本。纳入标准:1) 根据2019中国泌尿外科疾病诊断治疗指南入院临床诊断的良性前列腺增生症;2) PSA < 4 ng/ml (超过的患者均已穿刺排除前列腺癌可能);3) 伴有或不伴有膀胱结石。排除标准:1) 原发性膀胱结石;2) 有尿道狭窄、尿道憩室、无力性膀胱、肾或输尿管结石排入膀胱、神经源性膀胱、膀胱憩室、膀胱颈挛缩、合并前列腺癌或前列腺切除后病理提示前列腺癌;3) 既往有前列腺手术史、尿道手术史、膀胱肿瘤;4) 资料不全者。本研究已获安徽医科大学第四附属医院伦理委员会正式批准(批号:KYXM-202310-049)。

2.2. 观察指标

所有纳入患者均行手术治疗,其手术方式由经治医师与患者共同决定。术前数据收集包括年龄、体质指数(Body mass index, BMI)、前列腺总体积(Total prostate volume, TPV)、前列腺膀胱内突出度(Intravesical protrusion of prostate, IPP)、国际前列腺症状评分(international prostate symptom score, IPSS)、残余尿量(Post-void residual urine volume, PVR)、总前列腺特异性抗原(Total prostate specific antigen, TPSA)、血尿酸(Uric acid, UA)、尿比重(Specific gravity, SG)、尿pH值、膀胱颈口抬高、尿亚硝酸盐、尿白细胞、尿培养、高血压史、糖尿病史、冠心病史、吸烟史、饮酒史。其中前列腺总体积(TPV)由经腹超声测定前列腺的左右径、前后径、上下径大小后,经公式(左右径 × 前后径 × 上下径 × 0.52)计算得出。

2.3. 统计学方法

本部分涉及的统计分析采用了SPSS26.0软件和R4.4.1软件。使用SPSS26.0软件对训练集中的两组数据进行统计学分析,首先对连续型变量进行了正态检验,如果整个数据都满足正态分布的话,就用两独立样本t检验进行组间比较,结果用( x ¯ ±s )描述,如果连续型变量不符合正态分布,那就采用Mann Whitney U检验进行组间比较,结果使用M (P25, P75)描述。计数资料采用Pearson卡方检验分析,以频数(百分比)描述结果。经统计发现残余尿量(PVR)缺失值占比过半,采取删除该观测指标。离群值经分析检查后排除录入错误,予以保留。应用单因素Logistic回归分析筛选出的具有统计学意义的危险因素纳入多因素Logistic分析。选择R4.4.1软件,应用rms程序包,纳入多因素分析筛选出的独立危险因素建立回归方程得出BPH并发膀胱结石的预测模型并绘制列线图,绘制回归方程的ROC曲线,采用Hosmer-Lemeshow拟合优度检验来评价预测模型拟合度,P > 0.05说明预测模型的预测概率与实际概率无显著差异,ROC曲线的曲线下面积(Area under curve, AUC)来评价预测模型的诊断能力。内部验证采用Bootstrap自抽样法,计算一致性指数(C-index),采用校正曲线(Calibration curve)、受试者工作特征曲线(Receiver operating characteristic curve, ROC曲线)和决策曲线分析(Decision curve analysis,DCA)评估该模型的预测效能及临床价值。P < 0.05视作具有显著的统计学意义。

3. 结果

3.1. 训练集中膀胱结石组与无膀胱结石组患者的一般资料分析

在纳入本研究训练集的276例BPH患者中有98例合并膀胱结石,膀胱结石的发生率为35.51% (98/276)。膀胱结石组与无膀胱结石组患者年龄、BMI、IPP、TPV、IPSS、TPSA、尿pH值、膀胱颈口抬高、尿亚硝酸盐、高血压史、冠心病史、糖尿病史、吸烟史、饮酒史差异无统计学意义(P > 0.05),而血尿酸、尿比重、尿白细胞、尿培养水平差异具有统计学意义(P < 0.05) (见表1)。

Table 1. A comparison of general patient data between the bladder stone group and the non-bladder stone group

1. 膀胱结石组与无膀胱结石组患者的一般资料比较

项目

无膀胱结石组(n = 178)

膀胱结石组(n = 98)

χ2/t/Z

P

IPSS [M (P25, P75),分]

15.0 (12.2, 18.0)

16.0 (13.0, 19.0)

−1.618

0.106

年龄[M (P25, P75),岁]

73.0 (68.0, 78.0)

