社交焦虑与中职生网络游戏成瘾的关系:逃避动机与化身认同的链式中介作用
The Relationship between Social Anxiety and Internet Gaming Disorder in Secondary Vocational Students: A Chain Mediation of Escapism Motivation and Avatar Identification
DOI: 10.12677/ap.2026.161013, PDF, HTML, XML,   
作者: 姜 潇:济南大学教育与心理科学学院,山东 济南;刘丽燕, 孙小霏:平度市职业教育中心学校,山东 青岛
关键词: 社交焦虑网络游戏成瘾逃避动机化身认同Social Anxiety Internet Gaming Disorder Escapism Motivation Avatar Identification
摘要: 目的:探究社交焦虑与中职生网络游戏成瘾之间的关系,以及逃避动机与化身认同在其中的作用。方法:采用整群抽样法,通过社交焦虑量表、逃避动机量表、化身认同量表与网络游戏成瘾问卷对720名中职生进行调查,并使用SPSS宏程序PROCESS进行链式中介效应检验。结果:社交焦虑与中职生网络游戏成瘾呈显著正相关(β = 0.10, p < 0.001)。社交焦虑不仅与网络游戏成瘾存在直接关联,还可通过三条间接路径与其相关联:逃避动机的独立中介作用、化身认同的独立中介作用、逃避动机→化身认同的链式中介作用。结论:社交焦虑与中职生网络游戏成瘾存在显著关联,逃避动机和化身认同在其间起到链式中介作用。这提示在干预实践中,可考虑关注并疏导个体的逃避动机,并引导其建立健康的自我认同,以降低网络游戏成瘾的风险。
Abstract: Objective: To explore the relationship between social anxiety and internet gaming disorder (IGD) among secondary vocational school students, and the roles of escapism motivation and avatar identification in this relationship. Methods: Using a cluster sampling method, data were collected from 720 students via the Social Anxiety Scale, Escapism Motivation Scale, Avatar Identification Scale, and Internet Gaming Disorder Questionnaire. The chain mediation model was tested using the PROCESS macro for SPSS. Results: Social anxiety was significantly positively associated with IGD (β = 0.10, p < 0.001). Social anxiety was not only directly associated with IGD but also indirectly linked through three pathways: the separate mediating role of escapism motivation, the separate mediating role of avatar identification, and the chain mediation of escapism motivation → avatar identification. Conclusion: Social anxiety shows a significant association with IGD among secondary vocational students, with escapism motivation and avatar identification serving as chain mediators. This suggests that intervention practices could focus on alleviating escapism motivation and guiding individuals to establish a healthy self-identity to reduce the risk of addiction.
文章引用:姜潇, 刘丽燕, 孙小霏 (2026). 社交焦虑与中职生网络游戏成瘾的关系:逃避动机与化身认同的链式中介作用. 心理学进展, 16(1), 93-100. https://doi.org/10.12677/ap.2026.161013

1. 引言

互联网的飞速发展与普及,使网络游戏成为青少年群体重要的休闲娱乐方式之一,但同时也伴随着网络游戏成瘾的风险。网络游戏成瘾(Internet Gaming Disorder,简称IGD)即持续性和复发性使用互联网参与游戏,通常与其他玩家一起,导致临床显著的损害或痛苦(American Psychiatric Association, 2013)。全球流行病学研究表明,青少年群体是IGD的高发人群,患病率约为3%,显著高于其他年龄段(Kim et al., 2022; Stevens et al., 2021)。大量实证研究证实网络游戏成瘾对青少年身心健康构成显著威胁,与睡眠质量下降(Macur & Pontes, 2021)、抑郁症状加重(Peng et al., 2025)以及学业成绩下降(Alzahrani & Griffiths, 2024)等不良后果密切相关。调查指出,中职学生互联网普及率最高,且花费在网络游戏的时间高于其他学历段的未成年人(苗双,2022)因此,深入探究中职生群体中网络游戏成瘾的风险因素及其内在作用机制,具有重要的理论和实践意义。

在众多风险因素中,社交焦虑(Social Anxiety)被广泛认为是预测网络游戏成瘾的关键远端因素之一(王素娟等,2021滕雄程等,2021)。处于社交焦虑的个体对自己的社交能力持怀疑态度,并渴望建立理想的自我形象(Schlenker & Leary, 1982)。即高社交焦虑的个体在人际互动中常伴有回避意图和行为,以避免他人可能产生的负面评价(Rinck et al., 2010)。

