激光辐照下45#钢温度场的变化特性研究
Study on the Temperature Field Variation Characteristics of 45# Steel under Laser Irradiation
摘要: 本文利用有限元软件,来模拟激光辐照过程中45#钢温度场的变化情况,系统地研究了激光能量、空间位置(径向、深度)、时间等关键参数对45#钢温度场的影响。通过探究45#钢上表面不同位置温度随激光能量的变化规律、不同能量下径向温度分布特征、不同深度处径向温度变化趋势、上表面温度的瞬态变化过程及上表面温度云图分布,明确了激光辐照下45#钢温度场空间–时间上的变化趋势。研究结果为优化激光辐照45#钢的工艺参数(如激光能量、辐照时间)、减少热变形和组织缺陷提供了理论依据和数据支撑。
Abstract: This paper utilizes finite element software to simulate the temperature field changes in 45# steel during laser irradiation. A systematic investigation was conducted into the effects of key parameters—laser energy, spatial position (radial, depth), and time—on the temperature field of 45# steel. By investigating the variation of surface temperatures at different locations on 45# steel with respect to laser energy, characteristics of radial temperature distribution at different energies, radial temperature variation trends at different depths, transient temperature changes on the upper surface, and the temperature distribution map of the upper surface. The spatial-temporal evolution of the temperature field in 45# steel under laser irradiation has been clarified. The research findings provide a basis for optimizing the process parameters for laser irradiation of 45# steel, such as laser energy and irradiation time, reducing thermal deformation and microstructural defects, which provides both theoretical justification and data support.
文章引用:陈荣, 徐立君. 激光辐照下45#钢温度场的变化特性研究[J]. 建模与仿真, 2026, 15(1): 213-221. https://doi.org/10.12677/mos.2026.151020

1. 引言

如今各种不同类型、不同性能的激光器随着激光技术的快速发展而不断涌现。激光作为一种清洁、环保的新型技术,因其具有优良的单色性、优异的相干性、良好的空间控制性等优势[1],且在医疗事业、国防军事、工业加工及信息的储存等多个领域中被广泛应用。基于激光技术的发展,为激光辐照行业的蓬勃发展[2]、光学技术的变革以及一系列的基础性研究的创新发展均提供了重要的支撑。

材料损伤机理的本质源于激光与材料之间的复杂作用[3],这属于一种十分繁琐的物理–化学动态流程,其中包括力学、热学、光学等多种效应的耦合交叉。在激光与材料互相作用的多种破坏形式中,由热烧蚀作用主导的材料去除破坏、力学作用造成的结构损伤破坏以及辐射效应带来的性能劣化破坏,构成了最为关键的三类核心效应表现。在激光与物质发生相互作用时,温度场作为反映该过程物理本质的关键表征之一[4],其变化规律会直接关系到激光能量的传递效率与材料特性。同时,温度是热力学[5]、物理、材料、冶金等学科中重要的技术参数。在伴随航空航天等前沿的尖端技术持续进步,以及工业生产环节的检测与管控能力的逐步提升中,温度测量技术与精度指标被要求到更为严格迫切。

目前,学术界与工业界关于激光辐照金属材料温度场的研究已取得阶段性进展,相关成果主要集中在单一激光参数(如激光功率、辐照时间)作用下,不锈钢、铝合金等典型金属材料的温度分布特征、热传导机制及数值模拟方法构建等方面,为激光加工技术的初步应用奠定了基础。王贵兵等[6]基于大气环境下45#钢的表面反射率,探究了该材料与激光的能量耦合机理;Bergström等[7]探究了入射角、表面粗糙及激光波长对能量耦合系数的影响特性;焦路光[8]探究了1.319 μm波段下45#钢反射率随温度的变化特性。

