基于布朗运动的客服中心机器服务阈值设定研究
Research on Machine Service Threshold Setting of Customer Service Center Based on Brownian Motion
摘要: 随着人工智能技术的快速发展,智能客服系统已成为客服中心提升服务效率、优化顾客体验的关键工具。然而,智能客服的引入也带来了服务深度设定与顾客路由分配等运营决策挑战。本文针对同质顾客场景,构建了一个基于布朗运动的客服中心成本优化模型,旨在通过优化强制顾客使用智能客服的比例和智能客服的服务深度,实现客服中心总成本的最小化。模型综合考虑了顾客放弃成本、服务失败成本、等待成本及人工服务成本,并通过数值模拟与敏感性分析,揭示了智能客服能力对最优决策变量的影响机制。研究结果表明,智能客服能力的提升会促使最优强制比例增加,并改变最优服务深度的设定策略。本文的研究为客服中心在智能客服应用中的运营管理提供了理论依据与实践指导。
Abstract: With the rapid development of artificial intelligence technology, intelligent customer service system has become a key tool for customer service centers to improve service efficiency and optimize customer experience. However, the introduction of intelligent customer service also brings operational decision-making challenges such as service depth setting and customer routing allocation. Aiming at the homogeneous customer scenario, this paper constructs a cost optimization model of customer service center based on Brownian motion, aiming to minimize the total cost of customer service center by optimizing the proportion of forced customers to use intelligent customer service and the service depth of intelligent customer service. The model comprehensively considers customer abandonment cost, service failure cost, waiting cost and labor service cost. Through numerical simulation and sensitivity analysis, the influence mechanism of intelligent customer service capability on optimal decision variables is revealed. The results show that the improvement of intelligent customer service capability will increase the optimal mandatory proportion and change the setting strategy of optimal service depth. The research of this paper provides theoretical basis and practical guidance for the operation and management of customer service center in intelligent customer service application.
文章引用:冯春阳, 戴韬. 基于布朗运动的客服中心机器服务阈值设定研究[J]. 服务科学和管理, 2026, 15(1): 105-114. https://doi.org/10.12677/ssem.2026.151014

1. 引言

随着人工智能技术的成熟,智能客服已成为客服中心提升效率、降低成本的关键工具。它能够全天候处理海量并发请求,有效分担人工坐席的压力。然而,实践中智能客服的引入并非一帆风顺。大量顾客抱怨其面对复杂问题时答非所问,体验不佳,甚至宁愿排队等待人工服务。这种排斥现象揭示了智能客服的固有局限:其无法独立解决所有客户问题,不当的使用策略反而会损害客户满意度与企业声誉。

因此,实现智能客服与人工客服的高效协同成为运营管理的核心挑战。其中,两个关键决策变量至关重要:一是应强制多大比例的顾客优先使用智能客服(强制比例),二是应设定多高的业务复杂度阈值以触发从智能客服到人工坐席的转接(服务深度)。为攻克这一难题,本研究创新性地引入布朗运动模型,以刻画智能客服服务过程中的随机性与不确定性,并构建成本优化模型,旨在为设定最优的强制比例与服务深度提供量化决策支持,从而在保障服务质量的前提下实现客服中心总成本的最小化。

2. 文献综述

关于智能客服与人工客服协同优化的研究主要从路由设计与机器人工聊天转接视角展开。在路由设计层面,王海忠等[1] (2021)研究表明,在面对不确定、不可控、不可测的情况下时,人工客服的作用仍不可替代,尤其是在服务失败的情境下,若对顾客强制使用智能客服只会适得其反;Feng等[2] (2019)基于心理抗拒理论揭示了强制使用自助技术对用户心理和行为的负面影响;Castillo等[3] (2024)通过混合研究发现,用户对智能客服服务失败的责任归属取决于“自愿/被迫”互动情境,在被迫使用场景下,失败会显著放大用户对企业的责备。智能客服的引入虽然能够降低企业成本,提高服务效率,但是需要合理地使用智能客服,尤其是强制路由方法,该方法具有明显的优势,可以让一部分智能客服就能解决问题的顾客不占用人工客服资源,但是也会存在服务失败的情况,给企业带来一定的成本增加,因此设定合理的强制比例就显得尤为重要。

