考虑平台努力的制造商直播模式选择研究
Research on Manufacturer’ s Decision on Live-Streaming Mode Considering Platform Efforts
DOI: 10.12677/mse.2026.151009, PDF, HTML, XML,    科研立项经费支持
作者: 石晨丽:同济大学经济与管理学院,上海
关键词: 双渠道供应链网红直播店铺自播平台努力Dual-Channel Supply Chain Influencer Live-Streaming Store Self-Broadcasting Platform Effort
摘要: 本文基于直播电商的发展背景,研究了制造商在双渠道供应链中面对不同销售模式与直播模式时的最优决策问题。构建了包含代理与转售两种销售模式以及网红直播与店铺自播两种直播形式的四种情景,分析了平台佣金率、网红佣金率及渠道竞争强度对价格、努力水平和各方利润的影响。研究结果表明:(1) 在代理模式下,平台与网红努力水平存在替代效应,适度的佣金能促进平台推广,但过高的佣金会抑制网红激励;(2) 在转售模式下,制造商可通过批发价调节应对佣金上升,平台利润呈现先升后降趋势,存在最优佣金区间;(3) 网红佣金较高时制造商倾向采用网红直播,而在平台佣金较高或高竞争环境下更偏好店铺自播。
Abstract: Based on the development background of live-streaming e-commerce, this paper studies the optimal decision-making problem for manufacturers in a dual-channel supply chain when facing different sales models and live-streaming modes. Four scenarios are constructed, including two sales models (agency and resale) and two live-streaming forms (influencer live-streaming and store self-streaming), analyzing the effects of platform commission rates, influencer commission rates, and channel competition intensity on prices, effort levels, and profits of all parties. The results show that: (1) under the agency model, there is a substitutive effect between platform and influencer effort levels; moderate commissions can promote platform promotion, but excessively high commissions can suppress influencer incentives; (2) under the resale model, manufacturers can adjust wholesale prices to cope with rising commissions, with platform profits showing a rise-then-fall trend, indicating the existence of an optimal commission range; (3) when influencer commissions are high, manufacturers tend to adopt influencer live-streaming, whereas under high platform commissions or highly competitive environments, they prefer store self-broadcasting.
文章引用:石晨丽. 考虑平台努力的制造商直播模式选择研究[J]. 管理科学与工程, 2026, 15(1): 90-106. https://doi.org/10.12677/mse.2026.151009

1. 引言

近年来,随着短视频技术的快速发展与移动电商生态的日益成熟,直播电商作为一种兼具信息传播、实时互动与即时购买功能的新型营销渠道,在我国零售市场中呈现爆发式增长。直播电商的核心优势在于通过实时画面、生动讲解与主播互动,打破传统图文电商的“信任瓶颈”,显著提升用户参与感与购买转化率,已成为品牌商争夺流量与深化用户关系的重要工具。

在运营实践中,直播组织形式主要分为两类:一类为网红代播,通常由平台或MCN机构协助品牌方对接具有粉丝基础与带货能力的达人主播,品牌以支付佣金的方式换取转化;另一类为店铺自播,即品牌通过自有账号运营直播间,实现从内容创作到销售转化的闭环。如在抖音平台上,既存在大小网红主导的代播直播间,也有各种品牌开设的常态化自播直播间,形成共存的直播生态。

与此同时,直播模式还与销售模式相互结合。一是代理模式,制造商保有定价权,平台按销售额收取一定比例的佣金;二是转售模式,平台或网红以预设的批发价采购商品,自主定价后向消费者销售。此外,平台除了提供基础交易撮合功能,还会通过“推流”“推荐”等方式提升直播渠道的流量与转化率。平台的这一营销努力具有成本性,并对消费者需求产生外部性,既可以提升直播渠道的吸引力,也可能对传统渠道产生替代效应。

在这一背景下,制造商面临如下关键决策问题:在代理与转售两种销售模式下,应选择与网红合作直播还是进行店铺自播?平台又应在不同佣金结构下配置怎样的努力水平以实现自身收益最大化?不同直播模式与销售模式组合下的定价权、佣金比例等将共同影响各方利润与最终决策。因此,研究平台努力决策内生化情境下制造商与平台之间围绕直播渠道的博弈机制,具有重要的理论价值与现实意义。

与本文相关的研究主要涵盖以下三个方面:(1) 转售与代售两种销售模式的选择机制;(2) 与网红合作直播和店铺自播两种直播模式的选择决策;(3) 考虑平台营销与主播直播努力的博弈。

首先,在销售模式选择方面,早期研究主要聚焦于平台在转售与代售模式之间的战略决策。Abhishek和Jerath [1]探讨了线上零售平台在面对传统渠道反应与平台间竞争时,如何在转售与代售模式中进行权衡。他们发现,当电子渠道对传统渠道存在负面替代效应时,平台更倾向于采用代售模式;反之,当电子渠道能带动传统渠道销量时,转售模式更具吸引力,为平台销售模式的决策提供了基础性理论支持。

