工作压力源与幼师职业倦怠的关系:隐性胜任力和心理幸福感的链式中介效应
The Relationship between Work Stressors and Preschool Teachers’ Job Burnout: The Chain Mediating Effect of Implicit Competence and Psychological Well-Being
DOI: 10.12677/ap.2025.1512658, PDF, HTML, XML,    科研立项经费支持
作者: 伍美群, 沈华彬, 明 珠:岭南师范学院教育科学学院,广东 湛江;邱俊杰*:岭南师范学院教育科学学院,广东 湛江;岭南师范学院广东省特殊儿童发展与教育重点实验室,广东 湛江
关键词: 职业倦怠工作压力源隐性胜任力心理幸福感工作要求–资源模型Job Burnout Work Stressors Implicit Competence Psychological Well-Being Job Demands - Resources Model
摘要: 研究目的:为了探究工作压力源对幼儿教师职业倦怠的影响机制,并检验隐性胜任力和心理幸福感在其中是否具有链式中介效应;研究方式:问卷调查,采用工作压力源量表、职业倦怠量表、隐性胜任力量表和心理幸福感量表对851名幼儿教师开展调查,研究发现:工作压力源能够正向预测幼儿教师职业倦怠;隐性胜任力和心理幸福感均能部分中介工作压力源对幼儿教师职业倦怠的影响,二者之间存在链式中介效应。工作压力源既可以直接增加幼儿教师的职业倦怠,也可以通过隐性胜任力–心理幸福感–职业倦怠的路径,间接影响幼儿教师职业倦怠。
Abstract: Research Objective: To explore the impact mechanism of work stressors on preschool teachers’ job burnout and examine whether implicit competence and psychological well-being have a chain mediation effect in this relationship. Research Method: A questionnaire survey was conducted using the Work Stressors Scale, Job Burnout Scale, Implicit Competence Scale, and Psychological Well-Being Scale among 851 preschool teachers. Findings: Work stressors can positively predict preschool teachers’ job burnout; both implicit competence and psychological well-being partially mediate the effect of work stressors on preschool teachers’ job burnout, with a chain mediation effect existing between them. Work stressors can directly increase preschool teachers’ job burnout and also indirectly influence it through the path of implicit competence - psychological well-being - job burnout.
文章引用:伍美群, 沈华彬, 明珠, 邱俊杰 (2025). 工作压力源与幼师职业倦怠的关系:隐性胜任力和心理幸福感的链式中介效应. 心理学进展, 15(12), 318-327. https://doi.org/10.12677/ap.2025.1512658

1. 前言

2024年政府工作报告明确指出,要“全面贯彻党的教育方针,坚持把高质量发展作为各级各类教育的生命线”(钟曜平,2024)。教师队伍是推动教育强国建设的关键资源,既是教育的根本,也是国家发展的源泉。教师担负着为党培育人才、为国家输送人才的崇高使命,是落实立德树人根本任务的中坚力量。推进各级各类教育综合改革,亟需打造一支充满活力的教师队伍。构建一支朝气蓬勃的教师队伍是推进各级各类教育综合改革的迫切需要。幼儿园教师(以下简称“幼师”)作为学前教育高质量发展的关键资源和学前儿童教育的重要保障,在新时期培养一批高素质的学前教育师资队伍,也是贯彻落实党的二十大精神的重要举措。在建设高素质教师队伍的过程中,不仅要重视提升教师的专业化水平,更应关注教师队伍的职业心理健康风险及其预防。尤其是在当前学前教育迅猛发展的大背景下,幼师面临的工作压力有增无减,职业倦怠问题日渐凸显。

职业倦怠作为反映教师职业心理健康的重要指标、影响教师队伍质量的关键因素备受国内外社会关注。教师是职业倦怠的高发人群,职业倦怠不仅对教师个人身心健康、工作质量造成影响,更进一步通过教学方式影响教学质量、师生关系。已有研究中大多聚焦于高校、中小学教师职业倦怠问题的探讨,在提升教育高质量发展的时代背景下,幼儿教师的职业场域具有多维度复杂性,其职责涵盖幼儿生活照料、教育教学实施、社会性发展引导等多重内容,同时需回应家长教育期待、幼儿园管理要求及教育政策动态调整等外部压力,已有研究发现其工作压力与负荷远超正常水平,职业倦怠、抑郁和焦虑等心理健康问题呈现出较高的检出率(赵成佳等,2024Chen et al., 2023)。深入分析幼师职业倦怠的现状、探索破解幼师职业倦怠之道,对于促进儿童发展、促进幼儿师资队伍素质提升、打造优质幼教体系具有一定的实证支撑意义。职业倦怠是一种表现为情绪资源耗竭(emotional exhaustion)、对工作冷漠和玩世不恭(cynicism)并缺乏职业效能感(sense of inefficacy)的综合征(Maslach et al., 1997)。幼儿教师的职业倦怠被证实与其教学质量不佳、离职意向的升高有关(Jõgi et al., 2022b; Wang et al., 2024),将阻碍教师队伍的发展和建设。因此,对职业倦怠的前因变量及其发生机制展开探究,对于保障幼儿教师的心理健康具有重要意义。

