生态潜力对旅游产业效率的空间溢出效应研究——基于大别山片区的杜宾模型分析
Research on the Spatial Spillover Effects of Ecological Potential on Tourism Industry Efficiency—A Durbin Model Analysis Based on the Greater Dabie Mountain Area
摘要: 大别山片区作为长江中下游核心生态屏障,生态资源转化为旅游产业动能的路径对区域高质量发展至关重要。本文针对大别山片区这一整体的“自然–社会”耦合系统,构建涵盖生态资本存量、环境韧性强度、设施智慧化水平、制度执行效能、社区可持续动力5大维度的生态潜力综合评价体系,运用熵值法与线性加权法测度2015~2024年大别山片区39县(市、区)的生态潜力;结合超效率SBM模型量化县域旅游产业效率,并应用空间杜宾模型(SDM)检验生态潜力对旅游产业效率的空间溢出效应。研究发现:1) 生态潜力对旅游产业效率存在“本地增益–邻地抑制”双向效应。提升生态潜力虽能促进旅游产业效率(直接效应为0.741),但会显著抑制周边地区发展(空间溢出效应为−2.501)。2) 生态资本存量通过“品牌溢价–资源虹吸”双重路径发挥作用,环境韧性强度呈现“保护–约束”的对抗效应,设施智慧化则在提升本地管理效率的同时,加剧了边缘区域的“数字鸿沟”。这些因素共同解释了为何生态禀赋高的地区会对周边产生显著的负向溢出。3) 空间计量结果显示,大别山片区基础设施互联互通有所发展,但生态潜力未能转化为区域共享收益,反而强化了“中心–边缘”结构,影响区域协调发展进程。
Abstract: As a core ecological barrier in the middle and lower reaches of the Yangtze River, the pathway for converting ecological resources into tourism industry momentum in the Dabie Mountain Area is crucial for high-quality regional development. Targeting the Dabie Mountain Area as an integrated “natural-social” coupled system, this paper constructs a comprehensive evaluation system for ecological potential covering five dimensions: ecological capital stock, environmental resilience intensity, facility intelligence level, institutional execution efficacy, and community sustainable motivation. Using the entropy method and linear weighting method, the ecological potential of 39 counties (cities, districts) in the Dabie Mountain Area from 2015 to 2024 is measured. Combined with the super-efficiency SBM model to quantify county-level tourism industry efficiency, the Spatial Durbin Model (SDM) is applied to examine the spatial spillover effects of ecological potential on tourism industry efficiency. The findings are as follows: 1) Ecological potential has a dual effect of “local benefit-neighboring inhibition” on tourism industry efficiency. While enhancing ecological potential promotes local tourism industry efficiency (direct effect is 0.741), it significantly inhibits the development of surrounding areas (spatial spillover effect is −2.501). 2) Ecological capital stock functions through the dual pathways of “brand premium-resource siphoning”, environmental resilience intensity exhibits an antagonistic effect of “protection-constraint”, and facility intelligence, while improving local management efficiency, exacerbates the “digital divide” in peripheral areas. These factors collectively explain why areas with high ecological endowment generate significant negative spillovers to their neighbors. 3) Spatial econometric results indicate that while infrastructure connectivity in the Dabie Mountain Area has developed, ecological potential has not been transformed into regionally shared benefits; instead, it has reinforced the “core-periphery” structure, affecting the process of regional coordinated development.
文章引用:胡芬, 何灿. 生态潜力对旅游产业效率的空间溢出效应研究——基于大别山片区的杜宾模型分析[J]. 可持续发展, 2026, 16(1): 150-167. https://doi.org/10.12677/sd.2026.161020

1. 引言

在“双碳”目标与乡村振兴战略协同推进的时代背景下,区域协调发展以及生态资源的价值转化已经成为地理学、经济学等多学科关注的焦点。生态潜力在旅游产业发展中的战略地位,已获得国家政策的有力支撑。一方面,国内外普遍倡导的绿色发展模式,为其奠定了理念基础;另一方面,《全国生态旅游发展规划(2021~2025年)》具体指出,需凭借生态资源开发特色产品以达成效益统一,这为本文以“生态潜力”为核心视角展开研究提供了坚实的政策逻辑[1]

生态潜力是一个综合性概念,指生态系统在维持自身稳定与发展的同时,为人类提供生态服务的能力和潜力[2]。当前生态潜力研究已形成多维度、跨尺度的研究范式,不同学者基于区域特定的资源禀赋与产业需求选取差异化研究视角。大多围绕土地利用景观视角[3]、特殊区域资源视角[4]、农业生态经济系统视角[5]、产业融合与技术驱动视角[6]等多角度展开研究。在评价方法上,已有通过构建单指标或多指标的指标评价体系实现部分或综合的生态旅游发展潜力评价,常有的评估方法有德菲尔法[7]、层次分析法[8]、生态位[9]等。基于对既有研究的梳理与反思,并结合今年中国科学院地理科学与资源研究所最新提出的“湖州指数”,创新性地提出一个融合性更强的生态潜力评价框架。该框架突破传统维度划分,系统构建了包含“生态资本存量”“环境韧性强度”“设施智慧化水平”“制度执行效能”与“社区可持续动力”五大核心维度的测评体系,以期更精准、深入地揭示生态基础对旅游产业发展的核心驱动作用与价值。

旅游产业效率是指旅游业在特定生产技术和资源配置下,将各类生产要素(如资本、劳动力、资源)转化为旅游产出(如旅游收入、接待人次)的有效程度,其核心是衡量投入与产出之间的转化效率[10],马晓龙与保继刚(2010)将旅游效率定义为“旅游经济将一个特定城市作为生产单元,在时间一定的情况下达到的单位要素投入产出最大化”[11]。国外学者多就旅行社、酒店、旅游交通等微观范畴研究旅游产业效率[12];而国内普遍采用DEA和Malmquist指数[13]、DEA拓展模型[14]定量测度旅游产业效率,并进一步延伸探究旅游产业效率的空间分布及演化规律。