近年来,相关研究逐步扩展至双渠道和直播场景下的销售模式选择。Yu等[2]引入消费者渠道偏好因素,研究制造商在转售与代售模式中实施双渠道策略的最优布局,并提出不同偏好结构下的适用条件。Wang等[3]进一步构建平台主导的双渠道供应链模型,系统比较了转售、代售和直销三种模式下制造商的均衡策略,指出竞争强度与佣金率是影响其销售模式选择的关键变量。Hao和Yang [4]将消费者退货行为纳入考虑,分析直播销售中在不同定价策略(如同价、高价、差异化)下的销售模式选择,发现当退货率较高时,传统观点中的“代售优于转售”不一定成立,转售模式在某些情况下反而更具优势。Wang [5]则聚焦于引入直播渠道的多级供应链,深入分析平台在不同协议下的定价机制和模式选择,并指出平台佣金率与网红努力系数对利润结构具有显著影响。

其次,在直播模式的选择方面,相关研究主要关注佣金机制、感知价值、质量控制和消费者行为等因素。Zhang [6]在制造商已存在传统线上渠道的基础上,比较了其引入网红直播与店铺自播两种模式下的最优定价、推广努力与利润水平,指出佣金率与签约金是影响模式选择的关键参数。Wang [7]在考虑竞争情境下,分析了线上零售商在无直播、第三方直播和自播三种策略下的最优直播模式选择,发现当消费者对直播购物的麻烦成本较低时,引入第三方直播有望实现线上与线下渠道的双赢。Liang等[8]将质量控制因素引入直播供应链模型中,研究制造商在店铺自播与外包网红直播两种模式下的定价与质量策略,发现质量敏感度与质量成本参数是影响模式优劣的关键因素。此外,汪乐等[9]从消费者行为视角出发,探讨直播提升感知价值与观看麻烦成本之间的权衡机制,揭示了这两种因素对制造商引入直播意愿和价格策略的非线性影响。

最后,在关于营销努力的研究方面,学者们主要聚焦于平台与网红在努力水平决策中的博弈机制及其对供应链绩效的影响。于天阳等[10]构建了由电商平台、网红团队和卖家组成的三方博弈模型,分析了不同权力结构下网红个人影响力与直播效率对利润分配、消费者效用及社会福利的作用机制。Pan等[11]则表明,直播渠道能否优于传统渠道,依赖于网红的销售能力,凸显了网红能力异质性的重要性。Niu等[12]研究了品牌在自播与合作顶级网红直播之间的权衡,揭示了网红佣金率对其努力程度及品牌利润分配的双重影响。邢鹏等[13]在品牌商–主播–平台构成的直播服务供应链中,比较主播是否签约情形下的最优努力与利润水平,结果显示主播佣金与平台佣金对双方努力与利润均有显著影响。张旭梅等[14]则关注O2O供应链中,平台在转售与代售两种模式下的营销努力激励机制,指出佣金比例与附加服务需求比例等因素会改变线下服务商的合作策略。

综上所述,尽管当前研究分别在销售模式、直播模式及营销努力等方面取得了较多成果,但缺乏将三者进行系统整合的研究框架。本文的创新之处在于同时引入销售模式(代理与转售)、直播模式(网红与自播)及多主体努力决策(平台与网红),在统一的双渠道博弈模型中揭示其交互机制,从而修正了以往研究仅关注单一要素所导致的局部结论。该整合框架不仅拓展了直播电商供应链的研究维度,也为理解平台佣金机制下多方激励与渠道协同提供了新的理论视角。

2. 问题描述与模型假设

本文考虑一个制造商通过可直播的电商平台(如抖音、淘宝等)进行双渠道产品销售:传统线上销售渠道和直播销售渠道。在传统渠道中,制造商可以选择平台代理(A)或转售(R)两种合作模式:如果采用代理模式,制造商自行决定销售价格,平台抽取销售量的一定比例 r 1 作为代理报酬;如果采用转售模式,则制造商以批发价向平台销售,由平台确定销售价格。在直播渠道中,制造商可选择根据与网红合作进行外包直播(K),或者选择店铺自播(M)。在K模式中,制造商支付网红一定的佣金 r 2 ,或者将商品以批发价转售给网红,网红会进行直播销售并提供直播努力 δ K 。同时,由于直播在平台上进行,平台将对网红抽取 r 1 比例的报酬,并提供营销努力 δ P 。在M模式中,平台同样对制造商抽取直播报酬 r 1 ,并提供营销努力 δ P

此外,为简化问题,模型假设传统线上渠道和店铺自播渠道的市场规模为1,而网红直播渠道由于网红本身的粉丝效应设为努力 a>1 。两渠道之间存在渠道竞争,设渠道竞争强度系数为 γ

本文建模所需的参数见表1

Table 1. Notations

1. 符号说明

符号

符号说明

γ

渠道竞争强度( 0<γ<1 )

a

网红直播渠道的市场规模( a>1 )

r 1

平台抽取的佣金率( 0< r 1 < r 2 <1 )

r 2

网红抽取的佣金率( 0< r 1 < r 2 <1 )

δ K

网红的直播努力水平

δ P

平台的营销努力水平

w i ( i=O,K )

转售模式下制造商分别卖给平台和网红的批发价

p i ( i=O,K,M )

产品分别在传统渠道、网红直播渠道和店铺自播渠道的销售价格

D i ( i=O,K,M )

产品分别在传统渠道、网红直播渠道和店铺自播渠道的需求量

π j ( j=M,P,K )

