水位波动下吐鲁番盆地地下水化学演化及风险评估
Chemical Evolution and Risk Assessment of Groundwater in the Turpan Basin under Water Level Fluctuations
DOI: 10.12677/jwrr.2025.146064, PDF, HTML, XML,    科研立项经费支持
作者: 赵鹏博:吐鲁番市水利科学研究所,新疆 吐鲁番;吐鲁番市坎儿井研究所,新疆 吐鲁番;河海大学终身教育学院,江苏 南京;马 梅:吐鲁番市水利科学研究所,新疆 吐鲁番;吐鲁番市坎儿井研究所,新疆 吐鲁番;高 成*:河海大学水文水资源学院,江苏 南京;陈 拓, 丁启振:新疆农业大学水利与土木工程学院,新疆 乌鲁木齐;王 岚:吐鲁番市水资源管理中心,新疆 吐鲁番;冉晓凤:河海大学终身教育学院,江苏 南京;温宿县水资源总站,新疆 阿克苏;王世凡:河海大学终身教育学院,江苏 南京;沙雅县水利局,新疆 阿克苏
关键词: 吐鲁番盆地地下水水文地球化学健康风险评价Turpan Basin Groundwater Hydro-Geochemistry Health Risk Assessment
摘要: 目的:吐鲁番作为中国典型的极端干旱区,降雨稀少,蒸发强烈,地下水是区域生产生活、生态维持的核心水源,其水质安全与可持续利用直接关系到区域水安全和生态稳定,系统明晰吐鲁番盆地地下水化学时空演化规律及驱动机制尤为重要。方法:以新疆吐鲁番绿洲区地下水为研究对象,通过对低水位期(2024年8月)和高水位期(2025年5月) 25个原位点共50组水样进行取样分析,采用舒卡列夫分类法、Piper图解法、Gibbs图解法、矿物饱和指数(SI)分析、梯形模糊数–蒙特卡洛随机模拟(TFN-MCSS)及PCA-APCS/MLR-PMF进行系统分析,阐明水位波动下地下水化学演化特征并进行风险评估。结果:研究区地下水整体呈弱碱性,属于微咸水;水中阳离子以Ca2+、Na+为主,阴离子以Cl S O 4 2 为主,地下水化学优势类型为SO₄·Cl-Na·Ca型,水化学形成受岩石风化与蒸发浓缩协同控制。地下水质量以I类为主,主要超标指标为 S O 4 2 、TDS和 N O 3 ,水质改善、恶化、稳定占比约32.0%、30.7%、37.3%,时空变化较明显;主要矿物SI均 < 0呈不饱和溶解,锰矿SI显著上升。健康风险方面,成人两期均为低风险,儿童均为中等风险,低水位期As、I风险较高,高水位期 N O 3 风险主导。结论:吐鲁番绿洲区地下水化学时空异质性由自然水文节律(水位驱动水岩作用)与人为活动(农业面源)共同驱动,核心环境问题为盐化与硝酸盐污染叠加。
Abstract: Objective: The Turpan region of Xinjiang, a typical extremely arid area with high temperatures and an arid climate, relies heavily on groundwater for social production, daily life, and ecological maintenance. The safety and sustainable utilization of its water quality are directly linked to regional water security and ecological stability. Therefore, it is of particular importance to systematically clarify the spatio-temporal evolution laws and driving mechanisms of groundwater chemistry in the Turpan Basin. Methods: Groundwater in the Turpan Oasis area of Xinjiang was selected as the research object. A total of 50 groups of water samples from 25 in-situ sites were collected and analyzed during both the low-water level period (August 2024) and the high-water level period (May 2025). The Schukarev classification method, Piper diagram, Gibbs diagram, mineral saturation index (SI) analysis, trapezoidal fuzzy number-Monte Carlo stochastic simulation (TFN-MCSS), and PCA-APCS/MLR-PMF were employed for systematic analysis to clarify the hydrochemical evolution characteristics of groundwater under water level fluctuations and to conduct a risk assessment. Results: The groundwater in the study area was generally weakly alkaline and brackish. The major cations and anions in the water were identified as Ca2+, Na+, Cl, and S O 4 2 , respectively. The dominant hydrochemical type was determined to be SO₄·Cl-Na·Ca, which was found to be jointly controlled by rock weathering and evaporation concentration. The groundwater quality was classified as mainly Class I, with the main exceeding-standard indicators being S O 4 2 , TDS, and N O 3 . The proportions of water quality improvement, deterioration, and stability were approximately 32.0%, 30.7%, and 37.3%, respectively, showing obvious spatio-temporal variations. The saturation indices (SI) of the main minerals were all < 0, indicating unsaturated dissolution, with a significant increase observed in the SI of manganese ore. In terms of health risks, adults were found to be at low risk in both periods, while children were at medium risk. The risks of As and I were relatively higher in the low-water-level period, whereas the risk of N O 3 was dominant in the high-water-level period. Conclusion: The spatio-temporal heterogeneity of groundwater chemistry in the Turpan Oasis was found to be driven by a combination of natural hydrological rhythms (water-rock interaction driven by water level) and human activities (agricultural non-point sources). The core environmental problems were identified as the superimposed effects of salinization and nitrate pollution.
文章引用:赵鹏博, 马梅, 高成, 陈拓, 丁启振, 王岚, 冉晓凤, 王世凡. 水位波动下吐鲁番盆地地下水化学演化及风险评估[J]. 水资源研究, 2025, 14(6): 590-607. https://doi.org/10.12677/jwrr.2025.146064

1. 引言

淡水资源被视为全球各地区所有生物系统中,维系生物生存和繁衍不可或缺的最重要的基础生命资源之一 [1]-[3]。而水资源短缺已成为亟待全球关注的紧迫问题,随着人口数量的增长、工业规模的发展及灌溉农业区的持续扩展,共同导致了水资源的需求不断攀升[4]。地下水作为水资源的核心部分,制约着区域社会经济与生态环境高质量发展的关键[5]-[7],其水量与水质也直接关系人类生活必需[8];长期以来,人类活动对地下水环境产生着不同程度的干扰[9],因此实现地下水资源平衡与优良水质,成为干旱区水资源可持续发展的重中之重[10]

吐鲁番盆地作为中国西北典型的封闭性内陆干旱盆地,其极端干旱的气候特征(年均降水量不足20 mm,蒸发量高达3000 mm)与独特的“山地–盆地”水文系统,使其成为研究干旱区地下水循环与生态响应的天然实验室,在干旱区水资源可持续管理研究中具有典型性。