值得注意的是,尽管高社交焦虑者可能回避现实社交,但其对社会联结的需求依然强烈(Wang & Zhao, 2022)。网络的匿名性与非同步性等特性,能有效降低社交互动情境的威胁感和压力水平(Arnold et al., 2025),使其成为高社交焦虑者寻求社会联结的“避风港”,进而增加了其过度依赖网络互动并发展为网络游戏成瘾(Ruiz-Olivares et al., 2025)。多项研究一致表明,社交焦虑水平能够显著正向预测网络游戏成瘾(Huang et al., 2022; 楚啸原等,2020)。基于此,本研究提出第一个研究假设H1:社交焦虑正向预测中职生网络游戏成瘾。

互联网的补偿性使用模型(Kardefelt-Winther, 2014)强调,心理特质(如社交焦虑)对网络游戏成瘾往往通过特定的使用动机实现。其中,逃避动机(Escapism Motivation)被普遍认为是成瘾行为的重要中介机制(Kim, 2017)。逃避动机指个体为规避现实生活中的压力、负面情绪或不适体验而转向网络活动的倾向(Kim, 2017)。社交焦虑作为一种持续性的社会压力源,会激发个体强烈的逃避需求(张逸飞等,2024)。网络游戏凭借其高度沉浸性、可控性和即时奖赏反馈等特点,为个体提供了逃离现实社交困境的途径(Giardina et al., 2024)。已有实证研究支持了这一路径,表明逃避动机在社交焦虑与游戏成瘾(Marino et al., 2020)之间均发挥显著的中介作用。因此,本研究提出第二个假设H2:逃避动机在社交焦虑与中职生网络游戏成瘾之间起中介作用。

化身认同(Avatar Identification)即指玩家在角色扮演游戏中,基于其对化身与自我的相似性、吸引力及心理需求满足度的评价,从而在自我知觉、具身临场感与情绪态度上产生短暂性转变的心理过程(Klimmt et al., 2009)。根据自我差异理论(Self-Discrepancy Theory) (Higgins, 1987),当个体的现实自我与理想自我感知存在显著差距时,会产生心理不适。研究显示,游戏中的虚拟化身常被玩家视为理想自我的投射(Gabarnet et al., 2025)。对于社交焦虑个体而言,现实社交中的挫败感常加剧其现实自我与理想自我的差距(Ožanić & Kamenov, 2024)。通过创建并高度认同一个在虚拟世界中更自信、更具社交效能的化身,个体能暂时缓解由此产生的紧张感。研究表明,更高的社交焦虑水平会促使玩家产生更强的化身认同(Sioni et al., 2017),而这种认同又与更深度的游戏卷入及更高的成瘾风险相关。因此,本研究提出第三个假设H3:化身认同在社交焦虑与中职生网络游戏成瘾之间起中介作用。

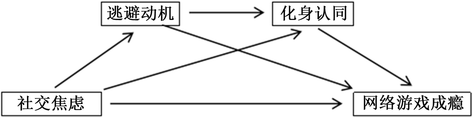
Angelini等人(2024)发现,网络游戏成瘾背后的主要动机是想要逃避现实生活中的压力和负面情绪。使用与满足理论(Uses and Gratifications Theory)指出个人由于从参与特定网络的行为中获得了满足从而积极参与特定网络。而化身为个体构造虚拟形象并带来娱乐与消遣,可以暂时缓解压力和负面情绪。另外,已有研究表明高逃避动机的个体往往会表现出高化身认同(Fraser et al., 2023),他们期望通过化身来获得满足感,以弥补现实中欠缺的情绪体验。本研究的假设模型见图1

Figure 1. The hypothesized model

1. 研究假设模型

2. 研究对象与方法

2.1. 对象

采用整群抽样法,选取山东省某市职业高中的800名学生作为调查对象,共回收有效问卷720份(90.00%)。其中女生322人(44.72%),男生398人(55.28%),平均年龄为(16.5 ± 2.31)岁。

2.2. 研究方法

2.2.1. 社交焦虑

采用La Greca和Lopez (1998)编制,由国内学者对照确定的中文版《青少年社交焦虑量表》。量表共包含5个题项(例如,“我接触到陌生人时会感觉到紧张”),采用Likert 5点计分(1 = “很不符合”,5 = “非常符合”),得分越高表明社交焦虑水平越高。本研究中,量表的Cronbach’s α系数为0.85。

