脉冲热成像涂层测厚的仿真与实验研究
Simulation and Experimental Research on Coating Thickness Measurement by Pulsed Thermal Imaging
摘要: 本文通过COMSOL物理场仿真,系统分析了涂层厚度、基底厚度、涂层材料及基底材料四个关键参数对涂层表面温度场的独立影响机制,揭示了各因素对热传导过程的作用机理。实验上利用脉冲光源辐照待测样品,并基于100~203 μm厚度范围的聚氨酯漆涂层训练集,提取其中心区域温度的时序数据建立多项式厚度测量模型,并利用独立测试集开展盲样验证,实现了平均预测准确率大于95%的涂层厚度无损检测。
Abstract: This article uses COMSOL for physical field simulation. The independent influence mechanisms of four key parameters, namely coating thickness, substrate thickness, coating material, and substrate material, on the surface temperature field of the coating were systematically analyzed. It reveals the mechanism of each factor’s influence on the heat conduction process. In the experiment, the sample to be tested was irradiated by a pulsed light source. Based on the training set of polyurethane paint coatings with a thickness range of 100~203 μm, the time series data of the central area temperature were extracted to establish a polynomial thickness measurement model. A blind sample verification was conducted using an independent test set, achieving an average prediction accuracy of more than 95% for non-destructive coating thickness measurement.
文章引用:周靖泽, 徐立君. 脉冲热成像涂层测厚的仿真与实验研究[J]. 建模与仿真, 2026, 15(1): 9-18. https://doi.org/10.12677/mos.2026.151002

1. 引言

涂层作为产品的保护层,作用有抗氧化、防静电和防腐蚀等等。红外热成像无损检测技术基于涂层和基底在厚度或材料上的差异会引起表面温度场变化的特性,用于分析涂层–基底结构。其在船舶、汽车工业、电子工业以及石油化工等领域得到广泛应用。主动式红外无损检测按激励方式可分为锁相红外热成像(LIT)、脉冲红外热成像(PT)和激光扫描红外热成像(LST)三类。相较于LIT与LST,PT具备更高的检测效率和更小的相对测量误差。

近年来,脉冲红外热成像技术已成为国内外的研究热点,相关成果不断涌现。Zhen Huang研究证实涂层厚度越大,二阶导数最小值对应的时间就越晚,并利用该时间与 L 2 /α 的线性关系反演涂层厚度,基于长脉冲热源建立了可实现涂层厚度大面积快速检测的方法[1]。S. Mezghani以短脉冲激光作为热源,研究了中心区域温度从峰值降至其四分之一所需的时长随涂层厚度的变化规律,仿真分析了涂层的厚度变化对光源加热时样品内部热传导过程的影响[2]。Lukas Muzika仿真分析了涂层厚度和涂层材料对表面温度场的影响,系统性地评估了闪蒸脉冲热成像技术对不同热喷涂工艺涂层的定量厚度检测能力,并达到了10微米量级的检测灵敏度[3]。Chiwu Bu建立了热传导问题模型,将涂层厚度作为唯一变量,研究了脉冲红外热成像技术结合模拟退火算法对热障涂层厚度进行定量反演,通过最小化计算与实测温度残差完成厚度反演,实现了小于10%的测量相对误差[4]。Lijun Zhuo在仿真中建立了一维热传导模型,考虑了涂层厚度对表面温度场的影响,研究了基于最大半升温时间的特征提取算法,提出了一种基于长脉冲透射热成像技术的方法,实现了对双层结构涂层厚度的精确测量[5]。Qingju Tang建立了涂层结构中脉冲热成像的三维热传导模型,分析了涂层厚度对表面温度场的影响。并研究了对比度算法,通过缺陷区与无缺陷区的表面温差归一化值评估涂层厚度的不均匀性,对涂层厚度不均匀的碳化硅涂层高温合金试件进行了脉冲红外热成像实验[6]