73.0 (69.0, 79.0)

−1.023

0.306

BMI ( x ¯ ±s , kg∙m2)

22.5 ± 2.99

23.0 ± 3.21

−1.024

0.217

TPV [M (P25, P75), cm3]

45.8 (30.3, 66.2)

48.7 (33.9, 62.8)

−0.462

0.644

UA [M (P25, P75), μmol∙L1]

345 (289, 394)

385 (302, 482)

−3.007

0.003

IPP [M (P25, P75), mm]

12.4 (8.12, 20.2)

13.0 (8.63, 18.7)

−0.217

0.828

尿pH值[M (P25, P75)]

5.50 (5.50, 6.38)

5.50 (5.00, 6.01)

−1.183

0.237

SG [n (%)]

16.033

<0.001

≤1.025

153 (85.9)

64 (65.3)

>1.025

25 (14.1)

34 (34.7)

膀胱颈口抬高[n (%)]

<0.001

1.000

不抬高

5 (2.81)

2 (2.04)

抬高

173 (97.2)

96 (98.0)

TPSA [n (%), ng∙mL1]

0.659

0.417

≤4

89 (50.0)

44 (44.9)

>4

89 (50.0)

54 (55.1)

尿白细胞[n (%)]

18.113

<0.001

非阳性

147 (82.6)

58 (59.2)

阳性

31 (17.4)

40 (40.8)

尿亚硝酸盐[n (%)]

0.109

0.741

阴性

162 (91.0)

88 (89.8)

阳性

16 (8.99)

10 (10.2)

尿培养[n (%)]

14.271

<0.001

阴性

168 (94.4)

78 (79.6)

阳性

10 (5.62)

20 (20.4)

高血压[n (%)]

0.328

0.567

99 (55.6)

58 (59.2)

79 (44.4)

40 (40.8)

糖尿病[n (%)]

1.058

0.304

150 (84.3)

87 (88.8)

28 (15.7)

11 (11.2)

冠心病[n (%)]

1.358

0.244

162 (91.0)

93 (94.9)

16 (8.99)

5 (5.10)

吸烟[n (%)]

0.477

0.490

163 (91.6)

92 (93.9)

15 (8.43)

6 (6.12)

饮酒[n (%)]

1.051

0.305

173 (97.2)

92 (93.9)

5 (2.81)

6 (6.12)

注:IPSS:国际前列腺症状评分;BMI:体质指数;TPV:前列腺总体积;UA:血尿酸;IPP:前列腺膀胱内突出度;SG:尿比重;TPSA:总前列腺特异性抗原。

3.2. BPH患者并发膀胱结石的单因素、多因素回归分析

基于训练集276例BPH患者的资料进行单因素Logistic回归分析结果显示,两组血尿酸(OR = 1.005, 95% CI: 1.002~1.007, P < 0.01)、尿比重(OR = 3.251, 95% CI: 1.805~5.934, P < 0.01)、尿白细胞(OR = 3.270, 95% CI: 1.877~5.757, P < 0.01)、尿培养(OR = 4.308, 95% CI: 1.967~10.007, P < 0.01)水平差异具有显著统计学意义。进一步将单因素分析结果中具有统计学意义的指标纳入多因素Logistic回归分析,结果显示血尿酸(OR = 1.005, 95% CI: 1.002~1.007, P < 0.01)、尿比重(OR = 3.754, 95% CI: 2.004~7.153, P < 0.01)、尿白细胞(OR = 2.491, 95% CI: 1.130~4.750, P < 0.01)、尿培养(OR = 2.998, 95% CI: 1.223~7.707, P < 0.05)为BPH患者并发膀胱结石的独立危险因素(见表2)。

Table 2. Univariate and multivariate Logistic regression analysis of benign prostatic hyperplasia complicated with bladder stones

2. BPH合并膀胱结石的单因素及多因素Logistic回归分析

变量

单因素Logistic回归分析

多因素Logistic回归分析

OR (95%置信区间)

P

OR (95%置信区间)

P

年龄

1.014 (0.983~1.047)

0.384

BMI

1.053 (0.972~1.143)

0.207

TPV

1.002 (0.991~1.013)

0.737

IPP

1.004 (0.973~1.036)

0.812

UA

1.005 (1.002~1.007)

0.001

1.004 (1.001~1.007)

0.003

IPSS

1.040 (0.990~1.093)

0.125

尿pH值

0.835 (0.577~1.196)

0.330

SG

3.251 (1.805~5.934)

