基于顾客需求重要度的电商平台功能与服务优化策略研究
Research on Function and Service Optimization Strategies for E-Commerce Websites Based on the Importance of Customer Demands
摘要: 电商平台提升核心竞争力的关键是提升用户体验,而提升用户体验的关键是优化网站的功能或服务,在这一过程中精准识别顾客需求尤为重要。针对传统方法在电商场景下过于主观、忽视顾客需求关联性等问题,本文提出一种基于链路预测的综合决策方法。首先,利用犹豫模糊DEMATEL计算出顾客需求间的影响,并构建有向带权网络,然后采用加权LeaderRank算法在该网络上进行随机游走,依据顾客需求重要度的量化结果,为电商平台功能改进与服务升级提供了明确的分层策略与资源配置建议。以一个典型购物网站的15项顾客需求为例进行实证分析,结果表明:本方法不仅能有效融合专家经验与需求关联的客观数据,还能使顾客满意度高的需求获得更高的重要度,从而为电商企业在资源有限的情况下进行精准的功能改进与服务升级提供了科学的决策依据。
Abstract: The key to enhancing the core competitiveness of e-commerce platforms is to improve user experience, and the key to improving user experience is to optimize website functions or services. Accurately identifying customer needs is particularly important in this process. This paper proposes a comprehensive decision-making method based on link prediction to address the issues of traditional methods being too subjective and neglecting customer demand correlation in e-commerce scenarios. Firstly, using hesitant fuzzy DEMATEL to calculate the impact between customer needs, a directed weighted network is constructed. Then, the weighted LeaderRank algorithm is used to perform random walks on the network. Based on the quantitative results of customer demand importance, clear hierarchical strategies and resource allocation suggestions are provided for the improvement of e-commerce platform functions and service upgrades. Taking 15 customer needs of a typical shopping website as an example for empirical analysis, the results show that this method can not only effectively integrate objective data related to expert experience and needs, but also give higher importance to needs with high customer satisfaction, thus providing a scientific decision-making basis for e-commerce enterprises to make precise functional improvements and service upgrades in resource limited situations.
文章引用:汤翥, 秦江涛. 基于顾客需求重要度的电商平台功能与服务优化策略研究[J]. 电子商务评论, 2025, 14(12): 4969-4980. https://doi.org/10.12677/ecl.2025.14124451

1. 引言

随着全球电子商务市场的持续扩张与竞争日益加剧,在线购物平台的成功愈发依赖于不断优化平台的优化功能与服务从而提升用户体验。然而,限于人力、物力等各种资源的约束,企业无法对所有的功能与服务都大刀阔斧地进行改进。由于电子商务环境的虚拟性、交互性与实时性,使得顾客的满意度与忠诚度直接受到网站功能、服务质量及用户体验等多维度需求的复杂影响,因此,通过精准识别顾客的需求并对相应的功能与服务进行优化是企业合理分配有限资源的最优途径。在此背景下,如何从海量且相互关联的顾客反馈中,科学量化各需求的重要度,并将有限的设计与运营资源进行精准、高效的配置,已成为电商企业提升核心竞争力所面临的关键挑战。