然而,在实际激光辐照场景中,材料所承受的并非单一参数作用,而是激光能量、辐照时间、光斑尺寸、材料热物理参数等多因素的耦合影响[9]。尤其对于在机械制造、模具加工、工程机械等领域应用极为广泛的45#钢而言,其温度场演化特性仍存在一些需要深入探究的内容。现有研究多侧重于单一方面(仅时间或者仅表面空间)的温度变化分析,未能充分表现能量输入、空间分布与时间三者的作用情况,难以精准描述45#钢在激光辐照过程中的温度场演化规律,这制约了激光加工45#钢工艺参数的精准优化。

由于需要精准掌握激光辐照45#钢温度场的本质[10],因此本文的研究对象为45#钢材,基于不同维度、不同变化特征的关键温度场测试数据开展系统研究。其中,不同能量辐照后温度场径向分布数据能够明晰激光能量密度变化对径向温度场的影响;不同深度径向分布数据可描述温度场在材料内部的传播特性;材料上表面瞬态时径向分布数据有助于解析温度场随着辐照的时间变化而变化的过程;材料上表面温度云图则可辅助分析激光能量在45#钢的传递路径及热损失规律。通过对上述多方面数据的综合梳理、分析与规律的整合,系统表明45#钢在多参数耦合作用下温度场的演化特征、关键影响因素的研究,最终为激光加工45#钢的工艺参数优化(如激光能量匹配、辐照时间控制、光斑尺寸选择等)提供可靠的理论依据与数据支撑,推动了45#钢激光辐照技术向精度高、质量好的方向发展。

2. 数值模型

2.1. 几何模型

在纳秒脉冲激光作用于45#钢的表面上时,材料将会吸收激光的能量并令它转化为热能,这一转换过程在宏观层面上直接呈现出材料温度的增长趋势。当激光光束以垂直方式辐照45#钢材,且入射光为高斯分布时,利用柱坐标系来构建空间轴对称模型。其中z轴为对称轴,r为半径方向,45#钢材厚度为h,径向计算范围为R。毫秒激光光斑半径为 ω

光都沿着Z方向垂直入射于45#钢材料表面中心处。当激光照射材料表面之际,辐照能量被随之吸收且位置在材料表面(z = 0)处。示意图如图1所示。

Figure 1. Geometric model diagram of 45# steel material under laser irradiation

1. 45#钢材料激光辐照下的几何模型图

借助有限元软件对45#钢受激光辐照后的温度场进行模拟分析,几何模型图如下(图1)所示,其中设定模型参数b = 2 mm、h = 1 mm;激光相关参数如下:波长1064 nm,能量分别为50 J、70 J,半径为1 mm,脉宽为10 ns,相关材料参数如表1所示。

Table 1. Material parameters for 45# steel

1. 45#钢材料参数

参数名称

参数值

密度ρ (g/cm3)

7.85

比热容c/(J/g∙K)

0.46

反射率R

0.64

(1.319 μm激光下室温值)

热传导率k (W/cm∙K)

0.50

2.2. 理论模型

激光辐照45#钢材料进行能量交换的过程中,激光能量被45#钢材料所吸收,激光与材料45#钢的耦合作用中,热传导为主导物理过程,材料与外界环境间的对流换热及辐射效应均可忽略不计,所以可理解为45#钢材料所吸收的能量全部转化为热能。

采用柱坐标系建立了空间轴对称模型,其三维热传导方程可以表述为:

ρc T t = x ( K T x )+ y ( K T y )+ z ( K T z )+A( x,y,z,t ) (1)

式中, A( x,y,z,t ) 表示单位时间、单位体积内传递给固体材料的热传递速率,T表示温度参数,时间变量为tc表示材料的比热容, ρ 代表材料密度,K为材料热导率。考虑到材料热物理系数随温度变化而改变,得到方程(1)属于非线性方程,求解过程极为复杂,难以直接得到解析解。实际上,多数材料的热物理特性参数对于时间的波动幅度较小,因此在满足一定条件时可以假定其不随时间变化,且在相应的温度区间内可取平均值展开求解,这样方程(1)即可获得解析解。

为了求解热传导方程,进行如下的假定:

1) 被加热材料是各向同性物质;

