贸易新业态对企业运营韧性的影响研究——来自跨境电商综合试验区政策的证据
Research on the Influence of New Trade Forms on Firms’ Operational Resilience—Evidence of Cross-Border E-Commerce Comprehensive Pilot Area Policy
摘要: 在价值链重构的背景下,企业面临更严峻的运营环境,跨境电商或许可以成为驱动企业运营韧性的战略突破口。本文利用2010~2023年中国A股上市公司面板数据,基于跨境电商综合试验区的准自然实验,运用双重差分法考察跨境电商综试区对企业运营韧性的影响。研究发现,跨境电商综试区能显著提高企业运营韧性。异质性分析表明,当企业规模较小或是非国有企业时,跨境电商综试区的政策效应就越大;当企业所在城市越靠近东部地区,综试区对企业运营韧性的提高作用就越大。机制作用表明,跨境电商综试区能通过缓解融资约束效应,降低环境不确定性效应从而提升企业运营韧性。最后,空间溢出效应表明,跨境电商综试区显著带动了其周边250千米~300千米内的企业运营韧性。这为跨境电商推动企业运营韧性的提高,全面防御风险提供了经验证据。
Abstract: Against the backdrop of global value chain restructuring, firms are confronted with an increasingly severe operational environment, and cross-border e-commerce may serve as a strategic breakthrough for driving firms’ operational resilience. Drawing on panel data of Chinese A-share listed companies from 2010 to 2023, this study leverages the quasi-natural experiment of Cross-border E-commerce Comprehensive Pilot Zones (CBE CPZs) and adopts the Difference-in-Differences (DID) method to examine the impact of CBE CPZs on firms’ operational resilience. The findings indicate that CBE CPZs significantly enhance firms’ operational resilience. Heterogeneity analysis reveals that the policy effect of CBE CPZs is more pronounced for smaller firms and non-state-owned enterprises (SOEs); furthermore, the closer a firm’s location is to China’s eastern region, the stronger the promoting effect of CBE CPZs on its operational resilience. Mechanism analysis demonstrates that CBE CPZs improve firms’ operational resilience by alleviating financing constraints and reducing environmental uncertainty. Finally, analysis of spatial spillover effects shows that CBE CPZs have significantly boosted the operational resilience of firms within a 250 km~300 km radius around them. This study provides empirical evidence for cross-border e-commerce to enhance firms’ operational resilience and comprehensively mitigate risks.
文章引用:王雯静. 贸易新业态对企业运营韧性的影响研究——来自跨境电商综合试验区政策的证据[J]. 电子商务评论, 2025, 14(12): 6090-6105. https://doi.org/10.12677/ecl.2025.14124586

1. 引言

为加快企业韧性提升,积极应对国际断链风险,国务院国资委、国家发改委在2024年发布的《关于规范中央企业采购管理工作的指导意见》指出,要全力打造依法合规、公开透明、集约高效的供应链,切实提升产业链供应链韧性和安全水平,建立健全中央企业采购管理体系。工信部也通过《制造业企业供应链管理水平提升指南(试行)》提出四项措施以提升企业韧性。在此背景下,企业运营韧性从一种管理理念演进为企业可持续发展的支柱。企业运营管理的战略目标逐渐从“高利润导向”向“韧性导向”偏移,致力于通过系统韧性提升维持运营稳定性[1]。但是,在全球价值链重构与地缘政治风险交织的背景下,企业运营环境的复杂性显著提升。突发公共卫生事件、供应链中断以及贸易摩擦等内外部冲击,持续对企业的生存与发展构成严峻挑战。因此,如何构建并强化企业的运营韧性,已成为当前亟待解决的关键现实问题。

当前,以跨境电子商务、市场采购贸易方式为代表的贸易新业态呈现出快速发展态势。全球跨境电商市场规模突破10万亿美元,中国作为最大市场主体,2024年进出口额达2.63万亿元,同比增长10.8%。跨境电商作为一种贸易新业态,在行业发展进程中发挥着无可替代的关键作用。纵观跨境电商综试区发展历程:中国于2015年首次设立了杭州综试区,截至2025年,试点已覆盖共170余个城市和地区,形成沿海引领、内陆崛起、沿边突破的空间布局。多数研究表明,综试区对企业的发展有正向影响,但对于综试区这一特定政策环境如何影响企业运营韧性的研究相对较少。综试区的设立能否赋能区内企业的运营韧性建设?其作用机制是怎样的?不同地区、企业之间受到的影响又是否存在异质性?本文将结合理论与实证回答上述问题,对促进跨境电商的政策效应与提高企业运营韧性具有重要意义。

相比已有文献,本文的边际贡献主要体现在以下几个方面:第一,研究视角上,本文首次评估了跨境电商综试区对企业运营韧性的激励效应,拓展了跨境电商改革政策实施效果的评估范畴,同时也为提升企业运营韧性提供了新的思路。第二,在研究方法上,本文以我国设立跨境电商综合试验区为准自然实验,采用多期双重差分(DID)模型检验了跨境电商政策对企业运营韧性的影响效应。此外本文进一步探讨了跨境电商综试区是否存在空间效应,加深了对综试区创新激励的空间认识。第三,深入探究了综试区的设立对企业运营韧性的作用机制,从缓解融资约束、降低环境不确定性两个维度进行检验,拓展了综合试验区影响微观企业行为的内在机理,增强结论可信性。

2. 文献述评

与本文相关的第一支文献是关于企业运营韧性的研究。第一,定义方面。有学者指出,企业韧性的核心在于组织构建与调整其行为结构的能力,从而确保其在遭遇危机时能够维持或迅速恢复至可接受的功能水平,最终形成一个稳健而灵活的组织能力体系[2]。当然还有学者从运营风险管理的新兴特性[3],应对挑战的卓越能力[4],潜在风险和机遇的预先识别和准备[5]三个方面来定义企业运营韧性。部分学者则认为运营韧性的核心是企业抵御意外冲击以维持正常运营,并在中断后快速恢复的能力[6] [7]。第二,影响因素方面。从外部情况来看,大多数学者认为企业运营韧性中,网络是必不可缺的一环,其通过信息共享与信息协同来共同抵御风险[8] [9]。当然,企业的创新技术活动、知识资源条件、供应链学习也是促进企业运营韧性的三大重大机理[10]-[12]。从内部机理来看,部分学者认为企业家精神、心理状态、领导力、企业能力、企业资源等因素也影响运营韧性[13] [14]。第三,经济效应方面。已有学者研究表明,企业运营韧性可以促进企业财务绩效[15]、提升供应链整体稳定性[16]

