归脾汤加减治疗抑郁伴失眠的疗效及异质性研究——随机对照试验的Meta分析
Efficacy of Modified Guipi Decoction for Depression with Insomnia and Heterogeneity Evaluation—A Meta-Analysis of Randomized Controlled Trials
DOI: 10.12677/tcm.2026.151042, PDF, HTML, XML,    科研立项经费支持
作者: 翁振力, 何 圣:重庆邮电大学管理工程系,重庆;余海燕*:重庆邮电大学管理工程系,重庆;北京大学重庆大数据研究院智慧中西医研究中心,重庆;桂 凌:重庆医科大学临床医学院,重庆;唐金香*:重庆医科大学附属璧山医院睡眠心理中心,重庆
关键词: 失眠抑郁归脾汤Meta分析传统中医药匹兹堡睡眠质量指数(PSQI)汉密尔顿抑郁量表(HAMD)Insomnia Depression Guipi Decoction Meta-Analysis Traditional Chinese Medicine Pittsburgh Sleep Quality Index Hamilton Depression Rating Scale
摘要: 目的:抑郁伴失眠作为临床常见心理障碍,对患者睡眠功能、情绪状态及日常生活质量均造成显著负面影响,已成为亟待关注的健康问题之一。而中药归脾汤加减治疗抑郁和失眠显示出一定疗效,但现有研究结果呈现不一致性。本研究旨在通过Meta分析方法,对归脾汤加减治疗抑郁伴失眠的临床疗效展开系统性评价。方法:系统检索PubMed,中国知网,万方数据库,维普数据库中截止2025年5月1日的相关随机对照试验(RCTs)。主要结局评价指标确定为匹兹堡睡眠质量指数(PSQI)与汉密尔顿抑郁量表(HAMD),数据的合成分析通过RevMan5.4软件实施。结果:最终纳入14项随机对照试验(RCTs),总涉及患者1115位,其中实验组557位患者接受归脾汤加减治疗干预。有558位患者作为对照组。Meta分析显示,归脾汤加减治疗的实验组在降低PSQI评分(SMD = −1.46, 95% CI: (−1.61, −1.31), P < 0.001)和HAMD评分(SMD = −1.32, 95% CI: (−1.49, −1.15), P < 0.001)显著均优于对照组。然而,在纳入的研究中存在高异质性(PSQI: I² = 93%, HAMD: I² = 97%),表明实验结果存在显著差异。因此本研究进行了敏感性分析和亚组分析,实验结果表明干预的种类(单纯采用归脾汤进行治疗和联合治疗)的确导致了高异质性但并非唯一原因。结论:采用归脾汤加减方案治疗,能够有效改善抑郁伴失眠患者的睡眠质量,同时对其抑郁症状具有显著缓解作用。本研究为抑郁症和失眠的联合治疗提供了来自中医临床视角的证据支持。鉴于存在高异质性和潜在发表偏倚,未来仍需开展更多高质量、大样本量的随机对照实验(RCTs)加以验证。
Abstract: Objective: Depression with insomnia is a common mental disorder that severely affects patients’ sleep function, emotional state, and quality of daily life. It has become one of the health issues that require urgent attention. Modified Guipi Decoction, a traditional Chinese herbal formula, has been found to have certain therapeutic effects on depression with insomnia, but the results have been inconsistent. This study aims to systematically evaluate the clinical efficacy of Modified Guipi Decoction in treating depression with insomnia through a meta-analysis. Methods: A systematic search was conducted across PubMed, the China National Knowledge Infrastructure (CNKI), Wanfang Database and VIP Database for relevant randomized controlled trials (RCTs) up to May 1, 2025. The primary assessment indicators were the Pittsburgh Sleep Quality Index (PSQI) and the Hamilton Depression Scale (HAMD). Data synthesis and analysis were performed using RevMan 5.4. Results: The meta-analysis included a total of 1115 participants from 14 randomized controlled trials, with 557 patients receiving Modified Guipi Decoction (experimental group) and 558 patients serving as controls. Meta-analysis results showed that the Modified Guipi Decoction treatment group significantly outperformed the control group in both PSQI scores (SMD = −1.46, 95% CI: −1.61 to −1.31, P < 0.001) and HAMD scores (SMD = −1.32, 95% CI: −1.49 to −1.15, P < 0.001). However, high heterogeneity was observed between the included studies (PSQI: I² = 93%, HAMD: I² = 97%), indicating significant variability in the results. Sensitivity analysis and subgroup analysis suggested that the type of intervention (pure vs. combined) contributes to heterogeneity but is not the sole cause. Conclusion: Modified Guipi Decoction has certain therapeutic effects in improving the sleep quality of patients with depression and insomnia, and significantly alleviates their depressive symptoms. This study provides evidence support from the perspective of traditional Chinese medicine for the combined treatment of depression and insomnia. However, high heterogeneity and possible publication bias suggest that more high-quality, large-sample RCTs are needed to verify these findings.
文章引用:翁振力, 余海燕, 何圣, 桂凌, 唐金香. 归脾汤加减治疗抑郁伴失眠的疗效及异质性研究——随机对照试验的Meta分析[J]. 中医学, 2026, 15(1): 297-310. https://doi.org/10.12677/tcm.2026.151042