制造商、平台和网红的利润

本模型中各方的决策顺序见图1。在代理模式中,首先,制造商决定传统线上渠道与直播渠道的定价;随后,制造商选择直播形式,即采用网红直播(K)还是店铺自播(M);接着,网红或制造商分别决定自身的直播努力水平;然后,平台根据销售模式设定其在直播渠道中的推广努力;最后,消费者依据各渠道价格与感知价值做出购买决策。在转售模式中,制造商先确定传统与直播渠道的批发价,平台与网红随后分别决定零售价格;接着,网红或制造商分别决定自身的直播努力水平;之后,平台选择其在直播渠道中的推广努力水平;最终,消费者在传统渠道与直播渠道之间进行购买选择。

Figure 1. Game sequence

1. 博弈次序图

3. 模型构建与求解

3.1. 代理模式及网红直播(AK)

该模式下,制造商选择在传统渠道进行平台代理销售且在直播渠道通过网红直播销售,供应链结构如图2所示。根据线性需求价格函数,得到双渠道的需求为:

D O =1 p O +γ p K (1)

D K =a p K +γ p O + δ K + δ P (2)

制造商,网红与平台的利润分别为:

π M =( 1 r 1 ) p O D O +( 1 r 2 ) p K D K (3)

π K =( r 2 r 1 ) p K D K 1 2 ( δ K ) 2 (4)

π P = r 1 p O D O + r 1 p K D K 1 2 ( δ P ) 2 (5)

Figure 2. Dual-channel model structure of AK mode

2. AK模式下双渠道供应链模型

根据决策顺序逆向求解,先由式(5)对 δ P 求一阶导取零求解,带入式(4)对 δ K 求一阶导取零求解,再带入式(3)分别对 p O p K 求偏导数取零联立求解,得到纳什均衡下的最优策略。

命题1在AK模式下,传统渠道与网红直播渠道的最优定价、网红和平台的最优努力程度,以及制造商、网红与平台的最优利润分别为:

p O AK = ( 1 r 2 )( 2( 1+aγ )+ r 1 ( 2+aγ2 r 2 )+( 2+aγ ) r 2 ) 4( 1+ γ 2 )+ γ 2 r 1 2 + r 2 ( 84 γ 2 +( 4+ γ 2 ) r 2 )+2 r 1 ( 22 γ 2 + r 2 ( 4+ γ 2 +2 r 2 ) ) ;

p K AK = ( 1 r 1 )( 2( a+γ )+γ r 1 +( 2a+γ ) r 2 ) 4( 1+ γ 2 )+ γ 2 r 1 2 + r 2 ( 84 γ 2 +( 4+ γ 2 ) r 2 )+2 r 1 ( 22 γ 2 + r 2 ( 4+ γ 2 +2 r 2 ) ) ;

δ P AK = ( 1 r 1 ) r 1 ( 2( a+γ )+γ r 1 +( 2a+γ ) r 2 ) 4( 1+ γ 2 )+ γ 2 r 1 2 + r 2 ( 84 γ 2 +( 4+ γ 2 ) r 2 )+2 r 1 ( 22 γ 2 + r 2 ( 4+ γ 2 +2 r 2 ) ) ;

δ K AK = ( 1+ r 1 )( r 1 r 2 )( 2( a+γ )+γ r 1 +( 2a+γ ) r 2 ) 4( 1+ γ 2 )+ γ 2 r 1 2 + r 2 ( 84 γ 2 +( 4+ γ 2 ) r 2 )+2 r 1 ( 22 γ 2 + r 2 ( 4+ γ 2 +2 r 2 ) )

π M AK = ( 1+ r 1 )( 1+ r 2 )( 1a( a+2γ )+ r 1 ( 1+aγ r 2 )+( 1+a( a+γ ) ) r 2 ) 4( 1+ γ 2 )+ γ 2 r 1 2 + r 2 ( 84 γ 2 +( 4+ γ 2 ) r 2 )+2 r 1 ( 22 γ 2 + r 2 ( 4+ γ 2 +2 r 2 ) )

π K =( r 2 r 1 ) p K AK D K AK 1 2 ( δ K AK ) 2

π P = r 1 p O AK D O AK + r 1 p K AK D K AK 1 2 ( δ P AK ) 2

3.2. 代理模式及店铺自播(AM)

该模式下,制造商选择在传统渠道进行平台代理销售且在直播渠道通过店铺自播销售,供应链结构如图3所示。根据线性需求价格函数,得到双渠道的需求为:

D O =1 p O +γ p M (6)

D M =1 p M +γ p O + δ M + δ P (7)

制造商与平台的利润分别为:

π M =( 1 r 1 ) p O D O +( 1 r 1 ) p M D M 1 2 ( δ M ) 2 (8)

π P = r 1 p O D O + r 1 p M D M 1 2 ( δ P ) 2 (9)

Figure 3. Dual-channel model structure of AM mode

3. AM模式下双渠道供应链模型

命题2在AM模式下,传统渠道与店铺自播渠道的最优定价、制造商和平台的最优努力程度,以及制造商与平台的最优利润分别为:

p O AM = 12γ+ r 1 2( 1+2 γ 2 + r 1 )

p M AM = 1+γ 1+2 γ 2 + r 1

δ P AM = ( 1+γ ) r 1 1+2 γ 2 + r 1

δ M AM = ( 1+γ )( 1+ r 1 ) 1+2 γ 2 + r 1

π M AM = ( 3+4γ r 1 )( 1+ r 1 ) 4( 1+2 γ 2 + r 1 )