与本文相关的第二支文献是有关跨境电商综试区的影响效应研究。目前学者们对跨境电商的研究多集中于以下几个方面。首先,关于跨境电商与产业发展。跨境电商在促进市场扩张,赋能企业专业化分工[17]、优化产业集聚,提高电商行业出口额[18],加速技术市场转化,赋能新质生产力发展这几方面[19],都有显著促进作用。其次,关于跨境电商与企业发展。跨境电商极大地降低了企业间信息不对称[20] [21],弱化企业因地理距离而产生的负面影响,促进跨境电商出口增长[22],激励企业ESG升级[23],提高企业的国际化水平[24]。有学者发现跨境电商主要通过降低企业成本和促进市场竞争,进而提升中国工企的出口产品转换率,降低企业出口市场组合风险[25] [26]。还有学者将上市公司数据库与海关数据库匹配数据,实证检验得出跨境电商可以增强企业出口稳定性[27]。在生产性服务业专业化集聚[28]、城市绿色高质量发展[29]、绿色技术创新[30]、城市创业活力[31]、企业供应链效率[32]方面,跨境电商都对其有促进作用。还有学者认为跨境电商综试区对员工福利有很大影响,可以提高员工收入[33]、增加就业岗位[34]、增加消费者所消费产品的种类,提高福利等[35] [36]。最后,关于跨境电商与贸易发展。多数学者认为跨境电商可以降低贸易的固定成本并且拓展贸易边界[37] [38],降低信息成本并强化规模经济[21],促进区域协调发展并且提高地区经济[39]。此外,在促进贸易增长、提高产业结构方面,跨境电商也发挥了很大作用[40]-[43]

现在关于跨境电商的测度方式有多种,例如跨境电商综试区,文本分析法、海关工企数据库匹配、CBEC清单等方式,但文本分析法通常受数据的主观性与文本的质量影响较大;海关与工企数据库匹配难度大,且数据滞后性强,难以解释近年情况;CBEC清单仅覆盖零售进口商品端且无空间区分度。鉴于此,本文利用2010~2023年上市公司数据,以中国首个跨境电商试点政策——跨境电商综合试验区设立作为准自然实验,且运用控制个体和时间固定效应后的多期双重差分法(DID)实证检验了跨境电商综试区的设立和企业运营韧性发展之间的因果关系。

3. 理论分析与研究假说

3.1. 跨境电商综试区与企业运营韧性

跨境电商综试区凭借制度创新与政策支持,对提升企业运营韧性具有显著的促进作用。首先,综试区提供通关、退税、结汇等一站式便利化服务,有效降低了企业参与国际贸易的制度性交易成本与时间耗费[22] [25]。这为企业应对市场价格波动提供了缓冲,从而增强了其风险抵御能力。其次,综试区构建的开放平台可以助力企业在全球范围内开拓多元市场,打破对传统单一市场的路径依赖。当特定区域的市场遭遇需求萎缩或贸易壁垒时,企业可迅速调配资源至其他正常运营区域,确保整体业务的稳定性和连续性。最后,综试区对海外仓、智能物流等设施的支持,直接激励企业构建多元化、网络化的供应链体系,通过在全球布局关键供应商与分销渠道,企业能够直接缓解因局部供应链中断所带来的停滞风险。这种通过降低成本、分散市场风险与优化供应链结构所形成的协同效应,直接夯实了企业在面临外部冲击时赖以生存与恢复的运营韧性基础。

据此,本文提出如下假说:

假说1:跨境电商综试区对企业运营韧性的提升具有促进作用。

3.2. 跨境电商综试区对企业运营韧性的影响机制

3.2.1. 缓解融资约束效应

跨境电商综试区通过缓解区内企业的融资约束来促进其运营韧性提升。我国企业往往面临着研发资金投入不足、创新活动受融资限制的问题[44] [45],这逐渐成为阻碍企业韧性提升的关键[46]。为提供融资支持,跨境电商综试区建设过程中出台了各式各样的金融支持来缓解中小企业融资压力[31]。一方面,综试区对小微企业直接提供贷款贴息服务,鼓励金融机构开展跨境电商供应链金融服务并开发专属创新型信贷产品,简化小微跨境电商企业外汇收支手续。另一方面,综试区以跨境电商线上综合服务平台为核心载体,为区内企业提供集约化、便捷化、低成本的合规办理窗口,通过入区退税、无票免税等贸易便利化政策工具,降低交易成本,节省更多资金。这些措施为企业提供高效、低成本的跨境资金结算服务,加快企业资金周转速度,提高资金使用效率,间接缓解了企业的融资压力,进而提升企业运营韧性。

据此,本文提出如下假说:

假说2:跨境电商综试区通过缓解融资约束效应进而对企业运营韧性产生积极作用。

3.2.2. 降低环境不确定性效应

跨境电商综试区提升运营韧性的核心路径,在于系统性地降低其运营环境中的多重不确定性。具体而言,跨境电商综合服务平台通过整合海关、物流、支付及政策等多源数据[47],构建了全面的风险识别与预警系统,使企业能够提前采取防范措施。这种智能预警机制将企业的风险应对从被动响应转为主动预防,显著提升了企业运营稳定性。其次,区内企业通过数据驱动的市场洞察与多元化市场布局,降低市场需求波动与竞争不确定性,从而灵活调整业务重心,增强市场适应性。企业通过增强其在组织、供应链与战略上的敏捷性与抗脆弱能力,在复杂多变的全球贸易环境中不仅能够抵御冲击,更能实现运营韧性的可持续增长。

