砂砾石地层中防渗墙开挖槽壁稳定性特征及影响因素研究
Study on the Stability Characteristics and Influencing Factors of Trench Wall Stability of Seepage Control Wall Excavation in Gravel Formation
DOI: 10.12677/hjce.2026.151002, PDF, HTML, XML,   
作者: 秦溪禧, 韩红豪, 薛凯佳, 张中行, 孙怡源:华北水利水电大学地球科学与工程学院,河南 郑州;刘会平:河南省地矿局第二地质勘查院,河南 郑州
关键词: 砂砾石地层防渗墙槽壁稳定数值模拟影响因素Sand and Gravel Formation Impermeable Wall Trench Wall Stability Numerical Modelling Influencing Factor
摘要: 以砂砾石地层防渗墙成槽施工为研究背景,通过数值模拟方法研究砂砾石地层防渗墙成槽泥浆槽壁稳定性特征及其影响因素。研究结果表明:泥浆液面波动与地下水位变化是诱发砂砾石地层防渗墙槽壁发生失稳的重要原因,其失稳区域为导墙顶面下1.20~6.80 m范围的人工填土层、20.3~39 m范围的中砂与卵石层;槽壁水平变形沿深度呈非对称的“鼓肚”形态,最大值约5.79 mm,出现在导墙顶以下约30.0 m处。地表沉降在横向上呈V形分布,沉降槽宽度大致为(1.0~1.5) he,最大沉降量约5.75 mm,位于距槽壁约(0.10~0.15) he的位置。研究同时指出,合理提升泥浆液面高度并抑制地下水位下降有助于控制变形。研究成果可为同类工程防渗墙槽壁稳定性控制和施工参数优化提供参考。
Abstract: Based on the construction of a cutoff wall trenching in a gravel stratum, this study investigates the stability characteristics of the slurry trench wall and its influencing factors using numerical simulation. The results indicate that fluctuations in the slurry level and changes in the groundwater level are significant factors leading to the instability of the trench wall in gravel strata. The instability zones are identified as the artificial fill layer at depths of 1.20~6.80 m below the guide wall top, and the medium sand and cobble layers at depths of 20.3~39 m. The horizontal deformation of the trench wall exhibits an asymmetric “bulging” shape along the depth, with a maximum value of approximately 5.79 mm occurring at about 30.0 m below the guide wall top. The surface settlement displays a V-shaped distribution laterally, with a settlement trough width of about (1.0~1.5) he and a maximum settlement of approximately 5.75 mm, located at a horizontal distance of about (0.10~0.15) he from the trench wall. The study also suggests that appropriately raising the slurry level and suppressing groundwater level decline can help control deformation. The findings provide a reference for stability control and construction parameter optimization of cutoff wall trenching in similar projects.
文章引用:秦溪禧, 刘会平, 韩红豪, 薛凯佳, 张中行, 孙怡源. 砂砾石地层中防渗墙开挖槽壁稳定性特征及影响因素研究[J]. 土木工程, 2026, 15(1): 8-15. https://doi.org/10.12677/hjce.2026.151002

1. 引言

防渗墙是一种以防渗为主要功能的地下结构,通过连续成槽、注浆、钢筋笼、混凝土浇筑等工艺形成连续墙体,具有良好的防渗性能,适用于堤坝、水库、地下工程等需要防止水体渗透的场景[1]。防渗墙的结构形式可依据布置方式与墙体结构进行划分。从布置方式来看,主要有嵌固式、悬挂式及组合式;而按墙体结构区分,则包括柱列式、槽段式及混合式等类型[2]。在实际工程中,槽段式防渗墙的应用尤为普遍,其墙体通常由多个槽段相互套接而成。槽孔失稳的主要形式包括整体失稳和局部失稳。