π P AM = r 1 ( 54γ( 2+γ+2 γ 2 )+ r 1 ( 82γ( 6+γ )+ r 1 ) ) 4 ( 1+2 γ 2 + r 1 ) 2

3.3. 转售模式及网红直播(RK)

该模式下,制造商分别将产品转售给平台和网红,供应链结构如图4所示。根据线性需求价格函数,得到双渠道的需求为:

D O =1 p O +γ p K (10)

D K =a p K +γ p O + δ K + δ P (11)

制造商,网红与平台的利润分别为:

π M = w O D O + w K D K (12)

π K =( p K w K ) D K r 1 p K D K 1 2 ( δ K ) 2 (13)

π P =( p O w O ) D O + r 1 p K D K 1 2 ( δ P ) 2 (14)

Figure 4. Dual-channel model structure of RK mode

4. RK模式下双渠道供应链模型

命题3在RK模式下,最优批发价、传统渠道与网红直播渠道的最优定价、网红和平台的最优努力程度,以及制造商、网红与平台的最优利润分别为:

w O RK = 4γ( γ+2a( 3+ γ 2 ) )+2( 46aγ3 γ 2 + γ 4 ) r 1 +( 4+7 γ 2 +2 γ 4 +2aγ( 3+ γ 2 ) ) r 1 2 813 γ 2 +4 γ 4 +2( 8+5 γ 2 +2 γ 4 ) r 1 +( 8+3 γ 2 ) r 1 2

w K RK = ( 1+ r 1 )( 4a3γ+3a γ 2 +2 γ 3 +( 3γ+ γ 3 +a( 4+ γ 2 ) ) r 1 ) 813 γ 2 +4 γ 4 +2( 8+5 γ 2 +2 γ 4 ) r 1 +( 8+3 γ 2 ) r 1 2

p K RK = 6γ4 γ 3 +a( 86 γ 2 )2( 3γ+ γ 3 +a( 4+ γ 2 ) ) r 1 813 γ 2 +4 γ 4 +2( 8+5 γ 2 +2 γ 4 ) r 1 +( 8+3 γ 2 ) r 1 2

p O RK = 64 γ 2 +aγ( 74 γ 2 )+2( 6+ γ 2 aγ( 3+2 γ 2 ) ) r 1 +( 6aγ+2 γ 2 ) r 1 2 813 γ 2 +4 γ 4 +2( 8+5 γ 2 +2 γ 4 ) r 1 +( 8+3 γ 2 ) r 1 2

δ K RK = ( 1+ r 1 )( 4a3γ+3a γ 2 +2 γ 3 +( 3γ+ γ 3 +a( 4+ γ 2 ) ) r 1 ) 813 γ 2 +4 γ 4 +2( 8+5 γ 2 +2 γ 4 ) r 1 +( 8+3 γ 2 ) r 1 2

δ P RK = r 1 ( 6γ4 γ 3 +a( 86 γ 2 )2( 3γ+ γ 3 +a( 4+ γ 2 ) ) r 1 ) 813 γ 2 +4 γ 4 +2( 8+5 γ 2 +2 γ 4 ) r 1 +( 8+3 γ 2 ) r 1 2

π M RK = 1+5aγ+ γ 2 + a 2 ( 2+ γ 2 )2( 1+2 γ 2 + a 2 ( 2+ γ 2 )+aγ( 5+ γ 2 ) ) r 1 +( 1+( a+γ )( 3γ+ γ 3 +a( 2+ γ 2 ) ) ) r 1 2 813 γ 2 +4 γ 4 +2( 8+5 γ 2 +2 γ 4 ) r 1 +( 8+3 γ 2 ) r 1 2

π K RK = ( 1+ r 1 ) 2 ( 4a3γ+3a γ 2 +2 γ 3 +( 3γ+ γ 3 +a( 4+ γ 2 ) ) r 1 ) 2 2 ( 813 γ 2 +4 γ 4 +2( 8+5 γ 2 +2 γ 4 ) r 1 +( 8+3 γ 2 ) r 1 2 ) 2

π P RK =( p O RK w O RK ) D O RK + r 1 p K RK D K RK 1 2 ( δ P RK ) 2

3.4. 转售模式及店铺自播(RM)

该模式下,制造商选择在传统渠道进行平台转售且在直播渠道通过店铺自播销售,供应链结构如图5所示。根据线性需求价格函数,得到双渠道的需求为:

D O =1 p O +γ p M (15)

D M =1 p M +γ p O + δ M + δ P (16)

制造商与平台的利润分别为:

π M =w D O +( 1 r 1 ) p M D M 1 2 ( δ M ) 2 (17)

π P =( p O w ) D O + r 1 p M D M 1 2 ( δ P ) 2 (18)