在以往研究中,环境因素、个体因素、文化因素等不同层面的因素都会对教师职业倦怠产生影响。根据Maslow等人的观点,对职业倦怠的研究难点在于将“工作–人”模式的拓展到一个更加宽泛和复杂的框架内,即处于工作环境中的人(Olson et al., 2015),在环境因素中,工作压力被视为对员工工作满意度和绩效表现产生负面影响的关键因素之一(Aslan et al., 2020; Wong et al., 2021)。在日常工作中,员工会采用不同策略应对压力,这些策略会对职业倦怠产生不同的影响。基于工作要求–资源模型,关注每日工作重塑、恢复体验和员工次日职业倦怠的关系以及个人资源和工作资源的中介作用。有研究以112名全职员工为研究对象,开展连续10个工作日的日记法研究,结果表明:每日工作重塑通过个人资源和工作资源与次日的职业倦怠负相关;员工每日恢复体验通过个人资源与次日的职业倦怠负相关;结果验证了职业倦怠的状态理论,对于未来每天的职业倦怠应对研究具有积极的意义(张晓龙等,2024Aslan et al., 2020)。就工作本身而言,职业倦怠是反映工作负荷过重,已经得到绝大多数研究者的一致认同,体验到工作负荷过重以及完成工作的时间不足与职业倦怠相关程度较高,尤其是在情感衰竭维度(郭思,钟建安,2004)。根据工作要求–资源模型(job demands-resources model,简称为JD-R),幼儿教师的多重压力源体现在其繁琐的工作要求(Maslach et al., 2001)。幼儿教师面临的是来自日常保育工作、定期教学评估以及外部期望多方面的综合性要求,若个人资源无法与之匹配将不断滋生慢性压力(chronic stress),进而导致职业倦怠(Yu et al., 2022; Ji & Yue, 2020; Bakker et al., 2014)。实证研究也表明,压力与教师的职业倦怠存在显著的正相关关系(Gao et al., 2025; Dehne et al., 2025)。Guthier等人通过连续时间元分析(continuous time meta-analysis, CoTiMA)发现,工作压力源与职业倦怠在时间跨度上相互正向影响(Guthier et al., 2020)。

尽管国内外对于教师职业倦怠的研究开展大量的探讨,但是对教师职业倦怠在个体–情景间的机制研究比较碎片化,直接探讨工作压力等因素对职业倦怠的影响。研究者Carroll和White研究了员工的工作和生活环境与其工作倦怠的关系,并提出了对影响工作倦怠的环境系统进行划分的“生态学模型”(Ecology Mpdel):在环境系统内部的微观系统、组织系统、外部系统和宏观系统等都会对个体的职业倦怠产生影响(Carroll & White, 1982; 齐亚静,伍新春,2018)。

幼儿教师的隐性胜任力是一种个体内部的鉴定指标,涵盖了心理韧性、自我调控和效能感等特征(黄翯青等,2021)。个体特征是JD-R模型研究中不可或缺的因素,能够与工作资源产生交互并缓冲工作要求引发的健康损害过程,解释了相同工作环境下绩效表现的差异(Carroll & White, 1982; Bakker, 2015; Demerouti et al., 2001)。Harrison早在20世纪80年代就对个体工作状态的感知与产生职业倦怠的关系进行过一系列探究,提出了“胜任感模型”,认为个人职业倦怠的出现与“自我工作胜任感”有关,如果个人通过更好地在助人工作中体验到明显的胜任感,那么通常就会提高其助人动机;反之若个体未能在工作中达成预期的助人目标,“自我工作胜任感”降低,就会有工作挫败感,出现职业倦怠的症状(汪希贤,2019)。Liu等人的研究发现心理韧性能够负向预测教师的职业倦怠程度(Liu et al., 2021)。也有研究表明,教师的情绪调控能力和趋近性应对策略与个人成长和更低的压力和焦虑显著相(Puertas Molero et al., 2019; MacIntyre et al., 2020)。具有高效能感的教师往往职业倦怠程度较低,认为压力来源于自我调控的可能性较大(Jõgi et al., 2022a; An & Sha Tao, 2024)。

