重庆江北国际机场微波辐射计在不同天气条件下探测精度分析
Analysis of Detection Accuracy of Microwave Radiometer at Chongqing Jiangbei International Airport under Different Weather Conditions
DOI: 10.12677/ccrl.2026.151017, PDF, HTML, XML,   
作者: 伍见军:中国民用航空西南地区空中交通管理局重庆分局,重庆
关键词: 微波辐射计温湿度天气条件探测精度Microwave Radiometer Temperature and Humidity Weather Conditions Detection Accuracy
摘要: 把天气条件划分为晴天、阴天、雨天、雾天四类,利用沙坪坝站探空资料、重庆江北国际机场逐小时观测资料作为参考标准,对重庆江北国际机场微波辐射计探测的2023年温湿度数据进行了探测精度分析。结论表明,微波辐射计探测的地面温度在四种天气条件下差距不大,地面相对湿度在晴天和阴天时明显优于雨天和雾天。探测的高空温度在晴天和阴天平均偏差在−2℃左右,雨天时在2℃左右,雾天时的平均偏差、均方根误差和相关系数在各个高度层波动较大;探测的高空相对湿度,在晴天、阴天和雨天时相对湿度平均偏差和均方根误差都比较接近,平均偏差大致在−10%~10%之间,均方根误差大致在5%~15%之间,雾天表现最差。
Abstract: The weather conditions were divided into four categories: sunny, cloudy, rainy, and foggy. Using the sounding data of Shapingba Station and the hourly observation data of Chongqing Jiangbei International Airport as reference standards, the detection accuracy of the temperature and humidity data detected by the microwave radiometer of Chongqing Jiangbei International Airport in 2023 was analyzed. The conclusion shows that the ground temperature detected by the microwave radiometer has little difference under the four weather conditions, and the ground relative humidity is significantly better on sunny and cloudy days than on rainy and foggy days. The average deviation of detected high-altitude temperature on sunny and cloudy days is around −2˚C, and on rainy days is around 2˚C. The average deviation, root mean square error and correlation coefficient on foggy days fluctuate greatly at various altitudes. The detected upper-altitude relative humidity, the average deviation and root mean square error of relative humidity on sunny, cloudy and rainy days are relatively close. The average deviation is roughly between −10% and 10%, and the root mean square error is roughly between 5% and 15%. The performance is worst on foggy days.
文章引用:伍见军. 重庆江北国际机场微波辐射计在不同天气条件下探测精度分析[J]. 气候变化研究快报, 2026, 15(1): 129-138. https://doi.org/10.12677/ccrl.2026.151017

1. 引言

探空是气象观测业务中测量各种气象要素廓线的基本手段之一,尽管传统的定点、定时氢气球探空观测具有较好的代表性和较高的可信度,但其有限的站点分布以及无法连续观测的特点使得探空的时空密度难以适应现代气象业务发展需求。微波辐射计是基于大气微波辐射遥感的气象观测系统,主要通过被动接收大气下行辐射亮温实现24 h实时大气温湿廓线反演[1] [2],有效填补了探空在关键天气过程中的数据空白,为实现航空气象的实时监测与预警提供了强有力的技术支撑。因此,微波辐射计是常规业务探空的重要补充,在重大天气过程分析、气象预报预警、航空气象服务等方面具有重要的应用价值[3] [4]

有研究表明,微波辐射计的探测精度在不同天气条件下,可能出现明显差异。近年来,国内多位学者对微波辐射计在不同天气条件下的温湿探测性能进行了评估。徐桂荣等[5]对甘孜地区辐射计资料进行了统计分析,结果表明总体上辐射计反演参量与探空观测之间的相关性较好,非强降水对辐射计观测质量的影响较小,展现了辐射计在降雨天气下穿透云雨的优势;王志诚等[6]比对了四台辐射计与L波段探空的误差,认为四台辐射计相对湿度误差在晴空条件下小于云雨条件下的,这是因为在云雨条件下微波吸收的不确定性导致相对湿度反演误差加大。周永水等[7]利用贵阳辐射计研究晴天时逆温与微波辐射计误差的相关性,区分季节比对了晴天条件下微波辐射计的误差及误差的标准差,其结果显示冬季误差大于其余季节。