据此,本文提出如下假说:

假说3:跨境电商综试区通过降低环境不确定性进而对企业运营韧性产生积极作用。

4. 研究设计

4.1. 模型构建

本文使用2010~2023年中国A股上市公司的数据,建立如下双重差分模型来考察跨境电商综试区政策对企业运营韧性的影响:

O R f,t = β 0 + β 1 Eco_cit y f,t + β 2 Contro l f,t + λ t + μ f + ε f,t (1)

其中,被解释变量 O R f,t 代表企业运营韧性, Eco_cit y f,t 代表跨境电商综试区试点政策虚拟变量, Contro l f,t 表示一系列企业层面控制变量, λ t 表示时间固定效应, μ f 表示企业固定效应, ε f,t 为随机扰动项。此外,本文回归结果的标准误聚类在企业层面。

4.2. 变量定义

4.2.1. 被解释变量

本文的被解释变量为企业运营韧性( O R f,t )。参考赵云辉等(2024) [48]的研究,结合需求方的销售额和供应方的运营成本,以单位生产成本营业收入(ORPPC)的变化来衡量企业运营韧性。该方法综合考虑了供应端和销售端,能够较为全面地了解企业对运营中断的适应程度,确保对运营韧性进行整体评估。如式(2)所示:

O R f,t = ORPP C f,t t3 t1 ORPP C f,t /3 (2)

4.2.2. 解释变量

本文选取跨境电商综试区虚拟变量( Eco_cit y f,t )作为核心解释变量。当某个城市批复成为跨境电商综试区城市当年及以后,该变量取值为1,否则为0。

4.2.3. 控制变量

根据已有的文献研究,本文主要选择以下控制变量:总资产净利润率( ROA ),以净利润与总资产的比值来表示;净资产收益率( ROE ),以净利润与所有者权益的比值来表示;公司规模( Size ),以平减后的企业年末总资产取自然对数来表示;资产负债率( Lev ),以年末总负债与年末总资产的比值来表示;两职合一( Dual ),以董事长和总经理是否兼任来表示,若二者兼任则为1,反之则为0;员工规模( Employee ),以取自然对数之后的企业员工人数来表示;公司年龄( FirmAge ),以当年年份减企业成立年份加1之后再取自然对数来表示;成长能力( TobinQ ),用托宾 Q 值来衡量;现金流比率( CashFlow ),以经营活动产生的现金流量净额与总资产的比值来表示;账面市值比( BM ),以账面价值与总价值的比值来表示。

4.2.4. 数据说明

本文以2010~2023年A股上市公司为研究对象,通过多源数据整合构建面板数据集:企业基本信息和财务数据主要来自国泰安数据库(CSMAR)。解释变量来自各省(市、自治区)政府网站和媒体报道等途径获取。为了保证数据质量,本文对样本进行了如下处理:(1) 剔除金融行业公司;(2) 剔除当年处于ST、*ST和PT状态的样本;(3) 剔除数据严重缺失的样本。主要变量的描述性统计结果见表1。其中,企业运营韧性的最小值是0.636,最大值是1.529,均值是0.995,表明各企业运营韧性差距较大,为研究跨境电商综试区的作用提供切入点。

Table 1. Descriptive statistics

1. 描述性统计

变量

样本量

均值

标准差

最小值

最大值

OR

23,598

0.995

0.116

0.636

1.529

Eco_cit y f,t

23,598

0.402

0.490

0.000

1.000

ROA

23,598

0.032

0.066

−1.020

0.759

ROE

23,598

0.036

0.556

−46.660

1.117

Size

23,598

22.613

1.372

18.370

28.697

Lev

23,598

0.459

0.199

0.007

0.997

Dual

22,869

0.220

0.414

0.000

1.000

Employee

23,590

7.926

1.318

2.197

13.464

FirmAge

23,598

3.005

0.316

1.386

4.290

TobinQ

23,589

1.982

1.542

0.611

56.664

CashFlow

23,598

0.048

0.072

−0.744

0.876

BM

23,589

0.652

0.267

0.018

1.636

5. 实证分析

5.1. 基准回归

跨境电商综试区政策对企业运营韧性的作用效果,结果如表2所示。第(1)、(2)列为不加任何控制变量的估计结果,第(3)、(4)列为在此基础上分别加入控制变量再进行回归。结果表明,在控制相关变量之后,解释变量跨境电商综试区政策的回归系数在1%的水平上正向显著,即跨境电商综试区政策确实能够显著提高企业运营韧性,假说1得到验证。

Table 2. Baseline regression results

2. 基准回归结果

变量

OR

(1)

(2)

(3)

(4)

Eco_cit y f,t

−0.0082***

0.0088**

0.0021

0.0145***

(0.0020)

(0.0036)

(0.0022)

(0.0034)

控制变量

企业固定效应

年份固定效应

样本量

23,598

23,598

22,852

22,852

Adj.  R 2

0.001

0.060

0.078

0.148

注:***、**、*分别表示在1%、5%、10%的水平上显著,括号内为聚类至企业层面的标准误。下同。

5.2. 平行趋势检验

多期双重差分模型要求控制组和实验组在政策实施前保持相同趋势。因此,本文以综试区设立前4年为基准组,考察综合试验区设立当年和前后4年,综合试验区对企业运营韧性的影响。由图1可知,实施政策前的回归系数均不显著,平行趋势假定得以满足。设立以后的年份,综试区内企业运营韧性水平显著上升,综试区能够促进企业运营韧性。

Figure 1. Parallel trend test results

1. 平行趋势检验结果

5.3. 稳健性检验

5.3.1. 安慰剂检验

基于部分不可控因素,借鉴学者的研究[49] [50],我们通过随机分配试点城市和年份进行安慰剂检验以排除遗漏变量导致的虚假回归。重复上述过程500次,得到交互项回归系数并绘制核密度分布图。由图2可知,安慰剂检验的估计系数呈均值为0的正态分布,且p值大部分大于0.1此外,整个区间的取值都远远小于基准回归所得到的系数,说明基准回归所得到的结果并非是由于其他偶然性因素得到的,具有非常强的稳健性。