地下水是维系吐鲁番绿洲生态系统与社会经济发展的稳定水源,不仅支撑着当地以葡萄、瓜果、饲草为主的特色农业灌溉,保障了区域生产生活用水需求,其潜水面蒸发更维系着荒漠–绿洲过渡带的植被平衡,对绿洲生态安全至关重要[11]。随着农业规模化扩张和工业化进程加速,地下水开采强度激增,引发一系列连锁生态水文问题,2013年郭琳等[12]研究指出由于吐鲁番盆地地下水开采过量,导致艾丁湖湖区面积减少,沙漠化区域增大等一系列生态环境问题出现。1988至2016年吐鲁番盆地地下水动态类型呈开采型[13];2019至2022年地下水位整体呈快速下降和缓慢下降趋势,年均速率范围为−0.97至−0.25 m·a−1,截至2021年,南盆地高昌区东南方向大型地面沉降漏斗中心地面沉降量与沉降速率分别为−366 mm和−140 mm·a−1 [14]。吐鲁番盆地生态脆弱,干旱少雨、蒸发强烈,使得地下水体盐度偏高,呈现弱碱性,其地下水质演变和污染防控一直是近年来关注的重点,地下水介质的差异性和复杂性,早期污染不易察觉,具有极强的隐蔽性和延迟性,待明显察觉时或已被污染且难以还原修复[15]。赵晓玉等[16]研究表明,吐鲁番盆地绿洲区2023年NO3-N超标率为35.56%,呈现由西北向东南逐渐递增趋势,多集中于60~100 m的浅层潜水和20~55 m的承压水区浅层地下水。丁启振等[17]研究揭示了吐鲁番盆地绿洲区地下水硼浓度介于ND~4.26 mg·L−1,24.5%的水样超过《生活饮用水卫生标准》(GB5749-2022)的限值1.0 mg·L−1,硼浓度表现出明显的空间差异性,聚集在含硼河流下游的高昌区。白凡等[18]研究探明吐鲁番南盆地平原区地下水高风险和较高风险呈现呈斑块状分布,分布在托克逊县郭勒布依乡至托克逊镇一带、高昌区葡萄乡、亚尔乡及高昌街道和鄯善县鲁克沁镇与达浪坎乡。然而,以上研究多侧重于超采导致地下水水位下降、污染物的空间分布特征描述,对于其来源、迁移转化的动力机制探讨尚显不足;也有对局部区域的地下水污染风险进行评估,但地下水水位的波动会改变含水层环境,进而影响地下水质量[19],可能未能充分耦合“季节水位波动与水质演变”动态过程。当前,吐鲁番盆地地下水系统的复杂性与动态演化特征仍存在诸多科学认知缺口,主要为水化学关键组分对季节性水文过程的响应机制与界面交换规律亟待阐明、 NO 3 等有害元素的健康风险耦合关系需系统量化、岩石风化、蒸发浓缩、农业面源污染等多过程的耦合机制(如化肥施用与 NO 3 迁移的协同效应)对水质演化的驱动权重尚未厘清。

针对上述科学问题,本文以吐鲁番盆地绿洲区为实证区域,结合《吐鲁番市地下水动态监测报告(2003~2012年)》长期监测数据,明确该区域地下水水位存在显著季节性变化特征:8~9月为全年水位最低值期,3月达到全年水位最高值,5月水位基本平稳且处于高水位区间[14]。基于这一区域水位季节性动态规律,本文选取5月作为高水位代表期、8月作为低水位代表期,开展相关研究工作。基于2024年8月(低水位期)和2025年5月(高水位期)采集25个原位点共50组水样的多源观测数据,整合水文地球化学分析与先进数值模拟技术,通过电荷平衡检验(CBD)筛选可靠水化学数据,结合舒卡列夫分类法、Piper三线图与Gibbs图,系统解析地下水化学类型时空分异特征,揭示岩石风化与蒸发浓缩的协同控制作用;耦合矿物饱和指数(SI)分析与地球化学逆向模拟,量化水位变化对硫酸盐、氟化物、含锰氧化物等矿物溶解和沉淀平衡的调控效应,明确水岩作用的动态响应规律;整合梯形模糊数–蒙特卡洛随机模拟(TFN-MCSS)与PCA-APCS-MLR-PMF模型,建立有害元素(As、F、 NO 3 等)健康风险的时空评估体系,精准识别地质源、农业源、生活源等污染贡献。

基于此背景,以水位波动作为核心驱动因子,分析地下水低、高水位期对地下水化学及来源的影响,将有助于深入剖析在水位升降过程中,污染物如何被活化、迁移和富集,从而为揭示其时空演变规律提供更具说服力的解释,为区域地下水污染防控、水资源优化配置(如农业灌溉用水分区管控、饮用水源地筛选)提供科学依据,更能填补干旱区地下水化学时空异质性驱动机制研究的区域空白,为“水质型缺水”干旱区地下水系统的可持续管理提供理论支撑与技术参考,对保障干旱区生态安全与人类福祉具有重要的现实意义。

2. 材料与方法

2.1. 研究区概况

吐鲁番市位于新疆维吾尔自治区东部,总面积6.98 × 104 km2。地形主要有(为)山地和平原(戈壁、沙漠、绿洲)。吐鲁番盆地四周是山地、中部低,为封闭式盆地,盆地北部与西部是天山山脉,主峰为博格达峰,最高海拔5445 m;地势呈现西北高(海拔3500 m~4000 m)东南低(600 m~2500 m),中部为吐鲁番海拔最低点艾丁湖(−155 m)。

盆地中心东西方向,从南侧向北侧,依次为侏罗纪、白垩纪、古第三纪、新第三纪地质年代的岩石露出地表,盆地周边的山区分布着从古生代到第三纪地层。

区域山地主体由古生代至第三纪地层岩石构成。周边山地径流下渗后,经地质作用汇积于北盆地与南盆地,第四纪含水层共同构建成地下水盆结构。地下水呈现特定流动态势:在盆地区域,整体由北盆地向南盆地径流;聚焦南盆地,地下水则自东西两侧往中部汇聚。区内泥质岩石广泛分布,其低渗透性特征成为地下水流动的天然制约因素,使北盆地可有效储存地下水,形成天然地下水库的效应,为区域水资源调蓄与生态环境维系提供独特水文地质条件。

吐鲁番盆地属于典型的大陆性暖温带干旱荒漠气候,境内共有大小河流14条,是吐鲁番盆地主要地表水源和地下水补给源,水资源总量12.6 × 108 m3,水资源可利用量12.26 × 108 m3,其中地表水可利用量6.32 × 108 m3,地下水可开采量5.94 × 108 m3。全市建成中小型调蓄水库16座,机电井7003眼,现存坎儿井1108条(含有水坎儿井169条[20])。

2024年,全市用水总量11.713 × 108 m3,(不含221团),其中地表水5.805 × 108 m3,(占比49.56%)、地下水5.767 × 108 m3,(占比49.24%);实际灌溉面积为196.24万亩,农业灌溉用水量为9.99 × 108 m3

2.2. 研究方法体系

2.2.1 数据采集规范

本研究设置高、低水位期两个采样周期开展水质监测。高水位期于2025年5月进行,选取25个采样点;低水位期于2024年8月开展,选取25个原位采样点。采样点覆盖研究区域关键水域,可有效反映不同水位工况下水质空间分布特征(图1)。

水质监测立涵盖水化学、空间坐标与水文期的三维数据库,核心指标包括:主要离子(Ca2+、Mg2+、Na+、K+、Cl SO 4 2 HCO 3 等)、特殊指标(TDS、TH、pH、 NO 3 、F、As、I等)、时空标签(高水位期、低水位期及经纬度坐标)。水样检测委托新疆维吾尔自治区地质局水文环境地质调查中心完成,其检测数据真实有效,可作为后续分析的可靠依据。

2.2.2. 数据质量控制方法

采用电荷平衡检验[21]筛选可靠水化学数据,公式为:

CBE= ( meq/L ) ( meq/L ) ( + )/2 +ε ×100% (1)

1. 观测点分布图

式(1)中:阳离子主要为Ca2+、Mg2+、Na+、K+等;阴离子为Cl SO 4 2 HCO 3 等; ε= 10 8 (避免除零);阈值 | CBE |<5% ,超过则剔除数据。

2.2.3. 水化学特征分析

水化学类型分析采用舒卡列夫法,阳离子和阴离子优势判断如下:

P c = [ ] ×100% (2)