现有研究多侧重于宏观的统计评估或单一典型天气过程分析,缺乏针对晴、阴、雨、雾等多种天气型制的系统性精度对比。本研究将利用重庆江北国际机场的微波辐射计探测数据与同期探空资料,重点开展不同天气条件下温度与湿度探测精度的对比分析。通过定量评估微波辐射计在各类典型天气下的性能表现,旨在明确其数据应用的可靠范围与局限性,为提升复杂天气下的航空气象保障能力提供精准的数据支撑与科学依据。

2. 分析资料与方法

2.1. 资料说明

使用2023年1~12月的重庆江北国际机场的微波辐射计观测资料进行研究,气象要素包括地面的高空的温度和相对湿度。作为参考标准的高空温度、相对湿度来源于重庆沙坪坝站探空资料。沙坪坝站位于重庆江北国际机场西南方向直线距离约24 km,两地空间距离较近。沙坪坝站海拔高度290米,重庆江北国际机场微波辐射计安装点海拔高度约350米,两者有约60米的高度差。作为参考标准的地面温度、相对湿度,来源于重庆江北国际机场逐时观测资料,均为自动气象观测系统仪器测得。

2.2. 数据处理与匹配

由于微波辐射计数据与探空数据的高度和时间分辨率均不同,需要先对两种设备的数据处理后再进行匹配。本研究采用以下方法对探空数据和微波辐射计数据在时间和高度上进行匹配。

① 统一以探空资料、机场逐小时观测资料为参考标准,微波辐射计资料为验证值。

② 时间匹配:由于获取的探空资料并不包含每个高度层的准确探测时间,但已知每天07:15、19:15开始观测,探空气球上升至10 km高度大约需要27 min。取每日07:15~07:45和19:15~19:45两个半小时中间的微波辐射计数据进行平均处理,再与探空资料进行时间上的匹配。

③ 空间匹配:新建标准高度层,500~2000米(含)以100米为差值递增,代表边界层内的大气状况。2200~10,000米(含)以200米为差值递增,代表对流层的大气状况。由于边界层内大气受天气、地表、人为活动等影响较多,所以需要更细致的高度层分层。把探空资料每个时次不同的高度层通过线性插值统一到标准高度层。由于微波辐射计资料高度层为离地高度,需统一为海拔高度,及H = H0 + 350 (当地海拔高度),同样通过线性插值统一到标准高度层。

2.3. 样本选取

按照表1中不同天气条件,划分为晴天、阴天、雨天、雾天四类,分别得到案例130、86、55、4组。为了找出比较典型的四类天气条件,以便于找出四类天气条件下微波辐射计的数据精度差异,设定如下条件以作区分。晴天需满足条件:该时次的总云量为0;阴天需满足条件:该时次总云量为8,地面相对湿度<80%,且未出现降水;雨天需满足条件:该时次的地面相对湿度≥98%,且出现降水;雾天需满足条件:该时次的能见度<700米,相对湿度≥98%,且前后四小时未出现降水。

Table 1. Sample selection according to different weather conditions

1. 按不同天气条件样本选取

天气条件

有效数据()

晴天

130

阴天

86

雨天

55

雾天

4

使用皮尔森相关系数(r)来反映不同季节微波辐射计与探空的温度、湿度和水汽密度在不同高度层上的线性相关程度,r值介于−1到1之间,绝对值越大表明相关性越强。采用平均偏差(BIAS)和均方根误差(RMS)来表示不同高度层微波辐射计和探空数据的离散程度。计算公式如下:

r= i=1 n ( x i x ¯ )( y i y ¯ ) i=1 n ( x i x ¯ ) 2 i=1 n ( y i y ¯ ) 2 B IAS = 1 n i=1 n X i Y i R MS = 1 n i=1 n ( X i Y i ) 2

公式中, x i 为微波辐射计第i个样本的探测值, i=1,2,,n x ¯ 为微波辐射计的探测平均值,即从x1xn的平均值,yi为探空仪第i个样本的探测值, y ¯ 为探空平均值,即从y1yn的平均值,n代表不同天气条件下温度、相对湿度和水汽密度的样本数量。晴天温度、相对湿度和绝对湿度样本各有130组,即晴天条件下3个物理量在公式中的n取值为130,阴天和雨天条件下三个物理量的n取值也为对应的样本数量。阴天温度、相对湿度和绝对湿度各有86组,雨天温度、相对湿度和绝对湿度样本各有55组,雾天温度、相对湿度和绝对湿度样本各有4组。