现有的对电商企业的功能或服务优化研究大体可分为三类。第一类是通过研究部分服务或功能对顾客满意度或忠诚度的影响来分析该服务或功能的优劣。陈土霞等[1]通过分析人工智能推荐对消费者在线购买意愿的影响,发现人工智能推荐的奢侈品和必需品均对消费者在线购买意愿具有显著作用;陈璐等[2]利用SERVQUAL量表和LSQ模型分析了经济性、及时性等服务对顾客满意度的影响,发现仅经济性对顾客满意度无显著影响;冯润榴等[3]考察了服装电商企业中心流体验对于顾客购买意愿的影响,发现能显著促进消费者的购买意愿。此类方法能深入分析不同服务或功能对于顾客的购买意愿是否有影响,但只能分析这些功能或服务的“好坏”,无法分析它们之间的“优劣”。第二类是通过战略分析来制订功能或服务优化策略。王珂[4]对电子商务企业物流服务的创新优化进行了综合分析并提出了如定价合理化等数项创新优化策略;晋新焕[5]通过对农村物流配送进行SWOT分析从而提出了农村电商物流配送的四项优化建议;陈洁等[6]通过深入分析电子商务背景下皮革制品市场营销所出现的一系列变化,探讨了目标客户营销策略制定方法。此类方法大多为定性探讨,可以深入分析多项需求因素从而制定功能或服务的优化策略,但却过于主观,缺乏定量分析也会使结论难以具备说服力。第三类是以需求为基础定量分析电商企业的优化方向。史晓丹等[7]结合AHP确定顾客需求和QFD法建立了一个使顾客满意度最大化的电商服务质量模型,在众多方案中确定了能使顾客满意度达到0.8的方案;周娟[8]以天猫商城为例,将顾客需求分为4个维度进行考察,得出商家特性处于劣势状态,最应改进。此类研究目前较少,并且大多都存在着忽视顾客需求关联性、忽视顾客的近期反馈等问题。

综上所述,对于电商购物网站功能与服务的优化,过往研究都存在着过于主观、忽视顾客需求关联性等若干问题。基于此,本文提出一种融合了犹豫模糊DEMATEL与加权LeaderRank算法的综合决策方法:通过犹豫模糊DEMATEL处理专家在评价顾客需求影响关系时的模糊性与不确定性,以克服传统方法在语义转化中的信息损失问题,然后采用加权LeaderRank算法在构建的需求影响网络上进行随机游走,从而捕捉需求的间接影响,克服了传统方法忽略网络间接效应的局限,同时以Kano模型获取顾客对需求的敏感度,并将其作为背景边权重引入LeaderRank算法,使高满意度影响的需求在重要度计算中获得更高关注。所提方法在信息完整性、抗主观偏差能力与动态网络效应捕捉方面均具有显著优势,更适合电商环境中多源、模糊、关联性强的顾客需求分析场景,从而可以精准获取顾客需求重要度,并通过重要度的高低来分层级对电商平台功能和服务优化提出对策。通过一个针对典型购物网站的实证研究,验证了本方法能够帮助电商企业更科学、更动态地识别关键需求,从而为网站功能改进与服务体系优化提供精准的决策支持。

2. 基于犹豫模糊DEMATEL的顾客需求相互影响关系确定

2.1. 犹豫模糊集和犹豫模糊语义评价

定义1 [9]:设所有可能得评价语义组成的集合 S={ s 0 , s 1 ,, s g } ,则称 S 为一个语义术语集合。若 H s S 一个的有序子集,则称 H s 为一个犹豫模糊术语集。

二元语义是一种有效的语义词计算方法,可以将语义术语转化为数字,从而对语义数据进行计算。一般用二元语义组 ( s i , a i ) 来表达评价信息,其中 s i 表示 S 中的一个语言评价等级, α i [ 0.5,0.5 ) 表示语言评价信息相对于 s i 的偏差。

定义2 [9] β[ 0,g ] 表示语义术语集 S 集结后得到的结果,则 β 可由函数 Δ 表示为二元语义符号:

Δ:[ 0,g ]S×[ 0.5,0.5 ) Δ( β )=( s i , α i )={ s i ,i=round( β ) α i =βi, α i [ 0.5,0.5 ) (1)

其中 round 为取整算子, α 为符号转移值。

反之,若 ( s i , a i ) 为一个二元语义信息,则可用反函数 Δ 1 将该信息转换为实数 β

Δ 1 :S×[ 0.5,0.5 )[ 0,g ] Δ 1 ( s i , a i )=i+ α i =β (2)

定义3 s i 为一个语言评价等级,则其二元语义可通过转换函数 ψ 得到:

ψ:SS×[ 0.5,0.5 ) ψ( s i )=( s i ,0 ), s i S (3)