P a = [ ] ×100% (3)

式(2) (3)中:优势阳离子为Ca2+、Mg2+或Na+ (Pc > 50%);优势阴离子为Cl SO 4 2 HCO 3 (Pc > 50%)。

水化学主控过程采用吉布斯图法[22]进行识别分析,分区的标准为:大气降水主导区(比率 < 0.2,TDS低);岩石风化主导区(比率0.2~0.8,TDS中等);蒸发浓缩主导区(比率 > 0.8,TDS高)。

2.2.4. 矿物饱和指数

通过矿物饱和指数(SI) [23]进行判断矿物溶解–沉淀状态:

SI=lg( IAP K sp ( T,P ) ) (4)

式(4)中:SI (饱和指数),用于判断矿物在溶液中是处于过饱和、饱和还是不饱和状态;IAP表示离子活度积; K sp ( T,P ) 溶度积常数,是温度(T)和压力(P)的函数。

2.2.5. 致癌风险计算

致癌风险分析采用梯形模糊数–蒙特卡洛随机模拟(TFN-MCSS)法[24]进行量化计算,通过对模型参数进行多次随机抽样以生成风险概率分布,以此衡量致癌风险是否处于可接受范围。

2.2.6. 污染源解析

通过主成分分析(PCA)提取核心因子,利用绝对主成分多元线性回归模型(APCS/MLR)计算各化学指标对因子的贡献量。最后,采用正定矩阵因子分解法(PMF)验证,在随机种子模式下检验3~5个因子、运行模型100次,以全局Q最小且Q (true) ≈ Q (robust)确定因子数[25]

3. 结果与讨论

3.1. 地下水化学演变特征

3.1.1. 水化学特征

根据吐鲁番盆地研究区低、高水位期水化学参数统计数据(如表1所示),盆地地下水低水位期pH值为7.04~8.42,均值7.55;高水位期pH值为7.50~8.32,均值7.93,均属于弱碱性水。低水位和高水位TDS均值分别为1165.43 mg·L−1和1372.21 mg·L−1,变异系数分别为0.85和1.02,部分点位低、高水位期达到4580.75 mg·L−1和6593.10 mg·L−1,进一步说明高水位矿化升高,空间差异显著,特别是鄯善县七克台最为显著,主要原因可能为地形变缓,岩性颗粒变细,地下水埋深变浅,蒸发作用变强,盐分聚集,使水中各种化学成分急剧增高,从而变成咸水或盐水,或农业灌溉带入可溶性固体,加剧局部TDS异常[26]

低水位期硝酸盐( NO 3 )值为0.39~33.84 mg·L−1,均值5.31 mg·L−1;高水位期硝酸盐( NO 3 )值为2.40~187 mg·L−1,均值22.53 mg·L−1,说明吐鲁番盆地地下水硝酸盐含量空间差异大,高水位期浓度显著升高,均值与最大值均激增,提示水位变化可能加剧外源氮输入或累积。低水位期氟(F)值为0.08~1.23 mg·L−1,均值0.32 mg·L−1;高水位期氟(F)值为0.1~2.6 mg·L−1,均值0.43 mg·L−1,表明氟含量整体较低,高水位期均值与范围均上升,局部地区达2.6 mg·L−1,反映水位变化可能增强氟的溶解迁移与局部累积。

1. 研究区水化学参数统计

参数

低水位(n = 25)

高水位(n = 25)

最大值

最小值

平均值

变异系数

最大值

最小值

平均值

变异系数

pH

8.42

7.04

7.55

0.05

8.32

7.50

7.93

0.03

TDS

4580.75

149.00

1165.43

0.85

6593.10

169.70

1372.21

1.02

Ca2+

437.31

26.08

146.02

0.77

689.40

26.50

149.38

0.93

Mg2+

119.72

1.70

36.95

0.82

189.50

7.30

50.39

0.95

Na+

1091.95

10.86

202.82

1.10

1397.20

14.50

245.53

1.25

K+

13.21

0.60

4.30

0.77

31.10

0.90

5.43

1.13

HCO 3

525.61

57.45

215.43

0.56

506.50

48.80

207.96

0.57

SO 4 2

1371.96

23.89

412.57

0.87

1729.10

15.40

449.10

0.98

Cl

1470.27

14.21

254.53

1.24

2304.20

14.20

320.21

1.52

NO 3

33.84

0.39

5.31

1.44

187.00

2.40

22.53

1.64

NO 2

0.01

0.00

0.00

0.55

0.01

0.01

0.01

0.24

F

1.23

0.08

0.32

0.79

2.60

0.10

0.43

1.24

注:TDS单位为mg·L1,其他化学组分得浓度单位为mg·L1;n为样品数量。

3.1.2. 离子浓度变化

阳离子:图2可知,K⁺、Na⁺、Ca2+、Mg2+高水位期均较低水位期呈增加趋势,增幅2.3%~36.37%,其中Mg2+增幅为36.37%,Ca2+增幅最低为2.3%。从浓度来看(表1),低水位期Na⁺浓度为202.82 ± 224.02 mg·L1之间,K⁺浓度为4.30 ± 3.33 mg·L1;高水位期Na⁺浓度为245.53 ± 305.90 mg·L1,K⁺浓度为5.43 ± 6.15 mg·L1。统计检验显示,4种阳离子变化p值均 > 0.05变化均不显著,且效应量为小效应(0.03~0.34)。

阴离子:图2可知,除 HCO 3 (−3.47%)外,其余 SO 4 2 、Cl NO 3 、F⁻均呈增加趋势,增幅 8.85%~323.99%。 NO 3 增幅最高(324.0%),从浓度来看(表1),低、高水位期浓度分别为5.31 ± 7.67 mg·L1、22.53 ± 36.89 mg·L1,p = 0.031 < 0.05,变化显著,效应量为0.65 (中等);其余阴离子变化不显著,效应量为小效应(−0.06~0.26)。

高水位期仅 NO 3 呈显著增加, HCO 3 略降,其余离子小幅增加,未体现典型稀释效应。 NO 3 变化揭示区域氧化环境改变或人类活动影响;Ca2+、Mg2+小幅波动反映碳酸盐矿物溶解、沉淀平衡;Na⁺、K⁺变化或与矿物离子交换相关;Cl⁻、 SO 4 2 变化可能与地质条件和蒸发浓缩有关。

3.1.3. 水化学类型

基于Piper三线图解法,对研究区低水位(8月)至高水位(5月)的地下水水质化学特征演变规律及成因进行系统分析,结果表明:从阳离子组成演变特征来看,低水位期(图3(a))阳离子三角中样品主要集中于Ca2+和Na+,占比分别为37.84%和45.81%;至高水位期(图3(b)),Ca2+占比略有下降(33.25%),Na+占比小幅上升(47.64%),这一变化可能与盐溶过程促进了含水层介质中部分Na⁺的释放。阴离子组成方面,两期均以Cl SO 4 2 为主,低水位期二者占比分别为37.20%、44.50%,高水位期Cl占比升至41.45%, SO 4 2 占比微降至42.91%;Cl⁻占比的上升推测与高水位期地下水径流条件改善有关,使得区域内累积的Cl得以重新分布,而 SO 4 2 占比的轻微波动可能受含水层中硫酸盐矿物溶解、沉淀平衡的调控。

