双随机波动率跳扩散模型下一类扩展幂期权定价
Pricing Extendible Power Options in a Double Stochastic Volatility Jump-Diffusion Model
DOI: 10.12677/aam.2026.151025, PDF, HTML, XML,    科研立项经费支持
作者: 温小梅:桂林信息科技学院基础教研部,广西 桂林
关键词: 扩展期权幂期权双随机波动率模型Extendible Options Power Options Double Stochastic Volatility Jump-Diffusion Model
摘要: 扩展期权赋予持有者在原到期日延长期权执行期的选择权,是应对市场不确定性的动态风险管控利器,其核心价值源于灵活性与风险缓释能力。本文在双Heston随机波动率跳扩散模型框架下,提出一类扩展幂式期权的定价范式:借助Feynman-Kac定理刻画多维仿射结构,运用特征函数与快速傅里叶变换(FFT)技术,推导出单期扩展幂期权的显式定价公式。数值实验比较了不同模型下的价格差异,并剖析均值回复速率、波动方差及相关系数等关键参数的边际效应。结果表明,扩展幂期权在保留幂型杠杆放大效应的同时,通过展期条款有效压低尾部风险,兼具“高收益潜力”与“稳健风控”双重优势,更能适应瞬息万变的市场环境。
Abstract: Extendible options grant holders the right to prolong the exercise period at the original maturity date, serving as a dynamic risk management instrument to address market uncertainty. The core value of Extendible options lies in inflexibility and risk mitigation capability. Within the framework of double Heston stochastic volatility jump-diffusion model, this paper proposes a pricing approach for a class of extendible power options. By employing the Feynman-Kac theorem to characterize the multi-dimensional affine structure and utilizing characteristic functions along with the Fast Fourier Transform (FFT) technique, an explicit pricing formula for single-period extendible power options is derived. Numerical experiments compare price discrepancies under different models and analyze the marginal effects of key parameters such as mean-reversion speed, volatility variance, and correlation coefficients. The results demonstrate that extendible power options retain the leverage amplification inherent in power-type payoffs while effectively reducing tail risk through the extension feature. This dual advantage of “high-return potential” and “robust risk control” makes them particularly suited to rapidly changing market environments.
文章引用:温小梅. 双随机波动率跳扩散模型下一类扩展幂期权定价 [J]. 应用数学进展, 2026, 15(1): 239-251. https://doi.org/10.12677/aam.2026.151025

1. 引言

近年来,全球金融市场在宏观政策转向、地缘冲突、疫情反复等多重因素冲击下,波动率呈现“高且持续”的新常态。传统Black-Scholes模型与其他单一随机波动率或纯跳扩散模型,因恒定波动率与正态收益假设等限制,难以解释极端行情下的“波动率微笑”“厚尾”与“跳跃–聚集”现象,促使学界与业界不断探索发展新型期权定价体系。双随机波动率跳扩散模型同时引入“快慢”两个方差因子与泊松跳跃,既克服了Heston模型对短期波动聚集刻画不足、尾部仍显单薄的缺陷,也弥补了Merton跳扩散将波动率视为常数、无法反映长记忆和波动持续性的局限[1]-[3]。该模型把宏观突发事件映射为大幅跳变,把高频时变波动拆分为长周期均值回归与短周期噪声,从而在同一套参数下复现“微笑–倾斜–翘尾”全谱特征。基于此,在该模型下研究期权定价,结果更贴合后疫情时代高波动、高跳跃的真实市场要求[4] [5]。而受金融市场的波动影响,投资者的风险偏好与产品结构出现了“两降一升”的显著转向:权益仓位下降、单一方向杠杆下降,但对“尾部保护 + 波动套利”类杠杆工具的需求却逆势上升,投资意向从“追求高收益”逐渐偏向“买流动性 + 买保险”,杠杆类期权产品的功能也由“放大方向”向“管理极端”过渡,成为组合型期权研究方向的“标准件”。