上述研究在仿真方面只考虑了涂层厚度和涂层材料对表面温度的影响,普遍采用“相同基底厚度 + 固定基底材料”的简化假设。然而,在实际测量过程中基底材料的多样化与基底厚度的差异均会显著影响热传导过程。基于这一问题,本文通过COMSOL仿真,系统分析了四个关键因素(涂层厚度、基底厚度、涂层材料、基底材料)对表面温度场的独立影响机制。实验上使用脉冲热源辐照涂层表面,基于100~203 μm厚度范围的聚氨酯漆涂层训练集,通过提取其中心区域温度的时序数据构建了涂层厚度预测模型,并采用盲样测试集验证其测量能力,最终实现了平均预测准确率大于95%的高精度测量。

2. 理论

2.1. 脉冲红外热成像原理

图1所示,脉冲红外热成像无损检测技术使用脉冲光源对涂层表面进行照射,并通过红外相机测量涂层的表面温度,基于涂层和基底在厚度或材料上的差异会引起表面温度场变化的特性,提取数据特征来建立厚度预测模型。

Figure 1. Schematic diagram of pulsed thermal imaging method

1. 脉冲热成像法原理图

涂层表面温度通常由一维形式得出[7]。原因是工程应用中的涂层厚度远小于待测样品的长度和宽度[8] [9]。涂层表面温度场的表达式如下:

T( 0,t )= J 0 πρ c p kt [ 1+2 n=1 R n exp( n 2 L 2 αt ) ] (1)

热反射系数 R 如下:

R= e 1 e 2 e 1 + e 2 (2)

e= ρck (3)

边界换热条件如下:

q=h( T( 0,t ) T ) (4)

其中, T( 0,t ) 表示涂层表面温度, T 表示环境温度, q 表示热流密度, h 表示对流换热系数, J 0 表示初始单位冲量能量, L 表示涂层厚度, R 表示热反射系数, ρ 表示材料密度, c 表示比热容, k 表示热导率, α 表示热扩散系数, e 表示热渗透系数。

由式(2)和(3)可知,当热能从热渗透系数较大的涂层传导至热渗透系数较小的基底时,热反射系数接近1,大部分热能被反射;反之,如本文实验中,当热流从热渗透系数较小的聚氨酯漆涂层传导至热渗透系数较大的铁基底时,热波反射系数近似为−1,绝大部分热能将被基底吸收。表1给出了文中仿真及实验所用材料的热物理性质。

Table 1. Thermal physical properties of materials

1. 材料热物理性质

材料

热导率W/(m∙K)

密度kg/m3

比热容J/(kg∙K)

热扩散系数m2/s

聚氨酯漆

0.15

1150

1300

1.00e−7

环氧树脂

0.2

1200

1000

1.67e−7

混凝土

3

2000

880

1.70e−6

80

7800

460

2.23e−5

27

2700

900

1.11e−5

2.2. 涂层表面温度场仿真

本文运用COMSOL仿真软件,对脉冲红外热成像无损检测中的涂层表面温度场进行建模,分析了涂层厚度、基底厚度、涂层材料与基底材料四个关键参数对表面温度场的独立作用机理。

COMSOL选择固体传热物理场。涂层厚度设为100~203 μm,基底厚度设为1~1.4 mm,涂层材料包含聚氨酯漆、环氧树脂、铝,基底材料包含环氧树脂、混凝土和铁。涂层–基底结构宽度为10 cm,热源功率密度为5000 W/m2,模拟加热时间10 s,帧率100 Hz。上表面对流换热系数设为5 W/m2∙K,下表面对流换热系数为100 W/m2∙K。

3. 实验

3.1. 实验样品

本实验所选样品数量一共为12组,8组作为拟合所用训练集,4组样品作为盲样测试集。样品的尺寸为10 * 15 cm,涂层厚度100 μm到203 μm,材料为聚氨酯漆。基底厚度为1 mm,材料为铁。

3.2. 实验系统搭建

本实验采用脉冲红外热成像技术,实验设备为卤素灯、热像仪和继电器。热像仪帧率100 Hz。两盏功率均为2500 W的卤素灯分别位于样品的左右两侧,距离样品15 cm且呈45˚角入射,热像仪距离样品30 cm且位于待测样品正面。卤素灯加热时间为10 s,并通过时间继电器控制卤素灯,从而达到定时加热的效果。