在机器人工聊天转接层面,学界主流聚焦于突破智能客服的技术能力边界,张艺潆等[4] (2025)阐述了生成式AI基于大语言模型在语义理解、多轮对话与情感交互等方面的技术突破;魏瑾瑞等[5] (2025)针对服务失败场景,引入生成式人工智能实施持续补救,既强化业务解决能力,又即时安抚用户情绪,形成问题闭环。然而,上述研究侧重技术发展,运营层面可解释性不足,难以为管理者提供直观决策依据。为填补这一空白,本文引入布朗运动刻画智能客服服务的随机演化,Metzler等[6] (2014)提到扩散过程在有限时间内的生存概率问题是应用概率的一个活跃研究领域,“生存”是指某些随机动力学的变化必须保持在一定范围内或特定域内才能保持特定属性的问题,当第一次通过域边界导致该属性结束时,该边界被称为吸收边界,跨越边界意味着无法活跃或继续存活。这与智能客服服务顾客的过程极为相似,没有达到边界时,智能客服与顾客不断交互,当达到边界时,顾客服务完成或被推荐前往人工客服。Wang等[7] (2010)将服务中心通过电话为患者提供基于症状建议的过程建模为布朗运动,该模型综合考虑了建议的准确性、呼叫者的等待时间和员工成本,并给出了呼叫停止时间的一阶矩和二阶矩的封闭形式表达式,此停止时间视为多服务器排队系统中的服务时间,通过它将假设检验与排队理论结合在了一起。Zychlinski等[8] (2024)研究混合型医院如何通过远程医疗平衡现场和远程住院,采用布朗运动模型模拟患者远程、现场住院及旅行期间的健康状况变化,并使用成本最小化策略确定呼叫阈值,提出了基于患者特征和距离的入院指导策略及医疗资源最优分配方案。这些研究为本文利用随机过程理论刻画智能客服服务过程提供了重要启示。本文对强制比例和服务深度这两个核心运营参数进行协同优化研究,构建同时优化强制比例和服务深度的成本最小化模型。

3. 基于布朗运动的人机协同成本优化建模

3.1. 客服中心双渠道服务模式

客服中心双渠道服务业务流程如图1所示,顾客到达后,先识别顾客的问题并对顾客的业务复杂度进行打分,然后进行路由分配,一部分比例的顾客被强制使用智能客服,其余顾客可自行选择智能客服或人工客服。在智能客服中,可能存在三种结果:服务完成顾客离开、服务失败顾客转接人工客服以及服务失败顾客放弃,在人工队列中,转接至人工客服的顾客和一开始就选择人工客服的顾客按照先到先服务的排队规则接受服务,且认为人工客服处不存在顾客放弃行为。

Figure 1. Dual channel service business flow chart of customer service center

1. 客服中心双渠道服务业务流程图

3.2. 基于布朗运动的智能客服服务过程建模

基于Zychlinski等[8]构建的个体健康评分的随机动力学模型,本文通过带负漂移的布朗运动模型来模拟顾客在智能客服处业务复杂度的演变,该模型捕获了顾客在智能客服的行为。给定顾客业务复杂度、智能客服技能水平、扩散系数、转接阈值等参数,可以得到顾客的业务复杂度达到转接阈值概率:

p x ( a )= 1 e ρx e ρxa e ρx (1)

其中:

ρ= 2 θ AI δ A 2 (2)

顾客在智能客服中的服务时间:

E AI = 1 θ AI [ ( 1 p x ( a ) )x p x ( a )a ] (3)