Figure 5. Dual-channel model structure of RM mode

5. RM模式下双渠道供应链模型

命题4在RM模式下,最优批发价、传统渠道与店铺自播渠道的最优定价、制造商和平台的最优努力程度,以及制造商与平台的最优利润分别为:

w RM = 2 4+ γ 2 + γ( 1+γ )( 1+ r 1 ) 1+2 γ 2 + r 1 8 γ 2 r 1 ( 4+ γ 2 ) 2 +2( 16+ γ 4 ) r 1 + ( 4+ γ 2 ) 2 r 1 2 ;

p M RM = 1+γ 1+2 γ 2 + r 1 + γ( 1+ r 1 ) 4+ γ 2 +2( 4+ γ 2 ) r 1 +( 4+ γ 2 ) r 1 2 ;

p O RM =1 1 4+ γ 2 γ( 1+γ ) 1+2 γ 2 + r 1 + 4 γ 2 r 1 ( 4+ γ 2 ) 2 +2( 16+ γ 4 ) r 1 + ( 4+ γ 2 ) 2 r 1 2 ;

δ M RM =( 1+ r 1 )( 1+γ 1+2 γ 2 + r 1 γ( 1+ r 1 ) 4+ γ 2 +2( 4+ γ 2 ) r 1 +( 4+ γ 2 ) r 1 2 ) ;

δ P RM = r 1 ( 1+γ 1+2 γ 2 + r 1 + γ( 1+ r 1 ) 4+ γ 2 +2( 4+ γ 2 ) r 1 +( 4+ γ 2 ) r 1 2 ) ;

π M RM = 1 2 ( 1+γ( 2+γ )+ 1 4+ γ 2 2 γ 2 ( 1+γ ) 2 1+2 γ 2 + r 1 4 γ 2 r 1 ( 4+ γ 2 ) 2 +2( 16+ γ 4 ) r 1 + ( 4+ γ 2 ) 2 r 1 2 ) ;

π P RM =( p O RM w RM ) D O RM + r 1 p M RM D M RM 1 2 ( δ P RM ) 2 .

4. 数值分析

由于在模型中参数较多,表达式也较为复杂,为了更直观地分析在代理和转售两种不同销售模式下,平台的佣金比例对制造商最优定价、网红和平台的最优努力水平的影响,以及两种情形下制造商的最优策略和利润的对比,借助数值算例进行分析。假定 a=1.5 γ=0.3 r 2 =0.4

4.1. 代理模式下平台佣金率对最优策略的影响

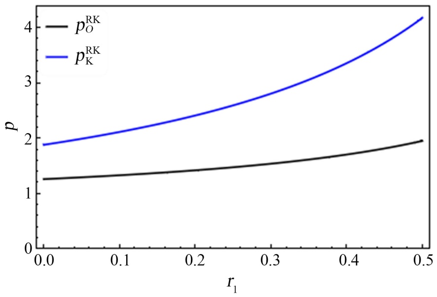
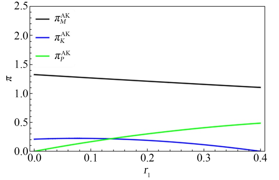
在AK模式下,平台佣金率 r 1 对各决策变量的影响如图6~8所示。结果表明,随着 r 1 的提高,网红直播渠道价格 p K AK 略有下降,而传统线上渠道价格 p O AK 基本保持稳定。由于平台佣金率上升压缩了制造商在直播渠道的单位收益,为维持整体销量,制造商倾向于适度降低直播渠道价格以刺激需求。同时,网红努力水平 δ K AK r 1 增加显著下降,而平台努力水平 δ P AK 显著上升,体现出二者之间的努力替代效应。随着佣金率上升,网红的有效分成 ( r 2 r 1 ) 减少,激励减弱,导致其直播投入下降;而平台在较高佣金比例下收益增加,从而加大流量分配与推广投入,以扩大直播销售规模。在利润层面,制造商利润 π M AK r 1 增长略有下降,主要由于佣金上升导致利润空间被进一步挤压;网红利润 π K AK 呈先升后降趋势,在较低佣金区间内受益于平台努力提升带来的销量扩张,但当 r 1 过高时,分成比例下降与努力水平降低共同导致利润下滑;平台利润 π P AK 则持续上升,因此佣金比例与投入产出均同步增加。因此,适度提高佣金率有助于平台利润增长与整体流量提升,但过高的佣金将削弱网红的激励,降低其销售转化效率,从长期来看不利于供应链整体绩效。