2.2.2. 逃避动机

采用Kim (2017)编制的《逃避动机量表》。量表共包含6个题项(例如,“网络游戏可以使我感觉不那么孤独”),采用Likert 5点计分(1 = “完全不符”,5 =“完全符合”),得分越高表明逃避动机越强烈。本研究中,量表的Cronbach’s α系数为0.85。

2.2.3. 化身认同

采用van Looy等(2010)编制的《化身认同量表》。量表共包含17个题项(例如,“我的游戏人物是一个更好的我”),采用Likert 5点计分(1 = “非常不同意”,5 = “非常同意”),得分越高表明化身认同水平越高。本研究中,量表的Cronbach’s α系数为0.95。

2.2.4. 网络游戏成瘾

采用喻承甫等(2015)编制的《青少年网络游戏成瘾问卷》。量表共包含11个题项(例如,“是否对网络游戏过于关注”),用于评估被试过去6个月内症状出现的频率,采用3点计分(1 = “从不”,2 = “有时”,3 = “经常”),得分越高表明网络游戏成瘾倾向越严重。本研究中,量表的Cronbach’s α系数为0.81。

2.3. 统计处理

使用SPSS 26.0对数据进行描述性统计分析、相关分析、共同方法偏差检验。使用SPSS宏程序PROCESS 3.3中的模型6进行链式中介检验。

3. 结果

3.1. 共同方法偏差检验

采用Harman单因子检验法,将社交焦虑、逃避动机、化身认同和网络游戏成瘾的所有项目同时进行因子分析,特征值大于1的因子共有12个,第一个因子的变异解释率为30.00%,小于40%的临界标准。因此本研究不存在严重的共同方法偏差。

3.2. 描述性统计及相关分析

使用各变量的平均分进行Pearson相关分析,结果显示(见表1),社交焦虑、逃避动机、化身认同、网络游戏成瘾之间均呈显著相关。

Table 1. Correlations among variables (r)

1. 各变量之间的相关(r)

变量

M

SD

1

2

3

1) 社交焦虑

2.94

0.94

2) 逃避动机

2.81

0.90

0.29**

3) 化身认同

2.22

0.87

0.23**

0.43**

4) 网络游戏成瘾

1.38

0.31

0.19**

0.46**

0.30**

注:*p < 0.05,**p < 0.01,***p < 0.001;下表同。

3.3. 链式中介作用检验

首先,检验社交焦虑对网络游戏成瘾的直接作用。结果发现,社交焦虑正向预测网络游戏成瘾(β = 0.10, p < 0.001)。

其次,使用SPSS软件中PROCESS插件的模型6对研究假设中的链式中介模型进行分析。在控制了性别之后,对逃避动机和化身认同在社交焦虑和网络游戏成瘾之间的中介作用进行检验,结果见表2图2。社交焦虑显著地正向预测逃避动机、化身认同以及网络游戏成瘾。社交焦虑能正向预测化身认同和网络游戏成瘾,化身认同能正向预测网络游戏成瘾。

Figure 2. The chain mediation model

2. 链式中介模型

Table 2. Regression analysis among variables

2. 各变量间回归关系的分析

项目

逃避动机

化身认同

网络游戏成瘾

β

t

β

t

β

t

性别

−0.12

−3.42***

0.03

0.80***

−0.33

−10.43**

社交焦虑

0.30

8.45***

0.11

3.25**

0.10

3.17**

逃避动机

0.40

11.48***

0.35

10.01***

化身认同

0.12

3.58***

R

0.31

0.45

0.57

R2

0.10

0.20

0.33

F

38.32***

60.38***

87.35**

为了进一步检验中介效应的显著性,采用Bootstrap法重复抽样5000次,计算95%的置信区间。如表3所示,中介效应结果显示,逃避动机和化身认同在社交焦虑和网络游戏成瘾之间起部分中介作用,效应值为0.045,占总效应的56.70%。其中介效应通过路径1、路径2和路径3实现,分别占总效应值的44.43%、5.88%、6.23%。