在实证研究层面,现有文献多针对东部发达地区或成熟旅游目的地展开研究,缺乏对于生态资源丰富但经济滞后等集中连片地区的关注,而这类地区恰恰最需要通过生态价值的转化实现整体高质量发展。在此研究背景下,本文以典型的生态敏感型欠发达地区——大别山片区为案例,深入探究生态潜力对旅游产业效率的空间影响机制。大别山片区作为我国重要生态功能区,拥有森林、湿地、山岳等丰富的生态资源,具备着发展生态旅游的天然优势。探究大别山片区生态潜力对旅游产业效率的空间溢出效应,不仅有助于揭示欠发达地区生态–经济系统的作用规律,也能为类似区域在制定差异化的旅游发展政策、推动区域协调与高质量发展等方面提供理论依据与实践指导。

梳理文献可见,现有研究主要通过对比同一时间段某变量作用前后旅游产业的变化情况,尽管有学者提出其他因素对旅游产业效率的溢出效应,但结合“双碳”背景提出生态潜力对旅游产业效率的溢出效应依旧是一个鲜少被探索过的视角。基于此,本文根据大别山片区生态约束显著与数据非结构化特征,构建“超效率SBM-SDM”混合模型——采用超效率SBM模型,测算县域旅游产业效率,并通过空间杜宾模型分离生态潜力对旅游产业效率的本地直接效应与空间溢出效应。

2. 大别山片区生态潜力评估与特征

2.1. 生态潜力测度指标体系

本文遵循“理论溯源–政策对接–学科融合”三位一体的设计路径,并结合由中国科学院地理科学与资源研究所最新提出的中国绿色旅游发展“湖州指数”绿色旅游发展评价体系构建生态潜力五维测量框架——生态资本存量、环境韧性强度、设施智慧化水平、制度执行效能、社区可持续动力,旨在突破传统资源禀赋评价的单一维度局限。其指标层均针对研究对象县域层级特点设计,以保证数据的可获取性及准确性(见表1)。设计依据与核心思路如下。

2.2. 研究方法

采用极值标准化对各指标进行归一化处理,从而消除评价指标量纲对测算结果的影响。在上述基础上采用熵值法对大别山片区生态潜力指标权重进行测度,最后通过线性加权法计算生态潜力水平的综合效益值(见表2)。此方法的应用较为系统成熟,详见参考文献[21]

Table 1. Theoretical and indicator basis of the ecological potential evaluation indicator system

1. 生态潜力评价指标体系理论及指标依据

维度名称

理论依据

指标

生态资本 存量(自然 资源的量化与增值潜力)

Pearce (1993)的自然资本理论。 将生态系统视为可量化的生产性 资产,强调其存量价值与增值 潜力,通过“数量–质量–价值”三维度评估其自然资产价值及 增值潜力。

1) 植被覆盖指数:采用年均归一化植被指数(NDVI),直接反映植被生物量与光合作用效率[15]

2) 湿地与水域面积占比:体现《湖州指数》“绿色本底”维度中“自然本底”模块的核心理念,强调湿地作为生态资产的空间 规模与水文调节功能;

3) 重点保护物种数量:指县域内国家及省级重点保护动植物种类的总数,通过林业部门、自然保护区本底调查数据获取。

环境韧性 强度(动态 稳定能力的多尺度评估)

Holling的“韧性三角”模型[16]。根据生态系统在面对干扰时的 抵抗力、恢复力与适应性,量化 其动态稳定能力[17]

1) 水土流失治理面积:指累计治理的水土流失面积,反映治理 投入与成效,数据来源于水利部门水土保持公报;

2) III类或以上水质断面占比:指省控、市控地表水监测断面中 水质达到III类及以上的比例,表征水环境质量与抗污染能力, 数据可从生态环境部门水质监测年报获取;

3) 年空气质量优良天数:指年度空气质量指数(AQI)达到优良 等级的天数,反映大气环境对污染物的抵抗与恢复能力,数据 来源于生态环境部门日常监测公报。

设施智慧化水平(技术 赋能的精准调控)

数字治理生态理论。强调物联网、大数据等技术对生态要素的实时感知与动态优化[18]。物联网、大数据等技术可以实现对于生态要素的实时感知与动态调控(如《“十四五”智慧农业发展规划》中的生态监测场景),据此将设施智慧化作为生态潜力的“赋能变量”。

1) 新能源汽车占比:指县域内注册的新能源汽车数量占汽车 总保有量的比例,反映交通领域低碳化水平;

2) 智能检测密度:指每平方公里政府建设的公共安全视频监控 探头数量,作为智能检测密度的替代指标,反映基础设施智能化与安防监控覆盖水平;

3) 光伏/风电装机容量:指县域内光伏电站、风电站的总装机 容量,表示可再生能源开发规模;

4) 生态修复资金投入占比:指年度财政预算中用于生态修复工程的资金占总支出的比例,显示政府对智慧化生态修复的重视与 投入。

制度执行 效能(政府 的政策落实 效能)

Ostrom的制度经济学理论。强调 制度设计对规避“公地悲剧”的 核心作用。高效的制度设计可 减少生态保护中的“公地悲剧”,因此将制度视为生态潜力的 “调控变量”[19],借助政策工具的落地程度与监管效率,来评估 人为干预的正向影响。

1) 生态类政策文件出台数指年度县委、县政府出台的生态环保 相关政策文件数量,反映政策供给力度;

2) 生态补偿覆盖率指受生态补偿机制保护的区域面积占比, 反映政府对实地生态保护的措施力度;

3) 政务公开信息条数指年度在政府网站上公开的生态环境类 信息条数,表征政策执行透明度与公众监督条件;

4) 公共监督渠道数指可用的环境问题投诉与监督平台数量, 反映政府对于环境保护的重视程度。

社区可持续 动力(社会 资本驱动的 内生保护)

Putnam社会资本理论。强调社区 信任网络与集体行动对生态保护的内生驱动力。社区信任以及网络与规范是促进生态保护的内生动力。因此将社区视为生态保护的“基层载体”,通过社会资本、参与意愿等量化生态潜力的社会支撑力[20]

1) 村级环保员覆盖率:指设立专职或兼职环保员的行政村 比例,反映基层环保网络建设与社区参与组织化程度;

2) 生态产业收入占比:指生态产业带来的经济效益及社区受益 程度;