Figure 6. The impact of r 1 on the optimal price in AK

6. AK模式下 r 1 对最优价格的影响

Figure 7. The impact of r 1 on the optimal effort in AK

7. AK模式下 r 1 对最优努力水平的影响

Figure 8. The impact of r 1 on the optimal profit in AK

8. AK模式下 r 1 对最优利润的影响

Figure 9. The impact of r 1 on the optimal price in AM

9. AM模式下 r 1 对最优价格的影响

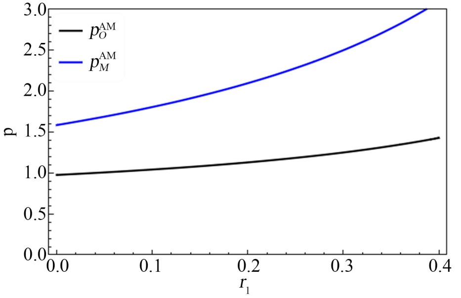
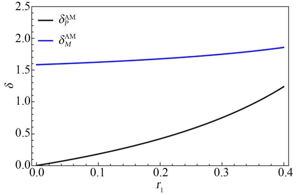
在AM模式下,平台佣金率 r 1 的提升对定价、努力与利润的影响如图9~11所示。首先,线上价与自播价随 r 1 同步上升且自播价涨幅更大。这是两种力量共同作用的结果:一方面, r 1 增大压缩了制造商的单位边际,制造商通过提价恢复边际;另一方面,平台因更高佣金而显著加大直播推广努力 δ P AM (图10黑线),提高直播渠道的有效需求,使制造商在自播渠道具备更强的提价承受力,从而出现 p M AM 相对更快的上行。其次,努力方面, δ P AM r 1 明显递增,而制造商的自播努力 δ M AM 也小幅上升。平台努力上升的动因是佣金提高带来的边际回报上升;制造商虽然因 r 1 增大被动让利,但为了吃下平台新增流量、与之形成互补,会适度增加自身直播努力,因而 δ M AM 呈温和爬升。最后,利润方面,平台利润随 r 1 明显上升,而制造商利润仅小幅上升。虽然分成比例下降抑制了制造商的边际收益,但更高的价格与双边努力带来的需求扩张基本对冲了让利效应,使净利润略微增长。总体上,在AM模式下,提升 r 1 对平台而言利润改善显著,而制造商需通过提高价格并适度增加直播努力来分享由平台流量扩张带来的收益。

Figure 10. The impact of r 1 on the optimal effort in AM

10. AM模式下 r 1 对最优努力水平的影响

Figure 11. The Impact of r 1 on the optimal profit in AM

11. AM模式下 r 1 对最优利润的影响

4.2. 代理模式下制造商的最优直播模式选择

图12可以看出,在代理模式下,制造商的最优直播模式选择主要取决于平台佣金率 r 1 与网红佣金率 r 2 的相对水平:当 ( r 1 , r 2 ) 落在黄色区域时,制造商倾向于选择店铺自播(AM)模式;当落在蓝色区域时,制造商选择网红直播(AK)模式。随着 r 2 的上升,AK模式的优势区间逐渐扩大。当网红佣金较高时,其努力水平提升显著,带来更强的带货能力与更高的销量增长,从而抵消了佣金上升带来的成本压力,使得制造商更倾向于采用网红直播。而当 r 2 较低或平台佣金 r 1 较高时,网红激励不足、努力水平较低,平台虽加大推广投入,但整体带货能力有限,制造商通过自播更能保持收益的稳定性,因此选择AM模式更优。

Figure 12. Optimal mode selection for manufacturers under the agency model

12. 代理模式下制造商的最优直播模式选择

4.3. 转售模式下平台佣金率对最优策略的影响

图13图14中可以看出,随着 r 1 的增加,制造商设定的两渠道批发价 w O RK w K RK 均呈现上升趋势,且网红渠道的批发价增长更为明显。这是因为平台提高佣金率后,其利润分成比例上升,制造商为了维持自身利润水平,会通过提高批发价进行补偿。同时,平台和网红在更高佣金压力下,为维持利润空间而提升终端售价,使得 p K RK p O RK 均随之上升,其中网红直播价格增长更快,反映出直播渠道的价格敏感性更高。

Figure 13. The impact of r 1 on the optimal wholesale price in RK

13. RK模式下 r 1 对最优批发价格的影响

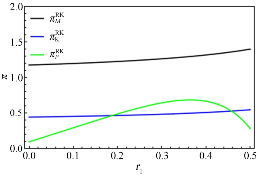
其次,从图15可以看出,平台努力 δ P RK r 1 的提高显著上升,而网红努力 δ K RK 基本保持稳定。这一结果符合激励逻辑:较高的佣金比例增强了平台从直播销售中获益的边际收益,因此平台更有动力加大推广投入;而网红因被佣金比例提高导致边际收益下降,努力激励减弱,因此努力水平提升有限,甚至趋于平缓。平台与网红的努力呈现出“此强彼弱”的替代效应。

最后,从图16来看,制造商利润 π M RK r 1 稳定上升,说明其能有效通过批发价调整实现利润转移;平台利润 π P RK 则先升后降,存在最优佣金区间。当 r 1 适中时,平台既能获得较高分成,又未过度抑制网红努力,从而利润最大;但当 r 1 过高时,网红激励严重受损,导致整体销售规模下降,平台利润反而下降。相比之下,网红利润 π K RK r 1 影响较小,略有增长但总体水平较低。因此,在RK模式下,适度的佣金率能平衡平台收益与网红激励,维持供应链的整体效率。制造商应适度提升批发价应对平台佣金上升,而平台应避免过度提高佣金率,以防因激励削弱导致利润下降。