1. 引言

抑郁伴失眠[1]是一种高发的共病状态,中医理论将其主要归因于“心脾两虚”,症状间的双向恶化及传统治疗的局限性,给患者健康带来巨大负担[2]。从人群规模变化来看,中国抑郁伴失眠患者近5年增长较快[3],并呈现出普遍化、高发化的特征。这些疾病之间的显著重叠为靶向治疗和解决方案创造了一个庞大且持续增长的经济市场[4]。归脾汤作为中医经典方剂,临床试验提示其能改善抑郁和失眠的相关症状[5]。然而,现有的研究方法差异较大且对共病机制的关注不足,亟需严格的Meta分析整合证据、建立标准化方案[1],推动中医在复杂身心疾病管理中的循证整合。

抑郁伴随失眠在不同人群中高度流行。Benz等人的系统性回顾表明,针对失眠的认知行为疗法(CBT-I)能显著改善与抑郁相关的症状在内的日间症状[6]。Furukawa进一步证实了认知行为疗法(CBT-I)对抑郁伴随失眠的疗效,强调了睡眠障碍和抑郁症之间的紧密联系[7]。研究还关注了特定人群,如癫痫患者、慢性病患者、有高度睡眠障碍和相关抑郁症状的人群等[8]-[10]。对于抑郁性失眠患者而言,风险因素多与行为方式和生活习惯有关,包括了久坐不动、不良睡眠卫生、过量咖啡因或酒精摄入[11] [12]。而心理因素如慢性应激、焦虑、完美主义等亦会加剧相关症状[13] [14]。此外,像慢性病(如癫痫、多发性硬化症)和某些药物(如抗抑郁药物、受体阻滞剂)等医学因素也是潜在诱因[8] [15] [16]。对于抑郁伴失眠的治疗,认知行为疗法(CBT-I)目前获得广泛推荐,被视作一线干预手段;相比之下,药物治疗(如抗抑郁药、催眠药)虽有疗效,但其潜在风险不容忽视,包括可能引发的耐受性问题及药物依赖性等,这在临床选择时需重点权衡。辅助疗法如强光治疗和锻炼,也被证实有效[11] [17]。结合了认知行为疗法(CBT-I)、药物治疗和改变生活方式的多模式疗法通常被视为应对睡眠障碍与抑郁症复杂相互作用的最有效策略[15] [18]。中医方剂归脾汤在临床试验中展现出改善抑郁性失眠的潜力,但其疗效尚缺乏系统性评价。

中医认为抑郁主要由情志不畅、脏腑失调所致,“肝气郁结”和“心脾两虚”是其核心病机,表现为情绪低落、兴趣减退[19]。失眠则是心肾补虚、心肾不和或者脾统血功能受损,以入睡困难、眠浅易醒为特点[20]。研究表明失眠不仅是抑郁的常见症状,更是其发展的独立风险因素[21]。流行病学的研究调查显示,约30%的慢性失眠患者会发展为抑郁症,超过80%的抑郁症患者经历过失眠[22]。二者间的相互作用可加剧免疫功能障碍、代谢紊乱及心血管风险,严重损害了生活质量。

在抑郁症临床治疗中,选择性5-羟色胺再摄取抑制剂(SSRI)虽为常用药物,但其应用存在明显局限,如易引发5-HT受体脱敏[23],还可能导致性功能障碍与戒断综合征等问题[24]。归脾汤作为源自宋代《济生方》的经典方剂,在传统中医理论中具有健脾益气、养血安神的核心功效。随着现代医学研究的深入,其临床应用场景得到进一步拓展,对抑郁伴失眠的潜在治疗价值也逐步被证实。从生物学作用机制来看,归脾汤可通过多途径改善症状:借助负反馈调节机制作用于下丘脑–垂体–肾上腺轴(HPA),促使促肾上腺皮质激素释放激素(CRH)、促肾上腺皮质激素(ACTH)及皮质醇水平降低;增强5-羟色胺(5-HT)的神经传递功能;抑制神经炎症反应,具体表现为肿瘤坏死因子-α (TNF-α)与C反应蛋白(CRP)水平下降;减轻氧化应激损伤,即提升超氧化物歧化酶(SOD)活性、降低丙二醛(MDA)水平;同时可激活海马蛋白磷酸酶1/cAMP反应元件结合蛋白(PP1/CREB)通路,进而增强神经可塑性[25] [26]

临床实验虽已报告其治疗效果及安全性[27],但研究间的异质性问题不容忽视。比如在评估睡眠质量的匹兹堡睡眠质量指数(PSQI)评分上,不同研究里归脾汤实验组和对照组之间的差异幅度并不一致。此外,方法论缺陷如非盲设计、随机化不充分[28]以及对共病聚焦分析不足等限制了结果的推广。

本文分析旨在整合现有临床数据,量化归脾汤加减的疗效,评估其安全性,并探究异质性来源,为临床决策提供循证依据,为抑郁症和失眠症患者提供更有效、更安全的治疗方案。研究成果有望推动中医临床指南和对失眠和抑郁症共病管理的联合行动。

2. 资料来源与方法

为系统评估归脾汤加减治疗抑郁障碍伴失眠的临床疗效,本研究采用Meta分析方法。本节内容涵盖文献检索策略、研究资料与统计分析三部分。

2.1. 资料来源

系统检索数据库中截止2025年5月1日的相关随机对照试验(RCTs)数据,包括中国知网、PubMed、万方数据库、维普和Panda985等数据库。检索词为“归脾汤”、“抑郁”、“失眠”、“不寐”。

