基于消费者效用的临期产品捆绑销售策略研究
Research on Bundling Sale Strategies for Near-Expiry Products Based on Consumer Utility
DOI: 10.12677/ecl.2025.14124585, PDF, HTML, XML,    国家自然科学基金支持
作者: 王 琦:上海理工大学管理学院,上海;潘 飞*:上海理工大学管理学院,上海;上海理工大学智慧应急管理学院,上海
关键词: 临期产品捆绑销售消费者效用参考价格效应Near-Expiry Products Bundling Sale Consumer Utility Reference Price Effect
摘要: 在零售市场中,临期产品因消费者接受度低而面临滞销与利润下降的困境。为促进销售,零售商常采取捆绑策略,但不同捆绑模式在消费者心理预期作用下的效果缺乏系统研究。文章以零售商销售新产品和临期产品供应链为研究对象,考虑受参考价格效应影响,将消费者心理比较纳入效用函数,分别构建新产品与临期产品纯捆绑销售、新产品与捆绑产品混合捆绑销售、临期产品与捆绑产品混合捆绑销售的3种销售策略,分析临期产品成本参数、参考价格效应、消费者对临期产品的接受程度对供应链利润与最优销售策略的影响。结果显示,零售商的利润与参考价格效应的影响程度为正相关;大部分情况下,纯捆绑策略利润最低,临期产品混合捆绑策略利润最大;新产品混合捆绑策略适用于低成本、低价格敏感市场,而临期产品混合捆绑策略在高价格敏感市场表现更优。
Abstract: In the retail market, near-expiry products often face sluggish sales and declining profits due to low consumer acceptance. To promote sales, retailers commonly adopt bundling strategies; however, the effects of different bundling modes under consumers’ psychological expectations have not been systematically examined. This paper takes a retail supply chain involving new products and near-expiry products as the research object. Considering the impact of reference price effects, consumers’ psychological comparison is incorporated into the utility function. Three sales strategies are constructed respectively: pure bundling of new and near-expiry products, mixed bundling of new products and the bundle, and mixed bundling of near-expiry products and the bundle. The study analyzes how the cost parameter of near-expiry products, the reference price effect, and consumers’ acceptance of near-expiry products influence supply chain profit and the optimal sales strategy. The results show that the retailer’s profit is positively correlated with the intensity of the reference price effect. In most cases, the pure bundling strategy yields the lowest profit, while the mixed bundling strategy involving near-expiry products achieves the highest profit. Moreover, the mixed bundling strategy with new products is more suitable for low-cost and low price-sensitivity markets, whereas the mixed bundling strategy with near-expiry products performs better in highly price-sensitive markets.
文章引用:王琦, 潘飞. 基于消费者效用的临期产品捆绑销售策略研究[J]. 电子商务评论, 2025, 14(12): 6078-6089. https://doi.org/10.12677/ecl.2025.14124585

1. 引言

本临期产品,是指即将到达产品保质期,但仍处于保质期内可以进行安全使用的产品,一般包括临期食品、临期日用品、临期化妆品等产品[1]。对于临期产品,国家市场监督管理总局出台了相关的界定标准及规定,符合标准的产品属于安全产品,保质期内使用是对人的身体健康没有消极影响的。联合国粮农组织的报告数据表明,全球范围内每年大约有高达13亿吨的食物被丢弃,约占全年生产量的1/3,这些被丢弃的食物除部分人为浪费外,还有大量是因过期禁止上市造成的[2]

过去,消费者普遍以偏见的眼光看待临期产品,认为其质量较差。随着消费理念的更新,人们愈发关注消费的必要性与可持续性,性价比逐渐成为主要的消费导向。尽管临期产品市场潜力巨大,但其生命周期短、需求波动性强等特征,限制了其在市场中的销售周期。一旦超过销售期仍未售出,产品残值将大幅下降,不仅削弱零售商利润,还可能带来额外的处理成本与损耗风险。因此,如何在有限期限内实现临期产品的高效销售,成为零售商面临的重要挑战。