通过定义3,模糊语义评价 { s i , s j , }( s i , s j S ) 可以转化为二元语义表达形式 { ( s i ,0 ),( s j ,0 ), } ,然后再通过定义2转化为结果数值 { i,j, } ,从而可以进行本文后续的计算。

2.2. 基于粗糙思想的犹豫模糊语义评价

本文通过粗糙集来处理量化后的语义信息[10]。除数据集合外,粗糙集无需提供任何先验信息,因此在对问题不确定性的处理时更能保持信息的客观性。

假设 U 是评价信息表中所有对象组成的论域,共分为 n 个类, n 个类组成集合为 R={ C 1 , C 2 ,, C n } ,且 C 1 < C 2 << C n ,则对于 C i R( 1in ) C i 的下近似域定义为:

Apr _ ( C i )={ YU|R( Y ) C i } (4)

C i 的上近似域定义为:

Apr ¯ ( C i )={ YU|R( Y ) C i } (5)

Lim _ ( C i ) Lim ¯ ( C i ) 分别定义为 C i 的下限和上限:

Lim _ ( C i )= 1 M L R( Y ) |Y Apr _ ( C i ) (6)

Lim ¯ ( C i )= 1 M U R( Y ) |Y Apr ¯ ( C i ) (7)

式中 M L M U 分别表示 C i 在下近似域和上近似域中对象的数量。

根据式(4)~式(7), R 中的元素可转变为粗糙数

C i [ Lim _ ( C i ), Lim ¯ ( C i ) ] (8)

采用粗糙集方法可以将 Δ 1 ( H s ( θ i ) ) 转化为区间数集合 { [ Lim _ ( l i ), Lim ¯ ( l i ) ],[ Lim _ ( l j ), Lim ¯ ( l j ) ], } ,再通过算数平均法转集结为区间数 [ N i _ , N i ¯ ]

假设 ω i 为第 i 个专家的权重,则 { H s ( θ 1 ),, H s ( θ i ),, H s ( θ n ) } 的群决策结果为:

Δ 1 ( H θ )=[ i=1 n ω i × N i _ , i=1 n ω i × N i ¯ ] (9)

上式通过粗糙集上下近似计算,将多个专家的区间评价集结为统一的粗糙数,避免了人为设定权重的主观偏差,增强了群决策的客观性。

2.3. 基于犹豫模糊DEMATEL顾客需求影响度确定

本文采用犹豫模糊DEMATEL法确定顾客需求之间的非对称性影响度,具体步骤如下:

步骤1构造并量化顾客需求的直接关联矩阵。

假设顾客需求为 C i ( i=1,2,,m ) ,同时有 n 个专家 E k ( k=1,2,,n ) ,其权重集合为 { ω k |k=1,2,,n } 。第 k 个专家采用HFLTS对顾客需求间的相互影响关系进行评价,得到顾客需求直接关联矩阵:

H R k =[ h r 11 k h r 1m k h r m1 k h r mm k ] (10)

式中 h r ij k 表示第 k 位专家对顾客需求 C i 与顾客需求 C j 的关联程度评价语义术语集合,若 C i C j 无关联性或当 i=j 时则取0。

采用式(1)~式(3)对 H R k 的各元素 h r ij k 进行语义量化,得到 Δ 1 ( h r ij k ) ,然后采用所提基于粗糙集概念的群决策方法计算对应的粗糙数 Δ 1 ( h r ij k )=[ h r ij k _ , h r ij k ¯ ]

当所有的专家评价完成后,应用式(9)将所有专家的评价信息进行集结,于是可以得到最终的顾客需求关联矩阵为:

R=[ r 11 r 1m r m1 r mm ] (11)

式中 r ij =[ i=1 n ω i × r ij k _ , i=1 n ω i × r ij k ¯ ]=[ r ij _ , r ij ¯ ]

步骤2顾客需求直接关联矩阵归一化。

设归一化后的矩阵为 X ,则通常基于矩阵 R 各行向量元素之和的最大值对其进行归一化[11]