2) 材料的热物理参数与温度无关;

3) 重点关注材料表面的热传导效应,对于热传导中的辐射及对流作用均忽略不计;

为简化求解过程,设定激光的横向光强分布遵循高斯分布形态,且光强的聚焦点也满足高斯分布特性,此时作用在材料表面上的激光功率可以表示为:

P( r )= ρ 0 exp( r 2 / a 2 ) (2)

式中,光束中心的功率密度为 ρ 0 ,光束的高斯半径为a

对输入激光参数进行模拟,得到激光能量高斯分布曲线,如图2所示。

Figure 2. Gaussian distribution diagram of laser energy

2. 激光能量的高斯分布图

45#钢材料在激光辐照时,其温度表达式可为:

T( r,z,t )= ( 1R ) ρ 0 a 2 ρC πk 0 t dt t ( 4kt+ a 2 ) exp[ ( z 2 4kt + r 2 4kt+ a 2 ) ] (3)

材料表面中心处的温度如下式:

T( 0,0,t )= ( 1R ) ρ 0 a K π 1/2 arctg ( 4kt a 2 ) 1/2 (4)

2.3. 热源模型

采用纳秒脉冲激光(波长为1064 nm)为高斯光束,设定辐照激光的功率密度取值为P,光斑半径设为 ω ,此时光束的功率密度分布可写为:

P( r )= 2PA π ω 2 e 2 r 2 ω 2 (5)

其中,测试点与激光光斑的中心点之间的距离用r来表示。

2.4. 模型的网格划分

在有限元模型求解中,网格化分占据了重要地位,单元数量的增加且划分精细度的提高,使得模型的求解结果精度越高。但网格划分的单元数量的增加与精细化程度的提升,不仅会占用更多的计算机资源,计算求解的时间也会延长,因此可选用二维轴对称法进行网格划分。由于模型实体为圆柱体且激光辐照表面为圆形,使用自由三角形网格剖分可以更精确地表征三维模型的几何特征(图3)。

Figure 3. Grid partitioning diagram

3. 网格划分图

为确保纳秒脉冲激光瞬态温度分布计算的准确性,在网格划分中,实际网格划分的核心比率为:1:20,这是激光辐照类数值模拟中针对“高温梯度区密网格、低温梯度区疏网格”的典型非均匀划分策略。采用这样的方式,激光辐照区域进行网格加密,远离该区域的网格则适当稀疏化,这种差异化配置可以在保障计算精度的同时又有效的提升计算效率。

3. 数值模拟结果与分析

3.1. 不同位置下45#钢上表面的温度随入射激光能量的变化

激光辐照下,45#钢的上表面作为能量耦合与热传导的起始界面,其温度响应直接关联加工过程的稳定性与最终质量。不同位置(光斑中心、过渡区及外围区域)的温度随入射激光能量的变化存在显著差异,这一关系是解析能量空间分布效应与热扩散机制的关键。

图4所示曲线直观呈现了特定条件下45#钢上表面温度的响应规律:在光斑半径0.5 mm、辐照时长10 ns的参数设定下,入射激光能量在3~30 mJ范围内变化时,上表面不同位置的温度演化特征清晰可辨。从曲线趋势可见,对于上表面同一观测位置,温度与入射激光能量呈现显著正相关,随着激光能量的逐步提升,温度上升幅度持续增大;而在入射激光能量保持一致的情况下,温度分布呈现明显的空间差异性——上表面光斑中心区域的温度峰值最高,沿半径方向向外延伸时,温度上升幅度依次递减,形成由中心向边缘的梯度分布。这一现象的本质是ns脉冲激光的能量空间分布特性所致,其高斯分布模式导致光斑中心能量密度最高,沿径向能量密度逐步衰减,进而引发上表面温度的空间差异化响应。

Figure 4. Temperature changes at different positions on the surface of 45# steel under varying incident laser energy