研究表明,受制于复杂地质、高地下水位、施工方法及场地环境等因素的综合作用,防渗墙成槽过程中容易出现槽壁缩颈乃至滑塌等失稳情况,这一风险对工程施工与邻近环境的安全均构成威胁[3]-[5]。因此,如何在复杂地层中维持槽壁稳定,是成槽施工中亟待突破的技术难题。目前,学术界围绕槽壁失稳的内在机制与分析模型已持续开展研究。Ding等通过精细的数值模拟,重点研究了地下连续墙施工的关键步骤(如开挖和浇筑)对周围土体造成的扰动范围、侧向位移和地表沉降的影响规律[6]。王碧峰通过对比分析国内外现行的不同计算理论和方法,对水利工程中防渗墙槽孔开挖稳定性的关键计算问题(如泥浆压力确定、孔壁稳定分析等)进行了系统性讨论与评述,为相关工程的设计与施工提供了理论参考和改进建议[7]。陈婷等通过理论分析和数值模拟,探讨了防渗墙施工过程中,护壁泥浆内的固体颗粒沉淀形成“泥皮”的效应及其对槽壁稳定性的双重影响,并提出了相应的工程建议[8]。雷国辉等对泥浆护壁开挖技术(常用于地下连续墙、防渗墙等施工)的稳定性影响因素和失稳机理进行了系统的综述和分析[9]。邱明明采用了现场试验与数值模拟相结合的方法,探讨在深厚富水砂层中进行地下连续墙成槽施工时,槽壁的稳定性特征及其关键影响因素[5]。Ma等通过数值模拟与理论分析相结合的方法,系统性地研究了超深地下连续墙在泥浆护壁条件下进行沟槽开挖时,槽壁的稳定性机理和周围土体的变形规律[10]

本文以某水库防渗墙成槽施工为研究对象,为明确砂砾石地层防渗墙成槽的槽壁稳定性,本研究首先分析其稳定性特征,进而建立考虑渗流作用的施工过程数值模型,在此基础上,对各主要影响因素进行对比分析。

2. 工程概况

本工程场地的地层结构依据地质详勘报告揭示,主要由人工填土(Qs)、第四系全新统冲积层(Q1a14)及下伏新近纪地层(N1L)组成。各岩土层按其工程特性,自上而下分层为:①2 人工填土(厚度1.20~16.80m),④ 粉质黏土(厚度1.50~3.50 m),⑤ 中砂(厚度2.00~4.90 m),⑥ 卵石(厚度5.30~13.80 m),以及未揭穿的⑦ 黏土岩(厚度6.50~11.00 m),具体分布见图1

从水文地质条件看,防渗墙开挖深度内地下水丰富,主要类型为赋存于砂砾层中的孔隙潜水。该地下水动态受降雨及邻近水库补给控制,年水位变幅达3.25~8.76 m。

Figure 1. Cross section of the trench

1. 槽段横剖面图

3. 砂砾石地层防渗墙开挖施工过程中槽壁稳定性

3.1. 泥浆护壁成槽防渗墙槽壁稳定性因素

由于砂砾石地层具有结构松散、颗粒间黏聚力极低、渗透性强且自稳能力极差的固有特性,在此类地层中开挖深槽极易发生孔壁坍塌事故,因此精准识别与控制稳定性的关键因素至关重要。通过理论分析与工程实践验证,诸多因素中泥浆的性能参数是维持槽壁稳定的核心与首要因素,其中泥浆密度被确立为最关键的控制指标,因其直接决定了泥浆液柱对槽壁的支撑力,能有效平衡外侧的土压力和水压力;而泥浆粘度的重要性紧随其后,高粘度泥浆能更快更好地在槽壁表面形成一层低渗透性的致密“泥皮”,这层泥皮能显著阻隔泥浆中的自由水向地层中渗漏,从而维持浆液压力和保护槽壁。除此之外,外部环境与施工条件也具有显著影响,包括较高的地下水位会增大槽壁外侧的渗透力和压力,更大的槽孔深度与宽度会增大裸露临空面的面积和稳定性维持的难度,以及成槽后搁置时间过长会因泥浆性能劣化和应力释放而导致风险累积。因此,在砂卵石地层中进行此类施工,必须将优化和严格控制泥浆性能作为施工控制的中心环节[11]