目前,零售商在处理临期产品时主要采用两类销售策略:一是对临期产品进行价格折扣以刺激需求;二是将其与新产品进行捆绑销售。捆绑销售作为一种常见的营销策略,旨在通过产品组合实现销售量与利润的双提升。不同的销售策略不仅影响消费者的购买决策,还直接关系到零售商的利润水平。与此同时,临期产品相较于新产品具有显著的价格优势,而消费者的历史价格认知往往会影响其购买行为。在实际生活中,消费者在决策时不仅关注商品的现行价格,还会参考其以往价格,尤其是新产品的定价水平,这种心理基准被称为参考价格。相关研究表明,参考价格在消费者心理中起到对比标杆的作用,通过凸显当前价格的优惠性,使消费者感知额外的购买收益,从而提高购买意愿[3]。因此,在研究临期产品销售策略时,纳入参考价格效应的影响具有重要意义。

与本文相关的研究文献主要集中在供应链的捆绑销售和参考价格两方面。

在供应链管理研究中,捆绑销售一直是学者们关注的重要议题。早期研究主要聚焦于互补产品的捆绑销售问题[4],重点比较了不同捆绑策略对供应链定价与利润分配的影响[5]。从捆绑动因角度来看,产品通常因三类目的而被捆绑:价格歧视[6]、竞争优势[7]以及成本节约[8]。在不同主体实施捆绑销售策略的研究中,CAO等[9]探讨了制造商与零售商在采用捆绑销售时的最优定价差异,并指出生产成本是企业选择不同销售模式的核心驱动因素。潘林等[10]构建了由两个制造商和一个零售商组成的供应链,从零售商主导决策的角度分析捆绑实施条件,发现当由零售商决定是否进行捆绑时,渠道成员之间的利润协调与销售模式选择存在显著差异。

现有文献中关于参考价格效应的研究主要集中在动态定价和促销策略等方面。Prakash等[11]认为动态定价不仅有助于削弱不利的参考价格效应,还能使消费者在价格波动中获得一定收益。唐瑄等[12]将参考价格效应和网络效应同时考虑来探究新产品的定价策略。汪旭晖等[13]从消费者的从众效应与参考价格心理出发,研究了在不同声誉水平的平台企业之间竞争时的预售定价策略。总体来看,现有关于参考价格效应的研究多将其直接体现在需求函数中,以描述价格变动对需求的影响,而本文将参考价格效应纳入消费者效用函数,并将参考价格视为消费者依据当前价格与历史价格形成的心理期望值。

基于此,本研究将参考价格效应引入消费者效用函数,分别构建包含新产品、临期产品与捆绑产品的需求模型。在此基础上,研究分析三类捆绑销售模式:纯捆绑销售策略、新产品与捆绑产品并存的混合捆绑策略,以及临期产品与捆绑产品并存的混合捆绑策略。通过对比不同策略下的最优定价与利润表现,比较不同捆绑模式在多种市场情境下的适用性差异,为零售商制定差异化的临期产品销售策略提供理论依据与实践指导。

2. 问题描述与基本假设

2.1. 问题描述

本文考虑一个由零售商主导的销售系统,产品分为两类:新产品与临期产品。两者在功能上相同,但由于临期产品接近保质期,消费者对其认知存在折扣,导致市场接受度较低。零售商需同时销售这两类产品,面临库存处理与利润最大化的双重目标。在销售策略上,零售商可选择两种捆绑销售方式:纯捆绑销售(Pure Bundling)和混合捆绑销售(Mixed Bundling)。在纯捆绑销售策略下,市场上仅提供新产品与临期产品以1:1比例组合的捆绑产品,消费者无法单独购买任一产品。该策略通过限制选择,引导消费者接受临期产品,从而加快其去化速度。在混合捆绑销售策略下,零售商可根据具体需求选择两种模式之一:其一是新产品与捆绑产品共存,即市场上同时销售新产品和捆绑产品;其二是临期产品与捆绑产品共存,即同时销售临期产品和捆绑产品。这两种混合方式在保留消费者选择权的同时,也赋予零售商更大的定价灵活性,用以调整销售结构并引导不同偏好的消费者做出选择。

为了刻画消费者对产品的不同评价,本文引入一个价值差异参数 δ( 0<δ<1 ) ,用于衡量消费者对临期产品的接受程度。消费者对新产品的估值为 v ,对临期产品的估值为 δv δ 值越小,代表消费者对临期产品的接受度越低,临期产品的市场吸引力也越弱。这一设定反映了现实中临期产品因时间敏感性带来的感知价值折扣。下面将本文用到的符号加以汇总,如表1所示。