4. 入射激光能量变化下45#钢上表面不同位置的温度变化

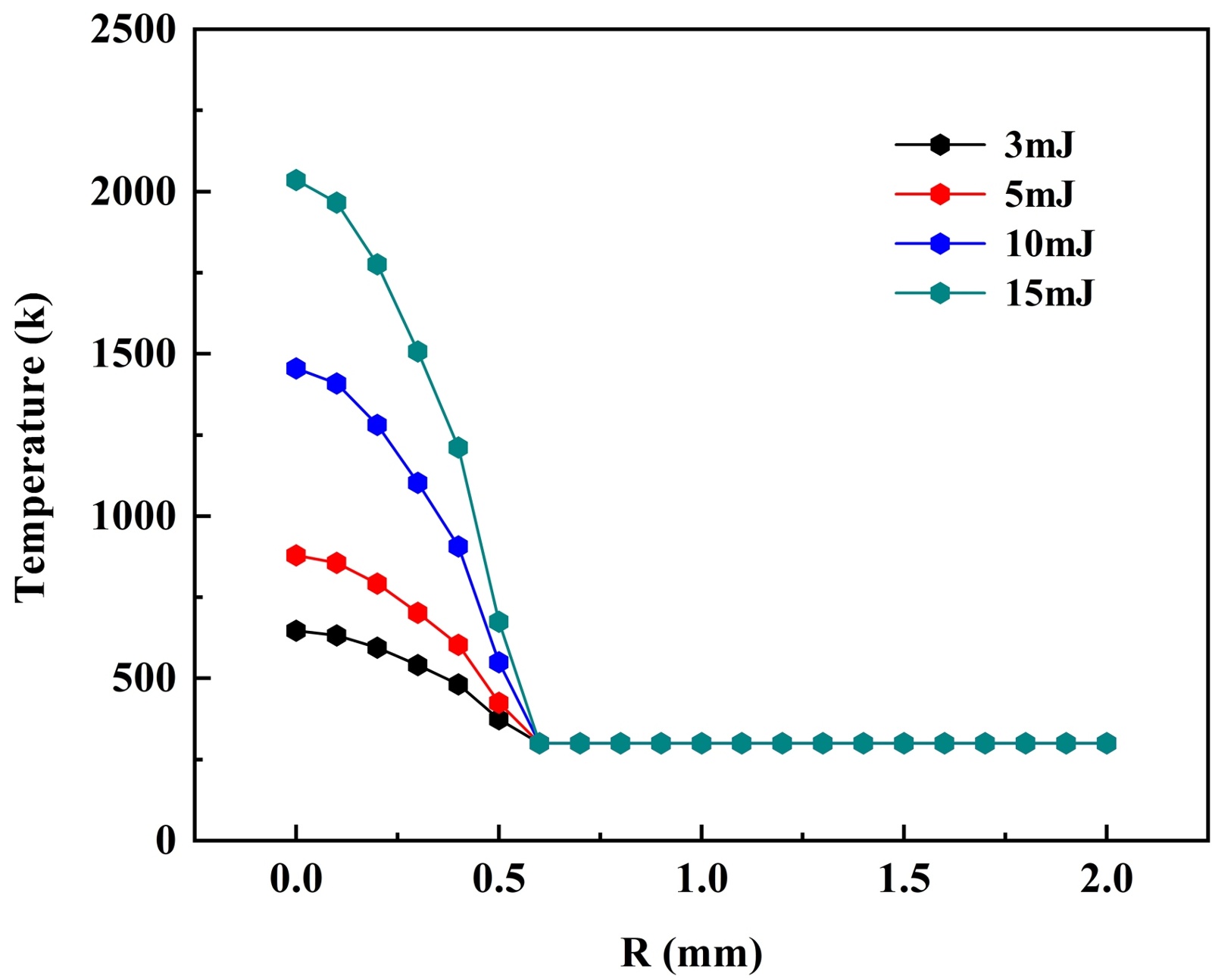
3.2. 不同能量激光辐照下45#钢上表面的径向温度分布

激光能量的空间分布与量化输入是调控45#钢激光加工质量的核心前提,而上表面径向温度分布直接反映能量吸收与热扩散的协同效应。不同入射激光能量下,钢件表面从光斑中心到边缘的温度梯度变化,对明确熔化阈值、相变范围及加工均匀性至关重要。图5通过可视化呈现不同能量激光辐照10 ns后的径向温度演化特征,为解析能量–空间耦合下的温度场规律提供了直观数据支撑。