3.2. 防渗墙槽壁失稳机理

3.2.1. 整体失稳

整体失稳是一种典型的力学平衡失稳,其破坏形态类似于土坡的整体滑动破坏。槽壁的稳定依赖于泥浆液柱提供的侧向支撑力与槽壁外侧的土压力和水压力之间的静力平衡。当由于泥浆液位急剧下降(如发生漏浆或补给不足)致使侧向支撑力减小,或由于地下水位上升、地表施加额外荷载等导致土压力和水压力增大时,一旦满足侧向支撑力小于土压力和水压力的临界条件,这种平衡便被打破。槽壁后方土体内便会产生一个贯通的剪切滑动面(多呈圆弧形),整个槽壁土体沿着该滑动面发生突发性的、整体性的剪切滑动和坍塌。这种破坏是宏观的、灾难性的,往往在短时间内造成整个槽段的报废,其力学机理可用土力学中的极限平衡理论进行分析和预测[9]

3.2.2. 局部失稳

局部失稳的本质是一种由渗流–软化主导的渐进性破坏。其过程始于泥浆性能不良(如高滤失性、低粘度),无法在槽壁形成有效的隔水泥皮,导致泥浆中的自由水在压力差作用下持续渗入邻近土体。水分的侵入一方面增大了孔隙水压力,另一方面显著降低了土体(尤其是粘性土)的基质吸力和有效应力,从而导致土体抗剪强度软化和崩解。强度降低后的土体在重力、渗流力及泥浆压力的共同作用下,失去局部平衡,最终以小块剥落、掉块或“片帮”的形式从槽壁表面逐渐脱落。这种破坏模式从微观或细观层面开始,通常局限于浅表层,发展速度相对较慢,但其累积效应会不断改变槽壁形态,为更大规模的失稳创造条件[9]

4. 数值模拟分析

4.1. 模型建立

基于成槽试验段数据,确定模拟对象为槽宽0.8 m、深度(he)为40.0 m的槽段,并对其进行数值模拟。依据岩土勘察报告,将槽深范围内的地层简化为5类均匀土层(包括人工填土、黏性土、砂性土、卵石及泥质岩),其计算参数取加权平均值(表1)。采用PLAXIS2D有限元软件建立了模拟成槽施工的渗流–变形耦合模型。定义地连墙横断面方向为x轴,两侧边界距槽中心25.4 m并约束水平位移;深度方向为y轴,上边界为自由地表,下边界至地表下50.0 m深处并约束其全部位移。最终,利用模型的对称性,建立了宽50.8 m、高50.0 m的1/2计算模型,该模型共包含1023个单元与8307个节点,其网格分布如图2所示。

Table 1. Geophysical and mechanical properties

1. 地层物理力学性质参数

地层

密度/(g∙cm3)

变形模量(MPa)

泊松比

黏聚力/kPa

内摩擦角/(˚)

2 人工填土

1.80

8.0

0.25

20.0

22.0

④ 粉质黏土

1.80

20.0

0.25

25.0

-

⑤ 中砂

1.80

50.0

0.25

3.0

35.00

⑥ 卵石

2.20

80.0

0.15

-

40.0

⑦ 黏土岩

2.20

100.0

0.20

150.0

25.0

Figure 2. Numerical analysis model for deformation during anti-seepage wall trenching

2. 防渗墙成槽施工变形数值计算模型

设定地连墙槽内初始泥浆液面低于导墙顶面0.5 m,泥浆重度为10.5 kN/m³。成槽后,随即以线性分布荷载的形式将静水泥浆压力施加于槽壁,用以模拟泥浆的支护作用。对于岩土体材料,则按均质弹塑性模型进行考虑。土体采用HSS本构模型,利用增量理论计算。

4.2. 计算结果

将泥浆护壁液面为−0.5 m、地下水位为−10 m的竖向和水平云图输出分别可得图3图4。可以发现最大的竖向位移和水平位移分别为5.754 × 103 m和5.793 × 103 m,从计算云图可知,最大水平位移均发生在⑥层土,而该层土正是容易发生塌方的卵石层。

Figure 3. Contour of vertical displacement Uy (max: 5.754 × 10−3 m)

3. 竖向位移Uy (最大值5.754 × 10−3 m)

Figure 4. Contour of horizontal deformation Ux (max: 5.793 × 10−3 m)

4. 水平变形Ux (最大值5.793 × 10−3 m)