3) 中小学环保课程开课率:指开设了定期环保知识课程的中小学比例,反映生态知识在教育系统的普及情况,延续国家生态文明建设示范县对公众生态教育的重视。

Table 2. Ecological potential level indicator system and their weights

2. 生态潜力水平指标体系及其权重

目标层

要素层

指标层

释义

单位

权重

生态 潜力 水平

生态 资本 存量

植被覆盖率指数

年均归一化植被指数(NDVI),反映植被覆盖质量

0~1

0.018

湿地面积占比

湿地(包括沼泽、湖泊、河流等)面积占区域总面积的比例,衡量湿地生态系统规模

%

0.080

重点保护物种数量

县域内国家及省级重点保护动植物种类的总数

0.026

环境 韧性 强度

水土流失治理面积

累计治理的水土流失面积

Km2

0.018

III类或以上水质断面占比

省、市控地表水监测断面中,水质达到III类及以上 的比例

%

0.029

年空气质量优良天数

年度空气质量指数(AQI)达到优良等级的天数

天/年

0.020

设施 智慧化水平

新能源汽车占比

县域内注册的新能源汽车数量占汽车总保有量的比例

%

0.147

智能检测密度

每平方公里政府建设的公共安全视频监控探头数量

个/km2

0.146

光伏/风电装机容量

县域内光伏电站、风电站的总装机容量

0.065

生态修复资金投入占比

年度财政预算中用于生态修复工程的资金占总支出 的比例

%

0.070

制度 执行 效能

生态类政策文件出台数

年度县委、县政府出台的生态环保相关政策文件数量

0.026

生态补偿覆盖率

受生态补偿机制保护的区域面积占比

%

0.017

政务公开信息条数 年度

政府网站上公开的生态环境类信息条数

0.032

公共监督渠道数

可用的环境问题投诉与监督平台数量

0.076

社区 可持续动力

社区环保参与率

参与环保志愿活动、生态巡查等的居民人数占社区 总人口的比例

%

0.066

生态产业收入占比

社区居民从生态旅游、有机农业等生态产业获得的 收入占总收入的比例

%

0.054

中小学环保课程开课率

开设了定期环保知识课程的中小学比例

%

0.110

2.3. 大别山片区生态潜力时空特征

2.3.1. 大别山片区生态潜力时序演变

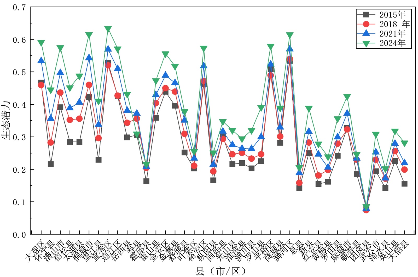
选取2015年、2018年、2021年、2024年四个代表年份的生态潜力绘制折线统计图(见图1)。十年间,大别山片区的生态潜力实现从量变到质变的提升,片区的生态潜力均值从2015年的0.278增长至2024年的0.382,累计增幅达37.4%,且年均增长率维持在3.74%的较高水平。此外,片区生态潜力的变异系数(CV)从2015年的0.464下降至2024年的0.356,相对差距缩小超23%。这一趋势表明,尽管绝对差距依然存在,但在初期低一些潜力区县的“追赶效应”显著。例如霍邱县作为片区初始的低潜力县,实施了“生态立县”的发展战略,重点发展生态循环农业,并且加强淮河岸线的生态修复,生态潜力从2015年的0.163提升至0.216,增幅达32.5%;类似地,息县推进的农田生态改造和农村环境综合整治项目使其生态潜力从2015年的0.142提升至2024年的0.206;团风县虽然仍处于低潜力水平,但其通过发展“一村一品”特色生态农业这一重点举措,使得农村生活垃圾无害化处理率达到95%。

Figure 1. Ecological potential of cities (districts/counties) in the greater Dabie Mountain area

1. 大别山片区各县(市/区)生态潜力

2.3.2. 大别山片区生态潜力空间演化

在ArcGIS中按照自然断点法将大别山片区2015年、2018年、2021年、2024年四个代表年份的生态潜力划分为高水平(≥0.46)、较高水平(0.31~0.46)、中水平(0.21 ≤ EP < 0.31)和低水平(EP < 0.21) 4个等级(表3)并进行空间可视化展示(图2)。系统揭示大别山片区生态潜力空间格局的动态演化特征与地理分布规律。

Table 3. Quantitative evolution of ecological potential levels in the greater Dabie Mountain area (2015~2024)

3. 2015~2024年大别山片区生态潜力等级数量演化

潜力等级

2015年

2018年

2021年

2024年

低水平区(<0.21)

12

9

5

3

较低水平区(0.21~0.31)

15

11

12

10

较高水平区(0.31~0.46)

7

14

12

14

高水平区(>0.46)

5

5

10

12

表3可以看出,研究期内片区生态潜力空间结构发生显著优化:低水平区及较低水平区数量持续减少,从2015年的27个下降至2024年的13个,降低幅度达52%;而中高水平区数量稳步增加,高水平区从5个增加至12个。

生态潜力的空间整体分布呈现出明显的“核心–边缘”结构。高水平区从“双核心”向“多中心”格局演进。除了持续保持领先的宜秀区和浉河区两个核心区域外,潜山市、桐城市和金寨县也相继加入高水平区行列,逐渐形成更加均衡的空间分布格局;长江支流流域(如浉河、史河、杭埠河流域)生态潜力整体较高,这些流域水资源丰富,植被覆盖度高;由于面临着水资源短缺和水污染压力,淮河流域部分下游平原区生态潜力相对较低。

空间格局的动态演化表明,大别山片区生态潜力的提升不仅体现在整体水平的增长,也反映在空间结构的优化以及区域差距的缩小,为生态潜力的空间溢出效应研究提供了重要的空间背景。

注:基于自然资源部标准地图服务网站下载的审图号为GS (2019) 1827号的标准地图制作,底图边界无修改。

Figure 2. Spatial development of ecological potential in the greater Dabie Mountain area

2. 大别山片区生态潜力发展空间分布

3. 大别山片区旅游产业效率评估与特征

3.1. 旅游产业效率测度指标体系

旅游产业效率的测算包括投入和产出指标,投入指标包括旅游资源要素、旅游人力资本以及旅游资本要素(见表4)。本文选取4A级以上景区数量、星级酒店数量、旅行社数量这些与旅游业紧密相关且易于区分县域旅游资源水平的资源要素表征旅游资源要素;一般使用旅游业固定资产投资表征旅游资本要素,由于各区县统计指标未公布,以第三产业固定资产投资与旅游总收入占国民生产总值比值的乘积进行换算;以第三产业从业人数与旅游总收入占国民生产总值比值的乘积表征劳动力水平;最后分别以旅游接待总人次以及旅游总收入来衡量旅游产出。