心理幸福感泛指个体对自身精神状态的评估,是一个具有多个组成部分的复杂概念(Ryff, 2014; Dagenais-Desmarais & Savoie, 2012)。基于心理幸福感的多维模型,幼儿教师的心理幸福感涵盖了教师的自我调控与成长、感知到的掌控感、积极的目标导向与人际关系(Ryff, 1989)。心理幸福感的核心在于心理健康、潜能显现以及自我实现后的积极体验,是个体克服困难的前提保障(俞国良,2022)。拓展建构理论(Broaden-and-Build Theory)认为,随着积极情绪体验的增加,个体会变得更加投入与开放,并收获一定的个人与社会资源(Fredrickson, 2001)。过去的研究表明,教师的幸福感与工作要求、职业倦怠等都存在显著的负相关关系(Espinoza-Díaz et al., 2023; Skaalvik & Sidsel Skaalvik, 2018),并且可以缓冲压力源的负面效应(Ozduran et al., 2023)。

过往研究发现,隐性胜任特征在压力源和教师的幸福感之间起到中介作用(Farhi & Rubinsten, 2024)。个体可通过个人资源和工作资源对工作特征进行适应性重塑,以此降低职业倦怠水平(张晓龙等,2024)。根据资源保存理论,资源因子之间相互发生作用,将呈现出“一荣俱荣”的增益螺旋模式(Hobfoll et al., 2018)。基于以上分析,得出研究假设:幼儿教师的工作压力源可以正向预测其职业倦怠,隐性胜任力和心理幸福感二者作为资源因素可能在工作压力源与职业倦怠之间起到链式中介作用。

2. 方法

2.1. 研究对象

采用方便抽样的方法,对粤西地区905名幼儿园教师进行问卷调查。对无效数据进行剔除后获得有效问卷851份,有效率为94.03%。其中20岁以下教师8名,20~30岁教师288名,31~40岁教师253名,40岁以上教师302名;女教师838名,男教师13名;教龄在5年及以下教师126名,6~10年教师209名,11年及以上教师392名;城市幼儿园教师371名,农村幼儿园教师480名。

2.2. 研究工具

(1) 教师职业倦怠量表

采用Maslach等人2001年编制,伍新春等人修订的中文版教师职业倦怠量表(伍新春等,2016)。该量表由情感耗竭、低成就感和非人性化三个维度构成,共22个题项。采用Likert 5点计分(1 = 非常不符合,5 = 非常符合),得分越高说明幼儿教师的职业倦怠水平越高。在本研究中,Cronbach’s α系数为0.89。

(2) 幼儿教师工作压力源量表

采用刘力全编制的幼儿教师工作压力源量表进行评定(刘力全,2007)。该量表由工作负荷、职业期望、工作环境与人、社会地位与发展、幼儿因素五个维度构成,共38个题项。采用Likert5点计分(1 = 非常不符合,5 = 非常符合),得分越高说明幼儿园教师的工作压力水平越高。在本研究中,Cronbach’s α系数为0.95。

(3) 幼儿教师隐性胜任力量表

采用黄翯青等人编制的幼儿教师隐性胜任力量表进行评定(黄翯青等,2021)。该量表由效率导向胜任力、自我调控胜任力和情感导向胜任力三个维度构成,共21个项目。采用Likert5点计分(1 = 非常不符合,5 = 非常符合),得分越高说明幼儿园教师隐性胜任力水平越高。在本研究中,Cronbach’s α系数为0.88。

(4) 心理幸福感量表

采用Ryff编制,Gao等人修订的心理幸福感量表(Gao & McLellan, 2018)。该量表由自主性、个人成长、人生意义、亲密关系和自我接纳六个维度构成,共33个题项。采用Likert5点计分(1 = 非常不符合,5 = 非常符合)。得分越高表示幼儿教师的心理幸福感水平越高。在本研究中,Cronbach’s α系数为0.89。