每组样品重复测量三次,卤素灯和热像仪位置偏差小于1 mm,环境温度在恒温实验室内由空调系统控制在20℃。在实验中,利用热像仪测量聚氨酯漆涂层训练集和盲样测试集样品的表面温度。涂层表面的中心区域受热均匀,因此表面温度取中心10 * 10像素[10] [11]。实验装置如图2所示。

Figure 2. Experimental device diagram

2. 实验装置图

4. 结果与讨论

4.1. 仿真结果分析

4.1.1. 涂层厚度对表面温度的影响

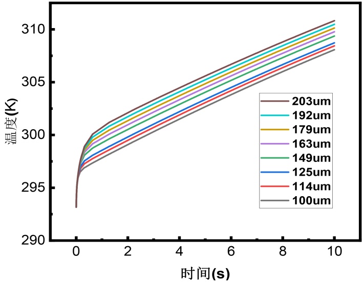
涂层厚度对表面温度场的影响如图3所示。涂层厚度100~203 μm,基底厚度为1 mm,涂层材料为聚氨酯漆,基底为铁。

Figure 3. The influence of coating thickness on surface temperature

3. 涂层厚度对表面温度的影响

图3可知,聚氨酯漆涂层在热激励下的表面温度演变主要呈现三个阶段:快速升温时期、过渡时期及稳定升温时期。快速升温时期表示热量作用于聚氨酯漆涂层表面但尚未抵达界面前的时期。该时期的持续时间与涂层厚度呈正相关——涂层越薄,表面温度越早进入过渡时期,峰值温度越低;反之,涂层越厚,则热量的扩散路径越长,传导至界面所需的时间也越长,热量在涂层表面的累积时间越久,导致快速升温时期的持续时间延长且峰值温度更高。热扩散系数和涂层厚度的关系可类比于速度与路程的关系。过渡时期是指热流抵达界面但是涂层与基底之间的热交换尚未形成动态平衡的时期。因聚氨酯漆涂层的热渗透系数远小于铁基底,热量传导至界面后绝大部分向基底扩散,仅有少量热能被反射回涂层,致使表面升温速率放缓。待涂层–基底系统的热吸收与传导趋于平衡后,涂层表面转入稳定升温时期。

4.1.2. 基底厚度对表面温度的影响

图4表示基底厚度对表面温度的影响。基底厚度范围为1 mm至1.4 mm,涂层厚度为100 μm。涂层材料为聚氨酯漆,基底材料为铁。

Figure 4. The influence of base thickness on surface temperature

4. 基底厚度对表面温度的影响

图4可知,在快速升温时期,所有待测样品的表面温度走向完全一致,不随基底厚度的变化而变化。原因是涂层厚度和涂层材料的一致性会导致热流同时传导至界面。进入稳定升温时期后,基底厚度与涂层的表面温度呈负相关,且不同基底厚度引发的表面温差随观测时长的增加而增加。原因是热能从高温区流向低温区,而基底越厚,升高同等温度所需的热能就越多,因此涂层的表面升温速度随基底厚度的增加而降低。

4.1.3. 涂层材料对表面温度的影响

图5表示涂层材料对表面温度的影响。涂层材料包含聚氨酯漆、环氧树脂和铝,涂层厚度100 μm,基底厚度1 mm,基底材料为铁。

Figure 5. The influence of coating materials on surface temperature

5. 涂层材料对表面温度的影响

图5可知,经过光源辐照后,聚氨酯漆表面温度最高,环氧树脂次之,铝涂层的表面温度最低。聚氨酯漆涂层最晚进入稳定升温阶段,其次是环氧树脂,铝涂层的快速升温阶段则极短。