Figure 5. Radial temperature variation on the surface of 45# steel under changing incident laser energy

5. 入射激光能量变化下 45#钢上表面的径向温度变化

图5呈现了光斑半径0.5 mm、不同能量激光辐照10 ns后,45#钢上表面的径向温度分布特征。由图可知,激光辐照下钢件上表面温度呈显著的中心–边缘梯度分布,光斑中心区域温度始终最高,且随入射激光能量提升,中心温度呈现出单调递增趋势。具体而言,10 mJ单脉冲激光辐照10 ns后,光斑中心温度为1454.6 K,未达到45#钢熔点(钢的熔点并非固定值,而是因成分不同在1300℃~1500℃即1573.15 K~1773.15 K之间波动),材料保持固态;15 mJ能量辐照时,中心温度升至2036 K,远超熔点,材料发生熔化。此外,上表面温度沿径向呈现快速衰减趋势,在距离中心0.6 mm处温升几乎可忽略,表明45#钢吸收的激光能量主要集中于光斑半径范围内。值得注意的是,12 mJ激光辐照一个脉冲后,靶材温升恰好达到45#钢1687 K的熔点,对应激光功率密度为1.53 × 109 W/cm2,该临界参数为激光辐照加热优化提供了关键参考。

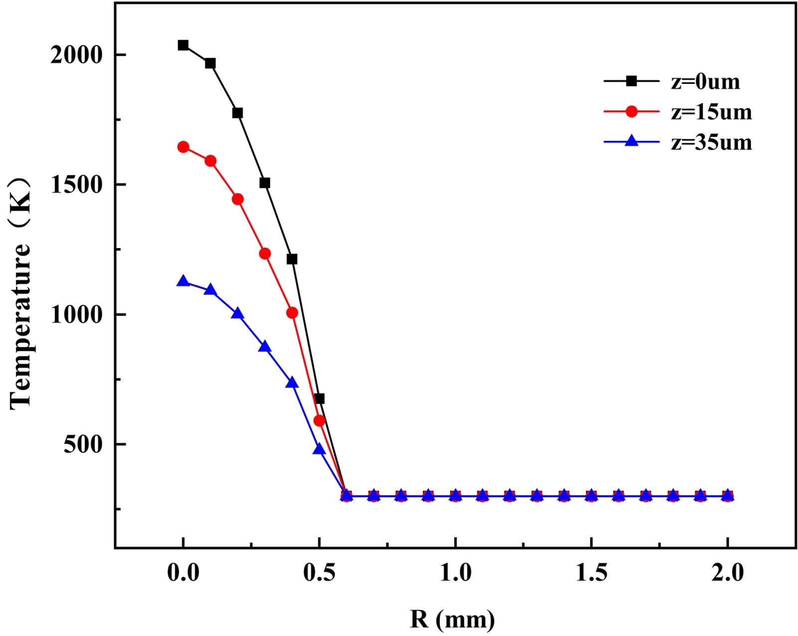
3.3. 不同深度处激光辐照下45#钢的径向温度分布

图6可清晰观察到:在入射激光能量15 mJ、光斑半径0.5 mm、辐照时长10 ns的条件下,45#钢的温度分布呈现显著的空间差异性。最高温度集中于上表面激光光斑中心区域,随后沿径向从中心向边缘逐步递减,形成明显的径向温度梯度。同时,不同深度截面的径向温度分布规律一致,且同一径向位置的温度随材料深度的增加呈逐步减小趋势,反映出激光能量在45#钢内部沿纵深方向的衰减特性。