2.3. 数据处理

本研究采用SPSS26.0及Hayes开发的PROCESS4.1对数据进行描述统计、相关分析及中介效应模型检验。

3. 结果与分析

3.1. 共同方法偏差检验

采用Harman单因子检验对共同方法偏差进行统计检验。结果显示,共提取18个载荷大于1的因子,第一个因子方差解释力为21.80%(小于40%),说明当前研究不存在严重的共同方法偏差。

3.2. 描述统计及相关分析

对各变量的描述性统计和相关分析结果表明,职业倦怠和工作压力源之间存在显著正相关,且均与隐性胜任力、心理幸福感显著负相关,隐性胜任力与心理幸福感呈显著正相关。详见表1

Table 1. Descriptive statistics and correlation analysis of key variables (n = 851)

1. 主要变量的描述性统计及相关分析(n = 851)

M ± SD

职业倦怠

工作压力源

隐性胜任力

心理幸福感

职业倦怠

45.63 ± 12.1

1

工作压力源

120.57 ± 26.9

0.63***

1

隐性胜任力

82.06 ± 10.13

−0.52***

−0.33***

1

心理幸福感

119.96 ± 15.12

−0.50***

−0.40***

0.73***

1

注:* p < 0.05,**p < 0.01,***p < 0.001;下同。

3.3. 中介作用检验

采用PROCESS插件中的Model 6检验中介效应,结果如表2所示。在控制人口学变量(年龄、性别、教龄)后,工作压力源对隐性胜任力和心理幸福感起显著的负向预测,而隐性胜任力可显著正向预测心理幸福感,工作压力源可以对预测职业倦怠起显著正向预测,隐形胜任力和心理幸福感可共同负向预测职业倦怠。

Table 2. Regression analysis results of mediation effect test

2. 中介效应检验的回归分析结果

预测变量

方程1:隐性胜任力

方程2:心理幸福感

方程3:职业倦怠

β

t

β

t

β

t

年龄

0.100

3.726***

−0.022

−1.171

−0.005

−0.218

性别

0.006

0.045

−0.017

−0.197

−0.020

−0.189

教龄

0.029

1.707

0.026

2.265*

−0.005

−0.324

工作压力源

−0.221

−10.302***

−0.125

−7.943***

0.391

18.995***

隐性胜任力

0.626

26.464***

−0.334

−8.240***

心理幸福感

−0.098

−2.239*

R2

0.167

0.564

0.514

F

42.433***

218.305***

148.587***

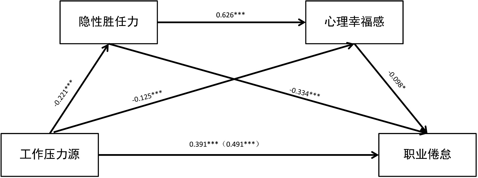
Bootstrap检验表明,隐形胜任力和心理幸福感的独立中介效应显著,间接效应值分别为0.074和0.012,二者的链式中介效应同样显著,间接效应值为0.016。结果如表3图1所示。

Table 3. Significance test of mediation effect

3. 中介效应的显著性检验

路径

β

SE

95% CI

下限

上限

工作压力源→职业倦怠

0.391

0.020

工作压力源→隐性胜任力→职业倦怠

0.074

0.013

0.050

0.100

工作压力源→心理幸福感→职业倦怠

0.012

0.006

0.001

0.025

工作压力源→隐性胜任力→心理幸福感→职业倦怠

0.016

0.006

0.002

0.027

总间接效应

0.100

0.013

0.075

0.126

Figure 1. Chain mediation model of tacit competence and psychological well-being in the relationship between work stressors and occupational burnout

1. 隐性胜任力和心理幸福感在工作压力源和职业倦怠间的链式中介模型图

4. 讨论

本研究发现,工作压力源显著正向预测幼儿教师的职业倦怠,印证了前人的研究结论(Carroll et al., 2022; Jeon et al., 2024),并符合JD-R的核心观点。社会对幼儿教师的“全能化期待”(兼具教育者、照料者、安全保障者等多重角色),叠加“事故责任扩大化”倾向,使教师长期处于高风险焦虑状态,构成持续性心理压力源,过高的情绪性工作要求会导致疲倦,而幼儿教师往往被要求控制自身情绪并表达积极的情感(Zhang et al., 2020)。以往研究表明,高负荷、工作–家庭冲突、角色冲突等因素也是教师常见的工作要求(赵成佳等,2024Xu, 2019)。工作充斥着压力源,个体难以避免地经受慢性压力,进而形成职业倦怠(Hakanen et al., 2008)。