扩展期权(Extendible Option)是一类允许合约持有人扩展其初始合约的到期日的金融合约。当期权持有者选择将初始到期日 T 1 扩展到T时,需支付一笔额外费用 K 0 给期权出售方,同时,期权执行价也从 K 1 被调整到K。扩展期权的可延拓性使其风险收益不对称性更高、对极端事件的保护效率更高、策略灵活性显著增强,而资金占用更低。由于扩展期权对不确定性投资和战略决策有特殊优势,可以优化资源配置,因此,一些具有高投入,高回报,高风险特点的投资项目,如医药项目投资,抵押贷款等,常常将扩展期权理论引进其投资评价体系。Brennan、Schwartz [6]和Ananthanaray [7]等人较早研究可赎回与扩展债券定价模型,随后,Longstaff [8]将其研究工作推广到一类广泛的可扩展期权定价问题,并指出扩展期权是一般形式的复合期权。Gukhal [9]在跳扩散模型下,成功将复合期权定价思想应用于可扩展期权,得到扩展期权价格的封闭解。这些研究结果大部分为单期扩展期权理论。而在实际中,许多投资项目需要进行长时期的风险管理,仅有一次扩展机会远不能满足市场与投资者需求,因此,需要将理论研究进一步推广到多期扩展期权。Chung和Johnson [10]将Longstaff的结论推广到一般形式,得到多期可扩展期权定价公式。

目前多数研究均以扩展期权作为单一对象进行讨论,与之相关的组合型期权的定价成果并不丰富。为满足市场上投资者的“灵活性 + 保险性”的需求偏好,推动期权市场从标准化向场景化、精细化方向演进,本文在双随机波动率跳扩散模型下,研究由扩展期权与幂期权构成的组合型期权——扩展幂期权——的定价问题,对比分析二者结合能否兼具原期权优势,为期权产品的组合及定价提供参考。文章主要利用高维随机变量的分布函数及联合特征函数,运用条件期望的迭代性质及多维Fourier变换法等方法,推导出单期扩展幂期权公式,并分析相关参数对期权价格影响。

2. 市场模型

考虑一个无套利、无摩擦的金融市场,设市场上存在两种自由、可连续交易的资产,其中一种为无风险债券,另一种为风险资产(如股票),交易期限为 [ 0,T ] 。给定完备概率空间 ( Ω,F, F t ,Q ) 及其上定义的四维标准布朗运动 W t =( W t S , W t S ^ , W t V , W t V ^ ) 与纯跳过程 Z t =( Z t S , Z t V ) σ -代数 F t W t Z t 联合生成。记股票在t时刻的价格为 S t ,在本文设定的风险中性测度 Q 下,假设 S t =exp( X t ) 满足如下方程:

d X t =( rλμ V t + V t ^ 2 )dt+ V t ( 1 ρ 2 d W t S +ρd W t V )+ V t ^ ( 1 ρ ^ 2 d W t S ^ + ρ ^ d W t V ^ )+d Z t S d V t =κ( θ V t )dt+σ V t d W t V +d Z t V d V t ^ = κ ^ ( θ ^ V t ^ )dt+ σ ^ V t ^ d W t V ^ (1)

其中常数 r 为无风险利率, V t V t ^ 表示两个波动率过程, κ κ ^ 为波动率过程的均值回复速度, θ θ ^ 为波动率过程的长期平均水平, σ σ ^ 表示波动率过程的标准差,其均为非负常数,且满足 2κθ σ 2 2 κ ^ θ ^ σ 2 ρ ρ ^ 分别表示股票 S 与波动率 V t V t ^ 的相关系数。 Z t S = k=1 N t S J k S Z t V = k=1 N t V J k V 是强度分别为 λ 1 λ 2 的两个独立的泊松过程,其中 Z t S 表示标的资产的跳跃, Z t V 表示波动率中的跳跃。不妨假设跳跃大小 J t S ~N( μ s , σ s 2 ) J t V ~exp( 1 μ v ) 。纯跳过程 Z t 的跳跃达到强度参数为常数 λ ,且 Z t 的两维联合跳跃幅度的概率分布 ν 有跳跃变换 Θ ,满足

Θ( c 1 , c 2 )= λ 1 Θ 1 ( c 1 )+ λ 2 Θ 2 ( c 2 ) λ ,

λ= λ 1 + λ 2 c 1 c 2 R μ=Θ( 1,0 )1 ,且

Θ 1 ( c )=exp( μ s c+ 1 2 σ s 2 c 2 ) , Θ 2 ( c )= 1 1 μ v c .