Figure 2. Placebo test results

2. 安慰剂检验结果

5.3.2. 工具变量法

本文进一步采用工具变量法来解决跨境电商综试区选址的内生性问题。本文使用1984年城市层面每万人拥有的电话机数和各城市距离沿海港口最短距离作为跨境电商综试区政策的工具变量。由于以上两个变量是截面数据,无法直接作为工具变量应用于面板数据的固定效应模型,故本文构造了截面工具变量与时间变量的交互项,以此作为跨境电商综试区政策的工具变量。表3报告了两阶段最小二乘法估计的结果,第(1)、(2)列为第一阶段回归结果。工具变量与试点政策变量之间均存在显著正相关关系。第(3)、(4)列为第二阶段回归结果,被解释变量为企业运营韧性,结果显示,核心解释变量的系数显著为正,表明跨境电商综试区这一政策显著地提高了企业运营韧性,与基准结果一致,证明了前文研究结论的可靠性。

Table 3. Instrumental variables

3. 工具变量法

变量

Eco_cit y f,t

OR

(1)

(2)

(3)

(4)

IV1_1984DH

0.0074***

0.0073***

(0.0012)

(0.0012)

IV2_dist

0.0730***

0.0699***

(0.0080)

(0.0080)

Eco_cit y f,t

0.0499

0.0889**

(0.0366)

(0.0374)

控制变量

企业固定效应

年份固定效应

Kleibergen-Paap LM

94.303***

88.234***

Kleibergen-Paap Wald F

52.224 [19.93]

48.810 [19.93]

样本量

15,787

15,787

15,787

15,340

5.3.3. “无票免税”政策

根据《关于跨境电子商务综合试验区零售出口货物税收政策的通知》,综试区内符合特定条件的跨境电商企业对未取得有效进货凭证的货物享受增值税与消费税免税(即“无票免税”)。该政策显著增强了综试区功能,预计将进一步促进跨境电商出口。参照马述忠与郭继文(2022) [18]的方法,设置政策虚拟变量(2018年10月及之后取1,否则为0)。表4第(1)列结果显示,交互项 Eco_tax 系数为0.0292,显著为正,且高于基准回归,表明“无票免税”政策对企业运营韧性具有更强的提升作用。

5.3.4. 排除其他政策干扰

样本期间还可能存在其他一些促进企业智能化转型的政策。例如:2014年开始的“宽带中国”政策试点、2016年开始的“国家大数据综合实验区”政策。为排除这些政策对本文回归结果的影响,本文手工收集了上述政策信息,并构建了这些政策冲击的控制变量引入模型进行控制。回归结果如表4的(2)至(4)所示,可以看出,在控制了这些政策因素后,本文核心解释变量的系数仍然显著为正,且系数值变化不大,说明跨境电商综试区与其他政策之间较为独立,具有较好的外生性。

Table 4. Tax exemption without invoices and excluding interference from other policies

4. 无票免税与排除其他政策干扰

变量

OR

(1)

(2)

(3)

(4)

Eco_cit y f,t

0.0135***

0.0128***

0.0123***

(0.0035)

(0.0034)

(0.0035)

Eco_tax

0.0292***

(0.0050)

大数据试验区

0.0036

0.0028

(0.0042)

(0.0042)

宽带中国试验区

0.0091**

0.0088**

(0.0040)

(0.0040)

常数项

1.1396***

1.1437***

1.1378***

1.1369***

(0.0855)

(0.0858)

(0.0858)

(0.0859)

控制变量

企业固定效应

年份固定效应

样本量

22,904

22,904

22,904

22,904

Adj.  R 2

0.149

0.148

0.148

0.148

5.3.5. 多期双重差分模型的处理效应异质性问题

当政策冲击对不同个体存在异质性时,使用传统TWFE统计量识别政策平均处理效应存在估计偏误[51]。为解决这一问题对本文基准结果的干扰,本文根据众多学者的做法,考察了多期双重差分法的处理效应异质性问题[51]-[53],具体结果如表5所示,发现系数仍在1%水平显著为正,因此结果具有稳健性。

Table 5. The issue of treatment effect heterogeneity in the multi-period difference-in-differences (DID) model

5. 多期双重差分模型的处理效应异质性问题

变量

考虑到处理异质性的结果

Sun and Abraham (2020)的方法

0.02189*** (0.0064)

Gardner (2021)的方法

0.01615*** (0.0042)

5.3.6. 其他稳健性

(1) 缩短样本区间

由于新冠疫情自2020年起对全球经济活动产生了显著的外生冲击,这一时期的经济数据可能受到特殊因素的驱动,导致偏离正常经济周期的规律。为了消除此类异常年份对研究结果的潜在影响,本文在稳健性检验中剔除了2020年疫情年份的样本数据[54],并重新进行模型估计。结果见表6第(1)列,核心解释变量依旧在1%水平显著,进一步验证了模型的稳健。

(2) 城市年份交互

使用双重差分模型的理想情况是试点城市和非试点城市的选取是随机的,若跨境电商综试区所列名单与城市的经济发展水平,地理位置等有关,那么这些因素随时间的演化可能对企业产生不可控的影响,造成估计偏差。为避免这种影响,本文加入城市与时间的交互项来验证模型的稳健性。回归结果如表6第(2)列所示,证明模型的稳健性。

(3) 剔除直辖市

考虑到北京、上海、天津、重庆这些城市在政策环境、基础设施建设、公共服务水平等方面具有独特的有利条件,采用这些城市样本可能造成结果偏误,故本文将直辖市城市在样本城市中剔除[30],剩余样本重新进行回归,回归结果见表6第(3)列。回归结果依旧显著为正,表明基准回归结果具有稳健性。

(4) 倾向得分匹配(PSM-DID)