纳入标准包括以下三个方面。(a) 是随机对照试验(RCTs),研究对象为失眠和/或抑郁患者;(b) 干预措施以归脾汤加减为主;(c) 有明确的匹兹堡睡眠质量指数(PSQI)和汉密尔顿抑郁量表(HAMD)。排除标准包括:非RCTs研究;数据不完整或缺失;重复发表文献。

提取的信息具体包括以下内容。纳入文献第一作者的姓氏、发表年份、研究设计类型、样本规模、干预方案(含药物组成、使用剂量及治疗疗程)、对照设置细节,以及匹兹堡睡眠质量指数(PSQI)与汉密尔顿抑郁量表(HAMD)的评分数据。数据库初筛共获得96篇潜在相关文献,首先去除31篇重复文献,得到65篇文献。进一步排除不相关研究后,28篇文章进入全文筛查环节。最终筛选出14项符合纳入标准的随机对照试验(RCTs) (详情见图1),其完整数据集被用于本次分析。

本文分析涉及14项RCTs,共1115例患者(实验组557例,对照组558例)。其中,10项RCTs(n = 925)报告了PSQI数据(实验组462例,对照组463例),8项RCTs (n = 745)报告了HAMD数据(实验组367例,对照组378例),这一数据集允许综合评估归脾汤加减治疗对睡眠障碍和抑郁症状的治疗效果。

2.2. 研究方法

借助RevMan 5.4软件开展Meta分析,连续变量结局指标(PSQI、HAMD 评分)的效应量表述采用标准化均数差(SMD)、均数差(MD)及95%置信区间(CI)。为评价归脾汤加减对抑郁和失眠的治疗效果,研究生成相应森林图,统计学检验结果显示p < 0.001,具有显著意义。异质性分析采用I2统计量,因研究间异质性较大,遂采用随机效应模型;发表偏差的评估通过直观检查漏斗图实现。

漏斗图分析结果显示,匹兹堡睡眠质量指数(PSQI)与汉密尔顿抑郁量表(HAMD)评分的分布呈现一定程度不对称,这一现象提示研究可能存在发表偏倚。实验组采用归脾汤加减治疗作为单一治疗或联合标准治疗(如艾司唑仑/帕罗西汀),而对照组采用常规治疗(如盐酸曲唑酮、氟西汀、帕罗西汀或唑吡坦)。

3. Meta分析结果

用于该Meta分析评价结果的数据包含两类,一类是匹兹堡睡眠质量指数(PSQI)评分,另一类是汉密尔顿抑郁量表(HAMD)评分。

3.1. 匹兹堡睡眠质量指数(PSQI)评分

归脾汤加减治疗实验组的PSQI评分降低程度显著大于对照组(SMD = −1.46,95% CI: (−1.61, −1.31),p < 0.001;详情见图1),表明采用归脾汤加减治疗相比于西药常规治疗有更好的疗效,组间治疗前后评分差异的比较进一步证实了这些发现。

实验组治疗前后评分与对照组相比改善明显,进一步证明了归脾汤加减治疗失眠的疗效优于标准治疗方法。虽然合并方差较小表明了实验具有稳定性,但在研究之间观察到显著的异质性(I2 = 93%)。但p < 0.001表明结果仍具有统计学意义,这为归脾汤加减治疗能降低匹兹堡睡眠质量指数(PSQI)评分,能改善不寐、失眠提供了证明。(详情见表1)

Figure 1. Forest plot for PSQI, (a) SMD; (b) MD

1. PSQI的森林图,(a) SMD;(b) MD

Table 1. Statistical data of the Pittsburgh sleep quality index (PSQI)

1. 匹兹堡睡眠质量指数(PSQI)统计数据

作者

个案数

匹兹堡睡眠量表(PSQI)

治疗前

治疗后

治疗前后差值

实验组

对照组

实验组

对照组

实验组

对照组

实验组

对照组

吕佳欣(2024) [29]

30

30

17.3 ± 1.71

17.1 ± 1.50

9.2 ± 2.4

10.5 ± 2.58

8.10

6.60

陈永谊(2024) [30]

24

24

15.74 ± 3.77

15.69 ± 3.95

6.39 ± 1.64

8.9 ± 2.61

9.35

6.79

葛文倩(2023) [31]

25

25

16.02 ± 3.03

15.97 ± 2.92

7.83 ± 1.62

9.96 ± 1.690

8.19

6.01

朱志敏(2022) [32]

30

30

19.78 ± 1.24

19.88 ± 1.31

7.36 ± 1.52

11.64 ± 1.45

12.42

8.24

吴旭芳(2022) [33]

52

53

14.10 ± 2.80

14.10 ± 3.80

4.70 ± 0.60

7.50 ± 1.00

9.40

6.69

张晓美(2021) [34]

66

66

15.68 ± 3.86

15.5 ± 3.94

6.45 ± 1.75

8.83 ± 2.26

9.23

6.69

黄翠香(2021) [35]

100

100

15.48 ± 6.03

15.52 ± 5.96

4.39 ± 1.48

9.85 ± 2.71

11.09

5.67

蔡晓(2019) [36]