3. 地面温湿度对比分析

3.1. 地面温度

图1不同天气条件来看,地面温度的平均偏差和均方根误差在阴天和雨天时最低,均在0.5℃以内,在晴天和雾天相对较大,但也都在1℃以内。两组数据的相关系数在晴天、阴天、雨天都为1,雾天也达到了0.96,说明在不同天气条件下两组数据都表现出较好的相关性。从图2来看,晴天个例数最多,偏差幅度较大,在−1.5℃~3℃之间,偏差幅度在−1℃~1℃之间的个例占比77%,超过3/4。而阴天和雨天个例数较少,且偏差幅度大多在−1℃~1℃之间。雾天个例数最少,偏差幅度在0.4℃~1.4℃之间,仅有1个个例的偏差幅度超过了1℃。

Figure 1. Comparison of ground temperature under different weather conditions

1. 地面温度在不同天气条件下的对比

Figure 2. Ground temperature deviation case by case

2. 逐个个例的地面温度偏差

总体来说,在不同天气条件下,微波辐射计探测的地面温度与自动气象观测系统探测的温度都具有较高的相关性,微波辐射计探测的地面温度略高,但差值在1℃以内。说明雨天、雾天对微波辐射计探测的地面温度影响不大,微波辐射计在不同天气条件下探测的地面温度可以直接使用,不需要订正。

3.2. 地面相对湿度

图3来看,不同天气条件下,地面相对湿度的平均偏差都在−5%~−17%之间,均方根误差都在7%~17%之间。晴天和阴天时地面相对湿度的平均偏差的绝对值和均方根误差较小,都在10%以内,雨天和雾天时地面相对湿度的平均偏差的绝对值和均方根误差较大,都在10%以上。两组数据的相关系数,在不同天气条件下差距较大,晴天最高,达到0.95,阴天次之,但也在0.8以上。雨天的相关系数降低至0.2以下,雾天还出现了负相关,说明雨天和雾天,两组数据之间的差值较大,相关性很差。同样,也说明微波辐射计探测的地面相对湿度在雨天和雾天时误差较大。

Figure 3. Comparison of ground relative humidity under different weather conditions

3. 地面相对湿度在不同天气条件下的对比

Figure 4. Ground relative humidity deviation case by case

4. 逐个个例的地面相对湿度偏差

图4来看,在总共275个个例中,仅有3个个例的相对湿度偏差是正值,也就是说微波辐射计探测的地面相对湿度基本都是偏低的。在不同天气条件下,地面相对湿度的偏差幅度在阴天最小,晴天次之,雨天和雾天较大。

总体来说,在晴天和阴天时,微波辐射计探测的地面相对湿度与自动气象观测系统探测的相对湿度都具有较高的相关性,雨天和雾天相关性很差。微波辐射计探测的地面相对湿度偏低,晴天和阴天差值大致在5%~10%,雨天和雾天差值大致在10%~16%。微波辐射计探测的地面相对湿度需要进行订正。