由于跨境电商综合实验区并非严格意义上的自然实验,仍可能在数据方面存在选择性偏差问题。本文参考李邈和郑志刚(2024)的方法[55],使用1:2最近邻匹配,基于匹配后的新样本,再次进行估计。结果见表6第(4)列,回归系数为0.0144,在1%水平上显著,从而验证基准结果的稳健性。

Table 6. Other robustness

6. 其他稳健性

变量

OR

缩短样本区间

城市年份交互

剔除直辖市

倾向得分匹配

(1)

(2)

(3)

(4)

Eco_cit y f,t

0.0116***

0.0095***

0.0137***

0.0144***

(0.0034)

(3.1655)

(0.0037)

(0.0049)

常数项

1.1306***

1.0914***

1.1075***

1.1037***

(0.0860)

(17.2825)

(0.0984)

(0.1222)

控制变量

企业固定

年份固定

样本量

21,158

22,896

18,255

9244

Adj.  R 2

0.150

0.164

0.165

0.210

5.4. 影响机制检验

设立跨境电商综合试验区显著促进了企业运营韧性。下面我们将基于本文理论假说,以 M f,t 表示中介变量,分别从缓解融资约束、降低环境不确定性2个维度考察综试区设立对企业运营韧性的影响机制。下面使用中介效应模型分别对上述两种机制进行检验。

O R f,t = β 0 + β 1 Eco_cit y f,t + β 2 Contro l f,t + λ t + μ f + ε f,t (3)

5.4.1. 缓解融资约束

企业运营韧性的提高离不开融资支持。本文选用 SA 指数和银行网点数量( Num )来衡量融资约束的程度。检验结果如表7第(1)列和第(2)列所示,解释变量的估计系数在1%的水平上显著。表明综试区的设立可以缓解融资约束,扩大融资渠道,进而在资金充足的基础上提高韧性水平。

5.4.2. 降低环境不确定性

跨境电商综试区可以通过降低环境不确定性来提高企业运营韧性。本文参考学者的研究[56] [57],构建经济政策不确定性感知水平( FEPU ),即利用上市公司年报文本,采取Python网络爬虫技术和jieba分词软件构造了每个企业的经济政策不确定性感知水平,通过人工阅读总结出一个“经济政策词语”列表和一个“不确定性词语”列表,不确定性词语数量占总词语数量的比例就是企业面临的经济政策不确定性感知水平。其次,本文用调整后的公司业绩( EU )波动来衡量环境不确定性[58]。检验结果如表7第(3)列和第(4)列所示,回归系数在1%水平显著,表明跨境电商综试区可以通过降低环境不确定性来提高企业运营韧性。

Table 7. Mechanism test results

7. 机制检验结果

变量

缓解融资约束

降低环境不确定性

SA

Num

FEPU

EU

(1)

(2)

(3)

(4)

Eco_cit y f,t

−0.0049**

0.0289***

−0.0110***

−0.1194***

(0.0023)

(0.0071)

(0.0036)

(0.0365)

常数项

4.3611***

7.1170***

−0.0715

−4.5195***

(0.1632)

(0.2179)

(0.1092)

(1.1108)

控制变量

企业固定

年份固定

样本量

19,488

19,488

19,035

18,682

Adj.  R 2

0.960

0.974

0.301

0.313

5.5. 异质性分析

5.5.1. 企业产权性质

考虑到跨境电商综试区设立可能会对不同所有制企业运营韧性产生差异化影响,本文将样本企业根据所有制类型划分为国有企业和非国有企业并进行检验,结果如表8的第(1)、(2)列。跨境电商综试区设立对国有企业和非国有企业运营韧性都具有积极的影响,但对于非国有企业的促进作用更加显著。原因可能是非国有企业的企业制度更加的灵活,在面临跨境电商出台的政策时,能够更加高效地调整市场策略,适应政策发展,加速企业运营韧性调整。

5.5.2. 企业规模

企业的规模大小可能会对其运营韧性产生作用。本文借鉴众多学者的研究方法[59] [60],本文依据企业资产规模的中位数,将企业划分为大规模企业与小规模企业两类,旨在探究跨境电商综合试验区的设立,对不同规模企业的运营韧性所带来的影响。结果如表8第(3)、(4)列。跨境电商综试区对大、小规模企业的运营韧性均有促进作用,但对小规模企业效果更突出。原因在于:大规模企业资金优势显著,自身运营韧性较强,政策边际效应较小;而综试区的税收减免、财政补贴等优惠政策,能有效降低小规模企业运营成本、缓解资金压力,使其可投入更多资源提升运营韧性。

5.5.3. 地理位置

企业所处的地理位置可能会对其运营韧性产生作用。本文将样本分为东中西三个地区。检验结果如表8第(5)、(6)和(7)列所示。可以发现,跨境电商综试区对企业运营韧性的促进作用是从东向中西部依次递减的。中国东部地区经济较为发达,互联网基础设施更加完善,资源禀赋程度较高,较早几批的综试区大部分都设立在东部,这使得东部跨境电商发展更为成熟。

Table 8. Firm heterogeneity

8. 企业异质性

变量

OR

国企

非国企

大规模企业

小规模企业

东部

中部

西部

(1)

(2)

(3)

(4)

(5)

(6)

(7)

Eco_cit y f,t

0.0102**

0.0140***

0.0081*

0.0179***

0.0113***

0.0192**

0.0187*

(0.0047)

(0.0048)

(0.0047)

(0.0049)

(0.0040)

(0.0076)

(0.0105)

常数项

1.1764***

1.2131***

1.5367***

1.0323***

1.1925***

1.1380***

0.8795***

(0.1304)

(0.1171)

(0.1572)

(0.1535)

(0.0990)

(0.2047)

(0.3156)