2. 主要离子浓度季节性变化

水化学类型分类普遍采用舒卡列夫分类法。吐鲁番绿洲区地下水低水位期水化学类型主要有SO4·Cl-Na·Ca、HCO3-Ca、SO4·Cl-Ca、SO4-Ca·Mg、SO4-Na·Ca·Mg、HCO3·SO4-Na·Ca、HCO3·SO4·Cl-Na·Ca等8类,高水位期水化学类型主要有SO4·Cl-Na·Ca、HCO3-Ca、HCO3-Ca·Mg、SO4·Cl-Na·Ca·Mg、HCO3·SO4-Na·Ca等12类。低、高水位期均为优势类型为SO4·Cl-Na·Ca (9个),表明研究区可能存在广泛的硫酸盐、氯化物矿物(如石膏、岩盐)溶滤,且Na+ + K+、Ca2+为主要阳离子来源,也可能与蒸发浓缩导致的离子富集有关。

3. 地下水Piper三线图

3.1.4. 主要影响因素

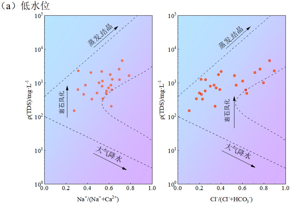
采用Gibbs图可以判断水化学形成机制,即蒸发浓缩、岩石风化、大气降水的3种控制类型。由图4(a)可知,低水位期阳离子特征Na+/(Na+ + Ca2+)平均比值为0.505,阴离子特征Cl⁻/( Cl + HCO 3 )平均比值为0.554;由图4(b)可知,高水位期阳离子特征Na+/(Na+ + Ca2+)平均比值为0.518,阴离子特征Cl⁻/( Cl + HCO 3 )平均比值为0.566。从季节性(低、高水位期)变化特征来看,阳离子和阴离子变化比例分别增加0.013和0.012。综合分析显示,研究区地下水化学组成主要受岩石风化作用调控,反映了地下水与岩石矿物间的地球化学相互作用过程。季节性水位变化则直观体现了水文动态条件对水化学演化过程的驱动效应。进一步研究表明,Na+与Ca2+的均衡比例特征,揭示了硅酸盐岩与碳酸盐岩的风化作用在地下水离子形成中具有协同贡献。总体而言,研究区的岩石组成是控制地下水化学特征的核心因素,而地下水径流路径中伴随的矿物溶解过程,是离子组分的主要物质来源。

4. 地下水Gibbs图

3.1.5. 高低水位期相关性

图5所示,无论高低水位期间,pH与多数离子(Ca2+、Mg2+等)及TDS (总溶解固体)、TH (总硬度)均呈负相关,反映出pH通过调控离子存在形态和溶解、沉淀平衡对水化学组分的影响;其中,pH与TH负相关在两期都较高(高水位−0.75、低水位−0.69),说明总硬度受酸碱度条件控制。TDS与Ca2+、Mg2+、Na+、Cl SO 4 2 等在两期都高度正相关,表明这些离子是TDS的重要贡献者,也反映出地下水溶解性固体以常规离子为主,水化学物质来源相对稳定。TH与Ca2+、Mg2+强正相关(高低水位期分别达0.95、0.98),进一步印证了总硬度主要由Ca2+和Mg2+控制,说明研究区硬度离子来源与地球化学行为一致。部分相关性在水位升高后反而增强,这可能与不同水位条件下离子溶解、沉淀行为,吸附、吸解过程不同水源水体混合效应的差异性有关,具体机制仍需进一步探讨。

低水位期间,Mg2+与Ca2+相关性(0.93)高于高水位期(0.76),反映处于高强度灌溉期的低水位阶段地下水径流缓慢、水岩作用时间延长,钙镁离子溶解和迁移同步;而高水位期间可能因为外部补给水的混入打破了原有平衡。低水位期 SO 4 2 与Mg2+ (0.95)、Na+ (0.90)等相关性也高于高水位,可能与蒸发浓缩作用增强及特定硫酸盐矿物溶解贡献增大有关;高水位期 HCO 3 与其他离子相关性普遍低于低水位期,则可能因补给水化学组成的差异影响了碳酸系统的平衡。

综上,水位变化通过改变水动力条件、补给来源及水岩持续时间,调控离子的相关性。这种差异为深入理解不同水位阶段地下水化学演变规律及其水动力、水化学耦合过程的响应提供了重要依据。

5. 相关性热图

3.2. 地下水质量评价

常见的评价方法有单指标评价法、改进内梅罗指数法和模糊综合评判法。单指标评价法简单、明了,虽然不能全面的反映水质的整体状况,但评价结果能直观反映单项指标的超标情况,清晰判断出主要污染指标及其分布区域[27]。内梅罗指数法更适合常规水质评价场景,尤其适用于以“快速识别极端超标问题、判断整体达标情况”为目标,且评价指标重要性无显著差异、评价标准明确合理的情况。模糊综合评判法充分考虑了水质分级界线的过渡性,直接根据临界判据将水质进行分级更准确,并且它考虑了不同的评价指标对地下水水质的影响权重,评价结果更精确,但是它计算比较复杂,在评价面积较大、评价对象数量较多的情况下,应用比较困难,需要借助计算机辅助编程完成[27]

依据《地下水质量标准》(GB/T14848-2017),对吐鲁番盆地地下水进行质量综合评价,评价指标10项,包括一般化学指标(Ca2+, Mg2+, Na+, K+, Cl, SO 4 2 , HCO 3 , TDS) 8项和毒理学指标( NO 3 , F) 2项,采用“单指标评价–最差类别”法、内梅罗指数法和模糊综合评判法确定综合水质类别,科学反映了吐鲁番地下水质量状况。从表2可知,低水位期,单指标最差类别法下,Ⅰ类占比4.0% (1个)、Ⅱ类12.0% (3个)、Ⅲ类24.0% (6个)、Ⅳ

2. 三种评价方法结果对比表

类别

方法

低水位(n = 25)

高水位(n = 25)

I类

II类

III类

IV类

V类

I类

II类

III类

IV类

V类

单指标最差类别法

1

3

6

5

10

0

4

4

6

11

改进内梅罗指数法

5

8

5

0

7

5

8

4

3

5

模糊综合评价法

22

2

0

1

0

19

2

0

4

0

6. 地下水质量综合评价分区图

类20.0% (5个)、Ⅴ类40.0% (10个);改进内梅罗指数法中,Ⅰ类20.0% (5个)、Ⅱ类32.0% (8个)、Ⅲ类20.0% (5个)、Ⅴ类28.0% (7个);模糊综合评价法里,Ⅰ类88.0% (22个)、Ⅱ类8.0% (2个)、Ⅳ类4.0% (1个);高水位期,单指标最差类别法呈现Ⅱ类16.0% (4个)、Ⅲ类16.0% (4个)、Ⅳ类24.0% (6个)、Ⅴ类44.0% (11个);改进内梅罗指数法为Ⅰ类20.0% (5个)、Ⅱ类32.0% (8个)、Ⅲ类16.0% (4个)、Ⅳ类12.0% (3个)、Ⅴ类20.0% (5个);模糊综合评价法是Ⅰ类76.0% (19个)、Ⅱ类8.0% (2个)、Ⅳ类16.0% (4个)。从方法角度来看,模糊综合评价法在低、高水位期均能更稳定地呈现水质类别分布,整体仍以Ⅰ类水为主,但高水位期Ⅰ类水占比有所下降,同时Ⅳ类水占比从4.0% (1个)上升至16.0% (4个),水质呈现一定程度的波动变化。从超标指标和变化特征来看,低水位期 SO 4 2 、TDS等为主要超标指标,高水位期超标更甚,且新增 NO 3 超标。水质改善、恶化、稳定占比约32.0%、30.7%、37.3%,时空变化较明显。从空间位置(图6)解析来看,主要分布在高昌区亚尔镇,鄯善县迪坎镇、七克台镇,托克逊县夏镇等周边区域,该结论与白凡等[18]研究结果相近。可见,吐鲁番盆地绿洲区地下水质量受自然水文节律与人为活动共同驱动。研究区域地下水质量整体处于优良水平(I类),吐鲁番地下水核心问题为盐化与硝酸盐污染叠加,需针对性开展防控。