Table 4. Tourism industry efficiency measurement indicator system

4. 旅游产业效率测算指标体系

目标层

准则层

要素层

指标释义

单位

旅游产业效率(TIE)

投入指标

旅游资产要素

4A级以上旅游景区数量

星级酒店数量

旅行社数量

旅游人力资本

第三产业从业人数 × 旅游占比

万人

旅游资本要素

第三产业固定资产投资 × 旅游占比

亿元

产出指标

旅游规模效益

旅游接待总人次

万人

旅游经济效益

旅游总收入

亿元

本研究采用Super-SUM DEA模型对大别山片区县级市旅游产业效率进行计算,此方法较传统数据包络分析法(DEA)能衡量松弛变量及生产过程中的非期望产出,计算公式如下:

minTIE= 1+ 1 m i=1 m s i / χ ik 1 1 s r=1 s s r + / Y ik

s.t. j=1,jk n x ij λ j S i x ik ( i=1,2,,m );

j=1,jk n y j λ j + S r + y ik ( r=1,2,,s );

λ0,j=1,2,,n( jk ), S i , S i + 0

式中:TIE为旅游产业效率值;n为决策主体;xikyrk代表投入和产出向量的元素; s i s r + 代表松弛投入和松弛产出。

3.2. 大别山片区旅游产业效率时空特征

3.2.1. 大别山片区旅游产业效率时序演变

用Super-SBM模型出测算大别山片区39区县旅游产业效率值。并选取2015年、2018年、2021年、2024年四个代表年份的旅游产业效率绘制折线统计图(见图3)。十年间,大别山片区整体旅游产业效率呈现出明显的“波动上升”特征,与生态潜力的稳定增长形成对比。片区均值从2015年的0.52增长至2024年的0.68,累计增长幅度为30.8%,整个增长过程充满波动性,显示出旅游产业对于外部环境变化的敏感性。

Figure 3. Tourism industry efficiency values of cities (districts/counties) in the greater Dabie Mountain area

3. 大别山片区各市(区县)旅游产业效率值

旅游产业效率变异系数从2015年的0.58下降至2018年的0.42,随后又上升至2024年的0.51,差异变化呈现出先缩小后扩大的态势,表明区域发展不平衡问题重新凸显。迎江区作为安庆市主城区,旅游效率从2015年1.046增长至2024年1.374,始终保持高水平等级,这主要得益于其城市基础设施、服务设施和客源市场的综合优势;金寨县虽拥有得天独厚的生态优势,生态潜力指数从0.396提升至0.518,但旅游效率却从2019年0.845降至2024年0.573,这一矛盾现象可能源于当地旅游发展过度依赖生态观光,产品结构单一以及周边地区竞争加剧导致的客源分流。

3.2.2. 旅游产业效率空间演化

在ArcGIS中按照自然断点法将大别山片区2015年、2018年、2021年、2024年四个代表年份的旅游产业效率划分为高水平(≥1.12)、较高水平(0.71~1.12)、中水平(0.43 ≤ EP < 0.71)和低水平(EP < 0.43) 4个等级(表5)并进行空间可视化展示(图4)。系统揭示了大别山片区旅游产业效率空间格局的动态演化特征与地理分布规律。

Table 5. Quantitative evolution of tourism industry efficiency levels in the greater Dabie Mountain area (2015~2024)

5. 2015~2024年大别山片区旅游产业效率等级数量演化

潜力等级

2015年

2018年

2021年

2024年

低水平区(<0.43)

20

7

5

6

较低水平区(0.43~0.71)

9

15

13

15

较高水平区(0.71~1.12)

9

16

15

15

高水平区(>1.12)

1

1

6

3

根据四个典型年份的空间分布图,旅游产业效率空间格局发生了显著重构。2015年呈现出“单极引领、普遍落后”的格局,高水平区仅有1个(桐城市,1.017),低水平区达20个,占总数的51.3%;2018年开始出现“多极涌现、梯度分化”的分布特征,较高水平区从9个提升至15个,而低水平区从20个减少至7个,太湖县(1.071)、迎江区(1.070)等加入较高水平区行列;2021“核心–边缘结构强化”的空间格局开始显现,高水平区增加至6个,包括迎江区(1.66)、桐城市(1.204)等,空间集聚特征更加明显;2024年则最终呈现出“竞争加剧、重新洗牌”的特征,高水平区减少至3个,但较高水平区保持15个。值得注意的是,部分生态资源优势区(如金寨县、岳西县)效率下降,而部分区位优势区(如迎江区)效率持续提升。

初期具有客源市场、交通区位优势的地区能够不断强化其领先地位,如迎江区、桐城市等持续保持高效率,而落后地区难以形成优势资源或寻得发展机会,因此区域差距持续存在甚至扩大。其次,生态潜力与旅游效率之间存在复杂的错位关系,生态潜力高的地区未必能够实现旅游效率的同步提升,这种错位现象暗示生态潜力对旅游效率的影响需要通过空间溢出机制实现,而非简单的直接促进。

注:基于自然资源部标准地图服务网站下载的审图号为GS (2019) 1827号的标准地图制作,底图边界无修改。

Figure 4. Spatial distribution of tourism industry efficiency in the greater Dabie Mountain area

4. 大别山片区旅游产业效率空间分布

4. 实证分析:溢出效应测度与空间特征

4.1. 研究方法

4.1.1. 空间自相关检验

全局空间自相关是一种统计方法,用于判断空间数据是否存在聚集或分散的趋势。它通过量化一个空间单元的属性值与其周边相邻单元属性值之间的相关性来实现,计算公式如下:

I= i=1 n i=1 n W ij ( x i x ¯ )( y i y ¯ ) S 2 i=1 n i=1 n W ij

公式中:Moran’s I代表全局空间自相关系数; S 2 是样本方差;n指空间单元个数;xixj分别是单元ij的观测值;Wij则为定义空间邻接关系的权重矩阵。对于计算结果,若Moran’s I显著大于0,说明数据在空间上呈正相关,即属性值相似的单元趋于聚集;若显著小于0,则呈负相关,即属性值相异的单元相邻分布;若其值接近0,则意味着空间分布呈随机状态,无显著自相关。