控制变量

企业固定

年份固定

样本量

10,477

12,389

10,130

12,628

15,597

4027

3182

Adj.  R 2

0.153

0.175

0.209

0.172

0.138

0.162

0.199

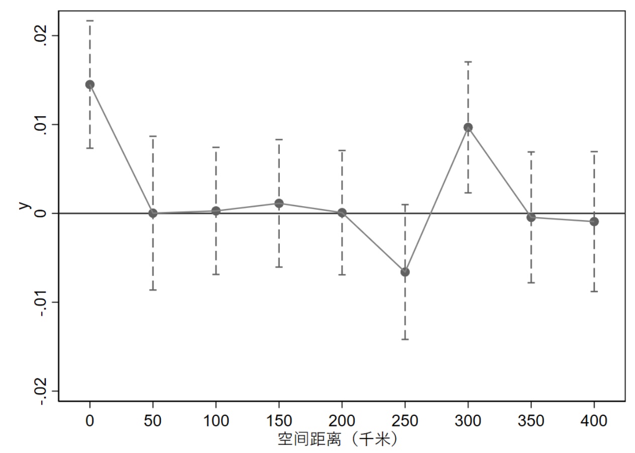
6. 空间溢出效应

Figure 3. Spatial spillover effects

3. 空间溢出效应

前文的实证分析为跨境电商综合试验区促进区内企业运营韧性提升提供了经验支持,但尚未考察该政策对邻近地区的潜在影响。为了检验设立跨境电商试验区是否能产生空间外部性,本文参考学者的研究[61] [62],借鉴空间计量方法设定如下模型:

O R f,t = β 0 + β 1 Eco_cit y f,t + s=50 400 δ s N ct s + β 2 Contro l f,t + λ t + μ f + ε f,t (4)

式(4)在式(1)的基础上引入了一组新的虚拟变量 N ct s ,表示在一定的距离范围内是否存在跨境电商综合试验区,其中 s 代表两个城市之间的距离。具体来说,若在 t 年,距离城市 c( s50,s ] 的范围内存在跨境电商综合试验区,则 N ct s 取值为1;如果不存在,那么 N ct s 取值为0。在具体的回归分析中,本文以50千米为单位,通过观察 s 取值不同时 δ s 的统计显著性来检验跨境电商改革政策是否具有空间异质性。

具体见图3,随着与跨境电商综试区距离增加,其对企业运营韧性的效应呈“倒U型”变化(先减后增再减)——250千米内无显著促进作用,250~300千米范围带动效应显著,超过300千米后效应又不显著。原因可能有以下几点:第一,部分优惠政策都集中在综试区,形成了一个“政策高地”。周边250 km内的城市处于“政策洼地”,企业无法享受同等待遇。此外,周边城市的高素质人才会被综试区所吸引,流向综试区所在城市。这直接削弱了周边城市企业的运营人才基础。第二,超过300千米后,企业既能摆脱综试区内部高昂的土地和劳动力成本,又正好处于综试区供应链辐射的理想距离,享受到最大的发展红利。第三,超过300千米,运输成本显著上升,响应速度变慢。综试区企业很难将这类城市纳入其核心供应链体系,故综试区对此距离的企业运营韧性并不显著。

7. 结论与建议

7.1. 研究结论

本文使用2010~2023年中国A股上市公司的数据,以设立跨境电商综合试验区作为准自然实验,采用多期DID模型,实证检验了综试区设立对企业运营韧性的影响。需明确的是,样本聚焦上市公司,与中小企业具有差异显著,核心结论更适用于大中型上市企业,对中小企业的解释需审慎界定。研究发现:第一,综试区显著提高了当地企业运营韧性,在进行多种稳健性处理后,结论依然保持不变;第二,企业的异质性检验发现,在非国企或规模较小的企业中,综试区的促进作用更突出。地区的异质性检验发现,企业所在城市越靠近东部地区,综试区对企业运营韧性的促进作用越大;第三,从作用机制角度来看,综试区能够通过缓解融资约束和降低环境不确定性等途径提高企业的运营韧性。第四,空间溢出效应表明,跨境电商综试区在对其250千米范围内企业运用韧性不存在显著促进效应的同时,对周边250千米~300千米范围内城市的企业运用韧性产生了显著带动效应。

7.2. 政策建议

从上述研究结论中,本文得到如下政策启示:第一,政府应加大对跨境电商综试区的政策支持力度,从融资支持和降低环境风险两方面为企业运营韧性创造良好的政策环境。一方面,政府应进一步加大对企业韧性提升的财政补贴和税收优惠力度,并且建立健全政府性融资担保体系,为中小微跨境电商企业提供增信服务,引导银行加大信贷投放,解决企业资金不足不愿拓宽运营韧性的问题,另一方面,行业也要发挥工会的作用,建立健全国际贸易政策、汇率波动、物流中断、知识产权侵权等风险的监测、预警和应对机制,及时向企业发布风险提示。第二,强化对小规模和非国有企业的扶持,针对小规模企业提供更具吸引力的税收优惠、出口退税便利化、免费或低成本的专业培训、法律咨询等普惠性政策,切实降低其运营成本和风险。针对非国有企业在市场准入、政策享受、资源获取等方面与国有企业享有同等待遇,破除隐性壁垒,激发其创新创业活力。第三,在布局综试区时,政府应考虑其空间分布,确保各综试区的辐射范围能够尽可能广泛地覆盖全国主要经济区域和产业集群,从而有效避免出现大片的政策洼地和溢出盲区,避免因空间分布不均而导致部分地区企业无法享受到政策带来的融资便利和不确定性降低的优势。