Table 1. Notation and parameter definitions

1. 相关参数及符号说明

相关参数

说明

p i

产品 i 的市场价格

q i

产品 i 的市场需求

c

产品的单位成本

ρ

临期产品的单位成本剩余率, 0<ρ<1

δ

消费者对临期产品的接受程度, 0<δ<1

λ

消费者效用受参考价格效应的影响因子, 0<λ<1

U i

消费者购买产品 i 所获的效用

j

零售商在 j 策略下所获的利润

下标 i

i{ n,l,b,bn,bl } 分别表示新产品、临期产品和三种策略下的捆绑产品

下标 j

j{ bn,bl,b } 分别表示新产品混合捆绑策略、临期产品混合捆绑策略和纯捆绑策略

2.2. 基本假设

本研究基本假设如下:

(1) 为了方便讨论,假设市场规模标准化为1。市场中的消费者都是理性的,会依据自身效用最大化来做出购买决策。

(2) 市场中的捆绑产品全部是按照1:1的比例将新产品和临期产品进行组合,捆绑后视为一件产品,在占便宜和贪婪心理的共同作用下,消费者会对原本不需要的低价产品进行额外消费。

(3) 假设市场为静态一次博弈,零售商为单一决策者,掌握完整的消费者分布信息。零售商先设置价格策略,消费者再据此选择购买行为。市场不存在库存限制,每类产品可供应任意数量。

(4) 新产品和临期产品属于同一类产品,但由于临期产品接近保质期,因此其所蕴含的价值相应降低,通过产品成本可以较为直观地体现产品的价值。单位成本 c 包括产品的生产、存储、管理等, ρc 表示临期产品单位剩余价值,通过 ρ 来体现临期产品的成本优势, ρ 越大成本优势越低,反之则越高。本研究不考虑 ρ=0 ρ=1 这两种极端情况。

3. 模型构建与比较

为分析不同销售策略下零售商的利润表现,本文构建消费者效用模型,并结合三种捆绑销售策略推导相应的需求函数与最优定价方案,进而进行横向比较。

3.1. 纯捆绑销售策略

在纯捆绑销售情形下,市场中仅销售由新产品与临期产品以1:1比例组合而成的捆绑产品。消费者对新产品的估值为 v ,对临期产品的估值为 δv ,因此对捆绑产品的总估值为 ( 1+δ )v 。消费者获得的净效用为:

U b =( 1+δ )v p b (1)

v b = p b 1+δ 表示消费者购买捆绑产品的临界估值,估值在此以上的消费者才愿意购买。因此捆绑产品的需求函数为:

q b =1 p b 1+δ (2)

捆绑产品的单位成本为新产品与临期产品成本之和,即 ( 1+ρ )c 。零售商利润函数为:

b =[ p b ( 1+ρ )c ] q b (3)

零售商在此策略下的决策过程为:首先,对式(3)中的利润函数 π b 关于价格 p b 求偏导,并令其等于零: π b / p b =0 ,可求得最优零售价格 p b * ,将其代入式(2)和式(3),即可求出最优需求量 q b * 和零售商最优利润 b * ,详细结果如表2所示。

Table 2. Equilibrium outcomes under pure bundling strategy

2. 纯捆绑销售策略下的均衡结果

p b *

q b *

b *

1+δ+c( 1+ρ ) 2

1+δc( 1+ρ ) 2( 1+δ )

[ c( 1+ρ )( 1+δ ) ] 2 4( 1+δ )

3.2. 新产品与捆绑产品混合捆绑销售策略

在该策略中,零售商同时销售新产品和捆绑产品,消费者在两者中选择具有更高效用者进行购买。消费者购买新产品和捆绑产品获得的效用分别为:

U b =v p n (4)

U bn =( 1+δ )v p b +λ( p b p n ) (5)

其中 λ 表示参考价格效应系数,反映消费者对捆绑产品“相对价格优惠”的敏感程度。设购买新产品的临界估值为 v n = p n ,购买捆绑产品的临界估值为 v b1 = ( 1λ ) p b +λ p n 1+δ 。本研究只讨论市场中同时存在新产品和临期产品的情况,即 v n < v b1 ,此时消费者对购买新产品和捆绑产品估值无差别的临界条件为 v bn = ( 1λ )( p b p n ) δ

U n >max( U bn ,0 ) 时,消费者对产品估值满足 v n <v< v bn ,消费者选择购买新产品;当 U bn >max( U n ,0 ) 时,消费者对产品估值满足 v bn <v<1 ,消费者选择购买捆绑产品。因此,新产品与捆绑产品的需求函数分别为:

q n = ( 1λ )( p b p n ) δ p n (6)

q bn =1 ( 1λ )( p b p n ) δ (7)