Table 3. Analysis of mediation effects

3. 中介效应量分析

中介路径

效应值

占总效应比例

95%置信区间

下限

上限

社交焦虑→逃避动机→网络游戏成瘾

0.036

44.43%

0.024

0.049

社交焦虑→化身认同→网络游戏成瘾

0.005

5.88%

0.001

0.010

社交焦虑→逃避动机→化身认同→网络游戏成瘾

0.005

6.23%

0.002

0.009

总间接效应值

0.045

56.70%

0.032

0.060

4. 讨论

本研究以社交焦虑、逃避动机、化身认同与网络游戏成瘾为变量,探讨了逃避动机与化身认同在中职生社交焦虑与网络游戏成瘾之间的链式中介作用。描述性统计、相关分析及中介效应检验结果支持了本研究的研究假设。结果显示,社交焦虑与中职生网络游戏成瘾呈显著正相关,假设1得到支持。这一发现与以往研究结果一致(Huang et al., 2022; 楚啸原等,2020)。一种可能的解释是,对于社交焦虑水平较高的中职生而言,日常人际交往可能带来较多困惑与信心不足,而网络交互的匿名性与虚拟性为其提供了相对安全的社交平台,从而可能使其更倾向于投入网络游戏(王非等,2025)。逃避动机在社交焦虑与网络游戏成瘾之间发挥中介作用,支持了假设2。当中职生社交焦虑水平较高时,其逃避动机也可能相应增强。网络游戏因其便利性、易用性与高刺激性,易成为逃避现实压力的选择。研究指出,高社交焦虑青少年在通过网络获得社会支持后,可能进一步减少现实社交参与(Valkenburg & Peter, 2007),长此以往可能形成对网络游戏的依赖循环。化身认同在社交焦虑与网络游戏成瘾之间亦具有中介作用,假设3获得支持。高社交焦虑常伴随消极自我评价(Bautista & Hope, 2015),这可能使个体对现实自我不满意,进而通过游戏中的理想化身来寻求积极体验与成就感(衡书鹏等,2018)。此外,“逃避动机→化身认同”在社交焦虑与网络游戏成瘾之间的链式中介路径显著,假设4得到验证。逃避现实压力常与成瘾行为相关(Zakaria et al., 2023),游戏化身的创建与使用为个体提供了一种逃避途径(Craveirinha et al., 2016)。高逃避动机的个体可能更倾向于通过认同虚拟化身来获取掌控感与社会联结(衡书鹏等,2020),这种满足感可能进一步强化其逃避行为模式(Fraser et al., 2023)。

基于以上发现,建议在中职学校中实施针对性干预措施,例如开展社交技能与情绪管理课程,通过团体辅导等形式帮助学生提升现实社交信心,减少逃避倾向;同时可组织丰富课余活动如体育、艺术、技能竞赛等,提供现实中的成就感来源;对于已出现逃避动机或高化身认同的学生,可进行动机访谈与个别心理辅导,帮助其认识行为模式并建立健康的自我认同;此外,加强家校协同与网络素养教育,通过主题班会、家长课堂等途径增强对网络成瘾机制的认识,引导学生合理使用网络。

本研究仍存在一定局限。首先,样本来源较为集中,结论推广需谨慎,未来可扩大取样范围以提高外部效度。其次,横断面设计无法推断变量间的因果关系,后续研究可采用纵向或实验设计进一步验证。此外,未来可纳入更多潜在预测变量(如人格特质、家庭环境等),以更全面理解网络游戏成瘾的影响机制。

5. 结论

本研究结果表明,社交焦虑与中职生网络游戏成瘾存在显著关联,逃避动机与化身认同在其间构成链式中介路径。具体而言,社交焦虑水平较高的中职生可能更倾向于通过逃避现实压力(逃避动机)并投入虚拟身份认同(化身认同),进而与网络游戏成瘾风险相关联。上述发现提示,在中职生心理健康与行为干预中,应关注其社交情绪状态与游戏使用动机,通过综合支持策略降低潜在成瘾风险。

