数字经济时代政府推动生产性服务业与先进制造业融合发展研究——基于演化博弈视角
Research on Government-Promoted Integrated Development of Productive Services and Advanced Manufacturing in the Digital Economy Era—An Evolutionary Game Perspective
DOI: 10.12677/ecl.2025.14124402, PDF, HTML, XML,    科研立项经费支持
作者: 唐 娟, 张慧君:南京邮电大学管理学院,江苏 南京;高舒燚:华为技术有限公司广东政企业务部,广东 广州
关键词: 数字经济产业融合演化博弈仿真分析Digital Economy Industrial Integration Evolutionary Game Simulation Analysis
摘要: 为探索数字经济时代政府推动生产性服务业与先进制造业深度融合的路径,本研究构建了政府、生产性服务企业与先进制造企业的三方演化博弈模型,通过设定收益矩阵与稳定性条件,分析各方策略互动机制,并运用Matlab进行数值仿真。结果表明,政府参与意愿、激励成本、融合成本调控及收益分配系数显著影响企业参与融合的积极性。当政府激励成本增量低于社会收益且企业融合收益高于成本时,系统趋于(积极激励,积极参与,积极参与)的理想均衡;反之易陷入低水平均衡。据此提出,政府需动态优化政策、合理控制激励成本、降低企业融合成本、完善收益分配机制并强化数字技术赋能,以提升各方参与意愿,推动两业深度融合,促进产业转型升级与高质量发展。
Abstract: To explore pathways for government-driven deep integration of productive services and advanced manufacturing in the digital economy era, this study constructs a tripartite evolutionary game model involving the government, productive service enterprises, and advanced manufacturing enterprises. By defining a payoff matrix and stability conditions, it analyzes the strategic interaction mechanisms among stakeholders and conducts numerical simulations using MATLAB. Results indicate that the government’s willingness to participate, incentive costs, integration cost regulation, and benefit distribution coefficients significantly influence enterprises’ enthusiasm for integration. When the incremental incentive cost of the government is lower than the social benefits and the integration benefits for enterprises exceed their costs, the system tends toward an ideal equilibrium of (positive incentives, active participation, active participation). Conversely, it is prone to fall into a low-level equilibrium. Based on these findings, it is proposed that the government should dynamically optimize policies, reasonably control incentive costs, reduce integration costs for enterprises, improve the benefit distribution mechanism, and strengthen digital technology empowerment. These measures will enhance the willingness of all parties to participate, promote the deep integration of the two sectors, and facilitate industrial transformation, upgrading, and high-quality development.
文章引用:唐娟, 高舒燚, 张慧君. 数字经济时代政府推动生产性服务业与先进制造业融合发展研究——基于演化博弈视角[J]. 电子商务评论, 2025, 14(12): 4555-4570. https://doi.org/10.12677/ecl.2025.14124402

1. 引言

随着数字经济的发展,产业边界日益模糊,产业融合成为必然趋势,是我国产业发展速度提升、结构优化、转型升级的突破口。为此,2019年国家发展改革委等15部门联合印发《关于推动先进制造业和现代服务业深度融合发展的实施意见》,明确提出先进制造业和现代服务业“两业融合”的概念;2020年十九届中央委员会第五次会议通过的《中共中央关于制定国民经济和社会发展第十四个五年规划和二〇三五年远景目标的建议》提到,要推动现代服务业同先进制造业、现代农业等产业深度融合。然而,目前生产性服务业和先进制造业融合发展并不理想,政府如何推动两业融合,实现产业转型升级、经济高质量发展是一个值得探讨的问题。

2. 文献综述

近年来,国内外学者对服务业和制造业融合发展做了大量研究工作,探索出两业融合发展有两条路径。一条是从制造业服务化着手,程巧莲等(2008)指出在客户需求复杂多变和竞争日益激烈的环境下,制造企业服务功能的实现路径应建立在服务功能的内生和外生两个方面上[1];Sklyar等(2019)认为服务化是制造企业运用数字技术重塑服务活动和流程[2];樊瑞莉(2023)认为,制造业服务化能够提升制造业企业的竞争力,需要企业自身、政府和社会的共同推进[3]。另一条是从服务业制造化着手,White等(1999)最早提出服务业制造化现象,认为服务业如同制造业一样大量使用实物产品,实物产品的投入不仅仅局限于制造业[4];肖挺等(2013)使用中国投入产出数据实证得出制造化对服务业绩效具有促进作用,推动服务业的制造化步伐、提升产业的科技含量是行业未来的发展之路[5];郭琳(2021)认为生产性服务业的制造化是以生产性服务业为主导的产业融合,从价值链重构视角提出生产性服务业制造化发展路径[6]。新时期我国经济发展面临的重大课题是实现由制造大国向制造强国的转变,“互联网 + 先进制造业 + 现代服务业”将成为中国经济发展的新引擎。然而,我国两业融合发展并不理想。由于服务业发展速度较慢、发展不均衡(李金华,2020) [7],整体发展滞后制造业(陈元翰,2021) [8],使得两业融合效益不显著(贺灵等,2021) [9],呈现非均衡的相互关联[10]。因此,作为参与各方策略选择具有动态演化特征的产业融合,不少学者运用演化博弈理论探究参与各方策略动态选择对产业融合发展的影响。刘嘉琳等(2020)以东北地区战略性新兴产业与传统产业融合发展为现实基础,构建传统产业与战略性新兴产业的动态演化博弈模型,探讨在政府参与下两者融合发展的内在机理[11];张尔涛等(2023)通过分析传统高碳产业和清洁绿色产业融合发展的内在机理,构建传统高碳产业和清洁绿色产业的动态演化博弈模型,探讨在政府参与下二者融合发展的具体路径[12]