X= R max 1im ( j=1 m r ij ¯ ) (12)

步骤3计算顾客需求综合影响矩阵。

将归一化后的矩阵 X 按上下限分解为 X _ = ( x ij _ ) n×n , X ¯ = ( x ij ¯ ) n×n ,令 t ij =[ t ij _ , t ij ¯ ] 为顾客需求 C i 对顾客需求 C j 的综合影响程度,则综合影响矩阵 T= [ t ij ] n×n 可用式(13)计算[12]

T _ = [ t ij _ ] n×n = N _ ( 1 N _ ) 1 T ¯ = [ t ij ¯ ] n×n = N ¯ ( 1 N ¯ ) 1 (13)

步骤4顾客需求影响度精确化。

为了精确获得顾客需求之间的影响程度,将粗糙影响度转化为精确值,具体步骤如下[13]

(1) 归一化处理

t ij _ = t ij _ min 1i,jm t ij _ Δ min max t ij ¯ = t ij ¯ min 1i,jm t ij _ Δ min max (14)

式中 Δ min max = max 1i,jm t ij ¯ min 1i,jm t ij _

(2) 计算精确值 t ij p

t ij p = min 1i,jm t ij _ + λ ij Δ min max (15)

式中 λ ij = ( t ij ¯ ) 2 ( t ij _ ) 2 + t ij _ t ij ¯ t ij _ +1

3. 基于加权LeaderRank算法的顾客需求重要度确定

通过上文式(15)可以获得顾客需求 i 对顾客需求 j 的影响程度 t ij p ,因此,我们可以获得顾客需求最终影响矩阵

T p =[ t 11 p t 1m p t m1 p t mm p ] (16)

将最终影响矩阵 T p 视为邻接矩阵,矩阵中的元素视为权重,即可构建一个顾客需求组成的有向带权网络,顾客需求 C i ( i=1,2,,m ) 构成网络中的节点,顾客需求间的影响关系构成网络的带权边。

LeaderRank作为PageRank算法的改进,通过在网络中增加一个背景节点,并将该节点与网络中所有其他节点进行双向连接,从而确保了整个网络的强连通性,具有更强的解释性,因此本文通过LeaderRank算法来获取节点的重要度。

传统LeaderRank算法在初始时刻给所有背景节点以外其余节点的LR值设为1,背景节点的LR值设为0,则经过以下的迭代过程直到稳态[14]

{ L R i ( t )= j=1 m+1 a ji k j out L R j ( t1 ) L R i ( 0 )=1,ij;L R g ( 0 )=0 (17)

式中: L R i ( t ) 表示第 i 个节点在 t 步迭代后的 LR 值; a ji 表示邻接矩阵的元素,如果存在从节点 j 指向节点 i 的边,则 a ji =1 ,否则 a ji =0 k j out 表示节点 j 的出度。

式(17)仅适用于无权网络,对式(17)邻接矩阵的元素进行改动即可获得加权LeaderRank算法的迭代公式:

{ WL R i ( t )= j=1 m+1 w ji k j out WL R j ( t1 ) WL R i ( 0 )=1,ij;WL R g ( 0 )=0; w gi = w ig =1,i=1,2,,m (18)

式中 w ji 为节点 j 指向节点 i 的边权重,在本文为顾客最终需求影响度 t ji p k j out = i=1 m+1 w ji 为节点 j 的出强度; w gi = w ig =1 表示与背景节点相连的所有边的权重为1。

在现实中,顾客需求本身就会有不同的重要性,顾客对于一些关键的需求较为敏感而对于一些非关键需求则并不在意,因此在计算时应使这些关键需求获得更高的关注性。本文通过给予背景边不同的边权重 w gi k 来赋予一些节点更高的重要度,如式(19)所示:

{ WL R i ( t )= j=1 m+1 w ji k j out WL R j ( t1 ) WL R i ( 0 )=1,ij;WL R g ( 0 )=0; w gi = w gi k , w ig =1,i=1,2,,m (19)