中介效应检验结果表明,隐性胜任力和心理幸福感均在工作压力源和幼儿教师的职业倦怠之间起部分中介作用。该发现揭示了隐性胜任力对工作压力源的应对效用,并验证了JD-R的缓冲假说。幼儿教师的隐性胜任力作为一种涵盖认知、能力和特质多方面的整合性特征(Gao et al., 2025),可反映出个人的资源水平。隐性胜任力较高的幼儿教师可支配的资源相对更多,能较好地面对复杂、多样的工作要求,因而不易形成职业倦怠。与过往研究结论相符,具备胜任特征的教师感知到的压力水平更低(Rey et al., 2016),隐性胜任力所包含的情绪调控、自我效能感和心理韧性等因素显著负向教师的职业倦怠程度(Li, 2023)。

本研究发现心理幸福感在工作压力源和职业倦怠之间存在单独的中介作用,与过往研究结论相符(Maddock, 2024; González-Rico et al., 2022)。体表现为,当幼儿教师的工作要求远超适度范围,产生的压力可能降低其心理幸福感,进而导致职业倦怠。慢性压力源与负面情绪显著正向相关(MacIntyre et al., 2019),本就需要较多情感劳动的幼儿教师可能累积更高的压力。从而阻碍了教师通过教学工作中的积极体验和自我实现来提高心理幸福感,而低水平的心理幸福感往往是职业倦怠的前因之一(Conti et al., 2021)。

研究还发现,隐性胜任力和心理幸福感在工作压力源和职业倦怠的关系中起链式中介的作用,与以往研究相符合(Lucas-Mangas et al., 2022; Mérida-López et al., 2022; Han, 2022)。该发现还支持了拓展–建构理论,隐性胜任力和心理幸福感作为积极的心理资源呈现出相互促进的建构关系。隐性胜任力作为幼儿教师职业倦怠的预防性因子,还对教师的幸福感起到促进作用。以往研究揭示了心理幸福感在维持教师福祉和防御心理威胁中的重要性(Wang et al., 2024),以及其与职业倦怠和工作压力源的负相关关系(Jõgi, et al., 2022b; Ryff, 2014)。此外幼儿教师也可协同隐性胜任力和心理幸福感发挥作用,降低形成职业倦怠的风险。这一结果丰富了JD-R的相关研究,提出资源在“缓冲假设”路径中具有叠加增益的潜在可能。这意味着,提升幼儿教师的隐性胜任力不仅有助于其有效应对工作压力,还能通过增强心理幸福感形成双重保护机制。

5. 研究展望

通过结果分析,本研究揭示了心理内在机制在缓解职业倦怠中的关键作用路径,证明了提升幼儿教师隐性胜任力对于增强其心理幸福感的重要性,以及由此带来的职业倦怠水平的降低效应。在幼儿教师专业发展过程中,应重视对教师情绪调节、人际敏感度及自我效能等隐性能力的培养,并通过构建支持性工作环境,促进其心理资本的积累。特别是在学前教育高质量发展的当前背景下,构建以心理幸福感为核心的干预体系,可为有效应对职业压力提供可行策略。未来研究应推动将心理支持机制纳入学前教育师资建设的常规体系,并进一步探索在不同教龄、园所类型及区域背景下链式中介效应的差异性,以优化干预方案的适配度;基于实证数据的动态监测,建立分层分类的心理支持模型,以实现精准化、可持续的职业健康促进。

基金项目

湛江市哲学社会科学规划项目(一般项目)“幼儿园教师工作压力对职业倦怠的影响机制和干预策略研究——基于粤西三市的调查”(ZJ25YB142)。广东省哲学社会科学规划青年项目“特殊教育教师职业倦怠的影响机制及差异化干预路径研究”(GD22YJY07)。