<0.001

3.754 (2.004~7.153)

< 0.001

TPSA

1.227 (0.749~2.018)

0.417

膀胱颈口抬高

1.387 (0.293~9.814)

0.699

尿白细胞

3.270 (1.877~5.757)

<0.001

2.491 (1.310~4.750)

0.005

尿亚硝酸盐

1.151 (0.486~2.610)

0.741

尿培养

4.308 (1.967~10.007)

<0.001

2.998 (1.223~7.707)

0.018

高血压

0.864 (0.522~1.422)

0.567

糖尿病

0.677 (0.309~1.393)

0.306

冠心病

0.544 (0.174~1.441)

0.250

吸烟

0.709 (0.246~1.809)

0.491

饮酒

2.257 (0.663~8.019)

0.189

注:IPSS:国际前列腺症状评分;BMI:体质指数;TPV:前列腺总体积;UA:血尿酸;IPP:前列腺膀胱内突出度;SG:尿比重;TPSA:总前列腺特异性抗原。

3.3. BPH患者合并膀胱结石的列线图风险预测模型的建立与验证

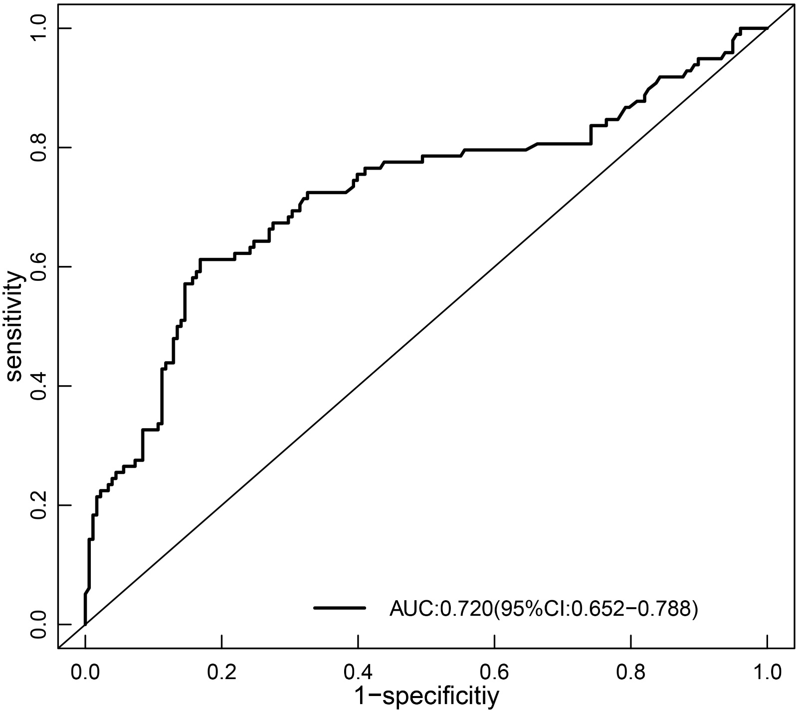
通过对多因素结果进行分析,将血尿酸、尿比重、尿白细胞、尿培养4个指标纳入建模流程,构建了BPH患者并发膀胱结石的列线图预测模型(见图1)。模型效能评估显示,训练集与验证集中的校正曲线均显示出预测值与实际观测值呈现高度一致性(见图2图3);通过Bootstrap抽样法(n = 1000次)进行内部验证后,训练集与验证集的C-index值分别达到0.709和0.773,表明模型具有中等偏上的预测能力。进一步采用Hosmer-Lemeshow拟合优度检验对模型适配性进行评估,结果显示P值为0.131 (P > 0.05),表明预测值与实际值间无显著统计学差异,验证了模型的良好拟合特性。同时根据多因素分析结果推导出BPH合并膀胱结石风险概率计算公式为1/{1+ exp(−2.841 + 0.004 × (血尿酸) + 1.323 × (尿比重) + 0.913 × [尿白细胞(阳性 = 1,非阳性 = 0)] + 1.098 × [尿培养(阳性 = 1,阴性 = 0)]}。模型诊断性能评价方面,训练集的ROC曲线的AUC是0.720 (95% CI: 0.652~0.788),对应灵敏度61.2%、特异度83.1%,验证集的ROC曲线的AUC是0.792 (95% CI: 0.720~0.888),对应灵敏度64.1%、特异度83.8% (见图4图5)。决策曲线分析结果表明,当训练集阈值概率范围设定为21%~95%、验证集设定为15%~89%时,该列线图模型在临床决策中展现出显著的净获益优势(见图6图7)。