其中 w gi k 表示由背景节点指向节点 i( i=1,2,,m ) 的边权重,可以使顾客满意度高的需求在随机游走中获得更高关注度,从而在最终重要度中体现顾客导向。本文由Kano法确定,具体步骤如下:

(1) 建立标准的正反问题Kano问卷,并对合适的调研人群发放形如表1的KANO问卷,然后根据用户对每个需求正反问题的回答组合,参照如表2的Kano评价表,确定该用户眼中该需求的初步类别。其中:A、O、M、I、R、Q分别表示魅力需求、期望需求、必备需求、无差异需求、反向需求和可疑结果。

Table 1. KANO questionnaire

1. KANO问卷

顾客需求

顾客评价

满意

必须这样

无所谓

可以忍受

不满

可以实现

不能实现

Table 2. KANO design measurement evaluation

2. KANO设计度量评价

顾客需求

反向问题

满意

必须这样

无所谓

可以忍受

不满

正向问题

满意

Q

A

A

A

O

必须这样

R

I

I

I

M

无所谓

R

I

I

I

M

可以忍受

R

I

I

I

M

不满

R

R

R

R

Q

(2) 计算A、O、M、I、R在用户对需求 i 中的比重,分别记为 A i O i M i I i R i ,然后通过式(20)、(21)确定用户满意度提升率 B i 和满意度下降率 W i ,最后通过式(22)确定顾客需求的边权重 w gi k [15]

B i = A i + O i A i + O i + M i + I i (20)

W i =( 1 ) O i + M i A i + O i + M i + I i (21)

w gi k =max( B i j=1 m B j , W i j=1 m W j ) (22)

假设经过式(19)迭代 t 轮后,节点 i 在相邻迭代轮次的分数之差小于一个很小的正数 ε (如106),此时认为算法收敛,并将背景节点的 LR 值平分给其余每个节点,于是得到节点 j 的最终 LR 得分:

L R i final =L R i ( t )+ L R N+1 ( t ) N (23)

式中: L R i final 表示节点 i 的最终得分; L R i ( t ) 表示节点 i 在收敛后的得分; L R N+1 ( t ) 表示背景节点在收敛后的得分; N 表示原始节点的总数。

最后,将各个顾客需求的得分归一化,得到最终的顾客需求重要度。

4. 案例分析

4.1. 顾客需求重要度确定

某电商企业邀请5位具备10年以上电商平台运营或用户体验研究经验的专家,涵盖平台运营、产品设计、用户研究、数据分析和售后服务五个专业方向,通过深度用户访谈获取顾客需求描述,然后采用KJ法得出初始顾客需求,经多轮讨论与合并归类,最终提炼出15项具有代表性和可操作性的核心顾客需求为:商品质量(C1)、商品价格(C2)、商品信息全面(C3)、商品种类多样(C4)、发货效率高(C5)、退换货效率高(C6)、用户信息和财产安全(C7)、客服服务态度好(C8)、网站内容全面(C9)、搜索功能全面(C10)、系统操作方便(C11)、购物页面清晰(C12)、个性化服务(C13)、付款方便(C14)、用户评价真实(C15)。由5位专家组成的决策组采用语义评价变量{s0:很低、s1:低、s2:较低、s3:一般、s4:较高、s5:高、s6:很高}分别对顾客需求进行两两比较,将重要度结果采用犹豫模糊语义术语集表达,然后通过式(1)~式(3)对语义进行量化,结果如表3所示。