NOTES

*通讯作者。

参考文献

[1] 郭思, 钟建安(2004). 职业倦怠的干预研究述评. 心理科学, (4), 931-933.[CrossRef
[2] 黄翯青, 李雪莲, 苏彦捷(2021). 幼儿教师隐性胜任力模型的建构. 首都师范大学学报(社会科学版), (3), 181-188.
[3] 刘力全(2007). 幼儿教师工作压力源、工作控制体验、工作倦怠关系研究. 硕士学位论文, 太原: 山西大学.
[4] 齐亚静, 伍新春(2018). 工作要求-资源模型: 理论和实证研究的拓展脉络. 北京师范大学学报(社会科学版), (6), 28-36.
[5] 汪希贤(2019). 国内外职业倦怠研究的回顾与展望. 环渤海经济瞭望, (9), 179-181.[CrossRef
[6] 伍新春, 齐亚静, 余蓉蓉, 等(2016). 中小学教师职业倦怠问卷的进一步修订. 中国临床心理学杂志, 24(5), 856-860.
[7] 俞国良(2022). 心理健康的新诠释: 幸福感视角. 北京师范大学学报(社会科学版), (1), 72-81.
[8] 张晓龙, 笪姝, 高春荣, 等(2024). 每日工作重塑和恢复体验与次日职业倦怠的关系: 个人资源和工作资源的中介作用. 心理科学, 47(3), 648-656.[CrossRef
[9] 赵成佳, 黄潇潇, 俞国良(2024). 中国内地幼儿教师心理健康问题检出率的元分析: 2000-2022. 心理与行为研究, 22(2), 145-153.
[10] 钟曜平(2024). 以高质量教育体系奠基民族复兴.
http://www.moe.gov.cn/jyb_xwfb/s5148/202403/t20240307_1118894.html
[11] An, S., & Tao, S. (2024). English as a Foreign Language Teachers’ Burnout: The Predicator Powers of Self-Efficacy and Well-Being. Acta Psychologica, 245, Article ID: 104226.[CrossRef] [PubMed]
[12] Aslan, I., Ochnik, D., & Çınar, O. (2020). Exploring Perceived Stress among Students in Türkiye during the COVID-19 Pandemic. International Journal of Environmental Research and Public Health, 17, Article 8961.[CrossRef] [PubMed]
[13] Bakker, A. B. (2015). Towards a Multilevel Approach of Employee Well-Being. European Journal of Work and Organizational Psychology, 24, 839-843.[CrossRef
[14] Bakker, A. B., Demerouti, E., & Sanz-Vergel, A. I. (2014). Burnout and Work Engagement: The JD-R Approach. Annual Review of Organizational Psychology and Organizational Behavior, 1, 389-411.[CrossRef
[15] Carroll, A., Forrest, K., Sanders-O’Connor, E., Flynn, L., Bower, J. M., Fynes-Clinton, S. et al. (2022). Teacher Stress and Burnout in Australia: Examining the Role of Intrapersonal and Environmental Factors. Social Psychology of Education, 25, 441-469.[CrossRef] [PubMed]
[16] Carroll, J. F. X., & White, W. L. (1982). Job Stress and Burnout. In J. Carrol (Ed.), Theory Building: Integrating Individual and Environmental Factors within an Ecological Framework (pp. 41-43). Sage.
[17] Chen, S., Ntim, S. Y., Zhao, Y., & Qin, J. (2023). Characteristics and Influencing Factors of Early Childhood Teachers’ Work Stress and Burnout: A Comparative Study between China, Ghana, and Pakistan. Frontiers in Psychology, 14, Article 1115866.[CrossRef] [PubMed]
[18] Conti, C., Fontanesi, L., Lanzara, R., Rosa, I., Doyle, R. L., & Porcelli, P. (2021). Burnout Status of Italian Healthcare Workers during the First COVID-19 Pandemic Peak Period. Healthcare, 9, Article 510.[CrossRef] [PubMed]
[19] Dagenais-Desmarais, V., & Savoie, A. (2012). What Is Psychological Well-Being, Really? A Grassroots Approach from the Organizational Sciences. Journal of Happiness Studies, 13, 659-684.[CrossRef
[20] Dehne, M., Roorda, D. L., Koomen, H. M. Y., & Zee, M. (2025). Under Pressure? Exploring the Moderating and Mediating Role of Principal-Teacher Relationships in Primary and Secondary School Teachers’ Burnout Symptoms. Social Psychology of Education, 28, Article No. 64.[CrossRef
[21] Demerouti, E., Bakker, A. B., Nachreiner, F., & Schaufeli, W. B. (2001). The Job Demands-Resources Model of Burnout. Journal of Applied Psychology, 86, 499-512.[CrossRef] [PubMed]
[22] Espinoza-Díaz, I. M., Tous-Pallarés, J., Lucas-Mangas, S., Valdivieso-León, L., & Vigil-Colet, A. (2023). Psychological Well-Being of Teachers: Influence of Burnout, Personality, and Psychosocial Climate. Frontiers in Psychology, 14, Article 1211280.[CrossRef] [PubMed]
[23] Farhi, M., & Rubinsten, O. (2024). Emotion Regulation Skills as a Mediator of STEM Teachers’ Stress, Well-Being, and Burnout. Scientific Reports, 14, Article No. 15615.[CrossRef] [PubMed]