参考文献

[1] 楚啸原, 龙杰, 雷雳(2020). 社交焦虑与网络游戏过度使用: 自我补偿动机的中介作用和外倾性的调节作用. 心理科学, 43(4), 943-949.
[2] 衡书鹏, 赵换方, 范翠英, 周宗奎(2020). 视频游戏虚拟化身对自我概念的影响. 心理科学进展, 28(5), 810-823.
[3] 衡书鹏, 周宗奎, 雷玉菊, 牛更枫(2018). 现实-理想自我差异对青少年游戏成瘾的影响: 化身认同和沉浸感的序列中介作用. 心理与行为研究, 16(2), 253-260.
[4] 苗双(2022). 中职生手机使用现状及对策研究——基于《2019年全国未成年人互联网使用情况研究报告》的内容分析. 科学咨询, (16), 173-175.
[5] 滕雄程, 雷辉, 李景萱, 文峥(2021). 大学生社交焦虑对社交网络成瘾的影响: 意向性自我调节的调节效应. 中国临床心理学杂志, 29(3), 514-517.
[6] 王非, 秦李希, 尼玛卓嘎, 谭雅卿, 罗米扬, 陈艳华, 罗家有(2025). 湖南省中学生网络成瘾现状及影响因素分析. 中国公共卫生, 41(6), 641-647.
[7] 王素娟, 孙颖, 张亚利, 张雅明(2021). 社会排斥对青少年低头行为的影响: 社交焦虑与非适应性认知的链式中介作用. 中国特殊教育, (4), 72-77.
[8] 张逸飞, 赵海潮, 黄艾玥, 李晓毅, 舒心, 何依霖, 何清华(2024). 社交焦虑调节社会评价预期的形成过程: 基于漂移扩散模型的视角. 心理科学, 47(5), 1044-1054.
[9] Alzahrani, A. K. D., & Griffiths, M. D. (2024). Problematic Gaming and Students’ Academic Performance: A Systematic Review. International Journal of Mental Health and Addiction, 23, 4062-4095.
[10] American Psychiatric Association (2013). Diagnostic and Statistical Manual of Mental Disorders (DSM-5). American Psychiatric Publishing.
[11] Angelini, F., Pivetta, E., Marino, C., Canale, N., Spada, M. M., & Vieno, A. (2024). Social Norms and Problematic Gaming among Adolescents: The Role of Internet Use Coping Motives. Addictive Behaviors, 148, Article 107865.[CrossRef] [PubMed]
[12] Arnold, S., Vogt, M. F., Boettcher, J., Fenski, F., Šipka, D., Elson, M. et al. (2025). A Freely Accessible, Anonymous Online Treatment for Social Anxiety: Protocol for a Partially Randomized Patient Preference Trial. JMIR Research Protocols, 14, e77573.[CrossRef
[13] Bautista, C. L., & Hope, D. A. (2015). Fear of Negative Evaluation, Social Anxiety and Response to Positive and Negative Online Social Cues. Cognitive Therapy and Research, 39, 658-668.[CrossRef
[14] Craveirinha, R., Barreto, N., & Roque, L. (2016). Towards a Taxonomy for the Clarification of PCG Actors’ Roles. In Proceedings of the 2016 Annual Symposium on Computer-Human Interaction in Play (pp. 244-253). ACM.[CrossRef
[15] Fraser, R., Slattery, J., & Yakovenko, I. (2023). Escaping through Video Games: Using Your Avatar to Find Meaning in Life. Computers in Human Behavior, 144, Article 107756.[CrossRef
[16] Gabarnet, A., Feixas, G., & Montesano, A. (2025). Who Am I Inside the Screen? Construction of Virtual Identity in Multiplayer Online Videogames and Its Psychological Functions. Cyberpsychology, Behavior, and Social Networking, 28, 52-59.[CrossRef] [PubMed]
[17] Giardina, A., Schimmenti, A., Starcevic, V., King, D. L., Di Blasi, M., & Billieux, J. (2024). Problematic Gaming, Social Withdrawal, and Escapism: The Compensatory-Dissociative Online Gaming (C-DOG) Model. Computers in Human Behavior, 155, Article 108187.[CrossRef
[18] Higgins, E. T. (1987). Self-Discrepancy: A Theory Relating Self and Affect. Psychological Review, 94, 319-340.[CrossRef
[19] Huang, X., Shi, H., Li, H., Guo, W., Luo, D., & Xu, J. (2022). Differential Effects of Anxiety on Internet Gaming Disorder: A Large-Scale Cross-Sectional Survey. Frontiers in Psychiatry, 12, Article ID: 802513.[CrossRef] [PubMed]
[20] Kardefelt-Winther, D. (2014). A Conceptual and Methodological Critique of Internet Addiction Research: Towards a Model of Compensatory Internet Use. Computers in Human Behavior, 31, 351-354.[CrossRef
[21] Kim, H. S., Son, G., Roh, E., Ahn, W., Kim, J., Shin, S. et al. (2022). Prevalence of Gaming Disorder: A Meta-Analysis. Addictive Behaviors, 126, Article 107183.[CrossRef] [PubMed]