Table 3. Semantic evaluation quantification value

3. 语义评价量化值

C1

C2

C14

C15

E1

C1

0

{5, 6}

{0, 1}

{1, 2}

C2

{2, 3, 4}

0

{0, 1}

{1, 2}

C14

{0, 1}

{0, 1}

0

{0}

C15

{4, 5, 6}

{2, 3}

{0}

0

E5

C1

0

{4, 5}

{0}

{0, 1}

C2

{4, 5, 6}

0

{0}

{1, 2, 3}

C14

{0, 1}

{0}

0

{0}

C15

{4, 5}

{3, 4}

{0}

0

然后,采用所提基于粗糙思想犹豫模糊语义对专家评价信息进行转化,假设每个专家的权重相等,则得到顾客需求初始关联矩阵如表4所示。

按式(12)将上述矩阵归一化,然后通过式(13)和式(14)计算得到顾客需求综合影响矩阵,如表5所示。

Table 4. Initial correlation matrix of customer needs

4. 顾客需求初始关联矩阵

C1

C2

C14

C15

C1

0

[4.453, 5.367]

[0.113, 0.562]

[0.627, 1.786]

C2

[3.468, 5.058]

0

[0.267, 1.013]

[1.055, 2.179]

C14

[0.406, 1.289]

[0.178, 0.667]

0

[0.017, 0.250]

C15

[4.213, 5.343]

[2.872, 4.128]

[0.017, 0.250]

0

Table 5. Comprehensive impact matrix of customer needs

5. 顾客需求综合影响矩阵

C1

C2

C14

C15

C1

0

[0.311, 0.341]

[0.012, 0.035]

[0.028, 0.061]

C2

[0.215, 0.307]

0

[0.085, 0.146]

[0.032, 0.077]

C14

[0.106, 0.254]

[0.029, 0.043]

0

[0.009, 0.036]

C15

[0.289, 0.401]

[0.153, 0.206]

[0.011, 0.103]

0

通过式(14)和式(15)将顾客需求的粗糙影响度转化为精确影响度,获得顾客需求最终影响矩阵,如表6所示。

根据实际需要设计Kano问卷,包括顾客需求可以实现和不能实现下的满意度评价,受访对象为最近有购物网站购物经验的顾客。共发放150份问卷,其中有效问卷128份。样本中女性占比较多,约为55%,年龄集中在18~40岁。问卷的统计结果与如满意度提升率 B i 和满意度下降率 W i 表7所示。

Table 6. Customer demand ultimately affects the matrix

6. 顾客需求最终影响矩阵

C1

C2

C14

C15

C1

0

0.339

0.018

0.056

C2

0.230

0

0.101

0.098

C14

0.201

0.029

0

0.061

C15

0.422

0.210

0.015

0

Table 7. Kano customer demand results

7. Kano顾客需求结果

A

O

M

I

R

Bi

Wi

C1

27

28

41

32

0

42.969

−53.906

C2

30

24

35

39

0

42.188

−46.094

C14

18

22

49

39

0

31.250

−55.469

C15

15

35

45

33

0

39.063

−62.500

于是可由式(22)求得顾客需求的满意度 w gi k ( i=1,2,,15 ) 为(0.072, 0.075, …, 0.05, 0.08)。根据加权LeaderRank算法,以顾客需求为节点,表6得出的顾客需求影响度为边权重建立有向网络,将所得满意度作为背景边权重代入式(19)进行迭代计算,将结果归一化后得出顾客需求的最终重要度为:(0.125, 0.085, 0.097, 0.091, 0.062, 0.073, 0.091, 0.065, 0.061, 0.052, 0.045, 0.021, 0.032, 0.041, 0.061)。

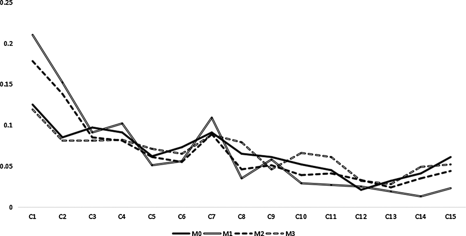
为说明所提方法的有效性,按照原始数据分别以1~9标度法、普通犹豫模糊DEMATEL以及不引入差异化的背景边权重下加权LeaderRank算法的顾客需求重要度,分别用M1、M2和M3表示,M0表示本文方法计算出的顾客需求重要度。计算结果对比如图1所示。