原因是聚氨酯漆的热扩散系数最小,受到光源照射时,热能在涂层内部的传导速度缓慢,导致热量在表面大量堆积,较晚传导至交界面。环氧树脂的热扩散系数稍大于聚氨酯漆,热流传导至交界面的时间稍早于聚氨酯漆,导致表面温度略低于聚氨酯漆。铝涂层的热扩散系数最大,故而热量快速传导至基底,从而造成较低的表面温度。

4.1.4. 基底材料对表面温度的影响

图6表示基底材料对表面温度的影响。基底材料包含环氧树脂、混凝土和铁,涂层材料为聚氨酯漆。涂层厚度为100 μm,基底厚度为1 mm。

Figure 6. The influence of the base material on the surface temperature

6. 基底材料对表面温度的影响

图6可知,由于涂层条件的一致性,即使基底材料不同,快速升温时期的涂层表面温度仍然保持一致。然而进入稳定升温时期后,涂层表面温度开始出现差异。环氧树脂作为基底时,聚氨酯漆涂层的表面温度上升最快;混凝土作为基底时,涂层表面温度低于环氧树脂;铁作为基底时,表面温度上升最慢。原因是环氧树脂的热渗透系数最小,热量到达交界处时,热反射系数接近1,热能大量反射回涂层;而混凝土的热渗透系数大于环氧树脂,反射的热流少于环氧树脂;铁的热渗透系数最大,大部分热能被基底吸收,造成较低的涂层表面温度。

4.2. 实验结果分析

图7为100微米厚度的聚氨酯漆涂层从开始到10 s加热结束的热像图。

Figure 7. Thermal image of a 100-micron thick polyurethane paint coating

7. 100微米厚度的聚氨酯漆涂层热像图

图7可知,随着光源辐照的持续进行,涂层表面的不同区域开始出现温度差异。主要表现为,左右两侧的边缘温度偏高,上方温度偏低,而中心区域受热相对均匀。

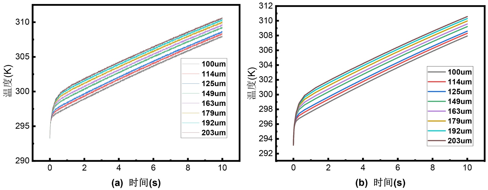
4.2.1. 噪声平滑

高斯滤波公式如下所示:

g( i )= 1 2π σ exp( i 2 2 σ 2 ) (5)

T k,j = i=n n T k,j+ig( i ) (6)

g( i ) 为高斯核, σ 是高斯核标准差,i代表离散位置索引。 T k,j 表示k列第j行的温度。 T k,j 表示滤波后的温度。图8(a)图8(b)分别为聚氨酯漆涂层的训练集滤波前后的表面温度。

Figure 8. Training set coating surface temperature

8. 训练集涂层表面温度

图9(a)图9(b)分别为聚氨酯漆涂层的盲样测试集滤波前后的表面温度。

Figure 9. The coating surface temperature of the test set

9. 测试集涂层表面温度

图8图9可以看出,初期不同厚度涂层的温升规律较为一致。随着加热时间延长,厚度效应逐步显现,表现为快速升温时期的持续时间与表面温度均随涂层厚度的增加而增加。涂层厚度118 μm的样品,快速升温阶段的持续时间仅为0.15 s左右,温度低于180 μm的聚氨酯漆涂层1.7℃;而涂层厚度为203 μm的样品,快速升温的持续时间约为0.64 s,温度高于100 μm的聚氨酯漆涂层2.67℃。原因是涂层越厚,热流传导至界面所需的时间就越长,热量在表面的累积时间越久,从而造成更高的表面峰值温度。

