三种订正方法在航空气象要素预报中的误差分析与应用评估
Error Analysis and Application Evaluation of Three Correction Methods in Aviation Meteorological Element Forecasting
摘要: 为满足航空气象精细化、高准确性服务的需求,针对欧洲中期天气预报中心(ECMWF)数值模式的预报产品,采用平均偏差订正法(MBC)、线性回归订正法(LRC)和分位数映射法(QM),基于2025年7月3日~8月10日的实况数据对10米风速、2米气温、2米露点温度及海平面气压4个关键要素进行逐小时订正。通过平均偏差(MB)、平均绝对误差(MAE)、均方根误差(RMSE)等指标评估,结果表明:线性回归订正法综合性能最优,在修正海平面气压(RMSE = 1.616 hPa)、10米风速(RMSE = 1.188 m/s)和2米露点温度(RMSE = 1.314˚C)上表现最佳;分位数映射法在2米气温预报中优势显著(RMSE = 2.095˚C),较线性回归法降低35.6%;平均偏差订正法计算简便但综合误差最大。基于此,提出“气温采用分位数映射、其余要素采用线性回归”的混合订正策略,为航空气象精细化预报提供技术支撑。
Abstract: To meet the demand for refined and high-accuracy aviation meteorological services, this study focuses on the forecast products of the European Centre for Medium-Range Weather Forecasts (ECMWF) numerical model. Three correction methods—Mean Bias Correction (MBC), Linear Regression Correction (LRC), and Quantile Mapping (QM)—are adopted to perform hourly corrections on four key meteorological elements, namely 10-meter wind speed, 2-meter air temperature, 2-meter dew point temperature, and sea level pressure, based on the observed data from July 3 to August 10, 2025. Evaluation using indicators such as Mean Bias (MB), Mean Absolute Error (MAE), and Root Mean Square Error (RMSE) shows the following results: The Linear Regression Correction (LRC) method exhibits the best comprehensive performance, with optimal corrections for sea level pressure (RMSE = 1.616 hPa), 10-meter wind speed (RMSE = 1.188 m/s), and 2-meter dew point temperature (RMSE = 1.314˚C). The Quantile Mapping (QM) method has a significant advantage in 2-meter air temperature forecasting (RMSE = 2.095˚C), which is a 35.6% reduction compared with the LRC method. The Mean Bias Correction (MBC) method is simple in calculation but has the largest comprehensive error. Based on these findings, a hybrid correction strategy is proposed: using QM for air temperature and LRC for other elements, which provides technical support for refined aviation meteorological forecasting.
文章引用:海滢, 张雨烟, 宋超. 三种订正方法在航空气象要素预报中的误差分析与应用评估[J]. 气候变化研究快报, 2026, 15(1): 83-88. https://doi.org/10.12677/ccrl.2026.151011

1. 引言

随着我国航空运输业快速复苏,航班量持续攀升,管制部门、航空公司及机场运营单位对气象服务的准确性和实用性提出更高要求[1]。航空气象要素预报精度直接影响飞行安全与运行效率:夏季最高气温决定飞机载重限额核算,冬季最低气温与相对湿度关乎航空器除冰决策,风向风速及修正海平面气压变化影响空中交通管制模式调整[2]

当前航空气象服务主要依赖数值预报模式,ECMWF模式作为全球主流系统,输出产品每3小时更新,存在时间分辨率不足、要素预报具有系统性偏差等问题[3],难以满足精细化需求。因此,基于实测数据对数值预报进行订正优化,是提升预报精度的关键手段。

平均偏差订正法(MBC)、线性回归订正法(LRC)和分位数映射法(QM)是经典订正算法。MBC通过计算历史平均偏差修正系统性偏差,算法简单[4];LRC建立预报值与观测值的线性关系,可同时修正系统与尺度偏差,稳定性好[5];QM基于累积分布函数匹配,能修正概率分布偏差,在气温预报中优势突出[6]。已有研究表明不同方法对要素的适配性存在差异,但针对ECMWF模式在我国区域航空气象要素的系统性订正评估仍显不足。

本研究选取4个核心航空气象要素,系统对比三种订正算法效果,明确适用场景并提出优化方案。技术路线如下:(1) 数据收集与预处理;(2) 算法实现与参数率定;(3) 多维度误差评估;(4) 综合分析与方案筛选。

2. 数据与方法

2.1. 数据

本文选取ECMWF 2025年7月3日~8月10日数值预报产品,每日08时、20时(北京时)为初始场,发布未来48小时逐3小时预报,包含10米风速(m/s)、2米气温(℃)、2米露点温度(℃)和平均海平面气压(hPa) 4个要素。

实况数据来源于机场METAR报文,选取对应同期观测数据,提取过去6小时内有效记录作为订正依据。预处理包括:(1) 剔除超出合理阈值的异常值;(2) 线性插值填补短时缺失值;(3) 将逐3小时预报插值为与逐小时实况数据匹配的时空尺度,进行时间对齐。

2.2. 订正算法原理

(1) 平均偏差订正法(MBC):通过计算历史同期相同预报时次的平均偏差修正预报值,消除系统性偏差[4]。公式:

Bias(t) = 1/N∙∑(Obsi(t) − Forecasti(t))

Corrected(t) = Forecast(t) + Bias(t)

其中,Bias(t)为第t预报时次的历史平均偏差,N为样本数,Obsi(t)、Forecasti(t)分别为第i次历史观测与预报值,Corrected(t)为订正后预报值,Forecast(t)为原始预报值。

(2) 线性回归订正法(LRC):建立观测值与预报值的线性回归模型,修正系统与尺度偏差[5]。模型:

Obs = a∙Forecast + b

Corrected = a∙Forecast + b

其中a为回归斜率,b为回归截距,采用最小二乘法拟合;Obs为观测值,其余参数定义同前。

(3) 分位数映射法(QM):基于累积分布函数(CDF)匹配,将预报值的分位数映射到观测值的对应分位数,修正预报值的概率分布偏差[6]。公式:

Corrected = Fobs − 1(Fforecast(Forecast))

其中Fforecast(∙)为预报值的CDF,Fobs − 1(∙)为观测值CDF的逆函数。

2.3. 误差评估指标

采用国际通用指标体系[7]:平均偏差(MB,衡量系统性偏差)、平均绝对误差(MAE,反映平均误差)、均方根误差(RMSE,综合误差分布)、相关系数(R,衡量线性相关性)、技能评分(SS,评估相对于气候平均值的改进程度)。

3. 结果与分析

3.1. 单要素误差分析

3.1.1. 海平面气压

表1可知,线性回归订正法在平均海平面气压预报中表现最优,RMSE为1.616 hPa,较分位数映射法降低31.6%;三种订正方法的相关系数均高于0.95,表明原始预报与实况的趋势一致性良好,订正主要作用是减小系统性偏差;所有方法均呈现负偏差,说明预报值系统性偏低。

Table 1. Forecast error metrics for mean sea level pressure using different correction methods

1. 不同订正方法对平均海平面气压的预报误差指标

订正方法

MB

MAE

RMSE

R

SS

线性回归订正

−1.436

1.449

1.616

0.963

0.649

平均偏差订正

−1.976

1.979

2.149

0.963

0.380

分位数映射

−2.200

2.200

2.362

0.954

0.251

3.1.2. 10米风速

10米风速是影响飞机起降滑跑距离和空中飞行稳定性的重要要素,其预报误差分析结果如表2所示,线性回归订正法在风速预报中优势显著,是唯一技能评分为正的方法(SS = 0.007),平均偏差仅为0.048 m/s,系统性偏差最小;三种方法的相关系数均较低(约0.25),这可能是由于风速受地形湍流、局地环流等复杂因素影响,数值预报的不确定性较大;平均偏差订正法存在显著负偏差,表明该方法对风速的系统性低估问题修正效果有限。

Table 2. Forecast error metrics for 10-meter wind speed using different correction methods

2. 不同订正方法对10米风速的预报误差指标

订正方法

MB

MAE

RMSE

R

SS

线性回归订正

0.048

0.946

1.188

0.251

0.007

分位数映射

−0.704

1.042

1.470

0.227

−0.521

平均偏差订正

−1.216

1.357

1.744

0.251

−1.139

3.1.3. 2米气温

2米气温直接影响航空器性能参数计算和机场除冰决策,其订正效果如表3所示,分位数映射法在2米气温预报中表现最优,RMSE为2.095℃,较线性回归订正法降低35.6%;三种方法的相关系数均高于0.91,说明气温预报的趋势一致性良好;线性回归订正法虽平均偏差最小(−0.495℃),但RMSE最大,表明该方法对极端气温的预报误差控制能力不足,这与线性模型难以捕捉气温非线性变化特征的局限性相符[6]

Table 3. Forecast error metrics for 2-meter temperature using different correction methods

3. 不同订正方法对2米气温的预报误差指标

订正方法

MB

MAE

RMSE

R

SS

分位数映射

−1.391

1.736

2.095

0.913

0.696

平均偏差订正

−1.685

1.948

2.272

0.919

0.643

线性回归订正

−0.495

2.662

3.237

0.919

0.276

3.1.4. 2米露点温度

2米露点温度是反映空气湿度的关键指标,与飞机结冰风险密切相关,其订正效果如表4所示,线性回归订正法综合最佳,RMSE = 1.314℃,较分位数映射法降低22.7%。露点温度相关系数 ≈ 0.70,预报不确定性处于中等水平;分位数映射法正偏差最大(0.844℃),对湿度要素分布特征适配性不足。

Table 4. Forecast error metrics for 2-meter dew point temperature using different correction methods