综上,国内外学者对生产性服务业与先进制造业融合发展的研究已取得了较为丰硕的成果。然而,运用三方演化博弈研究生产性服务业与先进制造业融合发展鲜为少见。基于此,本文以政府、生产性服务企业和先进制造企业为研究对象,构建三方演化博弈模型的收益矩阵,通过对各方及系统的稳定策略分析,探寻数字经济时代三方在博弈过程中最优策略的选择及影响因素,并运用Matlab进行仿真分析,从而给政府推动产业融合发展提供依据和参考。

3. 基本假设和收益矩阵

3.1. 三方关系图

本文讨论的参与产业融合的主体包括政府、生产性服务企业和先进制造企业。政府作为政策的发布者直接对生产性服务企业和先进制造业企业的产业融合决策产生影响,同时生产性服务企业和先进制造企业会根据政府政策制定相应策略,因此,三方在相互影响过程中将找到最优策略组合,最终达到系统均衡。据此,本文构建政府、生产性服务企业和先进制造企业的三方演化博弈模型,其关系见图1

Figure l. Tripartite relationship diagram

1. 三方关系图

3.2. 基本假设

本文构建三方演化博弈模型旨在探讨最优演化路径,以获得最佳多方产业融合策略的组合。为此,提出如下假设:

假设1:博弈三方均是有限理性,即博弈三方都只知道在博弈过程中的部分信息,不了解可能出现的全部信息;博弈三方对于风险偏好都属于风险中性型;三方均可采取两种策略,政府策略集合 ∈ (积极激励,简单激励),生产性服务企业策略集合 ∈ (积极参与,简单参与),先进制造企业策略集合 ∈ (积极参与,简单参与)。

假设2:政府采取积极激励策略的概率为x,简单激励策略的概率为 1x x( 0,1 ) 。政府初始收益为 R 1 ;政府简单激励时,激励成本为U;政府积极激励时,为推动产业融合会增加投入 aU ( a 的取值范围有待思考?),这时的激励成本为 ( 1+a )U ,社会收益为 L ;当两企业简单时,政府监管成本为 D ,当两企业积极参与时,政府的监管成本为 D

假设3:生产性服务企业采取积极参与策略的概率为 y ,简单参与策略的概率为 1y y( 0,1 ) 。生产性服务企业初始收益为 R 2 ;政府简单激励时,生产性服务企业产业融合成本为 C 1 ,取得政府对积极参与产业融合的补贴为 mU ;政府积极激励时,生产性服务企业产业融合成本减少为 a 1 C 1 ( 0< α 1 <1 ),取得政府对积极参与产业融合的补贴为 m( 1+a )U

假设4:先进制造企业采取积极参与策略的概率为 z ,简单参与策略的概率为 1z z( 0,1 ) 。先进制造企业初始收益为 R 3 ;政府简单激励时,先进制造企业产业融合成本为 C 2 ,取得政府对积极参与产业融合的补助为 nU ;政府积极激励时,先进制造企业产业融合成本减少为 α 2 C 2 ( 0< α 2 <1 ),取得政府对积极参与产业融合的补贴为 n( 1+a )U

假设5:由于数字经济时代产业数字化使得产业融合效率提高,因此,政府、生产性服务企业及先进制造企业均选择积极参与产业融合时,可获得整体收益为 V ,其中三者获得的收益比例依次为 i 3 i 1 i 2 ( i 1 + i 2 + i 3 =1 );政府选择简单激励而两企业选择积极参与时,可获得整体收益为 V ( V> V ),其中三者获得的收益比例依次为 i 3 i 1 i 2 ( i 1 + i 2 + i 3 =1 i 3 > i 3 )。

3.3. 收益矩阵

基于以上假设,根据三主体行为互动影响及相应利益关系可以得到演化博弈模型的收益矩阵,见表1

Table 1. The payoff matrix of the tripartite evolutionary game model

1. 三方演化博弈模型的收益矩阵

先进制造企业

生产性服务企业

政府

积极激励

x

简单激励

1x

积极参与

z

积极参与

y

R 1 ( 1+a )U D + i 3 V+L

R 2 +m( 1+a )U α 1 C 1 + i 1 V

R 3 +n( 1+a )U α 2 C 2 + i 2 V

R 1 U D + i 3 V

R 2 +mU C 1 + i 1 V

R 3 +nU C 2 + i 2 V

简单参与

1y

R 1 ( 1+a )UD+L

R 2 +m( 1+a )U

R 3 +n( 1+a )U α 2 C 2

R 1 UD

R 2 +mU

R 3 +nU C 2

简单参与

1z

积极参与

y

R 1 ( 1+a )UD+L

R 2 +m( 1+a )U α 1 C 1

R 3 +n( 1+a )U

R 1 UD

R 2 +mU C 1

R 3 +nU

简单参与

1y

R 1 ( 1+a )UD+L

R 2 +m( 1+a )U

R 3 +n( 1+a )U

R 1 UD

R 2 +mU

R 3 +nU

4. 模型构建及稳定性分析

4.1. 政府的策略稳定性分析

对政府来说,选择积极激励的期望收益为 E x1 ,选择简单激励的期望收益为 E x2 ,平均期望收益为 E x ¯ ,分别为:

E x1 =yz[ R 1 ( 1+a )U D + i 3 V+L ]+y( 1z )[ R 1 +( 1+a )UD+L ] +( 1y )z[ R 1 +( 1+a )UD+L ]+( 1y )( 1z )[ R 1 ( 1+a )UD+L ]

E x2 =yz( R 1 U D + i 3 V )+y( 1z )( R 1 UD )+( 1y )z( R 1 UD ) +( 1y )( 1z )( R 1 UD )

E x ¯ =x E x1 +( 1x ) E x2

则政府策略选择的复制动态方程为:

F( x )= dx dt =x( E x1 E x ¯ )=x( 1x )( E x1 E x2 )=x( 1x )[ aU+L+yz( i 3 V i 3 V ) ] (1)

由复制动态方程稳定性定理知:

1) 当 y= y * = aUL z( i 3 V i 3 V ) 时, F( x )=0 ,表明x取任何值均为稳定状态,政府策略均为稳定策略。

2) 当 y y * 时,令 F( x )=0 ,则 x=0 x=1 两点是稳定状态,此时分为两种情况:

1>y> y * >0 时, dF( x ) dx | x=1 <0 dF( x ) dx | x=0 >0 ,此时 x=1 是演化稳定点,表明生产性服务企业的产业融合积极性高到一定程度时,积极激励是政府的最优策略。因为生产性服务企业的积极参与对政府产生一定的激励,所以政府在衡量激励成本、监管成本与经济收益、社会收益后选择积极激励策略,即出台激励政策推动产业融合。

0<y< y * <1 时, dF( x ) dx | x=1 >0 dF( x ) dx | x=0 <0 ,此时 x=0 是演化稳定点,表明生产性服务企业的产业融合积极性低到一定程度时,简单激励是政府的最优策略。因为政府补贴和监管成本难以从经济收益和社会效益中收回,所以政府选择采取简单激励策略。

政府策略演化过程见图2

y= aUL z( i 3 V i 3 V ) y> aUL z( i 3 V i 3 V ) y< aUL z( i 3 V i 3 V )

Figure 2. Government strategy evolution diagram

2. 政府策略演化图

4.2. 生产性服务业企业的策略稳定性分析

对生产性服务业企业来说,选择积极参与的期望收益为 E y1 ,选择简单参与的期望收益为 E y2 ,平均期望收益为 E y ¯ ,分别为:

E y1 =zx[ R 2 +m( 1+a )U α 1 C 1 + i 1 V ]+z( 1x )( R 2 +mU C 1 + i 1 V ) +( 1z )x[ R 2 +m( 1+a )U α 1 C 1 ]+( 1z )( 1x )( R 2 +mU C 1 )

E y2 =zx[ R 2 +m( 1+a )U ]+z( 1x )( R 2 +mU )+( 1z )x[ R 2 +m( 1+a )U ] +( 1z )( 1x )( R 2 +mu )

E y ¯ =y E y1 +( 1y ) E y2

则生产性服务企业策略选择的复制动态方程为:

F( y )= dy dt =y( E y1 E y ¯ )=y( 1y )( E y1 E y2 )=y( 1y )[ zx( i 1 V i 1 V )+z i 1 V +x( C 1 α 1 C 1 ) C 1 ] (2)

由复制动态方程稳定性定理知:

1) 当 z= z = C 1 x( C 1 α 1 C 1 ) x( i 1 V i 1 V )+ i 1 V 时, F( y )=0 ,表明y取任何值均为稳定状态,生产性服务企业策略均为稳定策略。

2) 当 z z * 时,令 F( y )=0 ,则 y=0 y=1 两点是稳定状态,此时分为两种情况:

1>z> z * >0 时, dF( y ) dy | y=1 <0 dF( y ) dy | y=0 >0 ,此时 y=1 是演化稳定点,表明先进制造企业的产业融合积极性高到一定程度时,积极参与是生产性服务企业的最优策略。因为先进制造企业的融合意愿较强,通常生产性服务企业会给予积极回应,因此两方的协作会降低融合成本,从而进一步提高融合意愿;同时,政府积极激励会降低融合成本、提高融合收益,这也会令其趋于融合。

0<z< z * <1 时, dF( y ) dy | y=1 <0 dF( y ) dy | y=0 >0 ,此时 y=0 是演化稳定点,表明先进制造企业的产业融合积极性低到一定程度时,简单参与是生产性服务企业的最优策略。因为先进制造业企业的融合意愿不强,所以也会随之减弱生产性服务企业的融合意愿。

生产性服务企业策略演化过程见图3

z= C 1 x( C 1 α 1 C 1 ) x( i 1 V i 1 V )+ i 1 V z> C 1 x( C 1 α 1 C 1 ) x( i 1 V i 1 V )+ i 1 V z< C 1 x( C 1 α 1 C 1 ) x( i 1 V i 1 V )+ i 1 V

Figure 3. Evolution of strategies for productive service enterprises

3. 生产性服务企业策略演化图

4.3. 先进制造业企业的策略稳定性分析

对生产性服务业企业来说,选择积极参与的期望收益为 E z1 ,选择简单参与的期望收益为 E z2 ,平均期望收益为 E z ¯ ,分别为:

E z1 =yx[ R 3 +n( 1+a )U α 2 C 2 + i 2 V ]+y( 1x )[ R 3 +nU C 2 + i 2 V ] +( 1y )x[ R 3 +n( 1+a )U α 2 C 2 ]+( 1x )( R 3 +nU C 2 )

E z2 =yx[ R 3 +n( 1+a )U ]+y( 1x )( R 3 +nU )+( 1y )x[ R 3 +n( 1+a )U ] +( 1y )( 1x )( R 3 +nU )

E z ¯ =z E z1 +( 1z ) E z2

则先进制造企业策略选择的复制动态方程为:

F( z )= dz dt =z( E z1 E z ¯ )=z( 1z )( E z1 E z2 )=z( 1z )[ xy( i 2 V i 2 V )+x( C 2 α 2 C 2 )+y i 2 V C 2 ] (3)

由复制动态方程稳定性定理知:

1) 当 x= x * = C 2 y i 2 V α 2 C 2 + C 2 +y( i 2 V i 2 V ) 时, F( z )=0 ,表明z取任何值均为稳定状态,先进制造企业策略为稳定。

2) 当 x x * 时,令 F( z )=0 ,则 z=0 z=1 两点是稳定状态,此时分为两种情况:

1>x> x * >0 时, dF( z ) dz | z=1 <0 dF( z ) dz | z=0 >0 ,此时 z=1 是演化稳定点,表明政府积极激励高到一定程度时,积极参与是先进制造企业的最优策略。因为在政府积极激励下,先进制造企业考虑到参与融合带来的收益和融合成本的降低,所以参与融合的积极性提高,会趋向于选择积极参与策略。

0<x< x * <1 时, dF( z ) dz | z=1 >0 dF( z ) dz | z=0 <0 ,此时 z=0 是演化稳定点,表明政府积极激励低到一定程度时,简单参与是先进制造业的最优策略。因为在政府简单激励下,先进制造企业所能获得的融合收益下降、融合成本没有降低,在一定程度上打击了其参与融合的积极性,所以参与融合的意愿不强,会趋向于选择简单参与策略。

先进制造企业策略演化过程见图4

x= C 2 y i 2 V α 2 C 2 + C 2 +y( i 2 V i 2 V ) x> C 2 y i 2 V α 2 C 2 + C 2 +y( i 2 V i 2 V ) x< C 2 y i 2 V α 2 C 2 + C 2 +y( i 2 V i 2 V )

Figure 4. Evolution of advanced manufacturing enterprise strategies

4. 先进制造企业策略演化图

4.4. 系统稳定性分析

将式(1)、式(2)和式(3)联立,得到一个政府、生产服务型企业和先进制造企业的三维复制动态方程系统:

{ F( x )=x( 1x )[ aU+L+yz( i 3 V i 3 V ) ] F( y )=y( 1y )[ zx( i 1 V i 1 V )+z i 1 V +x( C 1 α 1 C 1 ) C 1 ] F( z )=z( 1z )[ xy( i 2 V i 2 V )+x( C 2 α 2 C 2 )+y i 2 V C 2 ] (4)

根据李雅普诺夫稳定性理论,系统在平衡点出的渐进稳定性可通过分析系统雅克比矩阵的特征值来判断,对该系统求得雅克比矩阵如下:

J=[ dF( x ) dx dF( x ) dy dF( x ) dz dF( y ) dx dF( y ) dy dF( y ) dz dF( z ) dx dF( z ) dy dF( z ) dz ] =[ ( 12x )[ aU+L+yz( i 3 V i 3 V ) ] x( 1x )[ z( i 3 V i 3 V ) ] x( 1x )[ y( i 3 V i 3 V ) ] y( 1y )[ ( 1 α 1 ) C 1 +z( i 1 V+ i 1 V ) ] ( 12y )[ x( α 1 C 1 )( 1x ) C 1 +zx i 1 Vz( 1x ) i 1 V ] y( 1y )[ x i 1 V( 1x ) i 1 V ] z( 1z )[ ( 1 α 2 ) C 2 +y( i 2 V+ i 2 V ) ] z( 1z )[ x i 2 V( 1x ) i 2 V ] ( 12z )[ y( α 2 C 2 )( 1y ) C 2 +xy i 2 Vx( 1y ) i 2 V ] ]

鉴于多群体演化博弈复制动态系统的渐进稳定解必为严格的纳什均衡解,因此,除了E1 (0, 0, 0),E2 (1, 0, 0),E3 (0, 1, 0),E4 (0, 0, 1),E5 (1, 1, 0),E6 (1, 0, 1),E7 (0, 1, 1),E8 (1, 1, 1)这8个点以外,其余都不是渐进稳定状态。将8个均衡点分别代入雅克比矩阵,得到各均衡点所对应的雅克比矩阵特征值,如表2所示。

依据演化博弈理论,满足雅克比矩阵的所有特征值都为负数时的均衡点为复制动态方程系统的演化稳定点(ESS)。为了分析各均衡点所对应特征值的符号且不失一般性,按常理来说,政府积极激励时,生产性服务企业的融合成本小于融合收益(即 α 1 C 1 + i 1 V>0 ),先进制造企业的融合成本小于融合收益(即 α 2 C 2 + i 2 V>0 )。由此得到各均衡点的渐进稳定性见表2

Table 2. Jacobian matrix eigenvalues and asymptotic stability of equilibrium points