Figure 14. The impact of r 1 on the optimal price in RK

14. RK模式下 r 1 对最优销售价格的影响

Figure 15. The impact of r 1 on the optimal effort in RK

15. RK模式下 r 1 对最优努力水平的影响

Figure 16. The impact of r 1 on the optimal profit in RK

16. RK模式下 r 1 对最优利润的影响

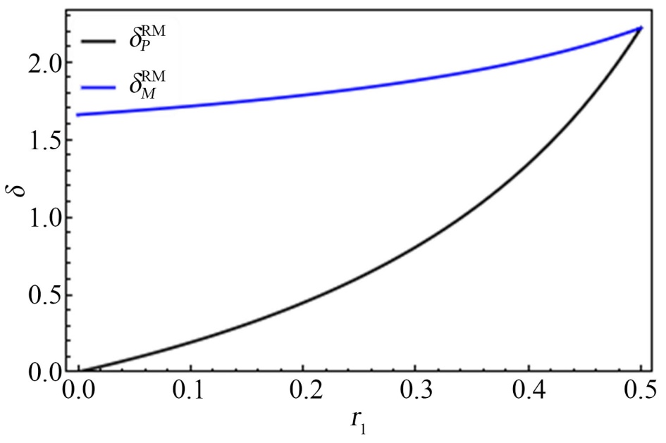
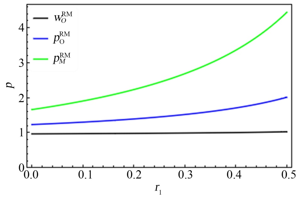
图17可以看出,在RM模式下,随着 r 1 的上升,制造商设定的批发价 w O RM 基本保持稳定,而平台零售价 p O RM 与制造商自播价格 p M RM 均呈显著上升趋势。其中, p M RM 的增长幅度远高于 p O RM 。这是因为平台佣金率上升提高了制造商在自播渠道的成本压力,制造商为了维持利润,会通过提升零售价进行转移;而平台在佣金上升后,面临的边际收益提升不足以抵消消费者需求减少的风险,因此 p O RM 增幅较为温和。总体而言,制造商的定价能力在该模式下更为突出,且自播渠道的价格更容易受平台佣金变化的影响。

其次,从图18可以看出,平台努力 δ P RM 和制造商直播努力 δ M RM 均随 r 1 上升而增加,且平台努力上升速度更快。平台佣金率的提高增强了其从销售中获取的边际收益,从而激励平台投入更多推广资源,以扩大整体需求规模;与此同时,制造商在自播中直接面对消费者,其销售收益仍受平台佣金影响,因此也被迫提升自身的推广与直播努力以维持销量。由于两者的努力具有互补效应,平台努力的提升进一步促进了制造商的直播投入,使得总体营销强度增强。

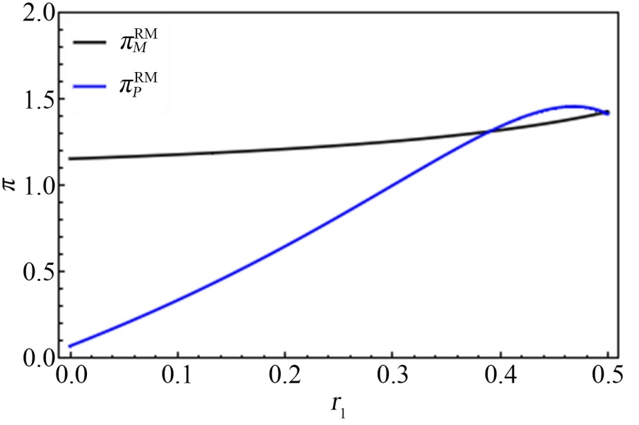
最后,从图19来看,制造商利润 π M RM r 1 稳定上升,而平台利润 π P RM 呈现先升后降的变化。具体而言,当 r 1 处于较低水平时,平台通过佣金增加能够显著提升收益;但当佣金率过高时,制造商的定价上升导致需求收缩,平台销售额减少,使其利润反而下降。因此,适度的佣金提升可同步提高双方努力与收益,但过高的佣金将削弱需求并压缩平台利润空间。制造商应在保持价格竞争力的同时提升自播推广力度,而平台应谨慎设定佣金水平,以实现长期合作与渠道绩效的最优平衡。

Figure 17. The impact of r 1 on the optimal price in RM

17. RM模式下 r 1 对最优价格的影响

Figure 18. The impact of r 1 on the optimal effort in RM

18. RM模式下 r 1 对最优努力水平的影响

Figure 19. The impact of r 1 on the optimal profit in RM

19. RM模式下 r 1 对最优利润的影响

4.4. 转售模式下制造商的最优直播模式选择

图20展示了转售模式下制造商在不同平台佣金率 r 与渠道竞争强度 γ 组合下的最优直播模式选择,其中黄色区域代表选择RM模式(转售 + 店铺自播),蓝色区域代表选择RK模式(转售 + 网红直播)。当平台佣金率较低且渠道竞争强度较弱时,制造商倾向于选择RK模式。在该情形下,平台佣金较小,制造商可以通过较低的批发价激励网红提升努力水平,从而扩大直播需求;同时,较低的渠道竞争程度使传统线上销售不会受到显著冲击,制造商能从网红的高营销转化率中获得更多利润。此时,网红直播模式的“粉丝经济”效应凸显,能带来更高的边际收益。随着佣金率或渠道竞争强度的提高,制造商逐渐转向RM模式。较高的佣金率意味着网红利润空间被压缩,努力激励减弱,使制造商更难通过外部网红实现高销售转化;与此同时,随着渠道竞争增强,两个销售渠道之间的替代效应加剧,网红直播对传统销售形成较强分流。相比之下,店铺自播模式能让制造商直接掌控直播运营与利润分配,减少对平台与网红的依赖,因此在高佣金或强竞争环境下更具优势。综上,低佣金、低竞争环境有利于网红直播的采用,而高佣金或高竞争下制造商更倾向于选择自播以维持盈利能力。