Figure 6. Radial temperature distribution at different depths in 45# steel under laser irradiation

6. 激光辐照下45#钢在不同深度处的径向温度分布

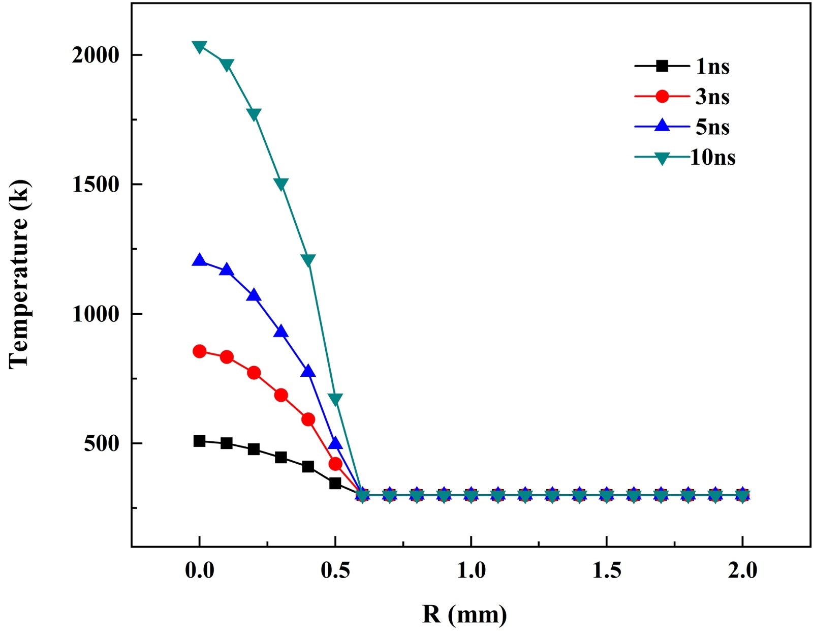
3.4. 不同时刻45#钢上表面径向的温度分布

图7所示曲线直观呈现了入射激光能量15 mJ、光斑半径0.5 mm条件下,辐照10 ns过程中45#钢上表面径向温度的动态演化规律。由图可知,钢材上表面的温升区域主要集中于激光直接辐照范围内,光斑中心位置始终为温升峰值区,且光斑边沿处与外围区域呈现出明显的温度梯度分布。随着激光辐照时间的延长,上表面各径向位置的温升呈持续递增趋势:辐照1 ns时,中心点温度达508 K;辐照5 ns时,中心点温度升至1203 K,温升速率明显加快;当辐照时长达到10 ns时,中心点温度进一步攀升至2036 K,充分反映了ns激光辐照下能量累积对温度场演化的显著影响。

3.5. 不同时刻45#钢上表面温度云图情况

在45#钢激光加工过程中,材料上表面的温度变化不仅反映了激光能量的传递效率与热损失特性,更对辐照过程中的热稳定性具有间接影响。不同时刻上表面的温度分布状态,是解析热传导规律的关键之处。通过不同时刻上表面温度云图如图8所示,可直观呈现辐照过程中温度的空间分布与时间演化特征,为全面了解激光与45#钢的热耦合机制提供重要参考。

Figure 7. Radial temperature distribution at different depths in 45# steel under laser irradiation

7. 激光辐照下45#钢在不同时刻处的径向温度分布

(a) 1 ns上表面温度云图 (b) 3 ns上表面温度云图

(c) 5 ns上表面温度云图 (d) 10 ns上表面温度云图

Figure 8. Surface temperature contour maps at different times

8. 不同时刻上表面温度云图

图8为光斑半径0.5 mm、入射激光能量15 mJ条件下,辐照10 ns过程中45#钢上表面不同时刻的温度云图。从图(a)至图(d)的动态演化过程可清晰看出:随着辐照时间的逐步延长,钢件上表面整体温度呈持续攀升趋势,且温度分布呈现显著的空间差异性光斑中心点始终为高温核心区域,温度最高,随后沿径向向外逐步衰减,形成清晰的径向温度梯度。温升区域严格集中于激光直接辐照范围内,辐照区域外的温度基本维持初始状态,几乎无明显温升。当激光辐照时长达到10 ns时,上表面中心点最高温度升至 2036 K。该温度云图所呈现的演化特征,与图7中径向温度分布的曲线规律完全一致,进一步验证了该实验参数下45#钢的上表面温度场演化规律的可靠性。