零售商利润函数为:

bn =( p n c ) q n +[ p b ( 1+ρ )c ] q bn (8)

通过逆向归纳法进行求解,零售商在此策略下的决策过程为:首先,由于 2 π bn p n 2 =2( 1 δ +1 )<0 2 π bn p n 2 2 π bn p bn 2 ( 2 π bn p n p bn ) 2 = 4 δ >0 ,可得利润函数 π bn 关于价格向量 ( p bn , p n ) 是严格凹函数,因此存在唯一的最优解。

联立一阶条件 π bn p bn =0 π bn p n =0 ,可求得最优价格 p bn * p n * ,将其代入式(6)、式(7)和式(8),即可求出最优需求量 q bn * q n * 和零售商最优利润 Π bn * ,详细结果如表3所示。

Table 3. Equilibrium outcomes under pure new-product mixed bundling strategy

3. 新产品混合捆绑销售策略下的均衡结果

p n *

p bn *

q n *

q bn *

bn *

c+1 2

( 1λ )( c+cρ+1 )+δ 2( 1λ )

c( ρδλρ ) 2δ

δ+cρ( λ1 ) 2δ

δ( λ1 ) ( c1 ) 2 +( 2cρcλρδ )( cρλ+δ ) c 2 ρ 2 4δ( λ1 )

命题1 当新产品与捆绑产品混合销售时,关键因素与最优解之间的关系为:

P bn * λ >0, q n * λ <0, q bn * λ >0 P bn * ρ >0, q n * ρ >0, q bn * ρ <0, π bn * ρ <0

由命题1可知,在混合捆绑销售新产品与捆绑产品的策略下,消费者价格敏感度因子的增加会推高捆绑产品的最优价格,同时抑制新产品的需求量从而提升捆绑产品的需求量。临期产品单位成本剩余率的增加会推高新产品的最优价格,促进新产品的销售但抑制捆绑产品的销售。这表明,当临期产品的成本优势较低且消费者对捆绑产品的价格优势感知较弱时,消费者倾向于单独购买新产品,可能削弱该混合捆绑策略的吸引力。然而,若消费者对价格差异高度敏感,该策略仍能通过捆绑产品的相对价格优势刺激需求,实现利润优化。因此,该策略的有效性取决于临期产品成本剩余率与消费者价格敏感度之间的交互作用。

3.3. 临期产品与捆绑产品混合捆绑销售策略

该策略下,零售商提供临期产品与捆绑产品供消费者选择。消费者购买新产品和捆绑产品获得的效用分别为:

U l =δv p l (9)

U bl =( 1+δ )v p b +λ( p b p l ) (10)

设购买临期产品的临界估值为 v l = p l δ ,购买捆绑产品的临界估值为 v b2 = p b λ( p b p l ) 1+δ 。同样地,本研究只讨论市场中同时存在新产品和临期产品的情况,即 v l < v b2 ,此时消费者对购买新产品和捆绑产品估值无差别的临界条件为 v bl =( 1λ )( p b p l )

U l >max( U bl ,0 ) 时,消费者对产品估值满足 v l <v< v bl ,消费者选择购买临期产品;当 U bl >max( U l ,0 ) 时,消费者对产品估值满足 v bl <v<1 ,消费者选择购买捆绑产品。因此,临期产品与捆绑产品的需求函数分别为:

q l =( 1λ )( p b p l ) p l δ (11)

q bl =1( 1λ )( p b p l ) (12)

零售商利润函数为:

Π bl =( p l ρc ) q l +[ p b ( 1+ρ )c ] q bl (13)

同样通过逆向归纳法进行求解,此处决策过程类似于上文3.2,此处略。详细结果如表4所示。

命题2 当临期产品与捆绑产品混合销售时,关键因素与最优解之间的关系为:

P bl * λ <0, q l * λ <0, q bl * λ >0 P l * ρ >0, P bl * ρ >0, q l * ρ <0, π bl * λ >0

由命题2可知,在混合捆绑销售临期产品与捆绑产品的策略下,消费者价格敏感度因子的增加会降低临期产品的最优价格和需求量,但会提升捆绑产品的需求量。临期产品单位成本剩余率的增加会推高捆绑产品的最优价格,抑制临期产品的销售而促进捆绑产品的销售。这意味着,当零售商直接销售临期产品时,其成本劣势会直接削弱临期产品的竞争力,导致其销量和利润空间下降。同时,消费者对价格差异的敏感度至关重要:较高的 λ 要求捆绑产品采取更具竞争力的定价以维持吸引力;若定价未能及时响应,临期产品的需求量和整体利润将进一步承压。该策略对临期产品的成本变化尤为敏感。