3. 相关引理

本文以单期扩展幂式看涨期权为主进行讨论,下面给出相关符号约定与引理。

ψ( t, u 1 , u 2 , u 3 ;x,v, v ^ ,T )=E[ e i u 1 X T +i u 2 V T +i u 2 V T ^ | F t ] =E[ e i u 1 X T +i u 2 V T +i u 2 V T ^ | X t =x, V t =v, V t ^ = v ^ ] E t [ e i u 1 X T +i u 2 V T +i u 2 V T ^ ]

为随机向量 ( X T , V T , V T ^ ) 基于概率测度 Q 下在已知条件 ( x,v, v ^ ) 的联合特征函数,式中: t[ 0,T ] u 1 , u 2 , u 3 为复数, i 为虚数单位。

t j ( j=0,1,,n ) 为时间区间 [ 0,T ] 内的多个决策时间点,其中 t 0 =0 t n =T ,并记相应资产价格 S t j 的对数为 X j 。定义 X=( X 1 , X 2 ,, X n ) n 维随机向量, u=( u 1 , u 2 ,, u n ) n 维复数向量,记

ϕ ( n ) ( u )=ϕ( u 1 , u 2 ,, u n )=E[ e i u 1 X 1 +i u 2 X 2 ++i u n X n ]=E[ e iu X ] (2)

X 在概率测度 Q 下的特征函数,其中 i 为虚数单位。

引理1 在股价满足模型(1)及相应假设下,联合特征函数 ψ( t, u 1 , u 2 , u 3 ;x,v, v ^ ,T ) 具有解析表达式 exp{ i u 1 x+A( τ, u 1 , u 2 , u 3 )+ B 1 ( τ, u 1 , u 2 , u 3 )v+ B 2 ( τ, u 1 , u 2 , u 3 ) v ^ } 。其中 τ=Tt , a 1 ( u )=κiuρσ ,

a 2 ( u )= κ ^ iu ρ ^ σ ^ , b( u )= 1 2 iu( iu1 ) , γ 1 ( u )= a 1 2 ( u )2 σ 2 b( u ) , γ 2 ( u )= a 2 2 ( u )2 σ ^ 2 b( u ) ,

d 1 ( u 1 , u 2 , u 3 )= i u 2 σ 2 a 1 ( u 1 )+ γ 1 ( u 1 ) i u 2 σ 2 a 1 ( u 1 ) γ 1 ( u 1 ) , d 2 ( u 1 , u 2 , u 3 )= i u 3 σ ^ 2 a 2 ( u 1 )+ γ 2 ( u 1 ) i u 3 σ ^ 2 a 2 ( u 1 ) γ 2 ( u 1 ) , e 1 ( u )=1 μ v σ 2 [ a 1 ( u )+ γ 1 ( u ) ] ,

g 1 ( u )= e 1 ( u )+ 2 μ v γ 1 ( u ) σ 2 , B 1 ( τ, u 1 , u 2 , u 3 )= 1 σ 2 [ a 1 ( u 1 )+ γ 1 ( u 1 ) 2 γ 1 ( u 1 ) 1 d 1 ( u 1 , u 2 , u 3 ) e γ 1 ( u 1 )τ ] , B 2 ( τ, u 1 , u 2 , u 3 )= 1 σ ^ 2 [ a 2 ( u 1 )+ γ 2 ( u 1 ) 2 γ 2 ( u 1 ) 1 d 2 ( u 1 , u 2 , u 3 ) e γ 2 ( u 1 )τ ] ,

A( τ, u 1 , u 2 , u 3 )= κθτ σ 2 [ a 1 ( u 1 ) γ 1 ( u 1 ) ] 2κθ σ 2 ln[ 1 d 1 ( u 1 , u 2 , u 3 ) e γ 1 ( u 1 )τ 1 d 1 ( u 1 , u 2 , u 3 ) ]+ κ ^ θ ^ τ σ ^ 2 [ a 2 ( u 1 ) γ 2 ( u 1 ) ] 2 κ ^ θ ^ σ ^ 2 ln[ 1 d 2 ( u 1 , u 2 , u 3 ) e γ 2 ( u 1 )τ 1 d 2 ( u 1 , u 2 , u 3 ) ]+[ λ 1 Θ 1 ( i u 1 )+i u 1 ( rλμ )λ+ λ 2 g 1 ( u 1 ) ]τ + λ 2 γ 1 ( u 1 ) ( 1 g 1 ( u 1 ) 1 e 1 ( u 1 ) )ln[ g 1 ( u 1 ) e 1 ( u 1 ) d 1 ( u 1 , u 2 , u 3 ) e γ 1 ( u 1 )τ g 1 ( u 1 ) e 1 ( u 1 ) d 1 ( u 1 , u 2 , u 3 ) ].