2. 雅可比矩阵特征值及均衡点渐进稳定性

均衡点

特征值1

特征值2

特征值3

渐进稳定性

E 1 ( 0,0,0 )

aU+L

C 1 <0

C 2 <0

未知

E 2 ( 1,0,0 )

aUL

α 1 C 1 <0

C 2 i 2 V <0

未知

E 3 ( 0,1,0 )

aU+L

C 1 >0

α 2 C 2 <0

不稳定

E 4 ( 0,0,1 )

aU+L

C 1 i 1 V <0

C 2 >0

不稳定

E 5 ( 1,1,0 )

aUL

α 1 C 1 >0

α 2 C 2 + i 2 V>0

不稳定

E 6 ( 1,0,1 )

aUL

α 1 C 1 + i 1 V>0

C 2 + i 2 V >0

不稳定

E 7 ( 0,1,1 )

aU+L+ i 3 V i 3 V

C 1 + i 1 V >0

α 2 C 2 >0

不稳定

E 8 ( 1,1,1 )

aUL i 3 V+ i 3 V

α 1 C 1 i 1 V<0

α 2 C 2 i 2 V<0

未知

表2可知,该复制动态系统有三种演化稳定状态。当 aU+L<0 (即 aU>L )时, E 1 ( 0,0,0 ) 是唯一均衡点,即演化策略为(简单激励,简单参与,简单参与)。此时,政府采取积极激励措施的激励成本增量小于其所获得的社会效益,两企业初期融合收益小于融合成本,因此政府和两企业都不会选择积极参与融合。当 aUL (即 aU<L )时, E 2 ( 1,0,0 ) 是唯一均衡点,即演化策略为(积极激励,简单参与,简单参与)。此时,政府采取积极激励措施的激励成本增量大于其所获得的社会效益,两企业的融合成本有所下降,但是企业并不会选择积极参与,只有当融合收益足够大的时候才会选择积极参与融合。当 aUL i 3 V+ i 3 V <0 时, E 8 ( 1,1,1 ) 是唯一的均衡点,即演化策略为(积极激励,积极融合,积极融合)。此时,政府成本增量小于其收益增量,两企业均获取高于成本且更大的利益,因此三方都选择积极参与融合,这是三方共同推动产业融合的理想模式。

5. 数值仿真模拟分析

为更直观地展现模型的演化路径及策略选择之间的影响,本文根据数字经济时代江苏省生产性服务企业与先进制造企业融合发展实际情况,设置模型参数的初始值,运用Matlab软件对演化博弈模型进行数值仿真分析。

模型参数的初始值设置为:当政府采取简单激励策略时,激励成本 U=10 ,生产性服务企业融合成本 C 1 =3 ,先进制造企业融合成本 i 3 =0.3 ,此时,因政府简单参与产业融合,产业融合创造的经济总收益 V =20 ,生产性服务企业、先进制造企业和政府的利益分配系数为 i 1 =0.4 i 2 =0.4 i 3 =0.2 ;当政府采取积极激励策略时,激励成本的增加系数 a=0.5 ,获得的社会效益 L=4 ,生产性服务企业融合成本下降系数 α 1 =0.6 ,先进制造企业融合成本下降系数 α 2 =0.6 ,此时,因政府积极参与产业融合,三方协同积极推进产业融合创造的经济总效益 V=40 ,生产性服务企业、先进制造企业和政府的利益分配系数为 i 3 =0.2 i 2 =0.3 i 3 =0.3

5.1. 三方参与意愿对产业融合的演化影响

在产业融合初期,三方参与意愿是产业融合的有效影响因素。三方参与意愿不仅互相影响,还对最终的演化结果产生影响。较高的参与意愿会促进系统快速演化至理想均衡状态;较低的参与意愿则会导致系统演化至不理想的均衡点。

假设三方初始参与意愿相同(即x = y = z),对三方参与意愿依次赋值为0.1,0.2,0.3,0.41,0.42,0.5,0.7,0.9。图5是三方意愿同时变化对产业融合演化结果的影响。由图5(a)可知,三方的初始意愿的临界值在0.41~0.42之间。当初始意愿xyz都小于临界值时(图5(b)),xyz都收敛于0,最终平衡点趋向于(0, 0, 0),即演化策略为(简单激励,简单参与,简单参与),此时三方都不会积极参与产业融合。随着三方初始参与意愿增大,当初始意愿xyz都大于临界值时(图5(c)),xyz都收敛于1,最终平衡点趋向于(1, 1, 1),即演化策略为(积极激励,积极参与,积极参与)。

仿真结果表明,当三方意愿都处于较低水平时,三方参与意愿都在不断下降,政府参与意愿下降最慢,而出于市场因素和企业的利益性质,生产性服务企业和先进制造企业参与意愿下降速度较快,其中先进制造企业意愿下降速度快于生产性服务企业。当三方意愿都处于中高等水平时,三方参与意愿都处于上升状态,此时政府的参与意愿上升得最慢,而企业由于嗅到了利益的味道,上升速度较快,其中生产性服务企业参与意愿增速快于先进制造企业。这是由于政府无论何时都期望出现产业融合的局面,当参与意愿较低时政府会不断地出台政策鼓励产业融合,企业则由于低水平的预期利益放弃参与融合。而当参与意愿较高时,政府无需采取更多措施来鼓励企业融合,企业看到更多的预期收益,因此更加积极地参与产业融合。