图1可知,1~9标度法仅依赖专家主观打分,忽略了需求间的相互影响与顾客满意度反馈,导致C1、C2等高主观感知需求权重被过度放大,而使一些不怎么重要的需求的权重进一步降低,导致最终结果的差异较大;普通犹豫模糊DEMATEL则在一定程度上可以降低由专家主观性造成的需求重要度的较大差异,同时可以处理模糊语义,然而忽视了需求间的间接关联性,因此需求间的差异起伏仍然较为明显;加权LeaderRank算法引入了网络传播机制,在计算顾客需求重要度时考虑了其他需求的间接影响,因此如C1、C2的部分需求的重要度大幅降低,而C10、C11等需求的重要度提升,需求间的重要度差异更为平稳;而本文的方法在M3基础上引入Kano权重,于是可以在上述基础上使顾客满意度高的需求获得更高的重要度。可见,本文方法可以实现专家判断、网络关联和顾客满意三者的有效结合,并能使顾客满意度影响到最终的顾客需求重要度。

Figure 1. Comparison of customer demand importance calculated by different methods

1. 不同方法计算顾客需求重要度对比

4.2. 基于需求重要度的电商平台优化策略分析

首先,资源应重点集中于核心突破领域(权重 > 0.09),企业应对于该领域的每一项顾客需求都投入较多的技术与管理资源(约50%),以构建平台的差异化竞争优势。其中,“商品质量”(C1, 0.125)作为权重最高的需求,是建立信任的基石,应建立严格的商家审核与商品溯源体系,并引入第三方质检,将“正品保障”作为核心品牌承诺。紧随其后的“商品信息全面”(C3, 0.097)是消除信息不对称的关键,应推行标准化的详情页模板,鼓励高清实拍与视频展示,若VR技术成熟也可考虑开发VR沉浸式体验的功能。“用户信息安全”(C7, 0.091)需在技术上强化加密与风控,在宣传上突出安全认证,并考虑提供账户安全险,增强用户交易信心。同时,“商品种类多样”(C4, 0.091)要求平台采取“宽SKU+深库存”策略,既要拓展品类广度,也要利用数据分析深耕核心与长尾需求。

其次,对于重点优化领域(权重0.06~0.09),企业投入的资源须确保能够持续的迭代优化,从而实现持续改进以保障基础体验与口碑,投入资源约占30%。“商品价格”(C2, 0.085)策略应灵活,利用大数据实现动态定价并推行价格保护机制,聚焦“性价比”而非单纯低价。“退换货效率高”(C6, 0.073)是售后体验的核心,应简化流程,大力推广“上门取件”和“极速退款”服务,将售后从成本中心转化为信任中心。“客服服务态度”(C8, 0.065)需通过标准化培训与考核来提升,并搭配智能客服分流常规咨询。“用户评价真实”(C15, 0.061)则需通过风控模型打击刷单炒信,同时激励用户发出带图视频的优质评价,维护内容生态的公信力。

最后,对于维持与监控领域(权重 < 0.06),企业只需以保持行业基准为主即可,目标是在维持行业平均水平的基础上寻求低成本优化,不必投入过多资源(约20%)。诸如“发货效率”(C5, 0.062)和“付款方便”(C14, 0.041)已成为基础服务,只需确保与优质物流商合作、覆盖主流支付方式即可。“网站内容”(C9, 0.061)与“系统操作”(C11, 0.045)保持稳定流畅更为重要,可进行微调而非大规模改版。而“搜索功能”(C10, 0.052)与“个性化服务”(C13, 0.032)属于“锦上添花”型需求,当前阶段只需确保搜索引擎精准并实现基础算法推荐,无需投入过量资源。