参考文献

[1] Essuman, D., Bruce, P.A., Ataburo, H., Asiedu-Appiah, F. and Boso, N. (2022) Linking Resource Slack to Operational Resilience: Integration of Resource-Based and Attention-Based Perspectives. International Journal of Production Economics, 254, Article ID: 108652. [Google Scholar] [CrossRef
[2] Morgeson, F.P. and Hofmann, D.A. (1999) The Structure and Function of Collective Constructs: Implications for Multilevel Research and Theory Development. The Academy of Management Review, 24, 249-265. [Google Scholar] [CrossRef
[3] Caralli, R.A., Stevens, J.F. and Wilson, W.R. (2006) Sustaining Operational Resiliency: A Process Improvement Approach to Security Management. Networked Systems Survivability Program.
https://resources.sei.cmu.edu/library/asset-view.cfm?assetid=7871
[4] Jiang, Y., Ritchie, B.W. and Verreynne, M. (2019) Building Tourism Organizational Resilience to Crises and Disasters: A Dynamic Capabilities View. International Journal of Tourism Research, 21, 882-900. [Google Scholar] [CrossRef
[5] Somers, S. (2009) Measuring Resilience Potential: An Adaptive Strategy for Organizational Crisis Planning. Journal of Contingencies and Crisis Management, 17, 12-23. [Google Scholar] [CrossRef
[6] Li, Y., Wang, X., Gong, T. and Wang, H. (2022) Breaking Out of the Pandemic: How Can Firms Match Internal Competence with External Resources to Shape Operational Resilience? Journal of Operations Management, 69, 384-403. [Google Scholar] [CrossRef
[7] Ambulkar, S., Blackhurst, J. and Grawe, S. (2014) Firm’s Resilience to Supply Chain Disruptions: Scale Development and Empirical Examination. Journal of Operations Management, 33, 111-122. [Google Scholar] [CrossRef
[8] Scholten, K. and Schilder, S. (2015) The Role of Collaboration in Supply Chain Resilience. Supply Chain Management: An International Journal, 20, 471-484. [Google Scholar] [CrossRef
[9] Yilmaz Borekci, D., Rofcanin, Y. and Gürbüz, H. (2014) Organisational Resilience and Relational Dynamics in Triadic Networks: A Multiple Case Analysis. International Journal of Production Research, 53, 6839-6867. [Google Scholar] [CrossRef
[10] 冯文娜, 陈晗. 二元式创新对高技术企业组织韧性的影响——知识范围与知识平衡的调节作用[J]. 科学学与科学技术管理, 2022, 43(4): 117-135.
[11] Ivanov, D. (2021) Digital Supply Chain Management and Technology to Enhance Resilience by Building and Using End-To-End Visibility during the COVID-19 Pandemic. IEEE Transactions on Engineering Management, 71, 10485-10495.
[12] Liu, X., Tse, Y.K., Wang, S. and Sun, R. (2023) Unleashing the Power of Supply Chain Learning: An Empirical Investigation. International Journal of Operations & Production Management, 43, 1250-1276. [Google Scholar] [CrossRef
[13] Linnenluecke, M.K. (2015) Resilience in Business and Management Research: A Review of Influential Publications and a Research Agenda. International Journal of Management Reviews, 19, 4-30. [Google Scholar] [CrossRef
[14] 李兰, 仲为国, 彭泗清, 等. 新冠肺炎疫情危机下的企业韧性与企业家精神——2021∙中国企业家成长与发展专题调查报告[J]. 南开管理评论, 2022, 25(1): 50-64.
[15] Yu, W., Jacobs, M.A., Chavez, R. and Yang, J. (2019) Dynamism, Disruption Orientation, and Resilience in the Supply Chain and the Impacts on Financial Performance: A Dynamic Capabilities Perspective. International Journal of Production Economics, 218, 352-362. [Google Scholar] [CrossRef
[16] Nakandala, D., Yang, R., Lau, H. and Weerabahu, S. (2023) Industry 4.0 Technology Capabilities, Resilience and Incremental Innovation in Australian Manufacturing Firms: A Serial Mediation Model. Supply Chain Management: An International Journal, 28, 760-772. [Google Scholar] [CrossRef
[17] 吴金柯, 王生年, 王晓亮. 跨境电商综合试验区设立与企业专业化分工[J]. 国际贸易问题, 2024(8): 158-174.
[18] 马述忠, 郭继文. 制度创新如何影响我国跨境电商出口?——来自综试区设立的经验证据[J]. 管理世界, 2022, 38(8): 83-102.
[19] 刘珊, 马莉莉, 郭家琛. 贸易新业态何以赋能新质生产力——来自跨境电商综合试验区的证据[J]. 国际贸易问题, 2025(5): 26-46.