58

58

15.63 ± 3.84

15.44 ± 3.77

6.55 ± 2.17

8.77 ± 2.32

9.08

6.67

张建博、郑杰(2015) [37]

30

30

13.50 ± 3.20

13.70 ± 2.50

9.10 ± 1.70

9.70 ± 2.40

4.40

4.00

3.2. 汉密尔顿抑郁量表(HAMD)评分

实验组采用归脾汤加减治疗,该汤剂既可以与艾司唑仑和帕罗西汀等其他疗法联合使用,也可以单独使用。相应地,对照组采用常规的西药治疗,如盐酸曲唑酮、氟西汀和帕罗西汀。森林图分析结果显示,实验组的汉密尔顿抑郁量表(HAMD)评分降低程度显著大于对照组(SMD = −1.32,95% CI: (−1.49, −1.15),P < 0.001;详情见图2),这表明归脾汤加减治疗在缓解抑郁症状方面的疗效优于单独采取常规的西药治疗。

另外,治疗前后评分差值为正数,且实验组差值水平高于对照组,这进一步证实归脾汤加减治疗在改善抑郁症状上的有效性,且其疗效优于对照组。尽管合并方差较小提示实验结果具有稳定性,但研究仍存在高异质性(I2 = 97%),反映出各研究之间存在明显差异。但p < 0.001的统计结果显示,归脾汤加减治疗能够降低汉密尔顿抑郁量表(HAMD)评分、缓解抑郁症状的结论,仍具备统计学意义(详情见表2)。

敏感性分析是通过检查研究的纳入或研究方法的变化如何影响整体发现来评估结果的稳定性,它有助于识别有影响的文献研究和高异质性的来源,确保实验结论的稳定性。而亚组分析能够探究如患者特征、研究设计等不同的因素对治疗效果的影响,提供对干预措施最有效的见解。这两种分析都能提高实验发现的信心、为不同人群量身定制建议、指导未来的研究方向,最终实现提高分析结果的可靠性、有效性和适用性。

Figure 2. Forest plot for HAMD, (a) SMD; (b) MD

2. HAMD的森林图,(a) SMD;(b) MD

Table 2. Statistical data of the Hamilton depression rating scale (HAMD)

2. 汉密尔顿抑郁量表(HAMD)统计数据

作者

个案数

汉密尔顿抑郁量表(HAMD)

治疗前

治疗后

治疗前后差值

实验组

对照组

实验组

对照组

实验组

对照组

实验组

对照组

吕佳欣(2024) [29]

30

30

14.23 ± 2.55

14.13 ± 2.62

7.33 ± 2.64

8.83 ± 2.28

6.90

5.30

葛文倩(2023) [31]

25

25

17.25 ± 2.79

17.02 ± 2.74

8.84 ± 1.38

8.65 ± 2.31

8.41

8.37

朱志敏(2022) [32]

30

30

20.34 ± 4.23

21.12 ± 4.12

8.65 ± 2.31

12.45 ± 2.42

11.69

8.67

吴旭芳(2022) [33]

52

53

18.90 ± 3.20

18.80 ± 2.60

7.30 ± 2.00

9.00 ± 1.20

11.60

9.80

徐鑫玉(2021) [38]

45

45

20.13 ± 3.18

20.87 ± 3.05

6.65 ± 1.15

10.81 ± 1.92

13.48

10.06

黄翠香(2021) [35]

100

100

28.05 ± 7.92

27.88 ± 8.23

13.83 ± 4.71

17.74 ± 5.86

14.22

10.14

何勇

(2019) [39]

50

50

23.55 ± 0.12

23.46 ± 2.31

10.21 ± 0.21

12.21 ± 0.12

13.34

11.25

3.3. 敏感性分析

为评估结果稳定性,研究针对匹兹堡睡眠质量指数(PSQI)与汉密尔顿抑郁量表(HAMD)评分开展敏感性分析,具体操作方式为:逐一排除纳入的每项研究后,重新计算标准化均数差(SMD)及异质性指标(I2),以此检验单个研究对整体分析结果的影响。

(1) 匹兹堡睡眠质量指数(PSQI)评分

敏感性分析前的结果为:SMD = −1.46,95% CI = (−1.61, −1.31),I2 = 91%。排除了吴旭芳2022 [33]或者黄翠香2021 [35],异质性没有发生变化,但标准化均数差显著降低(SMD = −1.26),且p < 0.001表明实验仍具有统计学意义以及实验具有稳定性。(详情见图3)

Figure 3. Forest plot for sensitivity analysis of PSQI

3. PSQI敏感性分析的森林图

(2) 汉密尔顿抑郁量表(HAMD)评分

敏感性分析前的结果为:SMD = −1.32,95% CI = (−1.49, −1.15),I2 = 91%。排除了何勇201939,原来的异质性(I2)从91%提高到了93%,但是标准化均数差显著降低(SMD = −1.21),且p < 0.001表明实验仍具有统计学意义,说明实验仍然具有稳定性。(详情见图4)