3.3. 地球化学逆向模拟

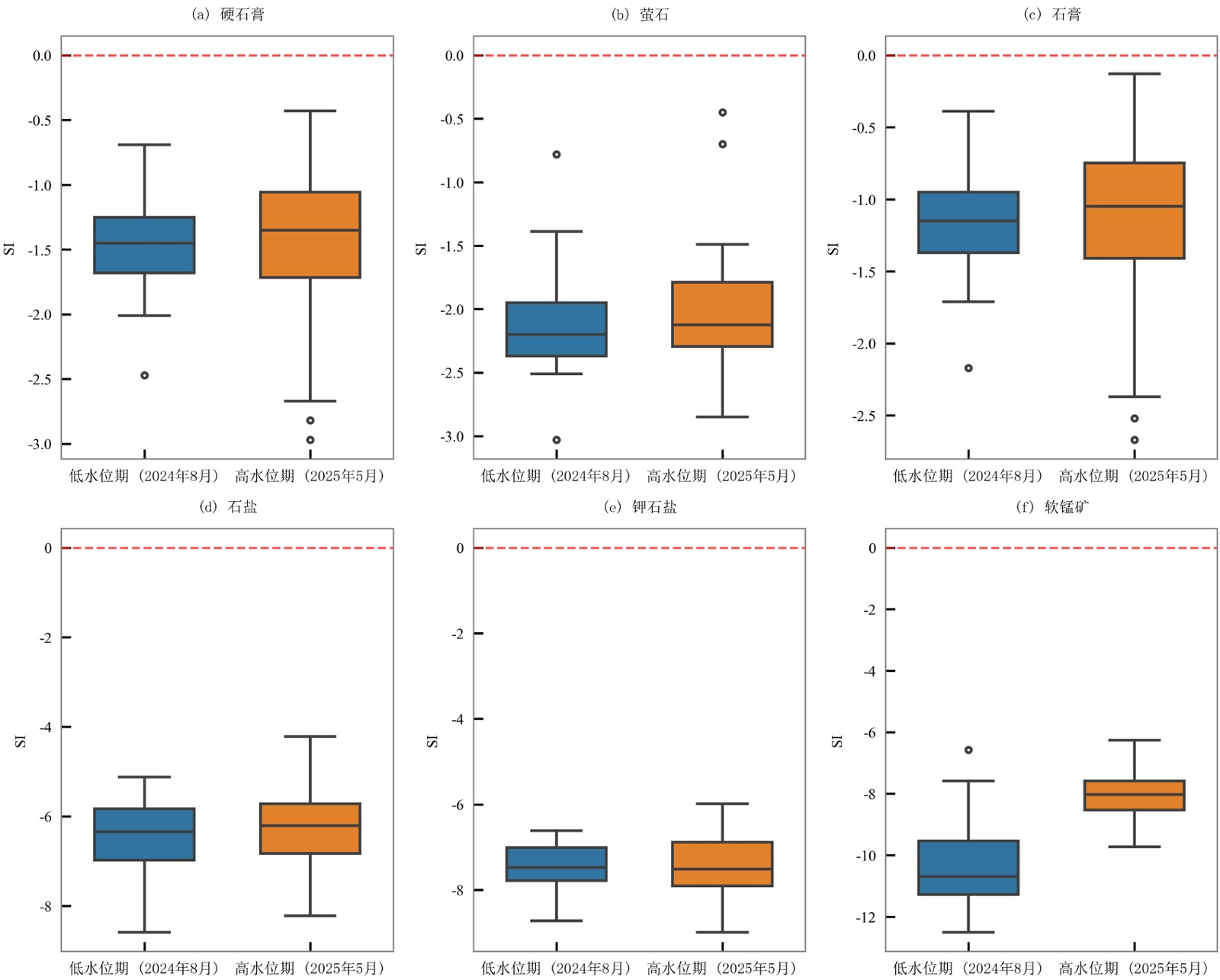
选取6种常见主要矿物采用Phreeqc软件进行饱和指数进行模拟分析,从图7可知,吐鲁番盆地绿洲区呈

7. 矿物饱和指数箱线图

现不饱和的溶解主导体系,低水位期与高水位期主要监测矿物的饱和指数(SI)均小于0,主要矿物(除钾盐)的饱和指数均呈现上升趋势。其中,硬石膏、萤石、石膏、石盐和软锰矿分别上升0.048、0.106、0.047、0.166和2.349,钾石盐下降0.095。可见,吐鲁番盆地绿洲区地下水系统整体处于矿物溶解的非平衡态,反映出地下水在循环过程中,对矿物的溶蚀作用持续进行,未达到沉淀结晶的热力学条件。

从水文地球化学演变来看,低水位至高水位期,受水位波动、地下水补给和地球化学作用发生了溶解、沉淀平衡变化,软锰矿等锰氧化物的饱和指数变化反映了氧化还原条件的季节波动,高水位期通常伴随着更还原得环境条件。

从矿物相变机制来看,硬石膏、石膏、石盐等蒸发盐矿物得饱和指数反应蒸发浓缩过程的变化,高水位的稀释效应可能导致某些矿物从不饱和向饱和转变;萤石、软锰矿等微量元素矿物的行为受控于复杂的溶解、沉淀平衡,反应了微量组分地球化学行为的变化。从环境保护意义来看,矿物饱和指数的季节性变化可作为地下水水质演变的敏感指标,可反映水文地球化学环境对气候和水文条件的响应,为水资源管理和环境保护提供科学依据。

3.4. 健康风险评估

基于梯形模糊数–蒙特卡洛随机模拟(TFN-MCSS)方法[24],对研究区25个点位的地下水样本开展健康风险评估,分别分析吐鲁番绿洲区地下水高水位(2025年5月)与低水位(2024年8月)工况下的非致癌风险特征。

8. 高水位期总风险分布图

9. 低水位期间总风险分布图

图8图9可知,两类水位下成人总体风险等级均为低风险,低水位成人总非致癌风险指数(THI)均值0.462,高水位略降至0.434;儿童总体风险等级均为中等风险,低水位儿童均值为0.894,高水位降至0.841。两类水位下成人与儿童的风险未超标,总非致癌风险整体处于安全范围内,儿童面临的健康风险普遍高于成人,这一差异主要归因于儿童体重较轻,单位体重的暴露量较高[28]

(As)两类水位下均不超标,低水位暴露风险更高,低水位成人HQ (危害商)均值为0.1148,较高水位的0.0944提升21.6%;低水位儿童HQ均值为0.2224,较高水位的0.1828提升21.7%。

氟化物(F)高水位超标率(8.00%)为低水位(4.00%)的2倍,但低水位HQ均值更低,低水位成人HQ均值0.0837,较高水位的0.1109下降24.5%;低水位儿童HQ均值0.1621,较高水位的0.2146下降24.4%。