注:Points:风险因素得分;UA:血清尿酸;SG:尿比重;UWBC:尿白细胞;Urine_culture:尿培养;Total Points:总得分;Risk of bladder stones:发生膀胱结石的风险。

Figure 1. A Nomogram predictive model for the risk of bladder stones in patients with benign prostatic hyperplasia

1. BPH患者合并膀胱结石的风险列线图预测模型

Figure 2. Calibration curve of the training set

2. 训练集的校正曲线

Figure 3. Calibration curve of the validation set

3. 验证集的校正曲线

Figure 4. ROC curve of the training set

4. 训练集的ROC曲线

Figure 5. ROC curve of the validation set

5. 验证集的ROC曲线

Figure 6. Decision curve of the training set

6. 训练集的决策曲线

Figure 7. Decision curve of the validation set

7. 验证集的决策曲线

4. 讨论

本研究纳入276例BPH患者,其中98例并发膀胱结石,发生率为35.51% (98/276),提示BPH患者合并膀胱结石的风险较高。目前临床研究多聚焦于手术治疗及危险因素分析,仅有少量研究构建了预测模型,但尚缺乏直观的列线图工具用于临床应用。膀胱结石不仅加重患者痛苦,还可能引发泌尿系统损害甚至肾功能衰竭。因此,本研究旨在识别BPH合并膀胱结石的危险因素,并构建可视化列线图预测模型,以辅助临床早期识别与干预,提升诊疗效率。

为探究良性前列腺增生合并膀胱结石的危险因素,我们通过单因素Logistic回归分析初步筛选出尿培养、血尿酸、尿比重及尿白细胞为潜在危险因素,为进一步明确独立危险因素,将单因素分析中有统计学意义的指标纳入多因素Logistic回归分析,结果显示尿培养、血尿酸、尿比重及尿白细胞为BPH合并膀胱结石的独立危险因素,此结论与逄瑷博等人[10]的研究结论相似,他们的研究显示尿培养阳性、血尿酸升高、尿液炎症指标升高是BPH患者并发膀胱结石的预警因素,始动因素为IPP。

本研究中血尿酸升高的BPH患者并发膀胱结石的风险是血尿酸正常的BPH患者的1.004倍,与Zhu C等人的研究报道相符[11],这可能是现代人们获取高热量食物更加容易,过量的蛋白质进入体内代谢分解产生更多的尿酸,这类尿酸代谢异常导致尿液中尿酸排泄增多,使尿液中尿酸过饱和,尤其在酸性环境下更易析出尿酸结晶形成结石,同时合并代谢与营养障碍或慢性尿流动力学异常(如良性前列腺增生、神经源性膀胱)时,尿液滞留与酸性环境之间的协同作用,进一步加剧了结晶的沉积及结石的生长[12] [13]

本研究中尿比重增大是BPH患者并发膀胱结石的独立危险因素,W Mao等人的研究[14]显示尿比重的增加,肾结石的发病率也逐渐上升,其可能的原因是前列腺增生后排尿不完全,形成尿液潴留进一步造成尿液浓缩导致尿比重升高,浓缩后尿液中的晶体成分更易于析出沉积于膀胱内促进结石的生成。可推测避免脱水、提高摄水量对于前列腺增生患者预防膀胱结石具有积极作用。

我们还发现尿白细胞阳性的BPH患者并发膀胱结石的风险是尿白细胞非阳性BPH患者的2.491倍,这一关联强度具有显著的统计学意义(P < 0.01),与既往研究[15]一致,说明尿液炎症指标的升高可能与BPH并发膀胱结石有关[16] [17]。从泌尿系统病理生理学角度解释其原因可能为尿白细胞阳性作为下尿路感染的生物标志物,其存在提示前列腺腺管及膀胱黏膜存在着持续性的炎症反应,炎症微环境通过多重途径促进结石形成:一方面,炎性细胞释放的活性氧簇(ROS)及促炎因子(如IL-6、TNF、IL-1β、干细胞生长因子β)可改变尿液的理化性质[18] [19],导致尿钙、草酸盐处于过饱和状态;另一方面,慢性炎症导致膀胱逼尿肌功能紊乱及残余尿量增加,进一步延长晶体滞留时间并促进结石基质蛋白(如Tamm-Horsfall蛋白)的聚集[20]。因此,尿白细胞阳性不仅是感染状态的指标,更是通过改变局部微环境、影响晶体成核动力学及尿液动力学,在BPH患者膀胱结石发生发展中发挥关键的病理促进作用。