[20] Lendle, A., Olarreaga, M., Schropp, S. and Vézina, P. (2016) There Goes Gravity: eBay and the Death of Distance. The Economic Journal, 126, 406-441. [Google Scholar] [CrossRef
[21] 马述忠, 房超. 跨境电商与中国出口新增长——基于信息成本和规模经济的双重视角[J]. 经济研究, 2021, 56(6): 159-176.
[22] 马述忠, 房超, 张洪胜. 跨境电商能否突破地理距离的限制[J]. 财贸经济, 2019, 40(8): 116-131.
[23] 李常青, 李钰. 跨境电商能否提升企业ESG表现[J]. 国际贸易问题, 2024(10): 70-86.
[24] 杨胜刚, 谢晋元, 成程. 跨境电商、供应链优化和企业国际化——基于大数据文本分析的经验证据[J]. 国际贸易问题, 2023(10): 1-18.
[25] 李小平, 余娟娟, 余东升, 等. 跨境电商与企业出口产品转换[J]. 经济研究, 2023, 58(1): 124-140.
[26] 马述忠, 胡增玺. 跨境电子商务对我国企业出口市场组合风险的影响[J]. 财贸经济, 2022, 43(7): 149-164.
[27] 史本叶, 齐瑞卿. 跨境电商能否增强企业出口稳定性[J]. 财经科学, 2023(9): 103-117.
[28] 刘玉荣, 杨柳, 刘志彪. 跨境电子商务与生产性服务业集聚[J]. 世界经济, 2023, 46(3): 63-93.
[29] 刘乃全, 邓敏, 曹希广. 城市的电商化转型推动了绿色高质量发展吗?——基于国家电子商务示范城市建设的准自然实验[J]. 财经研究, 2021, 47(4): 49-63.
[30] 蒋金荷, 黄珊. 贸易新业态对绿色技术创新的影响研究——来自跨境电商综合试验区政策的证据[J]. 数量经济技术经济研究, 2024, 41(12): 133-154.
[31] 李金磊, 黄远标. 跨境电子商务与城市创业活力——来自跨境电子商务综合试验区的经验证据[J]. 国际贸易问题, 2023(12): 151-167.
[32] 余典范, 贾咏琪, 王超. 跨境电子商务与企业供应链效率——基于跨境电商政策的经验研究[J]. 国际贸易问题, 2024(10): 53-69.
[33] 胡浩然, 宋颜群. 跨境电商改革与工资收入: 一个新开放视角[J]. 财经研究, 2022, 48(5): 49-63.
[34] 袁其刚, 嵇泳盛. 跨境电商如何影响劳动力就业——基于跨境电子商务综合试验区的准自然实验[J]. 产业经济研究, 2023(1): 101-114.
[35] Clay, K., Krishnan, R., Wolff, E. and Fernandes, D. (2002) Retail Strategies on the Web: Price and Non-Price Competition in the Online Book Industry. The Journal of Industrial Economics, 50, 351-367. [Google Scholar] [CrossRef
[36] Brynjolfsson, E., Hu, Y. and Smith, M.D. (2003) Consumer Surplus in the Digital Economy: Estimating the Value of Increased Product Variety at Online Booksellers. Management Science, 49, 1580-1596. [Google Scholar] [CrossRef
[37] 张洪胜, 潘钢健. 跨境电子商务与双边贸易成本: 基于跨境电商政策的经验研究[J]. 经济研究, 2021, 56(9): 141-157.
[38] 鞠雪楠, 赵宣凯, 孙宝文. 跨境电商平台克服了哪些贸易成本?——来自“敦煌网”数据的经验证据[J]. 经济研究, 2020, 55(2): 181-196.
[39] 张兵兵, 陈羽佳, 朱晶, 等. 跨境电商综合试验区与区域协调发展: 窗口辐射还是虹吸效应[J]. 财经研究, 2023, 49(7): 34-47.
[40] 王小琴. 跨境电商综合试验区对进出口贸易的影响——基于双重差分模型的实证分析[J]. 技术经济与管理研究, 2022(5): 100-104.
[41] 王利荣, 芮莉莉. 跨境电商综合试验区对地区经济的影响及差异性分析——基于“反事实”视角[J]. 南方经济, 2022(3): 53-73.
[42] 吕越, 洪俊杰, 陈泳昌, 等. 双重电商平台出口的规模效应与中间品效应——兼论新发展格局下两个市场的利用[J]. 经济研究, 2022, 57(8): 137-153.
[43] Hayakawa, K., Mukunoki, H. and Urata, S. (2021) Can E-Commerce Mitigate the Negative Impact of COVID-19 on International Trade? The Japanese Economic Review, 74, 215-232. [Google Scholar] [CrossRef] [PubMed]
[44] 钱雪松, 丁滋芳, 陈琳琳. 缓解融资约束促进了企业创新吗?——基于中国《物权法》自然实验的经验证据[J]. 经济科学, 2021(1): 96-108.
[45] 鞠晓生, 卢荻, 虞义华. 融资约束、营运资本管理与企业创新可持续性[J]. 经济研究, 2013, 48(1): 4-16.
[46] 陆蓉, 徐龙炳, 叶茜茜, 等. 中国民营企业韧性测度与影响因素研究[J]. 经济管理, 2021, 43(8): 56-73.
[47] 马述忠, 杜特, 房超. 美国电商税法与中国跨境电商出口及其税收负担[J]. 经济研究, 2025, 60(1): 91-107.
[48] 赵云辉, 孙源, 冯泰文, 等. 供应商ESG评级分歧何以影响企业运营韧性[J]. 中国工业经济, 2024(11): 174-192.
[49] 郑曼妮, 黎文靖, 谭有超. 技术转移与企业高质量创新[J]. 世界经济, 2024, 47(3): 66-93.
[50] 唐浩丹, 方森辉, 蒋殿春. 数字化转型的市场绩效: 数字并购能提升制造业企业市场势力吗? [J]. 数量经济技术经济研究, 2022, 39(12): 90-110.
[51] Sun, L. and Abraham, S. (2021) Estimating Dynamic Treatment Effects in Event Studies with Heterogeneous Treatment Effects. Journal of Econometrics, 225, 175-199. [Google Scholar] [CrossRef
[52] Gardner, J. (2021) Two-Stage Differences in Differences. NBER Working Paper.
[53] 李慧, 佟孟华, 张国建. 设立产业转型升级示范区对企业融资约束的影响——基于交错双重差分模型[J]. 产业经济评论, 2024(3): 5-22.
[54] 杨茜雅, 白俊. 关税竞争下客户关系重构与企业创新投入——基于国内外客户关系重构的研究[J]. 科研管理, 2025, 46(9): 167-176.
[55] 李邈, 郑志刚. 控制权转让场景下的表决权委托与企业绩效[J]. 管理世界, 2024, 40(10): 189-208.
[56] 方明月, 聂辉华, 阮睿, 等. 企业数字化转型与经济政策不确定性感知[J]. 金融研究, 2023(2): 21-39.
[57] 聂辉华, 阮睿, 沈吉. 企业不确定性感知、投资决策和金融资产配置[J]. 世界经济, 2020, 43(6): 77-98.
[58] 申慧慧, 于鹏, 吴联生. 国有股权、环境不确定性与投资效率[J]. 经济研究, 2012, 47(7): 113-126.
[59] 王玉泽, 罗能生, 刘文彬. 什么样的杠杆率有利于企业创新[J]. 中国工业经济, 2019(3): 138-155.
[60] 孙伟增, 毛宁, 兰峰, 等. 政策赋能、数字生态与企业数字化转型——基于国家大数据综合试验区的准自然实验[J]. 中国工业经济, 2023(9): 117-135.
[61] 张继武, 姜凯. 知识产权示范城市的设立能否吸引更多的境外直接投资[J]. 国际贸易问题, 2022(9): 88-105.
[62] 曹清峰. 国家级新区对区域经济增长的带动效应——基于70大中城市的经验证据[J]. 中国工业经济, 2020(7): 43-60.