4.1.2. 空间计量模型

研究选择空间杜宾模型(SDM)对大别山片区生态潜力发展对旅游产业效率的空间溢出效应进行量化分析(见表6),公式如下:

TIE it =ρ j=1 n w ij TIE jt +α+β INT it +φ j=1 n w jt INT it +η X it +θ j=1 n w ij X it + μ i + ν i + ε it

本模型旨在考察生态潜力(INTit)对旅游产业效率(TIEit)的影响。Xit为控制变量组,其与核心解释变量INTit的回归系数由β表示。模型同时纳入了空间滞后项(系数分别为ρφθ),以捕捉空间互动效应,并采用简洁有效的邻接空间权重矩阵w来定义大别山片区各单元的空间关系。此外,模型通过μi (空间效应)和γt (时间效应)控制不随时间变化的个体差异与不随个体变化的时点趋势,εit为随机扰动项。所选控制变量包括政府调控、城镇化水平、信息化水平与交通便利程度。

Table 6. Variable definitions and descriptions

6. 变量设定与说明

变量类型

指标名称

指标测算

被解释变量

旅游产业效率(TIE)

Super-SBM模型

解释变量

生态潜力水平(INT)

熵值法及线性加权法

控制变量

政府调控(GOV)

旅游总收入占GDP比重

城镇化水平(UR)

城镇人口占总人口比重

信息化水平(INF)

互联网宽带接入用户数

交通便利程度(TCD)

公路里程与城市土地面积之比

4.1.3. 数据来源

本研究以2015年为基期,考察时段为2015年至2024年。研究区域“大别山片区”的范围界定,依据国务院于2013年印发的《大别山片区区域发展与扶贫攻坚规划》,涵盖湖北、河南、安徽三省的共39个县(市、区)。研究数据主要来源于对应年份的《中国城市统计年鉴》、各省及各县(市、区)的《统计年鉴》《中国城市建设统计年鉴》,以及各市域的国民经济和社会发展公报。对于核心产出指标“旅游产业效率”中的旅游总收入,其计算综合了国内旅游收入与按当年汇率换算的入境旅游收入,对于缺失数据均采用插值处理。

4.2. 空间自相关检验

为确保实证结果的准确性与可靠性,研究进行了一系列严格的检验以确定合适的空间计量模型。

首先,进行空间相关性检验。表7表8汇报了核心变量(被解释变量TIE与核心解释变量INT)的全局莫兰指数(Moran’s I)。结果显示,在2015~2024年的样本期内,TIE与INT的莫兰指数所有年份均在5%或1%的水平上显著为正。例如,2024年TIE的莫兰指数为0.319 (Z = 3.357, p = 0.0008),同年INT的莫兰指数为0.309 (Z = 3.266, p = 0.0011)。这表明大别山片区的旅游产业效率(TIE)与生态潜力(INT)在空间分布上均存在显著的正向自相关特征。这从本质上拒绝了“所有地区相互独立”的原假设,为采用空间计量经济学模型提供了坚实的基础。

Table 7. Global Moran’s I of Y

7. Y的全局莫兰指数

年份

Moran’s I值

Z值

P值

2015

0.2046

2.2349

0.0254

2016

0.2074

2.2560

0.0241

2017

0.1883

2.0801

0.0375

2018

0.2398

2.5716

0.0101

2019

0.1251

1.4651

0.0429

2020

0.2082

2.2618

0.0237

2021

0.1340

1.5492

0.0413

2022

0.0548

0.7845

0.0328

2023

0.2395

2.5641

0.0103

2024

0.3192

3.3569

0.0008

Table 8. Global Moran’s I of X

8. X的全局莫兰指数

年份

Moran’s I值

Z值

P值

2015

0.2393

2.5960

0.0094

2016

0.2428

2.6248

0.0087

2017

0.2793

2.9806

0.0029

2018

0.2682

2.8740

0.0041

2019

0.2691

2.8872

0.0040

2020

0.3071

3.2466

0.0012

2021

0.3125

3.3026

0.0010

2022

0.3112

3.2885

0.0010

2023

0.3417

3.5840

0.0003

2024

0.3088

3.2661

0.0011

4.3. 模型识别与检验

上文分析可知,生态潜力发展水平与旅游产业效率存在显著的空间依赖性,进一步应用空间面板模型来计算空间效应的影响强度,需进行识别检验来确定具体空间计量模型的选择,根据表9的检验结果进行分析:

1) LM检验:空间误差模型的LM统计量为38.850 (p = 0.000),空间滞后模型的LM统计量为45.784 (p = 0.000),二者在1%水平上显著,表明两种空间效应同时存在。为进一步甄别,其稳健性Robust LM统计量也均在10%水平上显著(误差模型为2.881,p = 0.090;滞后模型为9.815,p = 0.002),证明空间杜宾模型(SDM)是更优的选择。2) Hausman检验:统计量为21.44 (p = 0.001),在1%水平上显著拒绝原假设,表明模型应选择固定效应形式。3) LR与Wald检验:识别SDM是否会退化为SLM或SEM。两者结果均显著(LR检验p = 0.002;Wald Test for SAR/SEM的p值均为0.003),强烈拒绝模型退化的原假设,进一步证实了空间杜宾模型(SDM)的适用性。

综上,一系列检验指标均支持本研究采用双固定效应的空间杜宾模型(SDM)进行估计,该模型能够准确地计算生态潜力对旅游产业效率的本地直接效应以及空间溢出间接效应。

Table 9. Spatial econometric model selection tests

9. 空间计量模型选择检验

检验方法

统计量

P值

No Spatial error

Lagrange multiplier

38.850

0.000

Robust Lagrange multiplier

2.881

0.090

No Spatial lag

Lagrange multiplier

45.784

0.000

Robust Lagrange multiplier

9.815

0.002

Hausman检验

21.44

0.001

LR检验

ind nested in both

17.40

0.002

time nested in both

18.26

0.003

wald 检验

Wald Test for SAR chi2 (5)