Figure 4. Forest plot for sensitivity analysis of HAMD

4. HAMD敏感性分析的森林图

3.4. 亚组分析

鉴于研究中存在高异质性,为明确其来源,本研究对匹兹堡睡眠质量指数(PSQI)及汉密尔顿抑郁量表(HAMD)的评分数据进行亚组分析,通过拆分不同维度的研究特征来排查异质性产生的具体因素。在收集数据时,发现现有的文献的实验样本数量和治疗方法上差距较大,猜测高异质性来源于这两个方面。所以本研究从样本量以30为分界线、单纯采用归脾汤加减治疗与联合疗法来划分进行亚组分析讨论,从而探究高异质性来源。

Figure 5. Subgroup analysis of PSQI, (a) Group with sample size < 30; (b) Group with sample size ≥ 30)

5. PSQI的亚组分析,(a) 样本量大于30的组;(b) 样本量小于等于30的组

(1) 样本量对于匹兹堡睡眠质量指数(PSQI)的亚组分析

按照样本量大小划分研究参与者数量大于30的大样本量组(SMD = −1.70, 95% CI (−1.89, −1.51))相比于研究参与者数量小于等于30的小样本量组(SMD = −0.99, 95% CI (−1.25, −0.74))展现了更好的疗效。由于p < 0.01,两组均显示出统计学上显著的治疗效果。然而,大样本量组的异质性(I2 = 94%)和小样本量组的异质性(I2 = 89%)都相对较高,表明样本量会影响效应大小,但并不能完全解释观察到的异质性。这些发现表明,归脾汤加减治疗在这两种研究规模上均有效,但在更大规模的研究中,干预措施的测量效果更为明显。亚组间高异质性值的一致性意味着其他方法或临床因素(例如,治疗持续时间、剂量变化或患者特征)可能导致结果变异性。图5直观地展示了这些亚组分析。

(2) 干预措施对于匹兹堡睡眠质量指数(PSQI)的亚组分析

按照干预措施分为单纯归脾汤治疗组(SMD = −0.83, 95% CI (−1.22, −0.43), I2 = 71%)和归脾汤联合其他方法治疗组(SMD = −1.57, 95% CI (−1.73, −1.41),I2 = 94%)。两种方法均有显著的治疗效果,但是联合疗法效果虽强但具有更高的异质性。这表明了干预措施(单纯使用归脾汤治疗和联合其他方法治疗)是异质性来源但并非唯一来源。联合治疗出现的较高的异质性表明其有效性可能受到其他因素的影响,例如特定的联合方法或患者特征。这些发现强调了在解释结果时需要考虑干预类型和其他潜在影响。(详情见图6)

Figure 6. Subgroup analysis of PSQI, (a) Pure Guipi Decoction; (b) Combination therapy

6. PSQI的亚组分析,(a) 纯归脾汤;(b) 联合疗法

(3) 样本量对于汉密尔顿抑郁量表(HAMD)的亚组分析

按照样本量大小划分研究参与者数量大于30的大样本量组(SMD = −1.44, 95% CI (−1.65, −1.24), I2 = 98%)和研究参与者数量小于等于30的小样本量组(SMD = −1.01, 95% CI (−1.34, −0.69), I2 = 80%)治疗效果不同,但都展现出了疗效,且在大样本量组中能观察到更好的疗效。然而,这两组异质性都较高(大样本量I2 = 98%,小样本量I2 = 80%),表明样本量对干预效果有影响,但是不是主要来源(详情见图7)。对于其他的因素,如研究设计、患者群体或干预措施的差异,也有可能出现较高的异质性。因此,在解释结果时,重要的是不仅要考虑样本量,还要特别考虑这些潜在的混淆因素。

Figure 7. Subgroup analysis of HAMD, (a) Group with sample size < 30; (b) Group with sample size ≥ 30

7. HAMD的亚组分析,(a) 样本量大于30的组;(b) 样本量小于等于30的组

Figure 8. Subgroup analysis of HAMD, (a) Pure Guipi Decoction; (b) Combination therapy

8. HAMD的亚组分析,(a) 纯归脾汤;(b) 联合疗法

(4) 干预措施对于汉密尔顿抑郁量表(HAMD)的亚组分析

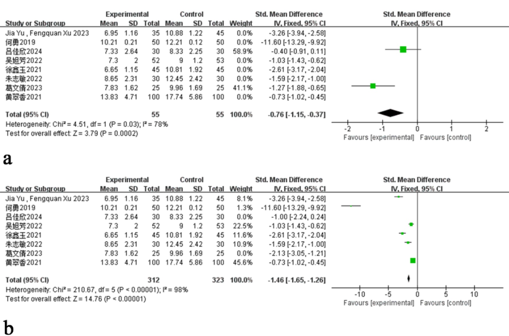
按照干预措施分为单纯归脾汤治疗组(SMD = −0.76, 95% CI (−1.15, −0.36), I2 = 78%)和归脾汤联合其他方法治疗组(SMD = −1.46, 95% CI (−1.65, −1.26), I2 = 98%)。可以看出,归脾汤联合其他方法的干预效果明显优于单纯使用归脾汤治疗。然而,联合疗法显现出更高的异质性,这表明干预措施(单纯使用归脾汤治疗和联合其他方法治疗)是异质性来源但并非唯一来源。联合疗法的较高异质性意味着其效果可能受到其他因素的影响,如特定的联合方法或患者特征。这些发现突出了解释干预效果的复杂性,建议未来的研究应该探索这些潜在因素,以便于更好地理解所观察到的较高异质性背后的机制,并优化治疗策略(详情见图8)。