4.3. 影响因素分析

维持槽壁稳定是地连墙成槽施工的关键。本研究旨在利用已验证的成槽施工数值模型,重点考察在泥浆护壁条件下,地下水位与泥浆参数的变化对槽壁稳定性的影响,所得结论可为实际工程的稳定性控制与施工优化提供指导。

4.3.1. 地下水位变化的影响

为分析地下水位变动的影响,设置了距地表9.5 m (高水位)、10.0 m (中水位)及10.5 m (低水位)三种工况进行数值计算,其对土体变形分布的影响如图5所示。计算结果表明:槽壁最大水平变形(Ux, max) 在高、中、低水位下分别为5.98 mm、5.79 mm和5.70 mm。以中水位工况为基准,高水位使水平变形增

Figure 5. Influence of groundwater level change on soil deformation during diaphragm wall trench construction: (a) horizontal deformation of trench wall; (b) vertical deformation of ground surface

5. 地下水位变化对地连墙成槽施工土体变形的影响:(a) 槽壁水平变形;(b) 地表竖向变形

大了3.6%,而低水位则使其减小了1.6%。地表最大竖向沉降(Uy, max)在不同水位下分别为2.16 mm、2.02 mm和1.94 mm,相对于中水位工况,增减幅度分别为+6.9%与−4.0%。结果表明,地下水位与槽壁变形及地表沉降均呈正相关。为此,在施工中有效控制地下水位对于维持槽壁稳定至关重要。

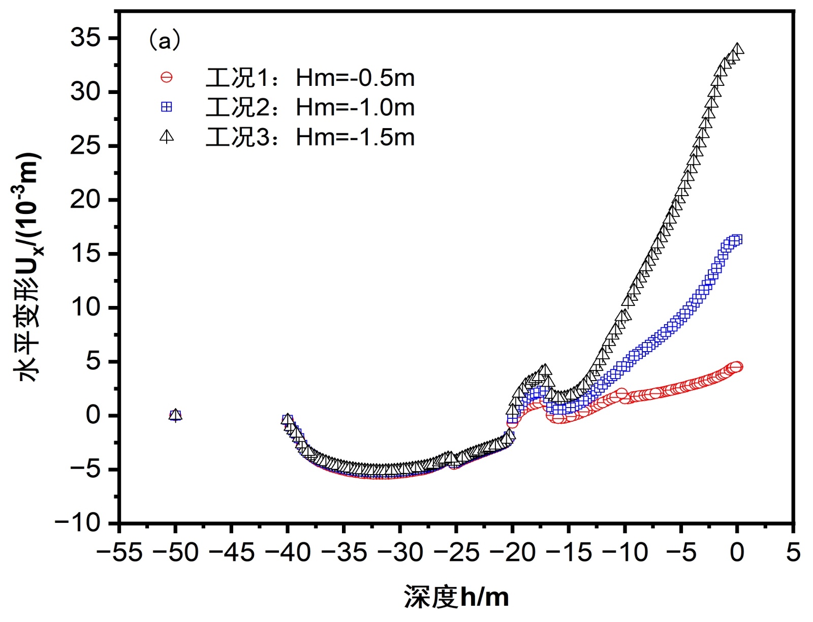
4.3.2. 泥浆液面变化

数值模拟结果(图6)表明,泥浆液面高度是影响地连墙成槽施工土体变形分布的关键因素。具体表现为:随着泥浆液面的下降,槽壁最大水平变形(Ux, max)显著增大,从工况1的5.79 mm急剧增至工况2的16.38 mm与工况3的33.95 mm,以工况1为基准,后两者分别增大了182.9%和486.4%;与此同时,地表最大竖向变形(Uy, max)也由工况1的5.75 mm上升至工况2的18.83 mm及工况3的37.30 mm,增幅分别高达227.5%和548.7%。以上数据表明,泥浆液面的降低会显著加剧槽壁水平变形与地表沉降,且地表竖向变形对液面变化的敏感性高于槽壁水平变形。

Figure 6. Influence of slurry level change on soil deformation during diaphragm wall trench construction: (a) horizontal deformation of trench wall; (b) vertical deformation of ground surface