[24] Fredrickson, B. L. (2001). The Role of Positive Emotions in Positive Psychology: The Broaden-And-Build Theory of Positive Emotions. American Psychologist, 56, 218-226.[CrossRef
[25] Gao, J., & McLellan, R. (2018). Using Ryff’s Scales of Psychological Well-Being in Adolescents in Mainland China. BMC Psychology, 6, Article No. 17.[CrossRef] [PubMed]
[26] Gao, X., Zhou, X., & Leong, F. T. L. (2025). Exploring Occupational Well‐Being Profiles, Outcomes, and Predictors among Chinese Teachers: A Mixed‐Methods Approach Using Latent Profile and Decision Tree Analysis. Applied Psychology: Health and Well-Being, 17, e12640.[CrossRef] [PubMed]
[27] González-Rico, P., Guerrero-Barona, E., Chambel, M. J., & Guerrero-Molina, M. (2022). Well-Being at Work: Burnout and Engagement Profiles of University Workers. International Journal of Environmental Research and Public Health, 19, Article 15436.[CrossRef] [PubMed]
[28] Guthier, C., Dormann, C., & Voelkle, M. C. (2020). Reciprocal Effects between Job Stressors and Burnout: A Continuous Time Meta-Analysis of Longitudinal Studies. Psychological Bulletin, 146, 1146-1173.[CrossRef] [PubMed]
[29] Hakanen, J. J., Schaufeli, W. B., & Ahola, K. (2008). The Job Demands-Resources Model: A Three-Year Cross-Lagged Study of Burnout, Depression, Commitment, and Work Engagement. Work & Stress, 22, 224-241.[CrossRef
[30] Han, W. (2022). Chinese English as a Foreign Language Teachers’ Job Satisfaction, Resilience, and Their Psychological Well-being. Frontiers in Psychology, 12, Article 800417.[CrossRef] [PubMed]
[31] Hobfoll, S. E., Halbesleben, J., Neveu, J. P., & Westman, M. (2018). Conservation of Resources in the Organizational Context: The Reality of Resources and Their Consequences. Annual Review of Organizational Psychology and Organizational Behavior, 5, 103-128.
[32] Jeon, H., Kwon, K., McCartney, C., & Diamond, L. (2024). Early Childhood Education and Early Childhood Special Education Teachers’ Perceived Stress, Burnout, and Depressive Symptoms. Children and Youth Services Review, 166, Article ID: 107915.[CrossRef] [PubMed]
[33] Ji, D., & Yue, Y. (2020). Relationship between Kindergarten Organizational Climate and Teacher Burnout: Work-Family Conflict as a Mediator. Frontiers in Psychiatry, 11, Article 408.[CrossRef] [PubMed]
[34] Jõgi, A., Aulén, A., Pakarinen, E., & Lerkkanen, M. (2022b). Teachers’ Daily Physiological Stress and Positive Affect in Relation to Their General Occupational Well‐being. British Journal of Educational Psychology, 93, 368-385.[CrossRef] [PubMed]
[35] Jõgi, A., Pakarinen, E., & Lerkkanen, M. (2022a). Teachers’ Physiological and Self‐Reported Stress, Teaching Practices and Students’ Learning Outcomes in Grade 1. British Journal of Educational Psychology, 93, 211-226.[CrossRef] [PubMed]
[36] Li, S. (2023). The Effect of Teacher Self-Efficacy, Teacher Resilience, and Emotion Regulation on Teacher Burnout: A Mediation Model. Frontiers in Psychology, 14, Article 1185079.[CrossRef] [PubMed]
[37] Liu, F., Chen, H., Xu, J., Wen, Y., & Fang, T. (2021). Exploring the Relationships between Resilience and Turnover Intention in Chinese High School Teachers: Considering the Moderating Role of Job Burnout. International Journal of Environmental Research and Public Health, 18, Article 6418.[CrossRef] [PubMed]
[38] Lucas-Mangas, S., Valdivieso-León, L., Espinoza-Díaz, I. M., & Tous-Pallarés, J. (2022). Emotional Intelligence, Psychological Well-Being and Burnout of Active and In-Training Teachers. International Journal of Environmental Research and Public Health, 19, Article 3514.[CrossRef] [PubMed]