4. 讨论

本项Meta分析对归脾汤加减治疗抑郁伴失眠的临床疗效展开综合评估。结果表明,与采用常规西药治疗的对照组相比,归脾汤加减治疗可显著降低患者的匹兹堡睡眠质量指数(PSQI)与汉密尔顿抑郁量表(HAMD)评分,由此证实该疗法在改善患者睡眠质量、缓解抑郁症状两方面均具备明确有效性(详情见表3)。进一步按样本量、干预措施划分开展的亚组分析,也为这一结论提供了额外支持。从作用机制来看,归脾汤的主要成分可通过调节神经递质水平、改善脑部血液循环、增强神经可塑性,进而实现对患者睡眠质量与抑郁症状的改善。此外,归脾汤与西药或其他中医疗法联合使用时,治疗效果更为突出,这一现象与中医整体治疗理念相契合——即通过多靶点、多层次的协同作用,进一步强化治疗成效。

Table 3. Summary of comparative results using modern medicine as the control group (p < 0.001)

3. 以现代医学为对照组的对比结果总结(p < 0.001)

对照组

实验组

治疗效果(95% CI)

归脾汤 + 现代医学疗法

任意归脾汤方案

−1.46 (−1.61, −1.31)

归脾汤 + 现代医学疗法

任意归脾汤方案

−1.32 (−1.49, −1.15)

归脾汤 + 现代医学疗法

任意归脾汤方案

−1.33 (−1.49, −1.18)

归脾汤 + 现代医学疗法

任意归脾汤方案

−1.21 (−1.38, −1.04)

亚组1 (大样本量组)

任意归脾汤方案

−1.70 (−1.89, −1.51)

亚组1 (小样本量组)

任意归脾汤方案

−0.99 (−1.25, −0.74)

亚组2 (干预措施)

单纯使用归脾汤

−0.83 (−1.22, −0.43)

亚组2 (干预措施)

联合疗法

−1.57 (−1.73, −1.41)

亚组3 (大样本量组)

任意归脾汤方案

−1.44 (−1.65, −1.24)

亚组3 (小样本量组)

任意归脾汤方案

−1.01 (−1.34, −0.69)

亚组4 (干预措施)

单纯使用归脾汤

−0.76 (−1.15, −0.36)

亚组4 (干预措施)

联合疗法

−1.46 (−1.65, −1.26)

注:治疗效果测量值为SMD。

然而,本研究存在以下局限性:(a) 高异质性:尽管通过敏感性分析和亚组分析(样本量、干预措施类型)识别了部分异质性来源,但残留异质性仍较高(I2 > 90%)。其他潜在因素如研究设计差异(疗程、剂量、归脾汤具体加减方)、患者基线特征(抑郁/失眠严重程度、病程、共病)、对照措施差异、结果测量细微差别等均可能贡献异质性,未来研究需更严格地控制这些变量。(b) 偏倚风险:纳入的部分研究可能存在方法学缺陷(如随机化、分配隐藏、盲法实施不充分)。漏斗图显示潜在发表偏倚,即阳性结果的研究更易被发表,可能导致高估效应量。本研究未进行定量Egger’s检验以确证偏倚。(c) 研究质量与样本量:部分纳入研究样本量较小,可能影响结果的稳定性。需要更多大样本、高质量(严格遵循CONSORT声明)的RCTs来确证当前发现,明确最佳治疗方案(如具体配伍、剂量、疗程)及适用人群。

5. 结论

本Meta分析表明,归脾汤加减治疗在改善抑郁伴失眠患者的睡眠质量(PSQI)和抑郁症状(HAMD)方面,疗效显著优于常规西药治疗。考虑样本量和干预措施类型的亚组分析结果进一步支持了主要结论的稳健性。本研究为抑郁症与失眠共病的中西医结合治疗策略提供了循证支持,有助于推动相关临床指南的制定。本研究局限性体现在,需要更多高质量、大样本容量的随机对照试验(RCTs)来验证归脾汤加减治疗抑郁和失眠的临床疗效。未来的研究应该聚焦于优化研究设计(确保严格的随机化、盲法和随访程序,以及采用标准化的结果测量),减少偏差,提高结果的稳定性和可信度。此外,研究者应致力于更全面的文献检索并积极推动包括阴性结果在内的所有研究发表,以最大程度减少发表偏倚。这将为未来的Meta分析提供更完整的数据基础,提升归脾汤加减治疗抑郁伴失眠疗效评估的可靠性。

基金项目

重庆市技术创新与应用发展专项重大项目(CSTB2024TIAD-STX0040);重庆市科卫联合医学科研项目(2024ZYZD004);教育部人文社科基金(23X1AZH004);重庆市自然科学基金面上项目(CSTB2023NSCQ-MSX0073);重庆市教育委员会科技项目(KJZD-M202500605)。