17.75

0.003

Wald Test for SEM chi2 (5)

18.08

0.003

4.4. 空间计量结果初步分析

基于表10汇报的双固定效应空间杜宾模型(SDM)回归结果,本小节对生态潜力与旅游产业效率的空间关系进行初步分析,为后续效应分解提供基础。

模型估计结果显示,核心解释变量生态潜力(INT)的系数为0.831,在10%的显著性水平上显著(z = 1.90),表明在本区域范围内,生态潜力的提升对旅游产业效率具有正向的促进作用。然而,其空间滞后项(W × INT)的系数为−2.226,且在1%的水平上高度显著(z = −5.18),这暗示生态潜力在空间上存在负向交互作用,即本地区生态潜力的提升,可能对周边地区的旅游产业效率产生抑制效应。

在控制变量方面,信息化水平(INF)的系数为0.580,在5%的水平上显著(z = 2.21),说明本地信息化建设是推动旅游效率提升的重要动力;政府调控(GOV)、城镇化水平(UR)与交通便利程度(TCD)的本地系数均不显著,表明在当前阶段,这些因素对本地旅游产业效率的独立拉动作用尚未充分显现。从空间滞后项来看,城镇化水平(UR)的W × UR系数为−0.304,在1%水平上显著为负,反映出本地区的城镇化进程可能通过要素竞争等方式,对周边地区旅游效率产生负向外溢。

此外,空间自回归系数ρ为0.211,在1%水平上显著(z = 2.78),表明旅游产业效率本身存在显著的正向空间依赖性。模型的整体拟合优度(R2)为0.058,在包含个体与时间双固定效应的面板SDM中属于可接受范围。

Table 10. Spatial Durbin Model (SDM) regression estimation results with two-way fixed effects

10. 双固定效应的面板SDM回归估计结果

变量

系数

z值

变量

系数

z值

INT

0.831*

1.90

WxINT

−2.226***

−5.18

GOV

−0.034

−1.23

WxGOV

−0.006

−0.10

UR

−0.011

−0.07

WxUR

−0.304***

−3.42

INF

0.580**

2.21

WxINF

−0.305

−1.28

TCD

0.016

0.24

WxTCD

0.140

1.23

ρ

0.211***

2.78

N

390

R2

0.058

注:******分别代表1%、5%、10%的显著性水平,下同。

4.5. 空间效应分解

由于SDM模型中各变量回归系数结果不能完全表示生态潜力对旅游产业效率影响的溢出效应,因此需利用偏微分方法进一步将其分解为直接效应、间接效应和总效应(见表11)。

1) 直接效应反映了解释变量对本地区旅游产业效率(TIE)的本地影响。

核心变量——生态潜力(INT)的直接效应系数为0.741,且在10%的水平上显著(z = 1.66)。这表明,在控制其他变量不变的情况下,本地生态潜力的提升能直接促进本地区旅游产业效率的改善。控制变量——信息化水平(INF)的直接效应系数为0.585,在5%的水平上显著(z = 2.30),表明本地信息化建设对旅游产业效率提升至关重要。政府调控(GOV)、城镇化水平(UR)和交通便利程度(TCD)的直接效应均为负向或不显著,说明在本研究样本区域内,这些因素对本地旅游效率的独立促进作用尚未充分显现。

2) 空间溢出效应(间接效应)是本文研究重点,它反映了一个地区的生态潜力对其他相邻地区旅游产业效率的影响。核心变量——生态潜力(INT)的空间溢出效应系数为−2.501,且在1%的水平上高度显著(z = −4.98)。这是一个非常重要且有趣的发现。结果表明,本地生态潜力的提升,不仅未能带动周边地区旅游产业效率的发展,反而产生了显著的负向空间溢出效应,即对附近地区的旅游产业效率产生了一定的抑制作用。控制变量——城镇化水平(UR)的间接效应同样为负且显著(−0.372, z = −3.00),表明本地的城镇化进程可能通过争夺资源等方式,抑制了周边地区旅游效率的提升。其他控制变量的空间溢出效应均不显著。

3) 总效应是直接效应与间接效应之和,反映了解释变量的整体影响。核心变量——生态潜力(INT)的总效应为−1.761,在1%水平上显著(z = −2.60)。这意味着,从整体区域网络来看,一个地区生态潜力的提升,其产生的负向溢出效应(抑制邻居)甚至超过了其对自身的正向促进效应,最终对区域整体旅游效率的总效应为负。这一发现具有深刻的政策含义。

Table 11. Spatial effect decomposition results

11. 空间效应分解结果

变量

直接效应

间接效应

总效应

系数

t值

系数

t值

系数

t值

INT

0.741*

1.66

−2.501***

−4.98

−1.761***

−2.60

GOV

−0.037

−1.36

−0.019

−0.26

−0.056

−0.71

UR

−0.016

−0.10

−0.372***

−3.00

−0.388*

−1.65

INF

0.585**

2.30

−0.239

−1.08

0.346**

2.06

TCD

0.024

0.35

0.187

1.31

0.211

1.40

4.6. 稳健性检验

为增强结论的可靠性,对主要解释变量进行了上下1%的双向缩尾处理,并重新估计SDM模型(见表12)。由双向缩尾回归结果可见,核心变量生态潜力(INT_w)的直接效应(0.745, z = 1.65)和空间溢出效应(−2.146, z = −4.92)的符号与显著性水平均与基准回归结果高度一致,表明本研究的核心结论——生态潜力存在正向直接效应与负向空间溢出效应是高度稳健的。

Table 12. Two-way winsorized regression estimation results

12. 双向缩尾回归估计结果

变量

系数

z值

变量

系数

z值

INT

0.745*

1.65

WxINT

−2.146***

−4.92

GOV

−0.032

−1.15

WxGOV

−0.007

−0.12

UR

−0.011

−0.06

WxUR

−0.282***

−3.68

INF

0.568**

2.07

WxINF

−0.302

−1.22

TCD

0.011

0.16

WxTCD

0.151

1.29

ρ

0.211***

2.76

sigma2_e

0.033***

12.96

N

390

R2

0.057

5. 结论与展望

5.1. 研究结论

基于2015~2024年大别山片区39个县(市、区)的面板数据,通过构建生态潜力多维评价体系并运用空间杜宾模型,系统揭示并验证了生态潜力对旅游产业效率存在显著的双重空间效应,突破了“生态优势必然引致区域协同发展”的传统认知。主要研究发现如下:

大别山片区生态潜力存在显著的“本地增益–邻地抑制”的双向空间效应。尽管本地生态提升能促进当地旅游效率(直接效应为0.741),但却会显著抑制周边地区发展(空间溢出效应为−2.501),导致区域整体效率净损失(总效应−1.761)。这一现象表明,在缺乏有效区域协调机制的条件下,生态资源的市场化配置不仅未能产生预期的区域协同效应或发展溢出效应,反而通过客流截留、投资竞争和政策壁垒等效应,加剧了县域间的“中心–边缘”分异与发展差距,为理解生态敏感型地区的协同发展困境提供了新的实证依据。

生态潜力通过多方面的非对称双向影响导致对旅游产业效率的负向溢出。生态资本存量通过“品牌溢价–资源虹吸”双重路径发挥作用,如金寨县凭借“天堂寨”5A级品牌吸引大量游客,产生显著本地效益,但同时造成霍山县“铜锣寨”等周边景区游客量下降12%,形成明显的客流截留;环境韧性强度呈现“保护–约束”的对抗效应,例如浉河区通过严格的水质保护提升了本地旅游环境质量,但其提高的环保标准却限制了相邻固始县相关旅游项目的开发准入,压制了邻地的旅游效率提升;设施智慧化则在提升本地管理效率的同时,加剧了边缘区域的“数字鸿沟”,具体表现为宜秀区智慧旅游平台使其管理效率提升30%,但因望江县数字基础设施滞后而无法共享技术外溢,反而扩大了区域间的发展差距。这些影响共同解释了为何生态禀赋高的地区反而对周边产生了显著的负向溢出。

空间计量结果证实大别山片区仍处于“零和博弈”式发展阶段。较高的空间自回归系数(ρ = 0.211)表明旅游效率在空间上呈现集聚态势,但生态潜力(INT)却存在显著的负向空间溢出(WINT系数为−2.501)。这一看似矛盾的现象说明,交通、信息等基础设施互联互通程度有所提升,但由于缺乏有效的区域协同政策和利益协调机制,如跨省生态补偿不足、旅游市场分割、品牌共建机制缺失等,生态潜力未能转化为区域共享收益,反而加剧了资源要素向高潜力区的进一步集聚,强化了“安庆–铜陵”高值片区与西部山区低值片区之间的“中心–边缘”结构,阻碍了区域协调发展的实现。

5.2. 优化对策

“本地增益–邻地抑制”现象下,本研究从核心问题出发提出以下建议,以帮助破解“本地增益–邻地抑制”的困境,推动大别山片区从“零和博弈”走向“协同共生”。

5.2.1. 构建差异化协同体系,破解虹吸效应

实施精准分流策略。依托空间计量识别出的客流轨迹,科学规划区域旅游线路。例如,打造“金寨天堂寨–霍山铜锣寨–岳西明堂山”跨县精品线路,通过联合营销和交通接驳,将金寨的过剩客流定向引导至霍山、岳西,实现客源共享。建立“大别山旅游一卡通”系统,收入按游客实际消费区域进行分成,从机制上避免核心景区对边缘景区的客流截留。

设立“区域旅游产业投资基金”,优化投资空间布局。由三省财政共同出资,并吸引社会资本,设立专项基金。该基金重点投向西部低潜力县(如霍邱、息县、团风)的旅游基础设施和业态创新项目,明确规定在安庆、浉河等高潜力区的投资占比不得超过30%,从资本源头遏制投资虹吸,推动要素均衡配置。

5.2.2. 创新精细化政策工具,缓解政策挤出效应

推行“发展权补偿–弹性管控”的生态治理新模式。即对于承担重要生态功能(如水源涵养)而发展受限的地区,实行“发展权转移”补偿。例如,岳西县因保护水源而无法开发的旅游项目容量,可折算成“信用指标”,有偿转让给重点开发区域(如桐城市),转让资金专项用于岳西的生态保护和民生改善。同时,对邻接的高标准区域(如固始县毗邻浉河区),实施“环保标准分期达标”的弹性机制,给予其3~5年的缓冲期,并提供技术升级补贴,避免“一刀切”式管控。

完善“成本共担–收益共享”的跨省生态补偿机制。以金寨梅山水库、岳西鹞落坪自然保护区等跨省界重要生态功能区为试点,利用生态系统服务价值核算和机会成本测算,建立由受益地区(如下游的六安、合肥)财政支付、社会资本参与的多元化补偿基金,确保补偿能够覆盖保护地区80%以上的直接经济损失,在一定程度上扭转保护即吃亏的现实困境。

5.2.3. 培育区域共同市场,扭转市场竞争效应

打造“区域品牌 + 地方特色”的差异化产品体系。在省级层面统筹,共同打造“大别山·红色生态”核心IP,同时实施差异化定位,建立区域规划明确禁止县域间的低水平模仿,引导罗田、英山等同质化严重地区错位发展,例如罗田可聚焦“板栗研学 + 温泉养生”,英山则主打“峡谷探险 + 茶旅融合”,并建立项目联合审批机制,从源头避免重复建设。

破除行政壁垒,建设“大别山旅游一体化共同市场”。成立由三省文旅部门牵头的市场一体化办公室,统一提高服务标准、增强一体化发展。解决“麻城–金寨”等省际边缘区的市场分割问题,联合设计跨省旅游线路,对积极组织跨省游的旅行社给予专项奖励,激发市场内生联动活力。

建立区域协同平台。设立“大别山旅游创新基金”,重点支持边缘县的特色产品开发。对类似枞阳县“江豚观光”等具有市场潜力的创新项目,由区域平台提供市场渠道和初始客源支持,降低个体创新风险,培育新的区域增长点。

通过上述组合策略,可推动大别山片区生态旅游从当前的“零和博弈”走向“正和博弈”,最终实现区域高质量协同发展。

5.3. 研究局限性

本研究在探索生态潜力对旅游产业效率的空间影响时,虽力求方法与结论的稳健,但仍存在一些难以避免的局限,这些因素可能对研究结果的深度与广度产生潜在影响,值得在未来进一步探讨与完善:

首先,数据与指标的构建虽力求科学,但仍受限于概念操作化的难度与统计数据的可获性;综合评价体系的设计与权重的生成,虽遵循常规方法,却也不可避免地包含一定程度的简化与预设,可能对潜力的准确度量产生细微影响。其次,研究所采用的空间计量模型虽能有效捕捉显著的溢出效应,但对现实中多维、动态的空间交互网络的刻画仍较为简化;地理邻接关系未必能完全替代经济、信息等复杂的空间关联,这在一定程度上限制了机制挖掘的深度。最后,本研究的结论主要源于大别山片区这一特定区域与时段,其揭示的“本地增益–邻地抑制”效应的具体表现,与当地独特的生态本底、发展阶段与政策环境密切相关,在将结论延伸至其他情境时,需注意区域差异性可能带来的影响。

5.4. 研究展望

本文系统揭示了大别山片区生态潜力对旅游产业效率的“本地增益–邻地抑制”空间效应,并初步探讨其成因与优化路径。受限于数据可得性、模型设定与研究尺度,未来研究仍存在进一步拓展与深化的空间:

首先,可推进生态潜力多维结构的解构与细分效应检验。本研究聚焦于生态潜力的综合效应,而未对其内在维度进行区分。未来研究可将生态资本、环境韧性、设施智慧化、制度效能与社区动力五大维度分别作为核心解释变量纳入空间计量模型,精准识别各维度对旅游产业效率的差异化影响路径、直接效应与空间溢出效应。

其次,可引入中介效应模型与调节效应模型,进一步识别生态潜力影响旅游效率的传导路径及其边界条件。例如,生态资本是否通过“品牌效应”或“资源集聚”影响旅游效率,环境韧性是否在特定制度环境下产生“门槛效应”,可结合质性研究方法(如深度访谈、政策文本分析),揭示地方政府行为、社区参与意愿等非量化因素在空间溢出过程中的作用机制;

最后,随着高分辨率遥感数据、手机信号数据、社交媒体数据等的普及,未来可构建更精细化的生态潜力与旅游流动性数据库,提升指标构建的时空精度。在模型方面,可尝试构建多权重矩阵(经济距离、交通网络、生态廊道等),更全面地刻画空间依赖结构,增强模型对现实复杂性的解释力。

参考文献

[1] 韦晨. 我国农村地区生态旅游与经济发展有效融合思考[J]. 山西农经, 2021(24): 65-66, 69.
[2] 王效科, 杨宁, 吴凡, 等. 生态效益评价内容和评价指标筛选[J]. 生态学报, 2019, 39(15): 5442-5449.
[3] 柳清, 宋戈, 王越. 松嫩高平原土地利用景观生态潜力评价——以黑龙江省巴彦县为例[J]. 国土资源科技管理, 2013, 30(6): 1-6.
[4] 张亚峰, 施泽明, 苗国文, 等. 青藏高原北缘富硒土地成因类型与生态潜力[J]. 岩矿测试, 2025, 44(3): 436-446.
[5] 韩晓佳, 王继军, 赵晓翠, 等. 城市近郊型乡镇农业生态经济系统生态潜力及产业空间布局——以延安市河庄坪镇为例[J]. 生态学报, 2021, 41(12): 4720-4731.
[6] 吕妮. 智慧旅游产业生态潜力自动预估模型研究[J]. 自动化与仪器仪表, 2019(8): 106-109.
[7] Tsaur, S., Lin, Y. and Lin, J. (2006) Evaluating Ecotourism Sustainability from the Integrated Perspective of Resource, Community and Tourism. Tourism Management, 27, 640-653. [Google Scholar] [CrossRef
[8] Olaniyi, O.E., Akindele, S.O. and Ogunjemite, B.G. (2018) Ecotourism Suitability of Okomu and Pendjari National Parks. Anatolia, 29, 593-604. [Google Scholar] [CrossRef
[9] 周彬, 钟林生, 陈田, 等. 基于生态位的黑龙江省中俄界江生态旅游潜力评价[J]. 资源科学, 2014, 36(6): 1142-1151.
[10] 王凯, 刘美伦, 尹建军. 中国旅游产业效率的区域差异及空间收敛性[J]. 中南林业科技大学学报(社会科学版), 2023, 17(3): 70-82.
[11] 马晓龙, 保继刚. 中国主要城市旅游效率的区域差异与空间格局[J]. 人文地理, 2010, 25(1): 105-110, 99.
[12] 王兆峰, 邱梦真. 长三角城市群一体化对旅游产业效率的空间溢出效应研究[J]. 长江流域资源与环境, 2024, 33(7): 1397-1411.
[13] 王兆峰, 赵松松. 基于DEA-Malmquist模型的湖南省旅游产业效率时空动态演化及影响因素[J]. 长江流域资源与环境, 2019, 28(8): 1886-1897.
[14] 耿海. 基于DEA模型的旅游产业效率研究[J]. 科技风, 2024(10): 164-166.
[15] 何远梅, 姚文俊, 张岩, 等. 黄土高原区植被恢复的空间差异性分析[J]. 中国水土保持科学, 2015, 13(2): 63-69.
[16] 王欢芳, 陈素月. 长三角城市群经济韧性评估与研究——基于Shift-Share模型的经济韧性拆解[J]. 兰州财经大学学报, 2024, 40(2): 48-61.
[17] 樊斐斐, 郑华. 面向生态安全与可持续发展目标的社会-生态弹性提升策略[J]. 科学与社会, 2024, 14(4): 43-56.
[18] 常跃, 宋海波, 苑晨阳. 智慧技术在赋能幸福河湖建设中的应用与挑战研究[J]. 黑龙江水利科技, 2025, 53(4): 165-169.
[19] 高瑞. 基于GIS的生态补偿空间均衡性分析[D]: [硕士学位论文]. 武汉: 华中师范大学, 2007.
[20] 颜廷武, 何可, 张俊飚. 社会资本对农民环保投资意愿的影响分析——来自湖北农村农业废弃物资源化的实证研究[J]. 中国人口∙资源与环境, 2016, 26(1): 158-164.
[21] 李新宇, 陈洁, 王楚玥, 等. 基于熵值法和线性加权的安徽省和谐发展的空间分析[J]. 上海工程技术大学学报, 2019, 33(2): 172-178.