4. 不同订正方法对2米露点温度的预报误差指标

订正方法

MB

MAE

RMSE

R

SS

线性回归订正

0.350

1.045

1.314

0.704

0.457

平均偏差订正

0.670

1.211

1.498

0.704

0.293

分位数映射

0.844

1.344

1.700

0.686

0.090

3.2. 综合性能评估

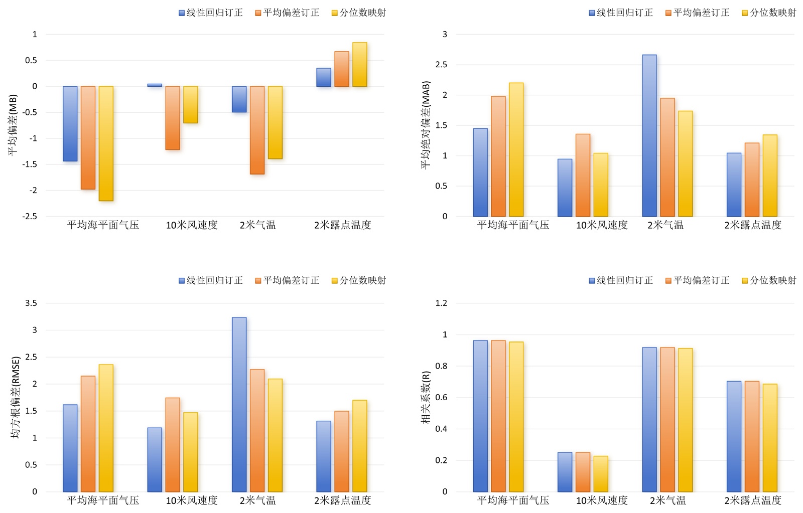
对比三种订正方法的误差指标。如图1所示,线性回归订正在RMSE和MAE指标上整体领先,技能评分分布最均衡,分位数映射法仅在气温要素的误差指标上具有优势。对4个要素误差指标平均处理后,线性回归订正法以平均RMSE = 1.839、平均SS = 0.347位列第一;分位数映射法综合排名第二,仅在气温上表现突出;平均偏差订正法综合最差,但计算简便(表5)。

Figure 1. Comparison chart of error metrics for the three correction methods

1. 三种订正方法的误差指标对比图

Table 5. Comprehensive performance evaluation of the three correction methods

5. 三种订正方法的综合性能评估

订正方法

平均RMSE

平均MAE

平均R

平均SS

综合排名

线性回归订正

1.839

1.525

0.709

0.347

1

分位数映射

1.907

1.581

0.695

0.129

2

平均偏差订正

1.916

1.624

0.709

0.044

3

4. 结论与讨论

4.1. 主要结论

1. 线性回归订正法综合性能最优,在平均海平面气压(RMSE = 1.616 hPa)、10米风速(RMSE = 1.188 m/s)和2米露点温度(RMSE = 1.314℃) 3个要素上表现最佳,具有系统性偏差小、综合误差低的优势。

2. 分位数映射法在2米气温预报中表现突出(RMSE = 2.095℃),较其他方法优势显著,适用于温度类要素订正。

3. 平均偏差订正法计算简便但综合误差最大,仅适用于数据量有限或计算资源受限的简单预报场景。

4. 气象要素特性对订正效果影响显著:气压和气温预报相关系数>0.91,订正效果好;风速相关系数 ≈ 0.25,即使订正仍存在较大不确定性。

4.2. 方法适用特性与混合策略

线性回归订正法能有效修正系统与尺度偏差,适用于线性相关性较好的要素,但对极端值捕捉不足;分位数映射法基于分布匹配,适配气温等概率分布特征明显的要素;平均偏差订正法仅修正系统偏差,普适性差但计算成本低。

基于此,提出混合订正策略:2米气温采用分位数映射法,充分发挥其温度预报优势;平均海平面气压、10米风速和2米露点温度采用线性回归订正法,利用其综合稳定性。该策略兼顾预报精度与业务实用性。

4.3. 改进方向与展望

风速预报相关系数低,未来需结合机器学习融合多源数据提升精度;线性回归法对极端气温处理不足,可引入分段线性回归或非线性因子改进;分位数映射法在气压和露点温度上偏差较大,需优化分布函数拟合方法。

业务应用中,建议实现订正方法自适应选择,根据要素类型和时次匹配最优方案;建立实时监测机制,动态评估适用性;定期更新模型参数,适应气候变化。

参考文献

[1] 中国民用航空局. 2023年民航行业发展统计公报[R]. 北京: 中国民用航空局, 2024.
[2] 王式功, 杨德保, 尚可政. 航空气象学[M]. 北京: 科学出版社, 2019: 124-136.
[3] ECMWF (2024) ECMWF Operational Forecast System Cycle 47r1. ECMWF.
[4] Glahn, H.R. and Lowry, D.A. (1972) The Use of Model Output Statistics (MOS) in Objective Weather Forecasting. Journal of Applied Meteorology, 11, 1203-1211. [Google Scholar] [CrossRef
[5] 王丹, 戴昌明, 娄盼星, 等. 陕西ECMWF、GRAPESMeso和SCMOC气温预报的对比检验及订正[J]. 干旱气象, 2021, 39(4): 697-708.
[6] Wood, A.W., Leung, L.R., Sridhar, V., et al. (2004) Bias Correction of GCM Precipitation by Quantile Mapping: How Well Do Methods Preserve Changes in Quantiles and Extremes? Journal of Climate, 17, 2386-2404.
[7] 气象行业标准. 数值天气预报产品检验方法(GB/T 33683-2017) [S]. 北京: 中国标准出版社, 2017.