[39] MacIntyre, P. D., Gregersen, T., & Mercer, S. (2020). Language Teachers’ Coping Strategies during the Covid-19 Conversion to Online Teaching: Correlations with Stress, Wellbeing and Negative Emotions. System, 94, Article ID: 102352.[CrossRef
[40] MacIntyre, P. D., Ross, J., Talbot, K., Mercer, S., Gregersen, T., & Banga, C. A. (2019). Stressors, Personality and Wellbeing among Language Teachers. System, 82, 26-38.[CrossRef
[41] Maddock, A. (2024). The Relationships between Stress, Burnout, Mental Health and Well-Being in Social Workers. The British Journal of Social Work, 54, 668-686.[CrossRef
[42] Maslach, C., & Leiter, M. P. (1997). The Truth about Burnout: How Organizations Cause Personal Stress and What to Do About It (p. 194). Jossey-Bass.
[43] Maslach, C., Schaufeli, W. B., & Leiter, M. P. (2001). Job Burnout. Annual Review of Psychology, 52, 397-422.[CrossRef] [PubMed]
[44] Mérida-López, S., Quintana-Orts, C., Rey, L., & Extremera, N. (2022). Teachers’ Subjective Happiness: Testing the Importance of Emotional Intelligence Facets Beyond Perceived Stress. Psychology Research and Behavior Management, 15, 317-326.[CrossRef] [PubMed]
[45] Olson, K., Kemper, K. J., & Mahan, J. D. (2015). What Factors Promote Resilience and Protect against Burnout in First-Year Pediatric and Medicine-Pediatric Residents? Journal of Evidence-Based Complementary & Alternative Medicine, 20, 192-198.[CrossRef] [PubMed]
[46] Ozduran, A., Saydam, M. B., Eluwole, K. K., & Mertens, E. U. (2023). Work-Family Conflict, Subjective Well-Being, Burnout, and Their Effects on Presenteeism. The Service Industries Journal, 45, 303-329.[CrossRef
[47] Puertas Molero, P., Zurita Ortega, F., Ubago Jiménez, J. L., & González Valero, G. (2019). Influence of Emotional Intelligence and Burnout Syndrome on Teachers Well-Being: A Systematic Review. Social Sciences, 8, Article 185.[CrossRef
[48] Rey, L., Extremera, N., & Pena, M. (2016). Emotional Competence Relating to Perceived Stress and Burnout in Spanish Teachers: A Mediator Model. PeerJ, 4, e2087.[CrossRef] [PubMed]
[49] Ryff, C. D. (1989). Happiness Is Everything, or Is It? Explorations on the Meaning of Psychological Well-Being. Journal of Personality and Social Psychology, 57, 1069-1081.[CrossRef
[50] Ryff, C. D. (2014). Psychological Well-Being Revisited: Advances in the Science and Practice of Eudaimonia. Psychotherapy and Psychosomatics, 83, 10-28.[CrossRef] [PubMed]
[51] Skaalvik, E. M., & Skaalvik, S. (2018). Job Demands and Job Resources as Predictors of Teacher Motivation and Well-Being. Social Psychology of Education, 21, 1251-1275.[CrossRef
[52] Wang, Y., Derakhshan, A., & Azari Noughabi, M. (2024). The Interplay of EFL Teachers’ Immunity, Work Engagement, and Psychological Well-Being: Evidence from Four Asian Countries. Journal of Multilingual and Multicultural Development, 45, 3241-3257.[CrossRef
[53] Wong, A. K. F., Kim, S., Kim, J., & Han, H. (2021). How the COVID-19 Pandemic Affected Hotel Employee Stress: Employee Perceptions of Occupational Stressors and Their Consequences. International Journal of Hospitality Management, 93, Article ID: 102798.[CrossRef] [PubMed]
[54] Xu, L. (2019). Teacher-Researcher Role Conflict and Burnout among Chinese University Teachers: A Job Demand-Resources Model Perspective. Studies in Higher Education, 44, 903-919.[CrossRef
[55] Yu, Y., Wu, T., Gao, J., Wang, S., Zhou, Y., & Zhang, J. (2022). Do Preschool Teachers in Southwest China Need More Mental Health Education? An Online Cross-Sectional Survey 1 Year after the COVID-19 Pandemic. Frontiers in Psychology, 13, Article 907838.[CrossRef] [PubMed]
[56] Zhang, L., Yu, S., & Jiang, L. (2020). Chinese Preschool Teachers’ Emotional Labor and Regulation Strategies. Teaching and Teacher Education, 92, Article ID: 103024.[CrossRef