碘化物(I)低水位风险显著高于高水位,超标率均为0.00%,低水位成人的HQ均值0.2262,是高水位的4.8倍;低水位儿童HQ均值0.4380,是高水位的4.8倍。

硝酸盐( N O 3 )高水位为核心风险污染物,超标率36.00% (低水位仅4.00%),且高水位HQ均值更高,高水位成人HQ均值0.1818,是低水位的4.9倍;高水位儿童HQ均值0.3517,是低水位的4.9倍。

建议结合水位差异特征,建立地下水水质长期监测网络,重点关注高水位期硝酸盐、低水位期碘化物与砷的动态变化;定期更新TFN-MCSS模型参数与健康风险评估结果,并加强环保、水利、卫健等多部门协同治理,进一步降低儿童中等风险暴露水平。

3.5. PCA-APCS-MLR-PMF污染源解析

3.5.1. PCA分析

为探究不同水位期水化学特征的主导影响因素,对低水位期(2024年8月)和高水位期(2025年5月)的水化学数据分别开展主成分分析(PCA)。结果显示,低水位期前4个主成分的方差贡献率依次为46.70%、14.39%、12.17%、7.10%;高水位期前4个主成分的方差贡献率则为49.8%、16.90%、10.20%、6.80% (图10)。整体来看,高水位期主成分1的方差贡献率相较低水位期有所提升,说明高水位期水化学特征受某类核心因素的综合影响更集中;而低水位期主成分3的方差贡献率高于高水位期,反映出低水位期存在更多相对独立且对水化学组成有一定影响的次要因素,不同水位期水化学数据的内在结构存在差异,这与水位变化引发的水–岩相互作用、离子迁移转化等过程的改变密切相关。

10. PCA方差贡献率

3.5.2. APCS/MLR模型

在PCA主成分分析的基础上利用绝对主成分多元线性回归模型(APCS/MLR)计算地下水各化学指标对因子的贡献,并对实测值和预测值进行拟合,选取了代表组绘制拟合曲线进行分析后,为进一步验证主成分分析结果,得到各组分实测值和预测值的比值以及拟合决定系数,各组分实测值与预测值比值为1.00左右(表3)。各组分R2均大于0.8,表明模型预测值和实测值之间存在高度相关关系,回归效果准确性高,该方法能够较好的识别影响因子对地下水水化学指标贡献程度[29]

3. APCS/MLR模型中各组分贡献率

参数

低水位(n = 25)

高水位(n = 25)

PC1

PC2

PC3

PC4

M/P

R2

PC1

PC2

PC3

PC4

M/P

R2

K+

18.83

37.40

41.40

2.36

1.00

0.93

18.78

30.96

42.43

7.83

1.00

0.96

Na+

66.96

8.77

12.05

12.22

1.00

0.92

70.46

3.84

23.22

2.49

1.00

0.97

Ca2+

59.04

30.27

3.80

6.89

1.00

0.86

38.16

23.76

26.93

11.14

1.00

0.97

Mg2+

49.91

13.92

28.54

7.63

1.00

0.94

79.78

14.23

4.63

1.37

1.00

0.91

Cl

49.17

31.97

10.25

8.60

1.00

0.95

54.25

26.96

3.07

15.72

1.00

0.95

SO 4 2

68.45

5.47

21.72

4.36

1.00

0.95

59.79

7.22

26.08

6.91

1.00

0.94

HCO 3

15.03

59.07

19.31

6.58

1.00

0.86

6.68

30.68

37.19

25.45

1.00

0.98

NO 3

60.96

6.80

23.06

9.17

1.00

0.84

32.69

21.35

12.19

33.77

1.00

0.94

F

8.13

63.61

14.12

14.15

1.00

0.95

7.69

41.76

41.66

8.90

1.00

0.89

H2SiO3

14.35

41.47

41.66

2.52

1.00

0.88

4.50

11.62

69.65

14.23

1.00

0.99

TDS

80.77

15.85

0.13

3.25

1.00

0.99

78.06

11.12

4.21

6.60

1.00

1.00

低水位期(2024年8月),模型中各组分拟合效果依次为TDS (0.99) > SO 4 2 (0.95) = F (0.95) = Cl (0.95) > Mg2+ (0.94) > K+ (0.93) > Na+ (0.92) > H2SiO3 (0.88) > HCO 3 (0.86) = Ca2+ (0.86) > NO 3 (0.84);高水位期 (2025年5月),模型中各组分拟合效果依次为TDS (1.00) > H2SiO3 (0.99) > HCO 3 (0.98) > Ca2+ (0.97) = Na+ (0.97) > K+ (0.96) > Cl (0.95) > SO 4 2 (0.94) = NO 3 (0.94) > Mg2+ (0.91) > F (0.89)。在低水位期(2024年8月)与高水位期 (2025年5月)的模型模拟中,TDS在两时期均表现出最优拟合效果(低水位期0.99、高水位期1.00),表明模型对水体总溶解固体的模拟精度始终最高;两时期模型拟合效果存在显著差异,低水位期拟合优度较低的组分为 NO 3 (0.84)、 HCO 3 与Ca2+ (均0.86),而高水位期拟合优度最低的组分为F (0.89),且高水位期H2SiO3 (0.99)、 HCO 3 (0.98)、Ca2+ (0.97)等组分的拟合优度较于低水位期实现明显提升,反映出水位变化对模型各水化学组分模拟精度存在差异化影响,高水位期模型对多数水化学组分的模拟适用性更优。

3.5.3. PMF污染源解析

本研究采用PMF (Positive Matrix Factorization,正定矩阵因子分解法) [30],在随机种子模式下,对3~5个因子进行检验,模型运行100次,在保证全局Q最小且Q (true) ≈ Q (robust)下确定了4个因子。低水位期(2024年8月),分析结果Q (true)和Q (robust)分别为917.2和853.2,比值为1.07 (>0.95);高水位期(2025年5月),分析结果Q (true)和Q (robust)分别为776.4和755.8,比值为1.03 (>0.95),表明地下水各组分的预测值与观测值之间有良好相关性,能够较好地解释实际地下水水化学组成的来源特征[31],清晰地揭示了自然地质背景与人类活动对水化学特征的复合影响。

F1在低、高水位期的贡献率分别为24.96%、25.02%,主导过程为缓慢的硅酸盐风化,可能发生在水循环较慢或水岩接触时间更长的区域,该特征主要分布范围为:托克逊县夏镇布拉克拜西村、工尚村和喀格恰克村等周边,高水位期表现更为强烈。典型表现为钾长石(K+, Si)和白云石(Ca2+, Mg2+)镁硅酸盐矿物的水解,释放的K+和Mg2+离子,揭示了区域内“缓慢硅酸盐风化”过程,将因子1归纳为地质背景(图11)。

F2在低、高水位期的贡献率分别为25.02%、24.95%,主导过程为蒸发浓缩作用与蒸发岩溶解。该特征主要分布范围为:高昌区主要分布在葡萄镇(火焰山路),鄯善县主要分布在辟展镇柯柯亚新村、吐峪沟乡苏贝希夏村(G30高速吐峪沟出口处)、达浪坎乡拜什塔木村,托克逊县主要分布在夏镇布拉克拜西村等周边。以上区域机电井埋深均大于80 m,故可能与矿床中的石膏(Ca2+, SO 4 2 )、石盐(Na+, Cl)等溶解关系密切,蒸发浓缩次之。因此,将因子2归纳为蒸发盐溶(图11)。