NOTES

*通讯作者。

参考文献

[1] De Crescenzo, F., D’Alò, G.L., Ostinelli, E.G., Ciabattini, M., Di Franco, V., Watanabe, N., et al. (2022) Comparative Effects of Pharmacological Interventions for the Acute and Long-Term Management of Insomnia Disorder in Adults: A Systematic Review and Network Meta-Analysis. The Lancet, 400, 170-184. [Google Scholar] [CrossRef] [PubMed]
[2] 孙晓萌, 樊旭, 周歆, 等. 中医药治疗失眠合并情绪障碍的临床及机制研究进展[J]. 世界中医药, 2025, 20(9): 1600-1609+1617.
[3] Boland, E.M., Goldschmied, J.R. and Gehrman, P.R. (2023) Does Insomnia Treatment Prevent Depression? Sleep, 46, zsad104. [Google Scholar] [CrossRef] [PubMed]
[4] Herrman, H., Patel, V., Kieling, C., et al. (2023) Time for United Action on Depression: A Lancet-World Psychiatric Association Commission. Lancet, 399, 957-1022. [Google Scholar] [CrossRef
[5] 李益东, 许二平, 康丽杰, 等. 归脾汤及其合方治疗抑郁症研究新进展[J]. 中华中医药学刊, 2023, 41(12): 148-154.
[6] Benz, F., Knoop, T., Ballesio, A., Bacaro, V., Johann, A.F., Rücker, G., et al. (2020) The Efficacy of Cognitive and Behavior Therapies for Insomnia on Daytime Symptoms: A Systematic Review and Network Meta-Analysis. Clinical Psychology Review, 80, Article 101873. [Google Scholar] [CrossRef] [PubMed]
[7] Furukawa, Y., Nagaoka, D., Sato, S., Toyomoto, R., Takashina, H.N., Kobayashi, K., et al. (2024) Cognitive Behavioral Therapy for Insomnia to Treat Major Depressive Disorder with Comorbid Insomnia: A Systematic Review and Meta-Analysis. Journal of Affective Disorders, 367, 359-366. [Google Scholar] [CrossRef] [PubMed]
[8] Bergmann, M., Tschiderer, L., Stefani, A., Heidbreder, A., Willeit, P. and Högl, B. (2021) Sleep Quality and Daytime Sleepiness in Epilepsy: Systematic Review and Meta-Analysis of 25 Studies Including 8,196 Individuals. Sleep Medicine Reviews, 57, Article 101466. [Google Scholar] [CrossRef] [PubMed]
[9] Butris, N., Tang, E., Pivetta, B., He, D., Saripella, A., Yan, E., et al. (2023) The Prevalence and Risk Factors of Sleep Disturbances in Surgical Patients: A Systematic Review and Meta-Analysis. Sleep Medicine Reviews, 69, Article 101786. [Google Scholar] [CrossRef] [PubMed]
[10] Sun, Y., Laksono, I., Selvanathan, J., Saripella, A., Nagappa, M., Pham, C., et al. (2021) Prevalence of Sleep Disturbances in Patients with Chronic Non-Cancer Pain: A Systematic Review and Meta-Analysis. Sleep Medicine Reviews, 57, Article 101467. [Google Scholar] [CrossRef] [PubMed]
[11] Brupbacher, G., Gerger, H., Zander-Schellenberg, T., Straus, D., Porschke, H., Gerber, M., et al. (2021) The Effects of Exercise on Sleep in Unipolar Depression: A Systematic Review and Network Meta-Analysis. Sleep Medicine Reviews, 59, Article 101452. [Google Scholar] [CrossRef] [PubMed]
[12] Scarpelli, S., Zagaria, A., Ratti, P., Albano, A., Fazio, V., Musetti, A., et al. (2022) Subjective Sleep Alterations in Healthy Subjects Worldwide during COVID-19 Pandemic: A Systematic Review, Meta-Analysis and Meta-Regression. Sleep Medicine, 100, 89-102. [Google Scholar] [CrossRef] [PubMed]
[13] Gebara, M.A., Siripong, N., DiNapoli, E.A., Maree, R.D., Germain, A., Reynolds, C.F., et al. (2018) Effect of Insomnia Treatments on Depression: A Systematic Review and Meta-Analysis. Depression and Anxiety, 35, 717-731. [Google Scholar] [CrossRef] [PubMed]
[14] Stricker, J., Kröger, L., Johann, A.F., Küskens, A., Gieselmann, A. and Pietrowsky, R. (2023) Multidimensional Perfectionism and Poor Sleep: A Meta-Analysis of Bivariate Associations. Sleep Health, 9, 228-235. [Google Scholar] [CrossRef] [PubMed]