6. 泥浆液面变化对地连墙成槽施工土体变形的影响:(a) 槽壁水平变形;(b) 地表竖向变形

5. 结论

1) 模拟结果表明,在砂砾石地层中进行防渗墙成槽施工时,槽壁失稳主要出现在两个区段:一是导墙顶面以下1.20~6.80 m深度范围内的人工填土层,二是20.3~39 m区段的中砂与卵石层。其失稳演变机理可概括为:首先,泥浆液面下降引发渗流潜蚀与局部力学失衡,导致槽壁内部被掏空并产生局部滑塌;随着泥浆液面持续降低,渗流作用与剪切破坏进一步加剧,促使滑塌区域不断向深处扩展,最终引发槽壁整体失稳。因此,对于人工填土层,模拟结果表明,该层是槽壁失稳的敏感区域。建议在防渗墙轴线两侧采用高压旋喷桩工艺,形成连续的竖向固结体,增强土体整体性和抗剪强度;对于松散填土,可辅以压密注浆工艺,提高其密实度与均匀性,同时封堵大孔隙,降低渗透性,从而抑制泥浆渗流引发的潜蚀与局部滑塌。对于卵石层,数值模拟显示该层变形显著,最大水平位移达5.79 mm,易发生塌孔。建议在槽段施工前,沿防渗墙轴线在该深度范围内实施超前预灌浆,增强地层自稳能力;对于风险极高区段,可考虑在防渗墙两侧预先施工微型振动沉模防渗板墙或其他板桩支护结构,以有效约束深层土体变形。

2) 监测数据显示,槽壁水平变形在深度方向上呈勺形分布特征,最大变形量达5.79毫米,出现在导墙顶面以下约30米处;与此同时,地表竖向变形在水平方向上表现为V形分布,沉降槽宽度约为(1.0~1.5)倍槽深,最大沉降量为5.75毫米,出现在距槽壁(0.10~0.15)倍槽深水平距离处。

3) 参数分析表明,适当提高泥浆液面高度或控制地下水位下降,可显著减小槽壁水平位移与地表沉降。建议施工中加强泥浆液面监测与补给,并采取降水调控措施,以维持槽壁力学平衡,防止整体失稳的发生。

参考文献

[1] 李雷. 水利堤防加固工程中防渗墙施工技术研究[J]. 新型工业化, 2021, 11(3): 138-139+142.
[2] 王红. 水利堤防加固工程防渗墙施工技术研究[J]. 工程技术研究, 2024, 9(24): 73-75.
[3] 丁勇春, 李光辉, 程泽坤, 等. 地下连续墙成槽施工槽壁稳定机制分析[J]. 岩石力学与工程学报, 2013, 32(S1): 2704-2709.
[4] 龙彪. 富水砂层中地下连续墙施工槽壁稳定性及变形研究分析[J]. 隧道与轨道交通, 2017(4): 14-16+51.
[5] 邱明明, 杨果林, 申权, 等. 深厚砂层地下连续墙槽壁稳定性特征及影响因素研究[J]. 铁道科学与工程学报, 2020, 17(5): 1129-1139.
[6] Ding, Y.C. and Wang, J.H. (2008) Numerical Modeling of Groundresponse during Diaphragm Wall Construction. Journal of Shanghai Jiaotong University (Science), 13, 1-6.
[7] 王碧峰. 关于国内外防渗墙槽孔开挖稳定性计算的讨论[C]//中国水利学会地基与基础工程专业委员会. 2021水利水电地基与基础工程技术创新与发展. 2021: 46-54.
[8] 陈婷, 燕乔, 李亚云, 等. 防渗墙施工中护壁泥浆沉淀对槽壁稳定性的影响[J]. 人民长江, 2015, 46(S2): 85-87+99.
[9] 雷国辉, 王轩, 雷国刚. 泥浆护壁开挖稳定性的影响因素及失稳机理综述[J]. 水利水电科技进展, 2006(1): 82-86.
[10] Ma, J., Hu, G., Rui, R., Ding, R. and Sun, T. (2024) Study on Stability and Deformation Characteristics of Ultra-Deep Diaphragm Wall during Trench Excavation. Buildings, 14, Article 2227.
[11] 刘奉银, 钟丽佳, 张瑞. 砂卵石地层中防渗墙槽壁稳定性影响因素研究[J]. 冰川冻土, 2011, 33(4): 867-872.