Table 4. Equilibrium outcomes under mixed bundling strategy for near-expiry products

4. 临期产品混合捆绑销售策略下的均衡结果

p l *

p bl *

q l *

q bl *

bl *

δ+cρ 2

( 1λ )( c+cρ+δ )+1 2( 1λ )

c( δδλρ ) 2δ

c( λ1 )+1 2

[ ( cρδ ) 2 cδ( cλc+2 ) ][ λ1 ]δ 4δ( λ1 )

命题3 (i) 若 1+ c 2 ( λ1 )<δ<1 ,当 0<ρ< δ( 1 c 2 δ+ c 2 λ ) c 2 ( λ1 ) 时,零售商将采用新产品与捆绑产品混合捆绑销售模式。(ii) 若 δ> ρ 2 c 2 > δ δ 2 δ ρ 2 ,当 c 2 ( δ ρ 2 )+ δ 2 δ c 2 ( δ ρ 2 ) <λ<1 时,零售商将采用临期产品与捆绑产品混合捆绑销售模式。

命题3表明,当临期产品的接受程度较高、成本优势相对有限且单位成本剩余率 ρ 较低时,新产品与捆绑产品的混合捆绑销售策略更为优越。在这一情形下,捆绑产品通过价格吸引力提升市场竞争力,而新产品的存在保留了高估值消费者的选择空间,从而实现销量与利润的双重优化。其次,当临期产品的成本优势明显,并且产品成本结构满足一定条件,若消费者对参考价格足够敏感(即 λ 处于较高区间),则零售商更应采用临期产品与捆绑产品混合销售策略。在此情况下,捆绑产品可凭借价格优势弥补临期产品在品质感知上的劣势,从而激发市场需求,实现库存去化与利润提升的双重目标。

命题4 ( δρ ) 2 ( 1+δ ) ρ 2 <λ<1 ,当 0<c< c 1 时,零售商将采用新产品与捆绑产品混合捆绑销售策略;当 c 1 <c<1 时,零售商将采用纯捆绑销售策略。其中, c 1 = δ 2 λ( 1+δ ) ( 1λ )[ ( δρ ) 2 ( δ+1 ) ρ 2 λ ]

命题4表明,当单位成本低于临界值 c 1 ,且参考价格敏感度足够大、临期产品接受度不太低时,零售商应采用新产品与捆绑产品共存的混合销售策略。此时,捆绑产品具有较强的价格吸引力,而新产品的存在又能保留高价值消费者,二者互为补充,有利于提升整体利润。反之,当单位成本超过临界值,在当前 δ λ 的组合下,零售商更应采用纯捆绑销售策略。原因在于高成本削弱了分开销售的价格区间优势,统一捆绑销售更有助于控制定价结构,且通过“捆绑强制消费”方式拉动临期产品销售。

4. 数值分析

根据第3节计算的均衡结果,本节将进一步通过数值模拟方法直观地验证其所得结论,以期揭示更多的管理启示。下文各图中BN表示新产品与捆绑产品混合捆绑销售策略,BL表示临期产品与捆绑产品混合捆绑销售策略,BD表示纯捆绑销售策略。

4.1. 关键因素对捆绑产品需求的影响

假设 c=0.6 δ=0.4 λ=0.4 ,令 ρ 在区间 [ 0,1 ] 范围内变化,探讨在不同的临期产品单位成本剩余率 ρ 取值下,其对三种捆绑策略下捆绑产品需求的影响情况,具体结果如图1所示。

Figure 1. The impact of ρ on bundling demand

1. ρ对捆绑产品需求的影响

图1中可以看出,BN策略的需求随着 ρ 增加明显下降,并在高 ρ 区间趋近最低值,说明该策略对临期产品成本高度敏感;而BD策略的需求始终最低,且随 ρ 的增加呈缓慢下降趋势,反映了纯捆绑销售缺乏价格灵活性,市场拉动能力有限。在低 ρ 区间,BN策略的需求最高,其次为BL,BD最低。这表明在临期产品成本优势显著时,通过将其与新产品进行混合捆绑,可利用价格差异和产品价值锚定效应激发更多消费者购买意愿。而随着 ρ 上升,BN的需求迅速下降并低于BL,说明当临期产品成本优势减弱时,高成本的新产品在捆绑中的存在反而限制了需求扩展;相较之下,BL策略的需求更稳健,不受临期品成本波动影响,在高 ρ 情境下具备更强的市场适应性。BD策略在全区间需求最低,但由于下降幅度较小,可作为维持最低销量的保底方案。