引理2 0t< t 1 < t 2 << t n =T ,则 F t F t 1 F t 2 F t n ,由引理1及条件期望的迭代性质,可得 ( X 1 , X 2 ,, X n ) 基于已知时刻 t 的联合条件特征函数为

ϕ ( n ) ( t,u )=ϕ( t, u 1 , u 2 ,, u n , t 1 , t 2 ,, t n ) = E t [ e i u 1 X 1 +i u 2 X 2 ++i u n X n ] =exp{ i( u 1 + u 2 ++ u n ) x t + B 1 ( n ) v t + B 2 ( n ) v t ^ + A ( n ) }. (3)

其中 n N ,且 B 1 ( n ) = B 1 ( H 1 ) B 2 ( n ) = B 2 ( H 1 )

A ( n ) =A( H n )+A( H n1 )++A( H 2 )+A( H 1 ) ( H n )=( t n t n1 , u n ,0,0 ) ( H n1 )=( t n1 t n2 , u n + u n1 ,i B 1 ( H n ),i B 2 ( H n ) ) ( H 2 )=( t 2 t 1 , u n + u n1 ++ u 3 + u 2 ,i B 1 ( H 3 ),i B 2 ( H 3 ) ) ( H 1 )=( t 1 t, u n + u n1 ++ u 2 + u 1 ,i B 1 ( H 2 ),i B 2 ( H 2 ) ).

引理3 n 维随机变量 x=( x 1 , x 2 ,, x n ) 的联合分布函数为 F( x ) ,其密度函数和特征函数分别为 f ( n ) ( x ) ϕ ( n ) ( u ) 。若 f ( n ) ( x ) ϕ ( n ) ( u ) L n ,且 x 的均值存在,则对任意 x=( x 1 , x 2 ,, x n ) R n

( 2 ) n ( 2π ) n 0 0 Δ u 1 Δ u 2 Δ u n [ ϕ ( n ) ( u ) e iu x i u 1 i u 2 i u n ]d u 1 d u 2 d u n =t( x ). (4)

其中 u=( u 1 , u 2 ,, u n )

t( x )= 2 n F( x 1 , x 2 ,, x n ) 2 n1 [ F( x 2 , x 3 ,, x n )++F( x 1 ,, x n2 , x n1 ) ] + 2 n2 [ F( x 3 , x 4 ,, x n )++F( x 1 ,, x n3 , x n2 ) ]++ ( 1 ) n . (5)

引理4 x=( x 1 , x 2 ,, x n ) 的均值存在,则

Δ u 1 Δ u 2 Δ u n [ ϕ ( n ) ( u ) e iu x i u 1 i u 2 i u n ]={ 2 i n1 Δ u 2 Δ u n Im[ ϕ ( n ) ( u ) e iu x u 1 u 2 u n ],n, 2 i n Δ u 2 Δ u n Re[ ϕ ( n ) ( u ) e iu x u 1 u 2 u n ],n. (6)

其中 Δ u j [ η( u ) ]=η( u )+η( u ) j=1,2,,n Im[ ] 表示 [ ] 的虚部, Re[ ] 表示 [ ] 的实部。

引理5 n 维随机变量 x=( x 1 , x 2 ,, x n ) 的联合分布函数为 F( x ) ,其密度函数和特征函数分别为 f ( n ) ( x ) ϕ ( n ) ( u ) 。若 f ( n ) ( x ) ϕ ( n ) ( u ) L n ,且 x 的均值存在,则对任意 x=( x 1 , x 2 ,, x n ) R n ,有

F( x )={ 1 2 [ t( x 1 )+1 ],n=1 1 2 2 [ t( x 1 , x 2 )+t( x 1 )+t( x 2 )+1 ],n=2, 1 2 n [ t( x 1 , x 2 ,, x n )+ j 1 << j n1 1 j i n t( x j 1 , x j 2 ,, x j n1 ) ++ j=1 n t( x j ) +1 ],n3.