这反映了协调博弈的特征。在低意愿状态下,任何一方单独改变策略都无法获得额外收益,形成“低水平均衡陷阱”,而高意愿状态下,协同参与带来的正外部性(如成本下降、收益提升)促使系统向高水平均衡演化。

(a) (b)

(c)

Figure 5. Impact of simultaneous changes in active participation willingness (x, y, z)

5. 积极参与意愿(x, y, z)同时变化的影响

5.2. 政府参与意愿对演化结果的影响

在其他条件不变的情况下,政府初始参与意愿x变化影响两企业参与产业融合的演化见图6。由图6(a)可看出,政府初始参与意愿x的临界值在0.24~0.25之间。当x小于临界值时,最终平衡点收敛于(0, 0, 0),此时x的增加使yz的收敛速度减缓,且z的收敛速度大于y;当x大于临界值时,最终平衡点收敛于(1, 1, 1),此时x的增加使yz的收敛速度加快,且y的收敛速度大于z

仿真结果表明,随着政府意愿的增强,生产性服务企业和先进制造企业的参与意愿逐渐强烈,且生产性服务企业的参与意愿更加趋向于融合。这是由于生产性服务业作为嵌入式行业,更希望迎来产业融合局面,以扩大自身利益。但生产性服务企业和先进服务企业因为市场行为影响,受利益变动影响较大,在政府参与意愿不强时,意愿也会随之下降。

政府作为政策制定者和激励主体,其行为具有信号效应。高意愿传递出政策持续性与资源投入的承诺,降低企业参与的不确定性,从而激发企业尤其是服务型企业的“搭便车”动机减弱,主动融入融合生态。

5.3. 政府激励成本调整对产业融合的演化影响

政府的总激励成本由两部分构成,一是政府的直接激励成本,二是当政府积极激励时,激励成本的增加系数。

政府的激励成本是和企业利益目标较为相关的因素之一,政府给予的财政补贴变化时,由于政府的

(a) (b)

(c)

Figure 6. The impact of participation intention (x) on evolutionary results

6. 参与意愿(x)对演化结果的影响

补贴直接影响了企业的预期收益,企业的参与意愿也会随着激励成本发生变化。由图7可知,政府基础激励成本U的临界值为17~18;当U大于阈值17~18之间时,最终平衡点收敛于(0, 0, 0)。U的增多使得yz趋于0的速度减慢,y趋于0的速度小于z。反之,当U小于阈值17~18之间时,最终平衡点收敛于(1, 1, 1)。U的增大使得yz趋于1的速度加快,y趋于1的速度大于z。当政府积极激励时,激励成本增加系数的变化也会影响系统的演化结果。

图8(a)可知,政府激励成本增加系数a存在临界值0.8~0.9。当a大于阈值0.8~0.9时,最终平衡点收敛于(0, 0, 0),a的增大使得yz趋于0的速度减慢,y趋于0的速度小于z;当a小于阈值0.8~0.9时,最终平衡点收敛于(1, 1, 1),a的增大使得yz趋于1的速度加快,y趋于1的速度大于z

结合图7(b)图8(b)的仿真结果表明,由于拨出成本过多,政府的参与意愿会逐渐降低,而企业一开始由于政府的大量拨款,参与意愿增强,随着政府的意愿逐渐降低,进而生产性服务企业和先进制造企业的参与意愿最终也降低为0。当激励成本不超过临界值时,政府拨出激励成本越高,企业参与意愿趋于1的速度越快。这是因为激励成本直接转化为企业的利益,成为企业产业融合的预期利益之一,牵动着企业走向融合。由此可见,激励成本的大小影响了演化速度的快慢。政府激励成本增加系数对系统演化的影响原理同激励成本相类似。当激励成本增加系数大于临界值时,政府选择积极激励策略时拨款过多,政府的参与意愿逐渐降低,企业的参与意愿一开始因为较大的激励补贴变大,随后又因为政府的参与意愿降低而逐渐趋于零;反之,若政府将激励成本增加系数控制在合理范围内的较大值,则政府的资金周转进入良性循环,同时也将加快产业融合的速度。

(a) (b)

Figure 7. The impact of government incentive costs on evolution

7. 政府激励成本对演化的影响

(a) (b)

Figure 8. The impact of government incentive cost increase coefficient on evolution