[22] Kim, J. (2017). Smartphone-Mediated Communication vs. Face-to-Face Interaction: Two Routes to Social Support and Problematic Use of Smartphone. Computers in Human Behavior, 67, 282-291.[CrossRef
[23] Klimmt, C., Hefner, D., & Vorderer, P. (2009). The Video Game Experience as “True” Identification: A Theory of Enjoyable Alterations of Players’ Self-Perception. Communication Theory, 19, 351-373.[CrossRef
[24] La Greca, A. M., & Lopez, N. (1998). Social Anxiety among Adolescents: Linkages with Peer Relations and Friendships. Journal of Abnormal Child Psychology, 26, 83-94.[CrossRef] [PubMed]
[25] Macur, M., & Pontes, H. M. (2021). Internet Gaming Disorder in Adolescence: Investigating Profiles and Associated Risk Factors. BMC Public Health, 21, Article No. 1547.[CrossRef] [PubMed]
[26] Marino, C., Canale, N., Vieno, A., Caselli, G., Scacchi, L., & Spada, M. M. (2020). Social Anxiety and Internet Gaming Disorder: The Role of Motives and Metacognitions. Journal of behavioral addictions, 9, 617-628.[CrossRef] [PubMed]
[27] Ožanić, M. S., & Kamenov, Ž. (2024). Relations of Self-Discrepancies with Depression and Anxiety in Adolescents: The Role of Parents’ and Peers’ Expectations. Primenjena psihologija, 17, 307-330.[CrossRef
[28] Peng, P., Chen, Z. M., Ren, S. L., He, Y., Li, J. G., Liao, A. J. et al. (2025). Internet Gaming Disorder and Depression Mediated by Impaired Resilience and Sleep Distress: A Three-Wave Longitudinal Study among Chinese Adolescents. Epidemiology and Psychiatric Sciences, 34, e11.[CrossRef] [PubMed]
[29] Rinck, M., Rörtgen, T., Lange, W., Dotsch, R., Wigboldus, D. H. J., & Becker, E. S. (2010). Social Anxiety Predicts Avoidance Behaviour in Virtual Encounters. Cognition & Emotion, 24, 1269-1276.[CrossRef
[30] Ruiz-Olivares, R., Lucena Jurado, V., Ruiz-García, A., & Trenas, A. F. R. (2025). Social Anxiety, Risk Perception, and Problematic Use of Mobile Phones and Video Games: A Gender Perspective. Healthcare, 13, Article 2831.[CrossRef
[31] Schlenker, B. R., & Leary, M. R. (1982). Social Anxiety and Self-Presentation: A Conceptualization Model. Psychological Bulletin, 92, 641-669.[CrossRef] [PubMed]
[32] Sioni, S. R., Burleson, M. H., & Bekerian, D. A. (2017). Internet Gaming Disorder: Social Phobia and Identifying with Your Virtual Self. Computers in Human Behavior, 71, 11-15.[CrossRef
[33] Stevens, M. W., Dorstyn, D., Delfabbro, P. H., & King, D. L. (2021). Global Prevalence of Gaming Disorder: A Systematic Review and Meta-Analysis. Australian & New Zealand Journal of Psychiatry, 55, 553-568.[CrossRef] [PubMed]
[34] Valkenburg, P. M., & Peter, J. (2007). Online Communication and Adolescent Well-Being: Testing the Stimulation versus the Displacement Hypothesis. Journal of Computer-Mediated Communication, 12, 1169-1182.[CrossRef
[35] Van Looy, J., Courtois, C., & De Vocht, M. (2010). Player Identification in Online Games: Validation of a Scale for Measuring Identification in MMORPGs. In Proceedings of the 3rd International Conference on Fun and Games (pp. 126-134). ACM.[CrossRef
[36] Wang, Y., & Zhao, N. (2022). Prediction Model of Interaction Anxiousness Based on Weibo Data. Frontiers in Public Health, 10, Article ID: 1045605.[CrossRef] [PubMed]
[37] Zakaria, H., Hussain, I., Zulkifli, N. S., Ibrahim, N., Noriza, N. J., Wong, M. et al. (2023). Internet Addiction and Its Relationship with Attention Deficit Hyperactivity Disorder (ADHD) Symptoms, Anxiety and Stress among University Students in Malaysia. PLOS ONE, 18, e0283862.[CrossRef] [PubMed]