因此,在计算联合分布函数时可用如下公式:

(1)Q( X 1 x 1 , X 2 x 2 ,, X n x n )=F( x 1 , x 2 ,, x n ) = 1 2 n [ t( x 1 , x 2 ,, x n )+ j 1 << j n1 1 j i n t( x j 1 , x j 2 ,, x j n1 ) ++ j=1 n t( x j ) +1 ];

(2)Q( X 1 x 1 , X 2 x 2 ,, X n x n ) =1 j=1 n F( x j ) + i<j i,j{ 1,2,,n } F( x i , x j ) + ( 1 ) n F( x 1 , x 2 ,, x n ) = 1 2 n [ 1 j=1 n t( x j ) + i<j i,j{ 1,2,,n } t( x i , x j ) + ( 1 ) n t( x 1 , x 2 ,, x n ) ].

引理6 记执行价格为K,到期日为T的欧式幂式看涨期权 t[ 0,T ] 时刻的价格为 C e ( t,x,v, v ^ ,K,T ) ,则在股价满足市场模型(1)假设条件下,有

C e ( t,x,v, v ^ ,K,T ) = e r( Tt ) [ ψ( t,im,0,0 )K 2 + 1 π 0 + ( ( ψ( t,i( iξ+m ),0,0 )Kψ( t,ξ,0,0 ) ) e iξ lnK m iξ )dξ ],

其中 Re[ ] 表示 [ ] 的实部。

引理7 在股价满足市场模型(1)假设条件下,欧式复合看涨幂式看涨期权 t[ 0, T 1 ] 时刻的价格为

C C e ( t,x,v, v ^ , K 1 , T 1 ,K,T ) = e r( Tt ) ψ( t,im,0,0 ) [ 1 4 + 1 2π 0 + ( ϕ 1 ( t,u,0, T 1 ,T ) e iu x + ϕ 1 ( t,0,u, T 1 ,T ) e iu lnK m iu ) du 1 2 π 2 R + 2 ( e i u 1 x i u 2 lnK m ϕ 1 ( t, u 1 , u 2 , T 1 ,T ) e i u 1 x +i u 2 lnK m ϕ 1 ( t, u 1 , u 2 , T 1 ,T ) u 1 u 2 )d u 1 d u 2 ] K e r( Tt ) [ 1 4 + 1 2π 0 + ( ϕ( t,u,0, T 1 ,T ) e iu x +ϕ( t,0,u, T 1 ,T ) e iu lnK m iu )du 1 2 π 2 R + 2 ( e i u 1 x i u 2 lnK m ϕ( t, u 1 , u 2 , T 1 ,T ) e i u 1 x +i u 2 lnK m ϕ( t, u 1 , u 2 , T 1 ,T ) u 1 u 2 )d u 1 d u 2 ] K 1 e r( T 1 t ) [ 1 2 + 1 π 0 + ( ψ( t,u,0,0;x,v, v ^ , T 1 ) e iu x iu )du ]. (7)

其中 ϕ 1 ( t, u 1 , u 2 , t 1 , t 2 )= ϕ( t, u 1 , u 2 im, t 1 , t 2 ) ϕ( t,0,im, t 1 , t 2 ) x 由以下方程确定:

C e ( T 1 , x ,v, v ^ ,K,T )= K 1 .

4. 单期扩展幂期权定价公式

规定如下符号意义:

T n :复合幂期权的第 n 个到期日, T n1 < T n n N

K n :复合幂期权在到期日 T n 时对应的执行价格。

C n ( t ) n 期复合幂期权在时刻 t 的价格。

E C e ( t,x,v, v ^ , K 1 , T 1 ,K,T, K 0 ) 是到期日为 T 1 ( <T ) ,执行价是 K 1 的欧式扩展看涨幂式看涨期权在 t 时刻的价格。在到期日 T 1 ,期权持有人面临如下三种选择:

1. 执行扩展看涨幂式看涨期权,获得收益 max{ 0, S T 1 m K 1 }

2. 支付额外费用 K 0 ,将期权到期日延展到T,此时执行价格被调整到K。此时收益为

max{ 0, C e ( T 1 , X T 1 , V T 1 , V T 1 ^ ,K,T ) K 0 } .

3. 放弃执行期权,收益为0。

因此,扩展幂期权在到期日 T 1 的收益实际为

max{ 0, C e ( T 1 , S T 1 , V T 1 , V ^ T 1 ,K,T ) K 0 , S T 1 m K 1 }. (8)

从上述式子可知,当 K 0 >0 时,在 T 1 时刻存在 S 的一个临界值 L ,使得

C e ( T 1 ,L, V T 1 , V ^ T 1 ,K,T ) K 0 =0 .