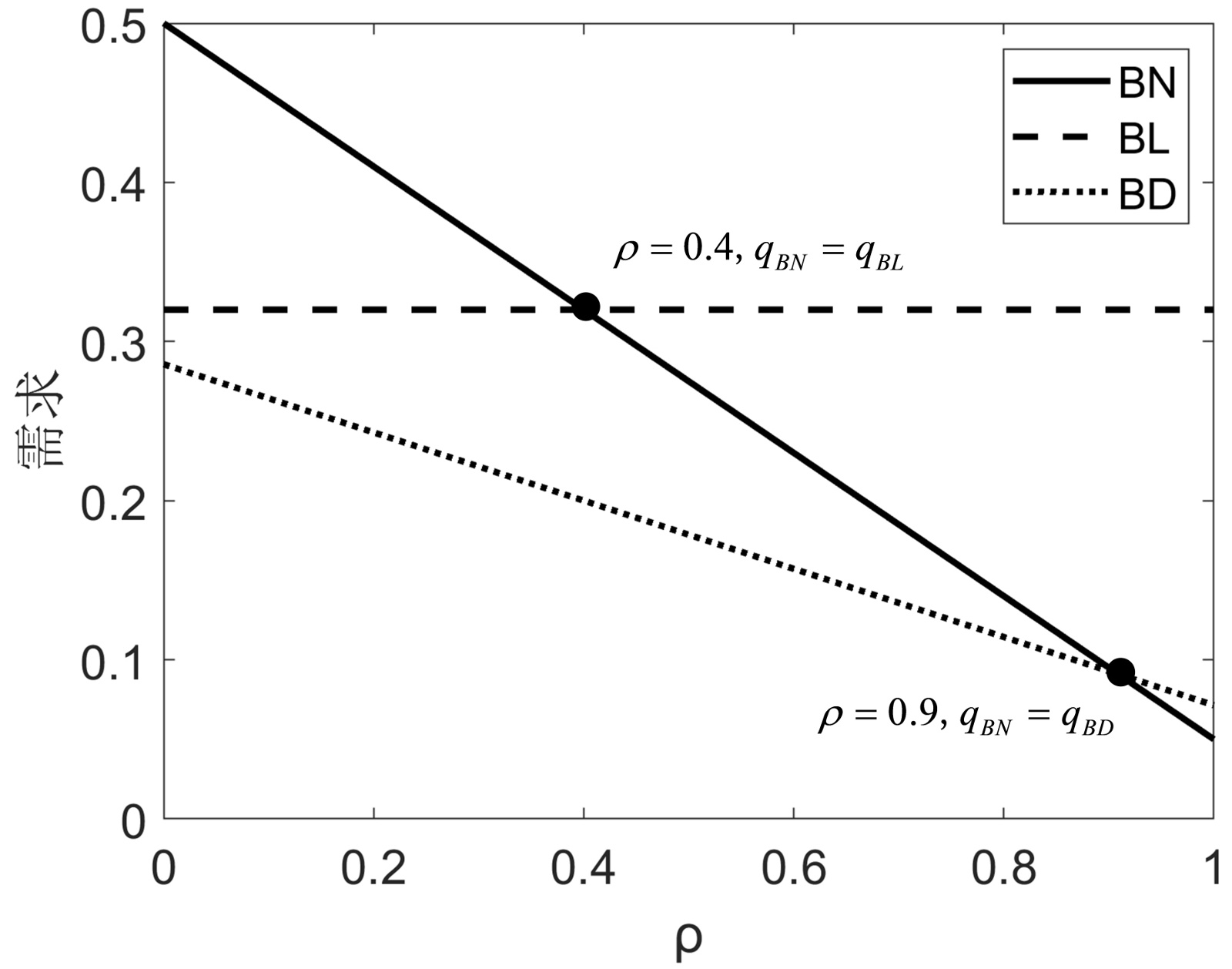
4.2. 关键因素对零售商利润影响

(1) 当参数设定为 c=1 δ=0.3 λ=0.8 时,三种捆绑销售策略下零售商利润随临期产品单位成本剩余率 ρ 的变化趋势如图2所示。

Figure 2. The impact of ρ on retailer profit

2. ρ对零售商利润的影响

图2可以看出,BN和BD两条曲线在高 ρ 区间存在交点,表明当临期产品成本过高时,纯捆绑策略的保底作用使其利润反超BN,而BN在高成本环境下已难以维持优势。BN适用于低 ρ 场景以追求短期利润最大化,BL在全区间具有最优或次优表现且在高 ρ 时最优,BD仅在高 ρ 区间提供保底作用。