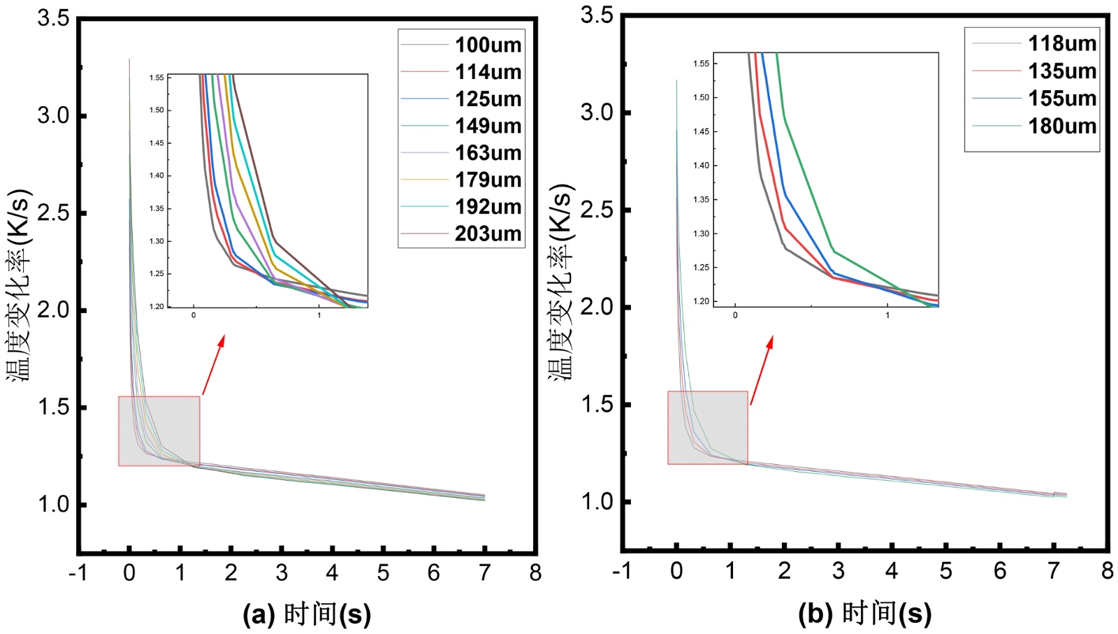
4.2.2. 数据特征提取

特征提取结果是指温度变化率达到规定阈值(阈值取各温度变化率曲线离散程度最大时的值)的时间,即时序数据点。温度变化率公式如下所示:

K r = T r+x T r xΔ (7)

x 表示所取时间步长的数量, Δ 表示时间步长, T r 表示 r 时刻的温度。

图10(a)图10(b)分别表示聚氨酯漆涂层训练集和盲样测试集的温度变化速率。

Figure 10. Temperature change rate graph

10. 温度变化速率图

图10可知,温度变化率为1.38时,曲线之间的离散程度较大。因此取阈值1.38,得出聚氨酯漆涂层的温度特征提取结果。表2表3分别为聚氨酯漆涂层训练集和测试集的温度特征提取结果。

Table 2. Training set temperature feature extraction results

2. 训练集温度特征提取结果

涂层厚度(μm)

100

114

125

149

163

179

192

203

时序数据点

12

16

19

28

32

42

49

54

Table 3. The temperature feature extraction results of the blind test set

3. 盲样测试集温度特征提取结果

涂层厚度(μm)

118

135

155

180

时序数据点

18

26

31

48

4.2.3. 建立厚度测量模型

利用多项式拟合将表2拟合为涂层厚度测量模型,结果如下:

y=5.007 e 5 x 4 6.033 e 3 x 3 +2.224 e 1 x 2 +1.474 e 2 x+78.02 (8)

其中, x 表示时序数据点, y 表示涂层厚度。

4.2.4. 测试集盲样验证

表3数据未参与任何拟合,将其作为盲样测试集代入涂层厚度预测模型式(8)用于计算测试集的涂层厚度,将结果与实际厚度进行对比后可得出模型的相对准确率,如表4所示,平均准确率为95.58%。

Table 4. The model is based on the accuracy rate of thickness measurement using temperature features of the test set

4. 模型基于测试集温度特征测厚的准确率

实际厚度(μm)

118

135

155

180

计算厚度(μm)