5. 结束语

顾客需求重要度的科学计算,是将“顾客之声”转化为电商平台功能与服务优化策略的关键环节。本文针对传统方法在电商场景下过于主观、忽视顾客需求关联性等问题,提出了一种融合犹豫模糊DEMATEL与加权LeaderRank算法的综合决策方法。该方法不仅能够处理专家评价中的模糊性与不确定性,更能通过构建有向带权网络捕捉需求间的复杂影响关系,并融入顾客满意度数据,从而实现需求重要度的精准计算。基于此方法计算得出的需求权重,本文将需求划分为“核心突破”、“重点优化”与“维持监控”三大类,从而提出分层级、可操作的功能与服务优化建议。从而使企业能够清晰地规划资源投入的优先次序,将有限的人力、物力与财力集中于对用户体验和满意度提升最为关键的需求上,从而实现资源配置效率与效果的最大化。

本文的研究同样存在一些局限性。首先,顾客需求和功能服务并非简单的一对一关系,以顾客需求的重要度来确定优化策略可能会错乱它们之间的优先级;此外,对于不同品类的电商商品(如服装、家具等),它们的顾客需求重要度应当是不一样的。未来将针对不同品类商品研究如何构建顾客需求与功能服务的关系,从而确定功能服务的重要度。

参考文献

[1] 陈土霞, 张帆. 人工智能推荐对消费者在线购买意愿的影响——基于顾客感知质量的中介效应[J]. 时代经贸, 2023, 20(6): 42-47.
[2] 陈璐. 后疫情时代某宝物流服务顾客满意度影响因素研究[J]. 中国市场, 2023(11): 185-188.
[3] 冯润榴, 曲洪建. 基于心流体验的电子商务网站质量对消费者服装购买意愿的影响[J]. 武汉纺织大学学报, 2023, 36(4): 67-76.
[4] 王珂. 电子商务企业的物流服务创新优化研究[J]. 现代商业研究, 2025(1): 28-30.
[5] 晋新焕. 农村电商物流配送优化探究[J]. 农业经济, 2021(7): 125-127.
[6] 陈洁, 赵彦, 李颀. 电子商务平台下皮革制品营销策略研究[J]. 中国皮革, 2025, 54(7): 136-139, 145.
[7] 史晓丹, 陈晓, 温德成. 以顾客需求为导向的电子商务服务质量优化研究[J]. 标准科学, 2016(7): 64-73, 78.
[8] 周娟. 基于顾客需求的B2C电子商务网站满意度评价研究[D]: [硕士学位论文]. 南昌: 南昌大学, 2018.
[9] Martinez, L. and Herrera, F. (2000) A 2-Tuple Fuzzy Linguistic Representation Model for Computing with Words. IEEE Transactions on Fuzzy Systems, 8, 746-752. [Google Scholar] [CrossRef
[10] Zhai, L., Khoo, L. and Zhong, Z. (2009) A Rough Set Based QFD Approach to the Management of Imprecise Design Information in Product Development. Advanced Engineering Informatics, 23, 222-228. [Google Scholar] [CrossRef
[11] 高沛然, 卢新元. 基于区间数的拓展DEMATEL方法及其应用研究[J]. 运筹与管理, 2014(1): 44-50.
[12] Taylan, O., Bafail, A.O., Abdulaal, R.M.S. and Kabli, M.R. (2014) Construction Projects Selection and Risk Assessment by Fuzzy AHP and Fuzzy TOPSIS Methodologies. Applied Soft Computing, 17, 105-116. [Google Scholar] [CrossRef
[13] Song, W., Ming, X. and Liu, H. (2017) Identifying Critical Risk Factors of Sustainable Supply Chain Management: A Rough Strength-Relation Analysis Method. Journal of Cleaner Production, 143, 100-115. [Google Scholar] [CrossRef
[14] Lü, L., Zhang, Y., Yeung, C.H. and Zhou, T. (2011) Leaders in Social Networks, the Delicious Case. PLOS ONE, 6, e21202. [Google Scholar] [CrossRef] [PubMed]
[15] 周红宇, 王嘉伦. 基于Kano-QFD的适老化卫浴产品设计研究[J]. 包装工程, 2023, 44(4): 150-157.