因为欧式幂式看涨期权是关于S的增函数,所以该临界值L唯一,并且 C e ( T 1 ,L, V T 1 , V ^ T 1 ,K,T )> K 0 可等价于 S T 1 >L ,即当 S T 1 L 时期权不会被扩展,此时扩展幂期权变为一般欧式幂期权。另外,当 C e ( T 1 , S T 1 , V T 1 , V ^ T 1 ,K,T ) K 0 S T 1 m K 1 时,期权也不会扩展。由方程 C e ( T 1 ,U, V T 1 , V ^ T 1 ,K,T ) K 0 = U T 1 m K 1 可以确定临界值 U ,当 S T 1 >U

C e ( T 1 , S T 1 , V T 1 , V ^ T 1 ,K,T ) C e ( T 1 ,U, V T 1 , V ^ T 1 ,K,T )= U m K 1 + K 0 ,

期权不会被扩展。因此,期权扩展的条件为 S[ L,U ] ,易证必有 U>L

定理1 在股价满足市场模型(1)假设条件下,欧式可扩展看涨幂式看涨期权 t 时刻价格为

(9)

其中 ϕ 1 ( t, u 1 , u 2 , t 1 , t 2 )= ϕ( t, u 1 , u 2 im, t 1 , t 2 ) ϕ( t,0,im, t 1 , t 2 ) l h ( l<h ) 分别由以下方程结合Newton-Raphson迭代法求解所得:

C e ( T 1 ,l,v, v ^ ,K,T )= K 0 ,

C e ( T 1 ,h,v, v ^ ,K,T ) K 0 =mlnh K 1 .

证明:由风险中性定价原理,可知扩展幂式看涨期权t时刻的价格为

E C e ( t,x,v, v ^ , K 1 , T 1 ,K,T, K 0 ) = E t [ e r( T 1 t ) ( e m X T 1 K 1 ) 1 ( X T 1 >h ) ]+ E t [ e r( T 1 t ) ( C e ( T 1 ,x,v, v ^ ,K,T ) K 0 ) 1 ( l X T 1 h ) ] = E t [ e r( T 1 t ) ( e m X T 1 K 1 ) 1 ( X T 1 >h ) ]+ E t [ e r( T 1 t ) ( C e ( T 1 ,x,v, v ^ ,K,T ) K 0 ) 1 ( X T 1 >l ) ] E t [ e r( T 1 t ) ( C e ( T 1 ,x,v, v ^ ,K,T ) K 0 ) 1 ( X T 1 >h ) ] = I 1 + I 2 + I 3 .

其中,

I 1 = E t [ e r( T 1 t ) e m X T 1 1 ( X T 1 h ) ] K 1 e r( T 1 t ) E t [ 1 ( X T 1 h ) ] = e r( T 1 t ) E t [ S T 1 m ] Q 1 ( X T 1 h ) K 1 e r( T 1 t ) Q( X T 1 h ) = e r( T 1 t ) ψ( t,im,0,0 )[ 1 2 + 1 π 0 + ( ψ( t,i( iu+m ),0,0 ) e iuh iuψ( t,im,0,0 ) )du ] K 1 e r( T 1 t ) [ 1 2 + 1 π 0 + ( ψ( t,u,0,0 ) e iuh iu )du ] = e r( T 1 t ) [ ψ( t,im,0,0 ) K 1 2 + 1 π 0 + ( ( ψ( t,i( iu+m ),0,0 ) K 1 ψ( t,u,0,0 ) ) e iuh iu )du ],

ψ( t, u 1 , u 2 , u 3 )=ψ( t, u 1 , u 2 , u 3 ;x,v, v ^ , T 1 )

I 2 I 3 可运用引理7中复合幂期权的结论进行计算,整理可得式(9)。

5. 数值分析

下面,应用数值计算分析不同市场模型下扩展幂式看涨期权价格变化,在dbHJ模型下考察费用 K 0 对扩展幂式看涨期权价格的影响。最后,讨论模型中部分重要参数对期权价格的影响。本节结果计算采用Mathematica和Matlab软件编程进行。模型(1)中的基本参数取值参照表1