4. 高空温湿度对比分析

4.1. 高空温度

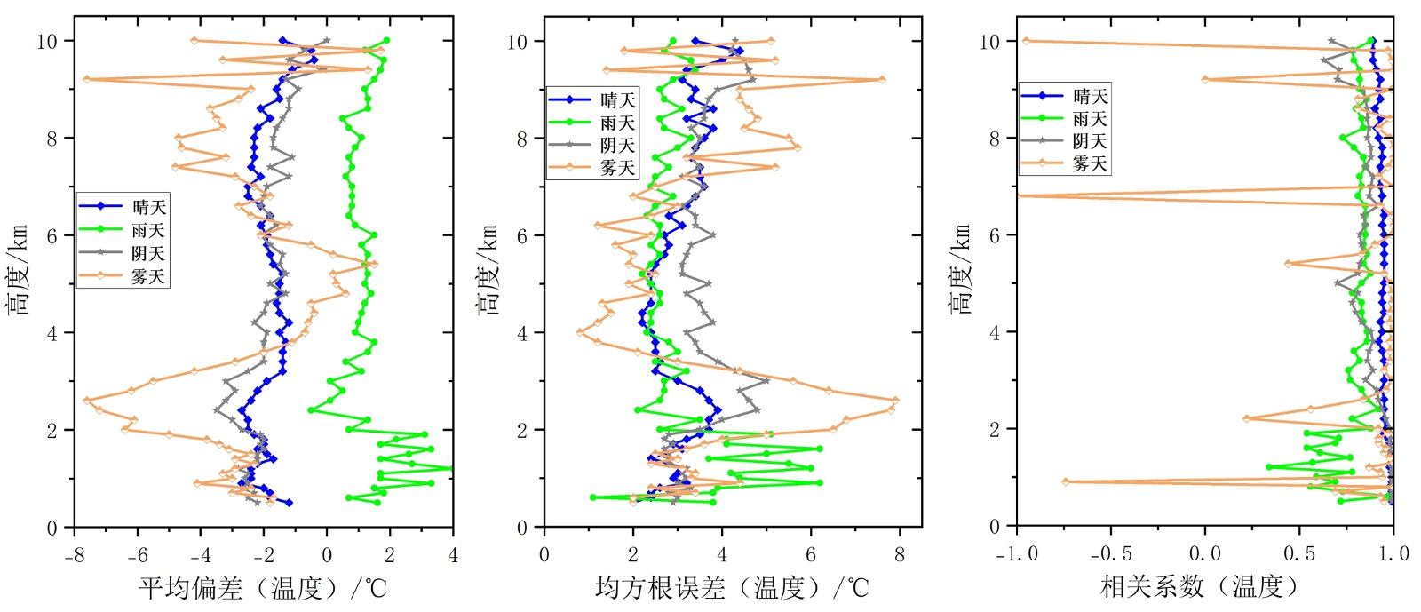
图5来看,在不同天气条件下,在各个高度层的平均偏差晴天和阴天明显低于雨天和雾天。晴天的温度平均偏差在−2.7℃~−0.4℃之间,阴天的温度平均偏差在−3.5℃~−0℃之间,都是负值,且晴天的平均偏差程度更小。说明在晴天和阴天条件下,微波辐射计探测的温度低于实际温度,这与雨天和雾天的情况有明显不同。雨天的温度平均偏差在0℃~3.3℃之间,且平均偏差大于2℃的区间基本都在2 km以下的边界层内,2 km以上高度基本都维持在1℃左右。因为数值都是正值,也说明微波辐射计探测的温度高于实际温度。对于雾天条件下的温度平均偏差波动幅度明显更大,在−7.6℃~1.7℃之间,在2.6 km和9.2 km附近有两个明显的峰值。从地面到高空,数值有正有负,但以负值为主,正值只在5 km和9.6 km附近出现,说明雾天微波辐射计探测的温度整体也是偏低的。

从温度的均方根误差来看,在晴天和阴天条件下,数值都是基本都是负值,所以均方根误差从地面到高空的变化规律和温度的平均偏差基本一致,只是数值的绝对值偏大一些,晴天条件下在2℃~4.4℃之间,阴天条件下在2.7℃~4.7℃之间,阴天的偏差略大,差距在1℃以内。对于雨天,数值都是基本都是正值,所以均方根误差从地面到高空的变化规律和温度的平均偏差也基本一致,数值在1.1℃~6.2℃之间,数值偏大,雨天条件下数值较大的区域主要集中在2 km以下高度,2 km以上高度的均方根误差值和晴天差距明显缩小。和雾天条件下的平均偏差类似,在2.6 km和9.2 km附近有两个明显的峰值。

从温度的相关系数来看,晴天条件下的相关系数都在0.9以上,阴天条件下的相关系数都在0.65以上,且9 km以下都在0.85以上,相关程度都较高。雨天条件下的相关系数都在0.55以上,低值主要出现在2 km以下,2 km以上都在0.75以上。对于雾天,相关系数从1跨越到接近−1,波动幅度较大。在边界层内,0.9 km高度相关系数达到−0.74,呈现出负相关,可能与雾顶部的逆温层有关。

Figure 5. Comparison of high-altitude temperatures

5. 高空温度对比

Table 2. Average temperature deviation (unit: ˚C)

2. 温度平均偏差(单位:℃)