120.41

145.59

158.71

189.73

相对准确率

97.95%

92.16%

97.60%

94.60%

5. 结论

本文基于脉冲红外热成像技术,结合COMSOL物理场仿真,系统分析了涂层厚度、基底厚度、涂层材料及基底材料对涂层表面温度场的独立影响机制。实验中基于100~203微米厚度范围的聚氨酯漆涂层训练集,提取其中心区域温度的时序特征并采用多项式拟合方法,建立了多项式厚度预测模型。利用独立测试集开展盲样验证,实现了平均预测准确率大于95%的测量精度,单点最大相对误差小于8%,验证了涂层厚度预测模型的准确性。

NOTES

*通讯作者。

参考文献

[1] Huang, Z., Zhu, J., Zhuo, L., Li, C., Liu, C., Hao, W., et al. (2022) Non-Destructive Evaluation of Uneven Coating Thickness Based on Active Long Pulse Thermography. NDT & E International, 130, Article ID: 102672. [Google Scholar] [CrossRef
[2] Mezghani, S., Perrin, E., Vrabie, V., Bodnar, J.L., Marthe, J. and Cauwe, B. (2016) Evaluation of Paint Coating Thickness Variations Based on Pulsed Infrared Thermography Laser Technique. Infrared Physics & Technology, 76, 393-401. [Google Scholar] [CrossRef
[3] Muzika, L., Švantner, M., Houdková, Š. and Šulcová, P. (2021) Application of Flash-Pulse Thermography Methods for Quantitative Thickness Inspection of Coatings Made by Different Thermal Spraying Technologies. Surface and Coatings Technology, 406, Article ID: 126748. [Google Scholar] [CrossRef
[4] Bu, C., Tang, Q., Liu, Y., Yu, F., Mei, C. and Zhao, Y. (2016) Quantitative Detection of Thermal Barrier Coating Thickness Based on Simulated Annealing Algorithm Using Pulsed Infrared Thermography Technology. Applied Thermal Engineering, 99, 751-755. [Google Scholar] [CrossRef
[5] Zhuo, L., Liu, C., Zhou, J., Zhu, J., Li, C. and Fernández López, A. (2024) Thickness Evaluation of Organic Coating Using Active Long-Pulse Transmission Thermography. Infrared Physics & Technology, 142, Article ID: 105516. [Google Scholar] [CrossRef
[6] Tang, Q., Liu, J., Dai, J. and Yu, Z. (2017) Theoretical and Experimental Study on Thermal Barrier Coating (TBC) Uneven Thickness Detection Using Pulsed Infrared Thermography Technology. Applied Thermal Engineering, 114, 770-775. [Google Scholar] [CrossRef
[7] Ma, Y., Xu, W., Qi, J., Yang, X., Feng, L., Li, X., et al. (2024) Photothermal Measurement of Material Properties for Translucent Thermal Barrier Coatings. NDT & E International, 148, Article ID: 103245. [Google Scholar] [CrossRef
[8] Zhang, J., Meng, X. and Ma, Y. (2016) A New Measurement Method of Coatings Thickness Based on Lock-In Thermography. Infrared Physics & Technology, 76, 655-660. [Google Scholar] [CrossRef
[9] Unnikrishnakurup, S., Dash, J., Ray, S., Pesala, B. and Balasubramaniam, K. (2020) Nondestructive Evaluation of Thermal Barrier Coating Thickness Degradation Using Pulsed IR Thermography and Thz-Tds Measurements: A Comparative Study. NDT & E International, 116, Article ID: 102367. [Google Scholar] [CrossRef
[10] Morimoto, T., Ogawa, Y., Sakata, T., Shiozawa, D. and Sakagami, T. (2024) Improvement of Anticorrosion Coating Thickness Measurement Using Multi-Wavelength Lock-In Infrared Data Processing. Infrared Physics & Technology, 140, Article ID: 105363. [Google Scholar] [CrossRef
[11] Sakata, T., Kishigami, S., Ogawa, Y., Arima, N., Nishitani, M., Shiozawa, D., et al. (2023) Quantitative Assessment of Heavy-Duty Anticorrosion Coating Thickness via Near-Infrared Measurements. NDT & E International, 138, Article ID: 102893. [Google Scholar] [CrossRef