Figure 20. Optimal mode selection for manufacturers under the reselling model

20. 转售模式下制造商的最优直播模式选择

5. 结论

本文围绕直播电商背景下制造商在双渠道销售体系中的模式选择与平台努力决策问题展开研究,构建了考虑代理与转售两种销售模式以及网红直播与店铺自播两种直播形式的四种典型情景(AK、AM、RK、RM),系统分析了平台佣金率、网红佣金率及渠道竞争强度等关键参数对价格、努力水平及各方利润的影响。通过理论推导与数值分析,本文得出以下主要结论:

(1) 在代理模式下,平台佣金率对平台和网红努力的影响方向相反,二者呈现明显的替代效应。适度的佣金能激励平台提升推广努力,从而扩大直播销售,但过高的佣金率将削弱网红的努力激励,导致其利润下降并损害整体渠道绩效。

(2) 在转售模式下,制造商通过批发价调整可有效应对平台佣金上升的影响。佣金率提升时,制造商和平台均会增加努力水平以弥补利润损失,但平台利润存在先升后降的变化,存在最优佣金区间。

(3) 在代理模式下,网红佣金较高时,制造商更倾向于采用网红直播。而网红佣金较低或平台佣金较高时,网红激励不足导致其努力水平较低,平台虽加大推广投入,但整体带货能力有限,制造商通过自播更能保持收益的稳定性,因此AM模式更优。在转售模式下,低佣金、低竞争环境下制造商更倾向选择网红直播,而在高佣金或高竞争环境下则更倾向于店铺自播。

然而,本文的研究仍存在一定边界条件与局限性。模型假设了单一制造商与单平台结构,未充分考虑消费者渠道偏好、MCN机构介入及平台差异化扶持策略等现实复杂性。未来研究可在以下方向展开:一是引入MCN机构角色,分析其对网红激励与收益分配的影响;二是探讨平台对不同直播形式(如专业网红与品牌自播)的差异化扶持机制;三是考虑消费者对渠道偏好及粉丝粘性的动态变化,以进一步提升模型的现实解释力与适用性。

基金项目

国家自科面上项目支持(72571196)。

参考文献

[1] Abhishek, V., Jerath, K. and Zhang, Z.J. (2016) Agency Selling or Reselling? Channel Structures in Electronic Retailing. Management Science, 62, 2259-2280. [Google Scholar] [CrossRef
[2] Yu, Y., Sun, L. and Guo, X. (2019) Dual-Channel Decision in a Shopping Complex When Considering Consumer Channel Preference. Journal of the Operational Research Society, 71, 1638-1656. [Google Scholar] [CrossRef
[3] Wang, T., Chen, Z., Govindan, K. and Chin, K. (2022) Manufacturer’s Selling Mode Choice in a Platform-Oriented Dual Channel Supply Chain. Expert Systems with Applications, 198, Article ID: 116842. [Google Scholar] [CrossRef
[4] Hao, C. and Yang, L. (2023) Resale or Agency Sale? Equilibrium Analysis on the Role of Live Streaming Selling. European Journal of Operational Research, 307, 1117-1134. [Google Scholar] [CrossRef
[5] Wang, Q., Zhao, N. and Ji, X. (2022) Reselling or Agency Selling? The Strategic Role of Live Streaming Commerce in Distribution Contract Selection. Electronic Commerce Research, 24, 983-1016. [Google Scholar] [CrossRef
[6] Zhang, W., Yu, L. and Wang, Z. (2023) Live-Streaming Selling Modes on a Retail Platform. Transportation Research Part E: Logistics and Transportation Review, 173, Article ID: 103096. [Google Scholar] [CrossRef
[7] Wang, S. and Wang, J. (2023) The Live-Streaming E-Commerce Mode Selection under Competition: Self-Run or Third-Party? Electronic Commerce Research, 25, 3261-3282. [Google Scholar] [CrossRef
[8] 梁喜, 刘怀英, 胡诗艺. 直播模式对电商供应链定价与质量决策的影响研究——基于制造商店铺自播与委托主播带货两种模式的比较分析[J]. 价格理论与实践, 2022(9): 154-157.
[9] 汪乐, 宋杨, 范体军. 制造商直播引入的策略研究[J]. 中国管理科学, 2024, 32(2): 276-284.
[10] 于天阳, 关志民, 董经洋, 等. 不同权力结构下考虑网红营销努力的直播电商供应链决策研究[J]. 管理学报, 2022, 19(5): 714-722+748.
[11] Pan, R., Feng, J. and Zhao, Z. (2022) Fly with the Wings of Live‐Stream Selling—Channel Strategies with/without Switching Demand. Production and Operations Management, 31, 3387-3399. [Google Scholar] [CrossRef
[12] Niu, B., Chen, Y., Zhang, J., Chen, K. and Jin, Y. (2025) Brands’ Livestream Selling with Influencers’ Converting Fans into Consumers. Omega, 131, Article ID: 103195. [Google Scholar] [CrossRef
[13] 邢鹏, 尤浩宇, 樊玉臣. 考虑平台营销努力的直播电商服务供应链质量努力策略[J]. 控制与决策, 2022, 37(1): 205-212.
[14] 张旭梅, 郑雁文, 李梦丽, 等. O2O模式中考虑附加服务和平台营销努力的供应链合作策略研究[J]. 中国管理科学, 2022, 30(2): 181-190.