F3在低、高水位期的贡献率分别为24.96%、25.03%,主导过程为碳酸盐溶解与快速硅酸盐风化(复合过程)。该特征主要分布范围为:高昌区主要分布在艾丁湖镇庄子村、亚尔镇吕总村,鄯善县主要分布在柯柯亚新村、迪坎镇玉儿门村,托克逊县主要分布在郭勒布依乡奥依曼布拉克村、夏镇布拉克拜西村等周边。可能为碳酸盐(方解石/白云石)的快速溶解,硅酸盐的释放代表同时发生的硅酸盐风化。同时,氟化物贡献较高,可能指示在碳酸盐溶解的碱性环境下,促进了萤石的溶解。故将因子3归纳为盐溶风化(图11)。

11. 因子相对贡献率图

F4在低、高水位期的贡献率分别为24.98%、24.75%,主导过程为人类活动污染,具体表现为 NO 3 是农业化肥、粪便或污水输入的标志,其与Na+的共现则可能指示硝酸钠化肥或污水来源。该特征主要分布范围为:高昌区主要分布在葡萄镇(火焰山路),鄯善县主要分布在柯柯亚新村、吐峪沟乡苏贝希夏村,托克逊县主要分布在夏镇(布拉克拜西村、工尚村、喀格恰克村),郭勒布依乡奥依曼布拉克村等周边。其极高的 NO 3 负载是农业面源污染(如化肥施用)的明确指示,而与之共负载的Na+则可能进一步指向了生活污水或灌溉回归水的贡献。在农业灌溉区、居民点下游及平原区呈面状或点状污染羽分布,可能是人类活动叠加于自然背景之上的显著标志。因此,将因子4归纳为农业活动或生活污染(图11)。

吐鲁番盆地地下水化学特征是在以硅酸盐与碳酸盐风化为基础、以蒸发浓缩–蒸发岩溶解为强化动力的自然背景下,叠加了农业与生活相关人为污染的复合产物。这一认识对区域水资源管理与污染防治具有重要的指导意义。

4. 结论

1) 地下水化学时空分异特征明确,“自然和人为”双重因素协同驱动演化进程。时间维度上,高水位期因入渗补给增强,推动含水层离子交换与矿物溶蚀,使水化学类型从低水位期8种增至12种,主要矿物饱和指数(SI)呈现上升趋势;空间维度上,TDS、硝酸盐变异系数较高,反映局部区域受蒸发浓缩强度或人为污染输入的差异化影响。自然因素中,岩石风化控制Ca2+、Mg2+等常规离子来源,蒸发浓缩主导低水位期盐化过程,水位变化通过调节地下水径流速度与氧化还原环境,调控矿物溶解、沉淀平衡;人为因素中,农业面源污染导致高水位期 NO 3 超标,生活排污或硫化矿物加剧局部Cl⁻、 SO 4 2 富集,形成地下水化学时空异质性。

2) 地下水质量与健康风险呈显著阶段性,污染源解析锁定精准防控靶点。研究区地下水质量整体优良,两期Ⅰ类水占比均较高,低水位期受强烈蒸发影响, SO 4 2 、TH、TDS等盐化指标超标点位多;高水位期可能存在农业施肥等面源输入增加, NO 3 超标点位增至9个,形成“盐化 + 硝酸盐污染”叠加格局。健康风险评估显示,成人两期总非致癌风险指数(THI)均处于低风险水平,儿童则为中等风险;低水位期As、I是主要风险污染物,高水位期 NO 3 风险显著上升(儿童HQ均值为低水位期4.9倍)。PCA-APCS-MLR-PMF模型精准识别出地质背景(贡献K+、F⁻、Mg2+)、蒸发岩溶(贡献Cl、Ca2+、TDS)、盐溶风化(贡献F⁻、H2SiO3)及农业活动(贡献 NO 3 、Na+)四大污染源,为分源防控提供明确靶点。

3) 地球化学模拟揭示矿物溶解规律,为健康风险动态预警提供科学依据。地球化学逆向模拟表明,两期监测矿物SI均小于0,主要矿物的饱和指数在两个水文期表现出不同程度的季节性变化,原因为溶解–沉淀平衡、氧化还原条件(高水位)和离子交换造成饱和指数变化。结果表明,特定矿物(如软锰矿、萤石)的饱和指数对水文条件变化更为敏感。该规律可为水资源管理和环境保护提供科学依据。

5. 展望

1) 拓展多尺度长时序研究,深化演化机制认知:突破现有两水文期研究局限,建立为期10年以上的长期监测网络,整合季节性、年际尺度数据,分析气候变化(如干旱加剧、极端降水)与人类活动(如节水灌溉推广、产业结构调整)耦合作用对地下水化学演化的长期影响;同时开展含水层孔隙介质微观水岩作用试验,揭示地下水化学时空异质性的微观驱动机制,提升研究的科学性与前瞻性。

2) 融合前沿技术方法,优化风险评估与防控体系:引入高密度电法、无人机遥感等技术,精准识别含水层结构与土地利用变化,辅助MODFLOW-PHREEQC耦合数值模型,量化污染物运移路径与速率;开发基于深度学习(如LSTM神经网络)的健康风险预测模型,实时整合监测数据与气象、水文信息,实现风险动态预警;研发适配干旱区的低成本高效净化技术(如改性黏土–纳米铁复合吸附材料),针对As、F、 NO 3 超标问题形成可推广的处理方案,完善监测、模拟、预警、治理一体化防控体系。

3) 加强跨学科协作与国际转化,服务全球干旱区治理:联合水文地质学、环境化学、公共卫生学、生态学等学科,构建地下水化学、环境质量、人群健康、生态系统耦合研究框架,探索干旱区地下水可持续利用与生态保护协同路径;与中亚、中东等干旱区研究机构开展合作,对比不同区域地下水演化规律与污染特征,形成具有全国意义的理论成果。

致 谢

本研究的顺利完成,离不开多方力量的鼎力支持与无私帮助,在此谨致以最诚挚的谢意。

首先,衷心感谢新疆水利厅、河海大学、吐鲁番市水利局和吐鲁番市科学技术局在水利人才培养领域的深耕与投入,为水利科研工作者搭建的成长平台、提供的资源支持,为作者奠定了扎实的专业基础,让作者得以在地下水研究领域稳步探索,这份对人才培育的重视与付出,是本研究得以开展的重要前提。

同时,诚挚感谢新疆农业大学水利与土木工程学院周金龙老师和河海大学水文水资源学院高成老师团队的悉心指导与大力支持。团队严谨的科研态度、深厚的学术积淀,为研究的方向把控与技术突破提供了关键支撑,让作者在科研过程中不断开阔思路、提升能力。特别感谢新疆农业大学水利与土木工程学院丁启振博士,在项目前期工作中给予的细致指导,以及在地下水分析方法知识上的耐心传授,其专业的讲解为研究的顺利推进扫清了诸多技术障碍。

还要向在研究实践中给予帮助的各位致以由衷感谢:新疆农业大学水利与土木工程学院陈拓同学,在吐鲁番干旱炎热的恶劣环境下,不畏酷暑完成地下水水样采集工作,以扎实的行动保障了研究数据的真实性与完整性;吐鲁番市水利科学研究所马梅女士,在地下水实地调研与数据收集过程中付出的辛勤努力,为研究提供了宝贵的一线资料;吐鲁番市水资源研究中心王岚女士,高效完成地下水饱和指数分析数据的整理工作,为后续数据分析与结论推导节省了大量时间。