[15] Edinger, J.D., Smith, E.D., Buysse, D.J., Thase, M., Krystal, A.D., Wiskniewski, S., et al. (2023) Objective Sleep Duration and Response to Combined Pharmacotherapy and Cognitive Behavioral Insomnia Therapy among Patients with Comorbid Depression and Insomnia: A Report from the TRIAD Study. Journal of Clinical Sleep Medicine, 19, 1111-1120. [Google Scholar] [CrossRef] [PubMed]
[16] Moradi, A., Ebrahimian, A., Sadigh-Eteghad, S., Talebi, M. and Naseri, A. (2025) Sleep Quality in Multiple Sclerosis: A Systematic Review and Meta-Analysis Based on Pittsburgh Sleep Quality Index. Multiple Sclerosis and Related Disorders, 93, Article 106219. [Google Scholar] [CrossRef] [PubMed]
[17] Fregna, L., Attanasio, F. and Colombo, C. (2024) Evaluating the Impact of Adjunct Bright Light Therapy on Subjective Sleep Quality in Major Depressive Disorder. Journal of Affective Disorders, 348, 175-178. [Google Scholar] [CrossRef] [PubMed]
[18] Hertenstein, E., Trinca, E., Wunderlin, M., Schneider, C.L., Züst, M.A., Fehér, K.D., et al. (2022) Cognitive Behavioral Therapy for Insomnia in Patients with Mental Disorders and Comorbid Insomnia: A Systematic Review and Meta-Analysis. Sleep Medicine Reviews, 62, Article 101597. [Google Scholar] [CrossRef] [PubMed]
[19] 姜雅琴, 介勇, 徐阿红. 中医论治抑郁症的研究进展[J]. 中医临床研究, 2021, 13(17): 142-144.
[20] 李星宇, 薛丕良. 不寐中医病因病机研究进展[J]. 中医临床研究, 2024, 16(18): 32-36.
[21] Buysse, J.D. (2004) Insomnia, Depression and Aging. Assessing Sleep and Mood Interactions in Older Adults. Geriatrics, 59, 47-51.
[22] Ohayon, M.M. (2002) Epidemiology of Insomnia: What We Know and What We Still Need to Learn. Sleep Medicine Reviews, 6, 97-111. [Google Scholar] [CrossRef] [PubMed]
[23] Smejka, T. and Wiggs, L. (2022) The Effects of Autonomous Sensory Meridian Response (ASMR) Videos on Arousal and Mood in Adults with and without Depression and Insomnia. Journal of Affective Disorders, 301, 60-67. [Google Scholar] [CrossRef] [PubMed]
[24] Edinoff, A.N., Akuly, H.A., Hanna, T.A., Ochoa, C.O., Patti, S.J., Ghaffar, Y.A., et al. (2021) Selective Serotonin Reuptake Inhibitors and Adverse Effects: A Narrative Review. Neurology International, 13, 387-401. [Google Scholar] [CrossRef] [PubMed]
[25] 余婷婷, 刘小路. 归脾汤化裁合酒石酸唑吡坦片治疗心脾两虚型不寐病疗效研究及对神经递质的影响[J]. 中国典型病例大全, 2025, 19(2): 534-539.
[26] 林晨, 戴霓, 胡洁琼, 等. 归脾汤联合艾司西酞普兰治疗抑郁症的临床疗效及对肠道菌群的影响[J]. 浙江医学, 2024, 46(19): 2044-2050.
[27] Li, Y., Tang, J., Yang, S., Peng, Y., Liu, Y., Yuan, M., et al. (2022) Childhood Trauma and the Plasma Levels of IL-6, TNF-Α Are Risk Factors for Major Depressive Disorder and Schizophrenia in Adolescents: A Cross-Sectional and Case-Control Study. Journal of Affective Disorders, 305, 227-232. [Google Scholar] [CrossRef] [PubMed]
[28] Yu, H., Zuo, X., Tang, J. and Fu, Y. (2023) Identifying Causal Effects of the Clinical Sentiment of Patients’ Nursing Notes on Anticipated Fall Risk Stratification. Information Processing & Management, 60, Article 103481. [Google Scholar] [CrossRef
[29] 吕佳欣. 加味归脾汤治疗伴抑郁状态的心脾两虚型失眠的临床观察[D]: [硕士学位论文]. 沈阳: 辽宁中医药大学, 2025.
[30] 陈永谊. 归脾汤治疗不寐合并焦虑抑郁临床观察[J/OL]. 中文科技期刊数据库(全文版)医药卫生, 2024(3).
https://xueshu.baidu.com/ndscholar/browse/detail?paperid=140v04y0uh6x0v30011r00n08c719156&site=xueshu_se, 2026-01-07.
[31] 葛文倩. 归脾汤加减治疗女性抑郁状态头昏失眠的疗效分析[J]. 母婴世界, 2023(35): 67-69.
[32] 朱志敏. 归脾汤联合帕罗西汀治疗心脾两虚型抑郁症伴失眠的临床观察[J]. 中国处方药, 2022, 20(4): 114-115.
[33] 吴旭芳. 归脾汤联合耳穴压丸疗法治疗抑郁障碍相关性失眠心脾两虚证疗效观察[J]. 黑龙江中医药, 2022, 51(5): 42-44.
[34] 张晓美. 归脾汤治疗不寐合并焦虑抑郁临床观察[J]. 中国中医药现代远程教育, 2021, 19(4): 94-96.
[35] 黄翠香. 归脾汤加减治疗不寐证合并焦虑抑郁状态患者的疗效评价[J]. 世界最新医学信息文摘(连续型电子期刊), 2021, 21(24): 269-270.
[36] 蔡晓. 归脾汤加减用于不寐证合并焦虑抑郁患者的效果观察[J]. 实用中医内科杂志, 2019, 33(10): 34-36.
[37] 张建博, 郑杰. 针刺结合归脾汤治疗心脾两虚型老年抑郁性失眠临床观察[J]. 新中医, 2015, 47(4): 257-259.
[38] 徐鑫玉, 李莉, 侯晓, 等. 针刺联合归脾汤加减督脉熏蒸治疗抑郁障碍相关性失眠心脾两虚证疗效观察[J]. 现代中西医结合杂志, 2021, 30(24): 2670-2674.
[39] 何勇. 归脾汤对抑郁相关性失眠的治疗作用研究[J]. 科学养生, 2019(7): 207-208.