3.3. 同质顾客的强制比例和转接阈值设定模型

本文考虑了顾客服务放弃、失败转接、排队等待、人工服务四个成本,并以一天(8小时)总成本最小化作为模型的目标函数。假设顾客以参数为 Λ 的泊松分布到达客服中心后,通过对顾客业务问题的判断,得到初始的业务复杂度 x ,强制进入智能客服的顾客比例为 β ,非强制顾客选择智能客服的概率为 P AI ,那么智能客服处的顾客单位时间到达率为:

λ 1 =Λβ+Λ( 1β ) P AI (4)

非强制顾客选择人工客服的顾客单位时间到达率为:

λ 2 =Λ( 1β )( 1 P AI ) (5)

(1) 服务放弃成本:顾客在智能客服中接受服务的时间超出了容忍阈值,顾客放弃离开客服中心,通过布朗运动得到顾客的服务时间均值后,使用指数分布来刻画智能客服处理顾客服务时间的分布,在概率密度函数图像中,大于容忍阈值部分的概率就是顾客放弃的概率。

智能客服服务时间服从指数分布,参数通过布朗运动得到的 E AI 得到:

λ AI = 1 E AI (6)

顾客的容忍阈值与其业务复杂度以及人工坐席的服务速率相关,对于在智能客服中所能接受的服务时间,顾客一般会对比正常情况下人工坐席的解决时间,因此容忍阈值为:

E 0 =k x θ H (7)

在指数分布中,大于 E 0 部分的顾客放弃,放弃概率为:

A p =1F( E 0 ; λ AI )= e λ AI E 0 (8)

放弃人数为:

N a = λ 1 608 A p (9)

放弃成本为放弃成本系数与放弃人数和放弃时间的乘积:

C a = h a N a E 0 (10)

(2) 失败转接成本:服务时间在容忍阈值之前的顾客,其中有部分顾客未能成功被智能客服服务掉,业务复杂度达到 x+a ,在智能客服处不仅没能解决问题,白白浪费了时间,还需要重新排队等待。

在智能客服处服务失败时间均值为:

E AI_f = 1 λ AI E 0 e λ AI E 0 1 e λ AI E 0 (11)

服务失败的人数为:

N f = λ 1 608( 1 A p ) p x ( a ) (12)

服务失败的成本为:

C f = h f N f E AI_f (13)

(3) 等待成本:非强制顾客选择人工坐席和从智能客服转接到人工坐席两部分顾客在人工队列中等待所产生的成本。

假设两部分顾客到达人工队列服从泊松到达,则人工队列处的单位时间内顾客到达率为:

λ H = λ 1 ( 1 A p ) p x ( a )+ λ 2 (14)

人工坐席总是能够解决顾客的问题,而且解决时间与顾客的业务复杂度成正比,与人工坐席解决问题的水平成反比,则从智能客服转接到人工坐席顾客在人工坐席处的服务时间为:

E AI_H = x+a+W θ W θ H (15)

直接选择人工客服的顾客在人工坐席处的服务时间为:

E H = x+W θ W θ H (16)

人工坐席的加权服务时间均值为:

E JQ = λ 1 ( 1 A p ) p x ( a ) E AI_H + λ 2 E H λ H (17)

人工坐席服务速率为:

μ H = 1 E JQ (18)

人工坐席服务系统中, m 个服务台排队系统的总平均利用率小于1时,系统处于稳定状态,不会排成无限的队列,总平均利用率为:

ρ m = λ H m μ H (19)

人工坐席服务系统为空的概率为:

P 0 = [ k=0 m1 1 k! ( λ H μ H ) k + 1 m! 1 1 ρ m ( λ H μ H ) m ] 1 (20)

顾客在人工队列处的平均等待队长为:

L q = ( m ρ m ) m ρ m m! ( 1 ρ m ) 2 P 0 (21)

等待时间为:

W= L q λ H (22)

转接到人工队列的顾客等待成本会更高,因此对两部分顾客使用不同的成本系数计算总等待成本,因此等待成本为:

C w = h W_AI N f W+ h W_H λ 2 608W (23)

(4) 人工成本:人工坐席服务两部分顾客所产生的人工时间成本。

两类顾客业务复杂度需要占用人工坐席总时长为:

E T = N f E AI_H + λ 2 608 E H (24)

人工坐席总成本为:

C h = h h E T (25)

则该模型的目标函数为:

min C t ( β,a )= C a + C f + C w + C h (26)

4. 算例分析

Figure 2. The total cost changes with the mandatory ratio and service depth

2. 总成本随强制比例与服务深度变化图

总成本函数是一个包含 a β 的双目标函数,但由于求解等待时间涉及到阶乘以及非线性方程求解,导致难以得到理论最优解,只能通过数值模拟的方式得到近似最优解。在参数固定的情况下,以顾客业务复杂度 x=100 (分)、智能客服技能水平 θ AI =50 (分/分钟)、布朗运动随机波动 δ A =58 、人工客服技能水平 θ H =80 (分/分钟)、业务复杂度因等待导致恶化增大的速率 θ W =2 (分/分钟)、人工客服人数 m=7 (人)、客服中心到达率 Λ=5 (人/分钟)、非强制顾客选择智能客服服务的比例 P AI =0.3 、顾客单位时间放弃成本 h a =3 (元/分钟)、顾客单位时间服务失败成本 h f =1 (元/分钟)、转接人工顾客等待单位时间成本 h W_AI =0.6 (元/分钟)、自愿人工等待单位时间成本 h W_H =0.4 (元/分钟)、人工坐席单位服务时间成本 h h =0.8 (元/分钟)该组参数为例,将强制比例 β[ 0,1 ] 以0.01步长进行划分,将智能客服服务深度 a[ 0,100 ] 以1步长进行划分,以此分别代入到目标函数中,可以得到对应的总成本,使用MATLAB制作三维图,如图2所示。

通过对图2的初步分析,智能客服服务深度对总成本的影响趋势是随着服务深度的增大,总成本先减少后增加;强制比例对总成本的影响较为模糊。在该参数假设下,通过网格搜索得到的最优解是:服务深度为13,强制顾客前往智能客服的比例为0.48,最低总成本为2967.39元。

5. 敏感性分析

5.1. 智能客服技能水平的影响分析

假设参数 θ AI 的变化范围为[1, 160],随着 θ AI 的不断增大,智能客服的技能水平不断升高,总成本变化如图3所示,对应的最优决策变量服务深度 a 和强制比例 β 变化曲线如图4所示。

Figure 3. The curve of the optimal total cost with the skill level of intelligent customer service

3. 最优总成本随智能客服技能水平变化曲线

Figure 4. The curve of the optimal strategy with the level of intelligent customer service skills

4. 最优策略随智能客服技能水平变化曲线

图3可知,引进智能客服后,只要能够合理地设置强制顾客前往智能客服的比例以及智能客服的服务深度,那么引入的智能客服水平越高,总成本就越低,从长期投资的角度看,可以对比提升智能客服能力所需成本与其提升后所带来的节约成本,从而匹配企业需求的智能客服水平,实现成本优化。由图4可知,当智能客服服务速率不够高的时候,不强制顾客前往智能客服接受服务,让顾客自由选择,同时智能客服的能力越差,设定的服务深度相对就要越大;随着智能客服的服务速率不断提升,强制顾客前往的比例可以逐渐增大,设定的服务深度逐渐减小;当智能客服的服务速率提升到一定的水平后(不一定超过人工坐席),让尽可能多的顾客前往智能客服接受服务,智能客服的服务深度也可以逐渐增大。

5.2. 智能客服不同技能水平下各成本的变化趋势

随着 θ AI 增加,最优总成本呈现持续下降趋势。然而,深入分析其他成本变化可发现,智能客服能力增强时,各项成本并非单调下降,如图5所示,在特定的 θ AI 区间,服务放弃成本 C a 和服务失败成本 C f 反而出现上升趋势。剖析这些成本波动现象,有助于客服中心精准把握策略调整时机,实现更优的成本管控。