8. 政府激励成本增加系数对演化的影响

5.4. 政府融合成本调控对产业融合的演化影响

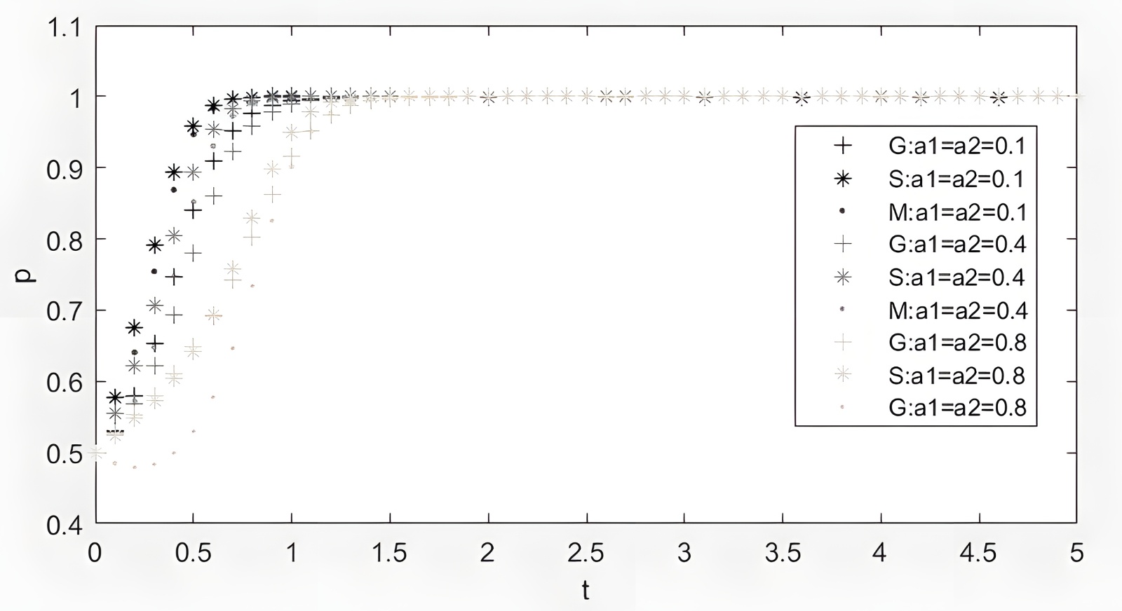
企业融合成本的大小对企业的策略选择构成了影响,政府可以通过将大数据背景代入产业融合,融资政策来降低企业贷款门槛,减少企业贷款利息等手段减少企业的融合成本。当政府积极激励时,生产性服务企业和先进制造企业的融合成本由原来的C1C2减少为a1C1a2C2图9可知,假设a1 = a2

Figure 9. The impact of government regulation and integration cost reduction coefficient on evolution

9. 政府调控融合成本减少系数对演化的影响

a1a2较高时,xyz趋于1的速度较慢。随着a1a2的降低,xyz趋于1的速度也随之加快。生产性服务企业参与意愿的收敛速度最快,随着a1a2由高到低,先进制造企业参与意愿的收敛速度逐渐快于政府参与意愿。

仿真结果表明,政府积极激励时,可以通过各种手段减少企业的融合成本,企业融合成本越低,企业的参与意愿越强。这是因为企业的预期成本降低了,企业参与融合时的净收益也提高了,并且一定程度上缓解了企业经营现金流的稳定,企业顾虑减少,因而,企业参与的意愿增加。

这体现了成本–收益权衡机制。当政府激励成本过高,其净收益下降,倾向于“简单激励”;而企业若感知到融合成本高于预期收益,则选择“简单参与”。反之,成本控制提升了各方净收益,推动系统向理想状态演化。

5.5. 政府收益分配系数调动对产业融合的演化影响

收益是对于产业融合三方的最为重要的指标之一,很大程度上决定了三方参与意愿的趋势。当三方协同参与融合时,政府从创造的经济效益中分得利益i3V,在不改变其他条件的情况下,改变政府利益分配系数i3将会对演化结果产生影响。由图10(a)图10(b)可知,i3存在临界值0.72~0.73。当i3大于阈值0.72~0.73时,最终平衡点收敛于(0, 0, 0),i3的增大使yz趋于0的速度变快,y趋于0的速度慢于z;当i3小于阈值0.72~0.73时,最终平衡点收敛于(1, 1, 1),i3的增大使yz趋于1的速度变慢,y趋于的速度快于z

当生产性服务企业和先进制造企业两方协同参与融合时,政府从创造的经济效益中分得利益 i 3 V ,在不改变其他条件的情况下,改变政府利益分配系数 i 3 将会对演化结果产生影响。同理,由图10(c)图10(d)可知, i 3 存在临界值0.51~0.52。当 i 3 大于阈值0.51~0.52时,最终平衡点收敛于(0, 0, 0), i 3 的增大时yz趋于0的速度变快,y趋于0的速度慢于z;当 i 3 小于阈值0.51~0.52时,最终平衡点收敛于(1, 1, 1), i 3 的增大时yz趋于1的速度变慢,y趋于1的速度快于z

仿真结果表明,当三方协同参与产业融合时,政府提高从经济效益中分得的利益时,将会降低两中企业参与产业融合的积极性。当政府抽成超过临界值时,政府将会选择积极参与,但是两企业的积极性将会逐渐消退;当政府抽成保持在合理范围内时,降低抽成,将会加快产业融合的速度。这是因为政府此时能够获取可观效益,维持了政府的策略选择,同时政府的让利让更多的企业乐于选择积极参与,从而加快了全行业的产业融合。同理,当生产性服务企业和先进制造企业方协同参与产业融合,政府简单激励时,政府提高从经济效益中分得的利益时,将会降低两中企业参与产业融合的积极性。然而,政府的参与意愿也会逐渐降低,因为当政府并不积极参与也能够从产业融合中获得不错的效益时,会消磨政府积极参与的意愿。

(a)

(b)

(c)

(d)

Figure 10. The impact of changes in the government’s income distribution coefficient on evolution