最后,向全体团队成员致以最衷心的感谢。正是大家的通力协作、互帮互助,才让研究克服重重困难,最终得以完成。这份珍贵的合作情谊与共同奋斗的经历,将成为作者未来科研道路上的重要动力。

基金项目

吐鲁番市重点研发专项(Tszdyf202408);新疆重点人才计划新疆骨干人才项目(Xrcjh03-ggrc2025)。

NOTES

作者简介:赵鹏博(1993-),男,汉族,甘肃宁县人,本科学士,工程师。研究方向:水资源、农业节水和坎儿井,Email: frederickarry@163.com

*通讯作者Email: gchohai@163.com

参考文献

[1] DIŞLI, E. The hydrogeological properties of groundwater and surface water in the damar tailings dam-Murgul copper mine site (Artvin, NE Turkey) and dye experiment. Cukurova University Journal of the Faculty of Engineering, 2018, 33: 163-178. [Google Scholar] [CrossRef
[2] MARGHADE, D. Detailed geochemical assessment & indexing of shallow groundwater resources in metropolitan city of Nagpur (western Maharashtra, India) with potential health risk assessment of nitrate enriched groundwater for sustainable development. Geochemistry, 2020, 80(4): 125627. [Google Scholar] [CrossRef
[3] NAIK, M. R., MAHANTY, B., SAHOO, S. K., et al. Assessment of groundwater geochemistry using multivariate water quality index and potential health risk in industrial belt of central Odisha, India. Environmental Pollution, 2022, 303: 119-161.[CrossRef] [PubMed]
[4] VIVIROLI, D., KUMMU, M., MEYBECK, M., et al. Increasing dependence of lowland populations on mountain water resources. Nature Sustainability, 2020, 3(11): 917-928. [Google Scholar] [CrossRef
[5] MAO, H., WANG, G., RAO, Z., et al. Deciphering spatial pattern of groundwater chemistry and nitrogen pollution in Poyang Lake basin (eastern China) using self-organizing map and multivariate statistics. Journal of Cleaner Production, 2021, 329(10): 129697. [Google Scholar] [CrossRef
[6] 范芷若, 王煜莹, 欧阳卫, 等. 石川河河谷区地下水人工补给潜力与补给方式[J]. 南水北调与水利科技(中英文), 2023, 21(3): 491-500.
[7] OJEDA, O. E. A., BELMONTE, J. I. S., SANDOVAL, T. S., et al. A simple method to evaluate groundwater vulnerability in urbanizing agricultural regions. Journal of Environmental Management, 2020, 261(C): 110164. [Google Scholar] [CrossRef] [PubMed]
[8] 卢耀如. 建设生态文明保护地下水资源促进可持续开发利用(代序) [J]. 地球学报, 2014, 35(2): 129-130.
[9] 张新钰, 辛宝东, 王晓红, 等. 我国地下水污染研究进展[J]. 地球与环境, 2011, 39(3): 415-422.
[10] 赵荣博, 汪洋, 蔡绪贻, 等. 河套灌区典型农业区浅层地下水氮磷变化特征及来源分析[J]. 水利水电技术(中英文), 2024, 55(11): 98-109.
[11] 刘秀强, 陈喜, 刘琴, 等. 西北干旱区尾闾湖过渡带陆面蒸发和潜水对土壤水影响的同位素分析[J]. 干旱区资源与环境, 2021, 35(6): 52-59.
[12] 郭琳, 郭健, 吴彬. 吐鲁番盆地生态环境现状及有效保护分析[J]. 地下水, 2013, 35(4): 51-53.
[13] 商佐, 唐蕴, 杨姗姗. 近30年吐鲁番盆地地下水动态特征及影响因素分析[J]. 中国水利水电科学研究院学报, 2020, 18(3): 192-203.
[14] 丁启振, 周金龙, 张红忠, 等. 吐鲁番盆地地下水动态变化及其与地面沉降关系研究[J]. 地球科学, 2025, 50(2): 737-751.
[15] 傅德黔, 孙宗光, 周文敏. 中国水中优先控制污染物黑名单筛选程序[J]. 中国环境监测, 1990(5): 48-50.
[16] 赵晓玉, 姜凤, 周金龙, 等. 吐鲁番盆地绿洲区地下水“三氮”空间分布与影响因素[J]. 干旱区研究, 2025, 42(8): 1473-1487.
[17] 丁启振, 周殷竹, 周金龙, 等. 吐鲁番盆地绿洲区地下水硼的水文地球化学过程及健康风险[J]. 中国环境科学, 2025, 45(4): 2183-2196.
[18] 白凡, 周金龙, 周殷竹, 等. 吐鲁番南盆地平原区地下水污染风险评价[J]. 环境科学, 2023, 44(8): 4325-4333.
[19] WEI, Y. Q., CHEN, Y. L., CAO, X. D., et al. A critical review of groundwater table fluctuation: Formation, effects on multifields, and contaminant behaviors in a soil and aquifer system. Environmental Science & Technology, 2024, 58(5): 2185-2203. [Google Scholar] [CrossRef] [PubMed]
[20] 赵鹏博. 新疆吐鲁番盆地坎儿井现状分析及保护策略研究[J]. 人民黄河, 2024, 46(S1): 39-40.
[21] 沈照理, 朱宛华, 仲佐燊. 水文地球化学基础[M]. 北京: 地质出版社, 1993.
[22] GIBBS, R. J. Mechanisms controlling world water chemistry. Science, 1970, 170(3962): 1088-1090. [Google Scholar] [CrossRef] [PubMed]
[23] PARKHURST, D. L., APPELO, C. A. J. Description of input and examples for Phreeqc version 3—A computer program for speciation, batch-reaction, one-dimensional transport, and inverse geochemical calculations (Internet). Geological Survey, 2013.
[24] LI, T., BIAN, J. M., RUAN, D. M., et al. Groundwater health risk assessment and its temporal and spatial evolution based on trapezoidal fuzzy number-Monte Carlo stochastic simulation: A case study in western Jilin province. Ecotoxicology and Environmental Safety, 2024, 282: 116736.[CrossRef] [PubMed]
[25] 程思茜. 基于PMF和PCA-APCS-MLR受体模型的地下水污染源定性识别和定量解析[D]: [硕士学位论文]. 成都: 西南交通大学, 2021.
[26] 李恒海, 王滨, 唐延龄, 等. 新疆吐鲁番地质矿产资源全书[M]. 北京: 地质出版社, 2021.
[27] 张新钰, 辛宝东, 刘文臣, 等. 三种地下水水质评价方法的对比分析[J]. 水资源与水工程学报, 2011, 22(3): 113-118.
[28] 王琨, 吴凤燕, 赵涵美, 等. 长江中下游典型区域地下水水化学来源及健康风险评价[J/OL]. 水利水电技术(中英文): 1-15.
https://link.cnki.net/urlid/10.1746.TV.20251022.1444.002, 2025-10-22.
[29] 雷米. 天山北麓中段绿洲带地下水水质时空演化规律研究[D]: [博士学位论文]. 乌鲁木齐: 新疆农业大学, 2023.
[30] PAATERO, P., TAPPER, U. Analysis of different modes of factor analysis as least squares fit problems. Chemometrics and Intelligent Laboratory Systems, 1993, 18(2): 183-194. [Google Scholar] [CrossRef
[31] LEONG, J, Y. C., CHONG, M. N., POH, P. E., et al. Longitudinal assessment of rainwater quality under tropical climatic conditions in enabling effective rainwater harvesting and reuse schemes. Journal of Cleaner Production, 2017, 143: 64-75.[CrossRef