(2) 当参数设定为 c=0.6 ρ=0.2 λ=0.5 时,不同的消费者对临期产品接受程度 δ 对三种销售策略中零售商利润的影响如图3所示。

Figure 3. The impact of δ on retailer profit

3. δ对零售商利润的影响

图3可以看出,随着 δ 的增大,三种策略的利润均呈现上升趋势,但表现出明显的阶段性差异。当 δ 较低时,BL策略显著优于BN与BD,这说明在消费者对临期产品接受程度较低的情况下,通过将临期产品与捆绑产品组合销售,可有效降低其感知风险,增强产品吸引力,从而提高利润。但随着 δ 持续上升并超过某一阈值后,BN策略的利润逐渐超过BL策略,成为更优选择。这是因为此时消费者对临期产品接受度提高,其在捆绑产品中的负面折扣效应减弱,使得捆绑组合与新产品本身的效用差距缩小。

Figure 4. The impact of λ on retailer profit

4. λ对零售商利润的影响

(3) 当参数设定为 c=0.6 δ=0.9 ρ=0.2 时,两种混合捆绑销售策略下零售商利润随消费者参考价格敏感度 λ 的变化趋势如图4所示。

图4中可以看出,当 λ 较小时,BN策略的利润高于BL,说明在参考价格敏感度较低至中等的市场中,通过提供新产品与捆绑产品组合,能够更好满足高估值消费者和部分价格敏感消费者,从而实现利润最大化;当 λ 较大时,BL策略的利润逐渐超过BN并保持领先,表明在高价格敏感市场中,临期产品与捆绑产品组合更能利用消费者价格占优的心理,从参考价格效应中获取额外利润。

4.3. 市场参数变化对最优策略影响

(1) 为探讨销售策略在不同成本结构与消费者行为参数下的利润表现,假设 ρ=0.7 δ=0.8 ,横轴为产品的单位成本 c ,纵轴为参考价格的敏感度参数 λ ,具体结果如图5所示。

Figure 5. The impact of c and λ on the optimal strategy

5. cλ对最优策略的影响

图5中可以看出,在低成本区间以及消费者价格敏感度较高时,混合捆绑策略的利润更高。因为低成本能够带来更大的价格操作空间,而高价格敏感度的消费者更容易受到捆绑产品相对价格优势的吸引。混合策略在此情境下能够兼顾不同类型消费者的偏好:对价格敏感的消费者被引导至捆绑产品,而高估值消费者则仍选择新产品,从而实现利润最大化。

随着产品成本的上升,尤其当成本超过某一临界值后,纯捆绑策略带来的利润更高。因为高成本抬高了混合销售中两类产品的定价门槛,导致价格吸引力下降,同时捆绑销售带来的搭售效应变弱。相比之下,统一采用纯捆绑策略有助于通过控制捆绑定价、弱化产品之间的差异化认知,从而提升消费者接受度并减少选择分流,有利于稳定利润。

(2) 为进一步探讨两种混合捆绑销售策略在不同市场参数组合下的适用情境,图6展示了在 c=0.7 δ=0.7 的条件下, ρ λ 组合对混合捆绑策略选择的影响。

图6中可以观察到,在临期产品单位成本剩余率 ρ 较低、消费者参考价格敏感度 λ 较低的左下区域,BN策略的利润高于BL策略。这表明,在临期产品成本优势明显且消费者对参考价格不够敏感的市场中,零售商通过提供新产品与捆绑产品并存的混合捆绑策略更能实现利润最大化。随着 λ ρ 的提高,利润优势逐渐由BN转向BL,尤其当消费者价格敏感度较高或临期品成本提升时,BL策略通过强化临期品价格差异与参考价格效应,能够吸引更多价格敏感型消费者,从而在利润表现上超过BN策略。