Table 1. Basic parameter values of the model

1. 模型的基本参数值

r

σ

σ ^

σ s

κ

κ ^

θ

θ ^

ρ

ρ ^

0.03

0.2

0.3

0.18

2

2.5

0.1

1.5

−0.4

0.5

λ 1

λ 2

μ s

μ v

v 0

v 0 ^

K 1

K

2

0.8

−0.18

1.5

0.02

0.04

1

1.2

表2在五类市场模型下比较了扩展幂式看涨期权价格。在扩展费用 K 0 =0.04 前提下,选择了不同的幂指数值m以及扩展幂期权的到期日 T 1 表2计算结果表明:五类市场模型下,dbHJ模型的期权收益最高,充分印证双Heston跳扩散结构在捕捉尾部风险溢价上的优势。进一步观察发现,dbHJ的定价普遍高于剔除跳跃的dbH模型,提示波动率跳跃是驱动长期隐含波动率微笑的核心因子,需在模型校准与对冲设计中予以重点考量。另一方面,在相同市场设定下,期权价格随幂指数m单调递增,再现了幂型收益的天然杠杆属性;但与复合幂期权不同,扩展幂期权的额外价值主要来源于持有人在 T 1 时刻是否支付 K 0 以延长存续期的选择权,而非单纯依赖标的资产价格的凸性放大。

Table 2. Price comparison of single-period extendible power options under five market models

2. 五类市场模型单期扩展幂期权价格比较

m

T1

B-S

Heston

JD

dbH

dbHJ

1

0.5

0.0294

0.0974

0.1436

0.1352

0.3563

1

0.0389

0.1138

0.1524

0.1781

0.3762

1.5

0.0444

0.1335

0.1821

0.2196

0.4056

1.5

0.5

0.0542

0.2472

0.2642

0.3401

0.9898

1

0.0674

0.2609

0.3311

0.4000

1.1880

1.5

0.08233

0.2729

0.3573

0.4624

1.3209

2

0.5

0.0935

0.4234

0.4607

0.6344

9.7287

1

0.1509

0.4319

0.535

0.7380

10.63

1.5

0.2331

0.4475

0.5833

0.8596

12.5545

表3 T 1 =1 S 0 =1 表1参数值不变的情况下,刻画了dbHJ模型中扩展幂型看涨期权价格对额外行权费 K 0 的敏感度。结果显示,期权价值随 K 0 升高而单调递减: K 0 越高,投资者在 T 1 时刻选择延展合约所需支付的“门票”越贵,潜在行权收益被同步压缩,贴现至当期的权利金自然应声下落。

Table 3. Impact of strike price K0 on extendible power call option prices for different power values

3. 费用K0对不同幂值的扩展幂式看涨期权价格影响

K 0

m=0.5

m=1

m=1.5

m=2

0.01

0.0638

0.3959

1.2056

10.6438

0.02

0.0572

0.3889

1.1996

10.6396

0.03

0.0517

0.3823

1.1937

10.6354

0.04

0.047

0.3762

1.188

10.6312

0.05

0.0429

0.3704

1.1824

10.627

0.06

0.0394

0.365

1.1771

10.6229

0.07

0.0362

0.3599

1.1719

10.6188

图1考察了在到期日 T 1 =1 m=1.5 和费用 K 0 =0.04 前提下,五类市场模型下的扩展幂式看涨期权价格差异。从图1可以看出,五类市场模型欧式扩展幂式看涨期权价格随 S 0 的增加而增大,与标准可延展欧式看涨期权的灵敏度特征保持一致。

最后,讨论双Heston跳扩散模型中参数值变动对扩展幂式看涨期权价格随股价变化的影响。下图分别考察了随机波动率过程中回复速率和波动率方差对期权价格的作用。

Figure 1. Variation of extendible power call option prices under five market models

1. 五类市场模型下扩展幂式看涨期权价格变化

Figure 2. Impact of mean reversion rate on option prices

2. 均值回复速率对期权价格的影响

Figure 3. Impact of volatility variance on option prices

3. 波动方差对期权价格的影响

图2图3表明:在模型其他参数不变情况下,在其余参数保持不变的条件下,均值回复速率越快,期权价格越低——高速回复将波动率迅速拉回长期均值,削弱了权利金的“波动溢价”。若波动率过程进一步引入跳跃风险,整体波动率水平虽被抬高并小幅推升期权价格,但边际增量有限,影响相对温和。