通过统计分析我们进一步发现了尿培养阳性的BPH患者并发膀胱结石的风险是尿培养阴性BPH患者的2.998倍,其原因可能是细菌产生的脲酶分解尿素生成氨和二氧化碳,使尿液碱化并形成磷酸铵镁结晶核心[21],同时细菌感染会导致晶体粘附性增加。Parsons等人[22]的一项研究表明,铵态氮会破坏通常覆盖膀胱粘膜的糖胺聚糖层,促进细菌附着在粘膜表面,进而导致尿液中的晶体更加容易聚合粘附形成结石。这就要求医生在临床工作中需要对病人尿路的侵入性操作保持谨慎态度,尽可能避免尿路感染。

在经过上述统计分析得到了BPH合并膀胱结石的独立危险因素后,在本次研究中我们还建立了BPH合并膀胱结石的列线图风险预测模型。列线图是一组互相平行的线段构成的,可以定量化展示多个变量之间关系的图形。因其定量化、可视化的特点使得其易于熟悉、使用,故在临床中被广泛应用于生存分析、疾病预测、预后评估等的研究[23]。列线图中每个变量的值都有与之相对应的评分,将各变量的得分相加得到的总分与列线图下方标有预测概率的线段作垂直线即可得到与之对应的概率。

本研究数据来源于单中心,且本模型的开发及验证人群均是因BPH接受手术治疗的患者,有一定程度的选择偏倚,构建的模型推广到外部人群时可能存在差异,因此本文结论不能直接外推至所有BPH患者,影响了结果的普遍性。同时本研究因条件有限,未能把前列腺尿道角、残余尿量、最大尿流率、患者饮食习惯、生活区域水质等指标纳入研究,可能造成研究结果的不充分,同时列线图模型只能预测结石的发生概率,并不能预测结石发生的具体时间。因此,以后须多中心、长时间地纳入更多的样本及观测指标进行更深一步的研究。

综上所述,血尿酸、尿比重、尿白细胞、尿培养是BPH合并膀胱结石的独立危险因素,由上述4个独立危险因素构建的BPH合并膀胱结石的列线图风险预测模型对BPH患者并发膀胱结石的预测较为准确,具有较好的区分度、准确度及临床使用价值,便于对高风险BPH患者进行预测并制定相应的预防措施和治疗计划。