晴天

阴天

雨天

雾天

0.5~2 km

−2.1

−2.4

2.1

−3.2

2~5 km

−1.7

−2.4

0.9

−2.9

5~8 km

−2.1

−1.7

1

−2.1

8~10 km

−1.4

−1

1.3

−2.8

平均值

−1.9

−1.9

1.3

−2.8

Table 3. Temperature root mean square error (unit: ˚C)

3. 温度均方根误差(单位:℃)

晴天

阴天

雨天

雾天

0.5~2 km

2.9

3

4.4

3.4

2~5 km

2.8

3.9

2.7

3.6

5~8 km

3.1

3.3

2.6

3

8~10 km

3.6

4

2.9

4.4

平均值

3

3.5

3.2

3.5

把高度层统一为0~2 km (边界层)、2~5 km (对流层中层)、5~8 km (对流层中上层)、8~10 km (对流层顶)四个高度层,如表2表3所示。从平均值来看,晴天、阴天、雨天差距不大,差值都在1℃以内,阴天主要在2~5 km高度的偏差较大,这与阴天时云层的高度大体对应,雨天主要在2 km以下高度的偏差较大,与降水云层高度也大体对应。对于雾天,虽然在在2.6 km和9.2 km附近有两个峰值,但是在4-6 km数值比较小,所以均方根误差平均值也不算大。雾天时大气温度普遍较低,近地面都在10℃以内,均方根误差最大能达到8℃,偏差值和大气本身温度相当,再加上雾天个例数较少,所以雾天的偏差分析意义不大。

总体来看,晴天时平均偏差绝对值和均方根误差最小,其次是阴天,然后是雨天,三者差距不大。晴天、阴天、雨天的相关系数比雾天明显偏高,雾天的平均偏差、均方根误差和相关系数在各个高度层波动最大。晴天和阴天的平均偏差大致在−2℃左右,雨天的平均偏差大致在2℃左右,三者的均方根误差大致都在3℃~4℃左右。说明满天云和降水对微波辐射计对温度的探测精度影响不大。

4.2. 高空相对湿度

图6来看,对于相对湿度的平均偏差,晴天的偏差值在−9.8%~8.7%之间,阴天的偏差值在−14.6%~8.1%之间,雨天的偏差值在−10.9%~4.7%之间,雾天的偏差值在−16.1%~28%之间,雾天的偏差范围明显偏大。晴天和阴天自地面到高空的偏差值在负值和正值之间来回摆动,在2~4 km和8~10 km高度,阴天的偏差值比晴天更大,但差值都在5%以内,其他高度两者偏差值基本相当。2~4 km高度出现的较大差值可能与阴天时2~4 km出现较厚的云层有关,而8~10 km高度出现的较大差值可能与上层大气本身相对湿度较低有关。雨天的偏差幅度相对于晴天和阴天表现得更低,大多都在−10%~0%附近摆动,负值明显居多,说明雨天时微波辐射计探测的相对湿度比实际偏低。雾天在1 km以上高度的偏差范围过大,且来回跳跃,参考性意义不大。在1 km以下,也就是大雾可能达到的最大高度范围以内,偏差值大体在−15%~5%之间。

Figure 6. Comparison of relative humidity at high altitude

6. 高空相对湿度对比

从相对湿度的均方根误差来看,晴天条件下在8.5%~21.4%之间,阴天条件下在9.8%~25.1%之间,阴天的偏差略大,差距在5%以内。对于雨天,均方根误差在2.6%~23.5%之间,但在5 km以下高度数值明显偏低,都在10%附近,而在5 km以上高度,都在20%附近。雾天条件下的均方根误差值分布和平均偏差类似。

从相对湿度的相关系数来看,晴天条件下8 km以下高度的相关系数都在0.6以上,8~10 km在0.3~0.6之间,相关性较低。阴天在1 km以下,相关系数明显低于晴天,1 km以上略大于晴天。雨天条件下的相关系数相比于晴天和阴天,明显偏低,特别是在3 km以下,差值很大,最低时已经达到了负相关。对于雾天,相关系数从1跨越到接近−1,波动幅度过大。

Table 4. Average deviation of relative humidity (unit: %)

4. 相对湿度平均偏差(单位:%)

晴天

阴天

雨天

雾天

0.5~2 km

−1

1

−4

−4

2~5 km

−3

−5

−4

12

5~8 km

6

5

0

8

8~10 km

7

3

−4

11

平均值

2

1

−3

6

Table 5. Relative humidity root mean square error (unit: %)