4. 结论

本研究基于有限元数值模拟,采用柱坐标系下的空间轴对称模型与高斯光束热源模型,通过非均匀网格划分策略(兼顾计算精度与效率),系统探究了激光能量、空间位置(径向、深度)与时间多参数耦合下45#钢温度场的温度变化情况。研究明确,激光辐照下45#钢上表面温度呈“中心高、径向陡降”的分布特征,同一位置温度与激光能量呈显著正相关,且存在12 mJ的临界熔化能量(对应功率密度1.53 × 109 W/cm2),低于该能量材料保持固态,高于则发生熔化;温度随着材料深度增加逐步衰减,热能主要集中于表层区域;随辐照时间延长,温度呈累积上升趋势,15 mJ能量下辐照10 ns时中心温度达2036 K,上述发现清楚描述了45#钢温度场多方面的变化情况及整体趋势,为激光加工45#钢的工艺参数优化(如能量匹配、辐照时间控制)提供了可靠的理论依据与数据支撑,对减少加工过程中的热变形、裂纹等缺陷具有重要指导意义。

NOTES

*通讯作者。

参考文献

[1] 袁天语, 邵尚坤, 孙学鹏, 等. 一种用于软X射线激光去相干的单玻璃管光学透镜设计[J]. 物理学报, 2023, 72(3): 130-136.
[2] Ding, Y., Yang, L. and Hong, M. (2018) Enhancement of Pulsed Laser Ablation Assisted with Continuous Wave Laser Irradiation. Science China Physics, Mechanics & Astronomy, 62, 70-78. [Google Scholar] [CrossRef
[3] Tsibidis, G.D., Mansour, D. and Stratakis, E. (2022) Damage Threshold Evaluation of Thin Metallic Films Exposed to Femtosecond Laser Pulses: The Role of Material Thickness. Optics & Laser Technology, 156, Article ID: 108484. [Google Scholar] [CrossRef
[4] Cao, L., Yu, Z., Cai, W., Zhang, Y., Li, J., Ruan, X., et al. (2025) A Review on In-Situ Monitoring of the Temperature Field in Metal-Based Laser Additive Manufacturing. Measurement Science and Technology, 36, Article ID: 112001. [Google Scholar] [CrossRef
[5] Wang, Z., Zhou, Z., Wu, M. and Zhu, Z. (2024) A Thermodynamic Based Constitutive Model Considering the Mutual Influence of Multiple Physical Fields. Scientific Reports, 14, Article No. 26417. [Google Scholar] [CrossRef] [PubMed]
[6] 王贵兵, 罗飞, 刘仓理. 大气环境下重复频率激光辐照45#钢反射率变化分析[J]. 强激光与粒子束, 2006(2): 181-183.
[7] Bergström, D., Powell, J. and Kaplan, A.F.H. (2007) The Absorptance of Steels to Nd:YLF and Nd:YAG Laser Light at Room Temperature. Applied Surface Science, 253, 5017-5028. [Google Scholar] [CrossRef
[8] 焦路光. 激光对金属/炸药结构的辐照效应[D]: [硕士学位论文]. 长沙: 国防科学技术大学, 2008.
[9] Pan, P., Ji, P. and Lin, G. (2022) Spatiotemporal Probe into the Femtosecond Laser Processing of Fused Silica. Applied Physics A, 128, Article No. 854. [Google Scholar] [CrossRef
[10] 李新梦. 45#钢与激光的能量耦合特性研究[D]: [硕士学位论文]. 长沙: 国防科技大学, 2017.