10. 基于政府的收益分配系数变化对演化的影响

这反映了利益分配公平性对合作稳定性的影响。过高的政府抽成实质上构成了对企业剩余价值的侵占,削弱其参与动机,符合委托–代理理论中激励相容原则的缺失。

6. 结论与建议

6.1. 结论

本文通过构建“政府–生产性服务企业–先进制造企业”的三方演化博弈模型,揭示了在数字经济背景下产业融合的协同演化机制。一方面,本文拓展了演化博弈理论在产业政策研究中的应用边界;另一方面,为理解政府角色从“干预者”向“协调者”转变提供了微观行为基础,是对现有产业融合与政府行为理论的有益补充。研究表明:1) 在产业融合中,政府、生产性制造企业和先进制造企业的策略最终收敛至(积极激励,积极参与,积极参与)。2) 生产性服务企业和先进制造企业对政府参与意愿变化产生的反应较为激烈。政府积极参与意愿能够让整个系统较快地完成演化。3) 政府通过扩大激励产业融合支出或者减少企业产业融合成本,可以更快地达成产业融合局面。但是,政府支出必须控制在可以接受的范围内,否则政府将采用简单激励策略,最后导致产业融合无法维持。4) 政府向企业让利时,会增强企业参与产业融合意愿,能够较大程度地打开产业融合局面。但是,一旦政府投入少而取得多,政府将趋于选择简单激励策略,使得产业融合创造的经济效益降低。

6.2. 建议

基于上述研究结论,本文提出数字经济时代政府推动生产性服务业与先进制造业融合发展的具体建议:

1) 动态优化政策工具箱,破除“低意愿陷阱”。政府应建立“产业融合意愿监测与响应机制”,实时评估企业与自身的参与意愿。一旦监测到意愿水平接近临界值,应立即启动“政策助推包”,如临时性提高激励补贴、组织标杆企业对接会、发布融合成功案例等,旨在短期内提升各方预期,打破“低意愿陷阱”。

2) 精准设定激励成本区间,避免“政策空转”与“财政超载”。政府财政部门应联合产业部门,基于本地产业基础与财力状况,测算并设定激励成本的“安全区间”与“警戒线”。建立“激励成本动态评估模型”,确保实际投入在促进企业参与(使系统向(1, 1, 1)收敛)的同时,不因成本过高(aU > L)而导致政府策略反转,陷入(1, 0, 0)的“政策空转”状态。

3) 系统化降低融合成本,提升企业净收益感知。政府将降低融合成本作为核心政策抓手,主要降低三大融合成本:第一,降低融资成本,可设立“两业融合专项信贷支持工具”,提供贴息贷款,降低企业的C1C2;第二,降低税收成本,对参与融合的企业实施“融合业务税收抵扣”政策,直接提升其净收益;第三,降低数字转型成本,可推广普惠性“上云用数赋智”服务,通过政府采购降低企业数字化门槛,有效降低a1C1a2C2

4) 建立收益分配的协商与调整机制,实现激励相容。政府摒弃固定的、高比例的抽成模式,应推动建立“政企收益共享协商平台”,在项目初期设定基于绩效的、浮动的收益分配方案。在确保政府在融合收益中的实际分成比例低于上述临界值,从而最大化企业的参与激励。

5) 强化数字经济赋能,放大协同收益规模。政策应聚焦于做大“收益蛋糕”。重点推动工业互联网平台、行业大数据中心等数字基础设施的建设与开放,为跨行业数据互通、业务协同提供技术底座。通过举办“数字经济 + 产业融合”创新大赛、支持共性技术研发等方式,直接提升模型中的整体收益V,使得各方在积极参与下都能获得远超成本的回报,从而稳固(1, 1, 1)的理想均衡。

基金项目

江苏高校哲学社会科学研究重大项目(2020SJZDA080)。

参考文献

[1] 程巧莲, 田也壮. 制造企业服务功能演变与实现路径研究[J]. 科研管理, 2008, 29(6): 59-64, 73.
[2] Sklyar, A., Kowalkowski, C., Tronvoll, B. and Sörhammar, D. (2019) Organizing for Digital Servitization: A Service Ecosystem Perspective. Journal of Business Research, 10, 450-460. [Google Scholar] [CrossRef
[3] 樊瑞莉. 制造业服务化的动因、障碍及促进策略研究[J]. 对外经贸, 2023, 343(1): 18-21.
[4] White, A.L., Stoughton, M. and Feng, L. (1999) Servicizing: The Quiet Transition to Extended Product Responsibility. Tellus Institute.
[5] 肖挺, 刘华. 中国服务业制造化的产业绩效分析[J]. 软科学, 2013, 27(8): 15-19.
[6] 郭琳. 基于价值链重构的生产性服务业制造化路径研究[J]. 中国物价, 2021(3): 18-21.
[7] 李金华. 中国生产性服务业的结构、布局与前景[J]. 东南学术, 2020(5): 93-103, 246.
[8] 陈元翰. 服务业与制造业深度融合高质量发展探究[J]. 商业经济研究, 2021(7): 184-187.
[9] 贺灵, 陈治亚. “两业”融合对制造业价值链攀升的影响及对策探讨[J]. 理论探讨, 2021(6): 125-131.
[10] 王文静. 山东省现代服务业与先进制造业动态关系及融合水平测度研究[J]. 生产力研究, 2025(7): 55-60.
[11] 刘嘉琳, 汤吉军. 东北地区战略性新兴产业与传统产业融合发展研究——基于动态演化博弈模型分析[J]. 经济问题探索, 2020, 460(11): 95-104.
[12] 张尔涛, 赵公民, 武勇杰. 传统高碳产业与清洁绿色产业融合发展动态演化博弈研究[J]. 煤炭经济研究, 2023, 43(2): 32-37.