5. 相对湿度均方根误差(单位:%)

晴天

阴天

雨天

雾天

0.5~2 km

12

12

7

11

2~5 km

19

21

9

20

5~8 km

18

20

19

24

8~10 km

19

22

20

17

平均值

17

18

13

18

把高度层统一为0~2 km (边界层)、2~5 km (对流层中层)、5~8 km (对流层中上层)、8~10 km (对流层顶)四个高度层,如表4表5所示。从平均值来看,晴天、阴天差距很小。雨天在5 km以下高度的均方根误差比晴天和阴天都低,5 km以上的均方根误差与晴天和阴天齐平。雾天时平均偏差在各个高度层明显偏大,但均方根误差在0.5~2 km高度和8~10 km高度较低,导致均方根误差平均值并不高。

总体来看,晴天、阴天、雨天时相对湿度平均偏差和均方根误差都比较接近,平均偏差大致在-10%~10%之间,均方根误差大致在5%~15%之间,相关系数也大致维持在0.6以上。说明满天云和降水对微波辐射计对相关湿度的探测精度影响不大。雾天相对湿度的平均偏差、均方根误差和相关系数在各个高度层波动较大,平均偏差大致在−15%~25%之间,均方根误差大致在5%~35%之间。

5. 结论

利用沙坪坝站探空资料、自动气象观测系统资料作为参考标准,对重庆江北国际机场微波辐射计探测的2023年温湿度数据在不同天气条件下进行了探测精度分析。结论如下:

(1) 在不同天气条件下,微波辐射计探测的地面温度与自动气象观测系统探测的温度都具有较高的相关性,微波辐射计探测的地面温度略高,但差值在1℃以内。说明雨天、雾天对微波辐射计探测的地面温度影响不大。

(2) 在晴天和阴天时,微波辐射计探测的地面相对湿度与自动气象观测系统探测的相对湿度都具有较高的相关性,雨天和雾天相关性很差。微波辐射计探测的地面相对湿度偏低,晴天和阴天差值大致在5%~10%,雨天和雾天差值大致在10%~16%。

(3) 微波辐射计探测的高空温度,晴天和阴天的平均偏差大致在−2℃左右,雨天的平均偏差大致在2℃左右,三者的均方根误差大致都在3℃~4℃左右。雾天的平均偏差、均方根误差和相关系数在各个高度层波动较大,可参考性不大。

(4) 微波辐射计探测的高空相对湿度,晴天、阴天、雨天时相对湿度平均偏差和均方根误差都比较接近,平均偏差大致在−10%~10%之间,均方根误差大致在5%~15%之间,相关系数也大致维持在0.6以上。说明满天云和降水对微波辐射计对相关湿度的探测精度影响不大。雾天相对湿度的平均偏差、均方根误差和相关系数在各个高度层波动较大。

参考文献

[1] 郭丽君, 郭学良. 利用地基多通道微波辐射计遥感反演华北持续性大雾天气温、湿度廓线的检验研究[J]. 气象学报, 2015, 73(2): 368-381.
[2] 王小兰, 王建凯, 李炬. 地基多通道微波辐射计反演大气温、湿廓线的试验研究[J]. 气象水文海洋仪器, 2012, 29(4): 1-6.
[3] 黄治勇, 徐桂荣, 王晓芳, 等. 地基微波辐射资料在短时暴雨潜势预报中的应用[J]. 应用气象学报, 2013, 24(5): 576-584.
[4] 王志诚, 张雪芬, 茆佳佳, 等. 地基遥感大气温湿风垂直廓线观测方法综述[J]. 气象水文海洋仪器, 2018, 35(2): 109-116.
[5] 徐桂荣, 张文刚, 万霞, 等. 地基微波辐射计反演的青藏高原东侧甘孜大气温湿廓线分析[J]. 暴雨灾害, 2019, 38(3): 238-248.
[6] 王志诚. 多型号地基微波辐射计温湿廓线产品比对分析[C]//中国气象学会. 第34届中国气象学会年会S8观测推动城市气象发展——第六届城市气象论坛论文集. 北京: 中国气象局气象探测中心, 2017: 342-348.
[7] 周永水, 原野, 杨林, 等. 晴空时微波辐射计温度廓线反演误差分析[J]. 暴雨灾害, 2022, 41(6): 720-726.