Figure 6. The impact of ρ and λ on the optimal mixed-bundling strategy

6. ρλ对最优混合捆绑策略的影响

该图体现了混合捆绑策略的本质权衡:BN策略更依赖新产品溢价与基础利润,而BL策略更依赖参考价格效应与价格差异驱动。零售商应在实际运营中根据市场调研确定自身所处区域:若处于低成本、低敏感市场,可选择BN策略以发挥高溢价优势;若面向高敏感或成本上升市场,则切换至BL策略以提升价格吸引力和利润稳定性。

5. 结语

本文基于消费者效用理论,将参考价格效应引入临期产品捆绑销售研究,构建了纯捆绑销售、新品混合捆绑销售和临期品混合捆绑销售三类策略模型,系统分析了消费者接受度、临期产品成本剩余率及参考价格敏感度对最优定价与利润表现的影响。研究得出以下结论:

(1) 不同捆绑策略的优劣取决于临期产品成本剩余率、消费者接受度及参考价格敏感度等关键因素。纯捆绑策略整体利润水平最低,但在高成本条件下具有保底作用。

(2) 新品混合捆绑策略适用于低成本、低价格敏感市场,能够依托新产品的溢价优势带动整体利润;而临期品混合捆绑策略在高价格敏感市场更具优势,能借助参考价格效应激发消费者对临期产品的购买意愿。

(3) 当参考价格敏感度达到某一临界水平(约为0.71)时,两类混合捆绑策略的利润优势会发生动态切换,揭示了策略选择的边界条件。这表明零售商在不同市场环境下需要灵活调整捆绑方式。

基金项目

国家自然科学基金(72202137);上海市白玉兰人才计划浦江项目(23PJC074)。

NOTES

*通讯作者。

参考文献

[1] 彭国良, 潘品鸿, 刘伟钦. 临期产品互联网交易平台建设研究[J]. 合作经济与科技, 2021(5): 92-93.
[2] 柏忠虎, 青平, 黄帆. 农产品稀缺线索对临期食品购买意愿的影响研究[J]. 商业经济与管理, 2024(1): 78-91.
[3] Zha, Y., Zhang, L., Xu, C. and Zhang, T. (2018) A Two‐Period Pricing Model with Intertemporal and Horizontal Reference Price Effects. International Transactions in Operational Research, 28, 1417-1440. [Google Scholar] [CrossRef
[4] Page, K., Pérez, J., Telha, C., García-Echalar, A. and López-Ospina, H. (2021) Optimal Bundle Composition in Competition for Continuous Attributes. European Journal of Operational Research, 293, 1168-1187. [Google Scholar] [CrossRef
[5] Lin, X., Zhou, Y., Xie, W., Zhong, Y. and Cao, B. (2020) Pricing and Product-Bundling Strategies for e-Commerce Platforms with Competition. European Journal of Operational Research, 283, 1026-1039. [Google Scholar] [CrossRef
[6] Pan, F., Pan, S., Zhou, W. and Fan, T. (2022) Perishable Product Bundling with Logistics Uncertainty: Solution Based on Physical Internet. International Journal of Production Economics, 244, Article ID: 108386. [Google Scholar] [CrossRef
[7] 李四杰, 尚优, 贾东峰. 竞争-竞争市场结构下的互补产品捆绑策略[J]. 系统工程学报, 2020, 35(6): 748-759.
[8] Keyhanian, S., Ahmadi, A. and Karimi, B. (2021) On Pricing and Bundling Decisions for Stackelberg Games in Parallel Channels of Substitutable Composites. RAIRO-Operations Research, 55, S1657-S1704. [Google Scholar] [CrossRef
[9] Cao, Q., Tang, Y., Perera, S. and Zhang, J. (2022) Manufacturer-versus Retailer-Initiated Bundling: Implications for the Supply Chain. Transportation Research Part E: Logistics and Transportation Review, 157, Article ID: 102552. [Google Scholar] [CrossRef
[10] 潘林, 周水银, 马士华. 供应链环境下零售商互补产品捆绑销售决策研究[J]. 管理工程学报, 2018, 32(4): 118-125.
[11] Prakash, D. and Spann, M. (2022) Dynamic Pricing and Reference Price Effects. Journal of Business Research, 152, 300-314. [Google Scholar] [CrossRef
[12] 唐瑄, 郑晓娜. 考虑参考价格效应和网络效应的新产品定价策略[J]. 企业经济, 2020(4): 58-63.
[13] 汪旭晖, 陈鑫. 基于平台型电商企业声誉和从众效应的预售定价策略[J]. 管理工程学报, 2021, 35(1): 126-141.