Figure 5. The curve of optimal total cost composition with the change of intelligent customer service skill level

5. 最优总成本构成随智能客服技能水平变化曲线

通过分析最优总成本对应的放弃成本随 θ AI 增大的变化曲线,发现当 θ AI [ 58,143 ] 时,放弃成本出现上升趋势。此时,强制比例达到1,前往智能客服的人数固定,放弃成本主要受智能客服服务时间均值的影响,服务时间均值又受 θ AI a 双重制约, θ AI 提升,服务时间均值本应下降,但 a 的增加,又会使服务时间均值上升。在这一阶段, θ AI 虽然在增强,但是最优服务深度 a 也随之增大,服务深度增加导致服务时间均值上升的幅度,完全抵消了 θ AI 提升带来的服务时间均值下降幅度,最终使放弃成本呈现上升趋势。因此当智能客服能力达到较高水平时,客服中心管理者可以采取以下措施:在与顾客的互动中,主动提供一些友好的建议,鼓励顾客在使用智能客服时保持更多的耐心,可以适当调整顾客对智能客服服务时长的预期,让他们了解智能客服可能需要稍长的时间来处理问题。这种调整不仅有助于提升顾客的满意度,还能确保智能客服的潜力得到充分发挥,从而优化整体服务流程,提高服务效率,最终实现成本的有效控制和降低。

服务失败成本与服务失败人数及服务失败时间均值正相关,其中服务失败人数受前往智能客服的人数和转接概率正向影响,而与服务放弃概率呈反向关系。在 θ AI [ 42,58 ] 阶段,服务失败成本出现上升趋势。随着 θ AI 的增大,强制比例的提升使更多顾客进入智能客服,同时 a 的降低与 θ AI 的增大会促使转接概率上升、服务时间均值缩短,服务时间均值的缩短降低了放弃概率,最终会造成服务失败人数的不断增大。尽管服务失败时间均值不断减小,但相比于服务失败人数对服务失败成本的影响较小。因此当智能客服的能力尚处于一般水平时,针对那些因智能客服无法解决问题而转接至人工客服的顾客,建议采取一些额外的关怀措施,例如:及时告知顾客我们已经详细记录了他们的问题,并在他们接受人工客服服务时,确保能够快速且精准地提供解决方案,从而提升顾客体验。

5.3. 智能客服服务深度的影响分析

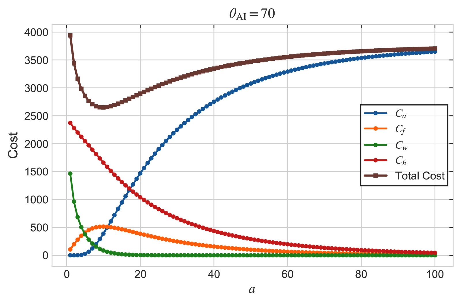
由5.2分析可知,当 θ AI 大于58时,强制比例达到1,不再发生变化。因此假设 θ AI 为70, β 为1,参数 a 的变化范围为[0, 100],随着 a 的不断增大,智能客服的服务深度不断升高,各成本变化如图6所示。

Figure 6. The change curve of each cost with the service depth of intelligent customer service

6. 各成本随智能客服服务深度变化曲线

图6可见,各成本随服务深度 a 增大呈异质变化,体现出智能客服能力释放与顾客体验之间的权衡关系。放弃成本呈现出单调上升的趋势, a 增大使顾客在智能客服内的停留时间延长,一旦超过心理预期且系统未及时转人工,放弃意愿显著增强,导致放弃成本持续放大。服务失败成本则表现出先升后降的倒U型特征:初期 a 增大使单次失败时长显著拉长,时间效应占主导,成本上升;当 a 足够大时,失败人数锐减,人数下降效应反超时间增长,成本转而下降,反映出智能客服能力得到充分释放。等待与人工成本均单调递减, a 增大虽提升转接顾客的平均复杂度,但失败人数持续减少,人工队列到达率显著下降,坐席利用率降低,等待时间缩短,因此等待成本和人工成本同步下降。综上,服务深度的增大有效减轻了人工客服负荷,但伴随放弃成本攀升,总成本因此存在最优平衡点,管理者应在智能客服能力释放与顾客容忍阈值之间寻找最小成本解,避免过度使用智能客服而造成顾客体验流失。