基金项目

泌尿生殖系统疾病安徽省重点实验室项目(2022APKLGUDO3)。

NOTES

*通讯作者。

参考文献

[1] 宋爽, 蒋运兰, 李滔, 等. 中国成年男性良性前列腺增生发生率的Meta分析[J]. 预防医学情报杂志, 2024, 40(11): 1463-1472.
[2] Philippou, P., Moraitis, K., Masood, J., Junaid, I. and Buchholz, N. (2012) The Management of Bladder Lithiasis in the Modern Era of Endourology. Urology, 79, 980-986. [Google Scholar] [CrossRef] [PubMed]
[3] 雷俊, 田野, 罗光恒, 等. 改良膀胱出口梗阻指数在良性前列腺增生症中与下尿路症状、尿动力学及手术效果相关性研究[J]. 贵州医药, 2021, 45(7): 1090-1092.
[4] Skolarikos, A., Geraghty, R., Somani, B., et al. (2025) European Association of Urology Guidelines on the Diagnosis and Treatment of Urolithiasis. European Urology, 88, 64-75.
[5] Wang, W., Guo, Y., Zhang, D., Tian, Y. and Zhang, X. (2015) The Prevalence of Benign Prostatic Hyperplasia in Mainland China: Evidence from Epidemiological Surveys. Scientific Reports, 5, Article No. 13546. [Google Scholar] [CrossRef] [PubMed]
[6] Dhondup, T., Kittanamongkolchai, W., Vaughan, L.E., Mehta, R.A., Chhina, J.K., Enders, F.T., et al. (2018) Risk of ESRD and Mortality in Kidney and Bladder Stone Formers. American Journal of Kidney Diseases, 72, 790-797. [Google Scholar] [CrossRef] [PubMed]
[7] 张家铭, 罗康. 高龄前列腺增生患者膀胱结石的影响因素及其风险模型[J]. 现代泌尿外科杂志, 2022, 27(2): 144-147.
[8] 林艳. 良性前列腺增生患者合并形成膀胱结石的危险因素调查分析[J]. 护理实践与研究, 2021, 18(9): 1313-1316.
[9] 陈烨辉, 林婷婷, 李晓东, 等. 良性前列腺增生患者并发膀胱结石的危险因素分析[J]. 临床泌尿外科杂志, 2018, 33(12): 965-967, 971.
[10] 逄瑷博, 凌存保, 黄薇, 等. 良性前列腺增生患者膀胱结石的影响因素分析[J]. 标记免疫分析与临床, 2022, 29(10): 1643-1647, 1653.
[11] Zhu, C., Ma, L., Chen, X., Zhou, Y., Wei, Y., Zhou, P., et al. (2025) Bladder Stone Composition in Jiangsu Region of China: Results from 421 Stone Analyses. Urologia Internationalis. [Google Scholar] [CrossRef] [PubMed]
[12] Wiederkehr, M.R. and Moe, O.W. (2011) Uric Acid Nephrolithiasis: A Systemic Metabolic Disorder. Clinical Reviews in Bone and Mineral Metabolism, 9, 207-217. [Google Scholar] [CrossRef] [PubMed]
[13] Abou-Elela, A. (2017) Epidemiology, Pathophysiology, and Management of Uric Acid Urolithiasis: A Narrative Review. Journal of Advanced Research, 8, 513-527. [Google Scholar] [CrossRef] [PubMed]
[14] Mao, W., Zhang, H., Xu, Z., Geng, J., Zhang, Z., Wu, J., et al. (2021) Relationship between Urine Specific Gravity and the Prevalence Rate of Kidney Stone. Translational Andrology and Urology, 10, 184-194. [Google Scholar] [CrossRef] [PubMed]
[15] 高英力. 良性前列腺增生症并发膀胱结石老年男性膀胱出口梗阻预测模型的建立与验证[D]: [博士学位论文]. 上海: 上海交通大学, 2020.
[16] Song, Y., Gu, Y., Guo, H., Yang, H., Wang, X., Wu, H., et al. (2023) Association between Neutrophil-to-Lymphocyte Ratio and Benign Prostatic Hyperplasia: Results from the TCLSIH Cohort Study. Journal of Inflammation Research, 16, 4857-4866. [Google Scholar] [CrossRef] [PubMed]
[17] Kang, J.Y., Choi, J.D., Cho, J.M., Yoo, T.K., Park, Y.W. and Lee, J.H. (2021) Association of Neutrophil-to-Lymphocyte Ratio, Platelet-to-Lymphocyte Ratio, and Lymphocyte-to-Monocyte Ratio with Benign Prostatic Hyperplasia: A Propensity Score-Matched Analysis. Urologia Internationalis, 105, 811-816. [Google Scholar] [CrossRef] [PubMed]
[18] Wigner, P., Grębowski, R., Bijak, M., Szemraj, J. and Saluk-Bijak, J. (2021) The Molecular Aspect of Nephrolithiasis Development. Cells, 10, Article 1926. [Google Scholar] [CrossRef] [PubMed]
[19] Huang, K., Peng, Z., Zha, C., Li, W., Deng, G., Chen, X., et al. (2024) Inflammatory Factors and the Risk of Urolithiasis: A Bidirectional Mendelian Randomization Study. Frontiers in Medicine, 11, Article 1432275. [Google Scholar] [CrossRef] [PubMed]
[20] Razi, A., Ghiaei, A., Dolatabadi, F.K. and Haghighi, R. (2024) Unraveling the Association of Bacteria and Urinary Stones in Patients with Urolithiasis: An Update Review Article. Frontiers in Medicine, 11, Article 1401808. [Google Scholar] [CrossRef] [PubMed]
[21] Trinchieri, A. (2014) Urinary Calculi and Infection. Urologia Journal, 81, 93-98. [Google Scholar] [CrossRef] [PubMed]
[22] Parsons, C.L., Stauffer, C., Mulholland, S.G. and Griffith, D.P. (1984) Effect of Ammonium on Bacterial Adherence to Bladder Transitional Epithelium. Journal of Urology, 132, 365-366. [Google Scholar] [CrossRef] [PubMed]
[23] Lee, W., Lam, S., Zhang, Y., Yang, R. and Cai, J. (2022) Review of Methodological Workflow, Interpretation and Limitations of Nomogram Application in Cancer Study. Radiation Medicine and Protection, 3, 200-207. [Google Scholar] [CrossRef