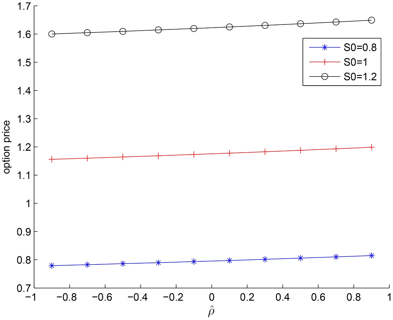
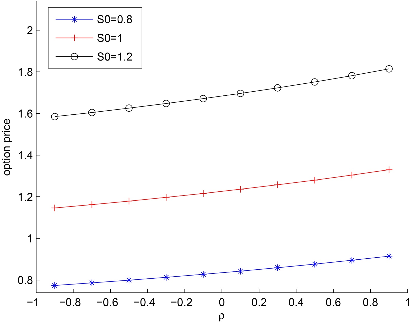
Figure 4. Variation of option prices with ρ

4. 期权价格随ρ的变化

Figure 5. Variation of option prices with ρ ^

5. 期权价格随 ρ ^ 的变化

图4图5显示,无论合约处于深度价内、平价还是价外,扩展幂式看涨期权的价格对相关系数或均呈正向但温和的敏感度;这一情况与标准扩展期权“负相关–折价”规律恰好相反,却与复合幂期权的响应特征一致。其根源在于期权结构中引入了标的股价的幂指数:杠杆效应放大了波动率与价格同向联动带来的上行收益,从而将相关性的负贴现效应扭转为正向溢价。

6. 结论

本文在双随机波动率跳扩散模型下,利用高维随机变量的分布函数及联合特征函数,多维Fourier变换法等方法,推导出单期扩展幂期权公式,并应用数值实验分析多种经典模型下单期扩展幂期权价格的差异性,考察关键变量对价格的边际影响。结果显示:期权价值随幂指数m单调递增,完美保留幂型收益的天然杠杆;相较标准幂期权,延展选择权的存在有效压缩尾部风险,实现“杠杆不减、风险下行”的结构性改良;将“幂型放大”与“展期保护”两种功能互补的条款有机融合,组合型新型期权在保有高收益潜力的同时,具备更稳健的市场适应能力。文章亦为多期扩展幂期权、美式幂期权等组合型期权的定价及市场价值研究提供参考。

基金项目

广西高校中青年教师科研基础能力提升项目(项目编号:2022KY1633)。

参考文献

[1] Chernov, M., Ronald Gallant, A., Ghysels, E. and Tauchen, G. (2003) Alternative Models for Stock Price Dynamics. Journal of Econometrics, 116, 225-257. [Google Scholar] [CrossRef
[2] Eraker, B., Johannes, M. and Polson, N. (2003) The Impact of Jumps in Volatility and Returns. The Journal of Finance, 58, 1269-1300. [Google Scholar] [CrossRef
[3] Ahlip, R., Park, L.A.F. and Prodan, A. (2018) Semi-analytical Option Pricing under Double Heston Jump-Diffusion Hybrid Model. Journal of Mathematical Sciences and Modelling, 1, 138-152. [Google Scholar] [CrossRef
[4] 温小梅, 邓国和. 双随机波动率跳扩散模型的复合幂期权定价[J]. 广西师范大学学报(自然科学版), 2021, 39(2): 101-111.
[5] Mehrdoust, F. and Saber, N. (2015) Pricing Arithmetic Asian Option under a Two-Factor Stochastic Volatility Model with Jumps. Journal of Statistical Computation and Simulation, 85, 3811-3819. [Google Scholar] [CrossRef
[6] Brennan, M.J. and Schwartz, E.S. (1977) Savings Bonds, Retractable Bonds and Callable Bonds. Journal of Financial Economics, 5, 67-88. [Google Scholar] [CrossRef
[7] Ananthanarayanan, A.L. and Schwartz, E.S. (1980) Retractable and Extendible Bonds: The Canadian Experience. The Journal of Finance, 35, 31-47. [Google Scholar] [CrossRef
[8] Longstaff, F.A. (1990) Pricing Options with Extendible Maturities: Analysis and Applications. The Journal of Finance, 45, 935-957. [Google Scholar] [CrossRef
[9] Gukhal, C.R. (2004) The Compound Option Approach to American Options on Jump-Diffusions. Journal of Economic Dynamics and Control, 28, 2055-2074. [Google Scholar] [CrossRef
[10] Chung, Y.P. and Johnson, H. (2011) Extendible Options: The General Case. Finance Research Letters, 8, 15-20. [Google Scholar] [CrossRef