6. 结论与管理意见

本章针对同质顾客的智能客服场景,构建了基于布朗运动的客服中心机器服务阈值设定模型,旨在通过优化强制比例和转接阈值来实现客服中心总成本的最小化。模型综合考虑了顾客业务复杂度、到达过程、智能客服与人工客服的服务特性等多方面因素,详细刻画了顾客在智能客服和人工客服之间的流转过程,并从成本角度出发,分析了各项成本与决策变量之间的关系。

研究揭示了智能客服能力与服务深度对客服中心成本的复杂影响机制。当智能客服能力较弱时,最优策略是不强制顾客使用智能客服,并设置较大的服务深度,以减少服务失败成本;随着智能客服能力的逐步提升,强制比例应逐渐增加,而服务深度则应相应减小,以此来充分利用智能客服的能力,同时避免因服务深度不足导致的成本上升;当智能客服能力达到较高水平时,应让尽可能多的顾客使用智能客服,并适当增加服务深度。通过对智能客服服务深度的分析,剖析其变动对各项成本的牵动作用,解释了为什么不能无限放大智能客服的服务深度,揭示出智能客服能力释放与顾客体验之间的权衡。针对智能客服能力提升过程中可能出现的成本波动现象,也提出了相应的管理建议,如智能客服水平中等时,对转接至人工客服的顾客提供优先服务,智能客服能力较强时,调整顾客对智能客服服务时长的预期等,以帮助客服中心更好地应对成本变化,提升顾客体验。但是本文仅针对同质顾客与单一智能客服场景展开讨论,未来仍需引入顾客异质与多智能客服情形,以进一步提升模型的现实适用性与决策精度。

参考文献

[1] 王海忠, 谢涛, 詹纯玉. 服务失败情境下智能客服化身拟人化的负面影响: 厌恶感的中介机制[J]. 南开管理评论, 2021, 24(4): 194-204.
[2] Feng, W., Tu, R., Lu, T. and Zhou, Z. (2018) Understanding Forced Adoption of Self-Service Technology: The Impacts of Users’ Psychological Reactance. Behaviour & Information Technology, 38, 820-832. [Google Scholar] [CrossRef
[3] Castillo, D., Canhoto, A.I. and Said, E. (2024) When AI-Chatbots Disappoint—The Role of Freedom of Choice and User Expectations in Attribution of Responsibility for Failure. Information Technology & People. [Google Scholar] [CrossRef
[4] 张艺潆, 李昀. 生成式人工智能驱动的智能客服转型[J]. 社会科学前沿, 2025, 1(7): 1-5.
[5] 魏瑾瑞, 黄宇航, 徐晓晴. “情绪价值”至上?——智能客服在服务失败情境下的补救策略及其有效性研究[J/OL]. 南开管理评论, 1-29.
https://link.cnki.net/urlid/12.1288.F.20250704.0841.002, 2025-10-23.
[6] Metzler, R., Redner, S. and Oshanin, G. (2014) First-Passage Phenomena and Their Applications. World Scientific.
[7] Wang, X., Debo, L.G., Scheller-Wolf, A. and Smith, S.F. (2010) Design and Analysis of Diagnostic Service Centers. Management Science, 56, 1873-1890. [Google Scholar] [CrossRef
[8] Zychlinski, N., Mendelson, G. and Daw, A. (2024) The Hybrid Hospital: Balancing On-Site and Remote Hospitalization.
https://arxiv.org/abs/2408.12431