灰渣基地聚合物力学强度与组成结构受养护时间的影响
Influence of Curing Time on the Mechanical Strength and Composition Structure of Fly Ash-Based Polymers
DOI: 10.12677/hjce.2026.151009, PDF, HTML, XML,    科研立项经费支持
作者: 陆炜涛*, 杜宇轩, 王鑫桐, 毛连杰:武汉轻工大学土木工程与建筑学院,湖北 武汉;董祎挈#:武汉轻工大学土木工程与建筑学院,湖北 武汉;武汉大学资源与环境科学学院,湖北 武汉
关键词: 灰渣基地聚合物力学性能微观结构热稳定性配合比优化Fly Ash-Based Geopolymer Mechanical Properties Microstructure Thermal Stability Mix Design Optimization
摘要: 本研究通过设置不同Si/Al、W/B和Na/Al配比,系统考察了养护时间对灰渣基地聚合物力学性能、微观结构和热行为的影响。结果表明,强度主要在前3 d快速增长,3 d抗压强度已达28 d的70%以上,7~28 d增幅不足10%。合理配比可使材料由含百纳米孔隙和球形颗粒的初始结构逐步转变为连续致密的无定形凝胶;碱剂过量或W/B不当则易产生棒状碱晶体和连通孔洞,抑制后期强度提升。热分析进一步表明,地聚合物的主要放热缩聚集中在30℃~480℃区间,28 d的焓变仅为3 d的约7.7%~19.7%。总体说明灰渣基地聚合物具有“早期快速聚合、后期缓慢致密”的特征,可为优化配比参数提供依据。
Abstract: This study investigates the effects of curing time on the mechanical properties, microstructural evolution, and thermal behavior of slag-ash-based geopolymers by designing mixtures with different Si/Al, W/B, and Na/Al ratios. The results show that strength development occurs mainly within the first 3 days, during which the compressive strength reaches more than 70% of the 28-day value, while the increase from 7 to 28 days is less than 10%. With an appropriate mix design, the material gradually evolves from an initial structure containing hundred-nanoscale pores and spherical particles into a continuous and dense amorphous gel; however, excessive alkali or an improper W/B ratio leads to the formation of needle- or rod-like alkali crystals and interconnected pores, which hinder later strength development. Thermal analysis further indicates that the main exothermic polycondensation occurs within the 30˚C~480˚C range, with the 28-day enthalpy release being only about 7.7%~19.7% of that at 3 days. Overall, the results demonstrate that slag-ash-based geopolymers exhibit a characteristic “rapid early polymerization followed by slow densification”, providing guidance for optimizing key mixture parameters.
文章引用:陆炜涛, 杜宇轩, 王鑫桐, 毛连杰, 董祎挈. 灰渣基地聚合物力学强度与组成结构受养护时间的影响[J]. 土木工程, 2026, 15(1): 69-77. https://doi.org/10.12677/hjce.2026.151009

1. 引言

在碱激发地聚合物体系中,Si/Al、Na/Al和W/B是控制凝胶类型、结构致密程度及力学性能的关键配比参数[1] [2]。以水玻璃为主的碱激发剂,其模数变化会同时影响溶液Si/Al、Na/Al比及pH,从而改变低聚硅铝物种的溶出与缩聚行为[3] [4]。已有研究表明,NaOH浓度、水玻璃模数和水胶比等单一因素都会显著影响地聚合物强度与微观结构[5] [6],并提出了部分适宜的配比范围,为后续配方设计提供了基础[7]

然而,现有工作多集中于粉煤灰或矿渣体系,对锅炉灰渣这类富含石英、莫来石等惰性矿物且孔隙结构复杂的原料,在Si/Al、Na/Al与W/B多因素耦合作用下的力学性能、微观组成及热稳定性认识仍不充分[8]。特别是不同养护龄期下灰渣基地聚合物“早强、后缓”的强度发展规律及其微观机制,有待结合系统试验进行定量揭示[9] [10]

基于此,本研究选取山东省某锅炉车间灰渣为前驱体,经机械粉磨与碱激发制备灰渣基地聚合物,采用响应面方法设计不同Si/Al、Na/Al与W/B组合,测试3 d、7 d和28 d龄期的抗压强度、抗折强度,并利用SEM和TG-DSC表征其微观形貌与热行为,旨在揭示灰渣基地聚合物在不同养护时间下的强度发展与结构演化特征,为灰渣等固废在地聚合物体系中的高值化利用提供参考。

2. 试验材料与方法

2.1. 试验材料

灰渣取自山东省某煤炭锅炉车间,为煤充分燃烧后排出的底渣,属典型锅炉底渣。原状灰渣呈灰黑色块状,粒径约2~10 cm,其主要的化学成分见表1。SiO2与Al2O3质量分数之和大于80%,烧失量小于2%,表明其以无机非金属氧化物为主,有机物含量较低,适宜作为地聚合物硅铝骨架来源。灰渣矿物组成由XRD测试获得,衍射图谱如图1所示。峰型较密集,说明矿物相种类较多。经Jade 6.5与JCPDS卡片分析,主要矿物为石英、莫来石、叶蜡石和赤铁矿等。

实验开始之前用105℃电热恒温鼓风干燥箱装试验所需的灰渣将其烘干直至重量保持不变,后在行星式球磨机中以550 r/min球磨25 min,得到深黑色细粉并密封保存。

Table 1. Chemical composition of coal bottom ash (wt%)

1. 原料灰渣的化学成分(wt%)

试样名称

SiO2

Al2O3

Fe2O3

K2O

CaO

MgO

烧失量

其他

灰渣

59.93

22.98

7.90

1.74

2.16

1.28

0.25

3.76

Figure 1. XRD pattern of the coal bottom ash

1. 灰渣原料的XRD矿物组成图谱

按半定量绝热法估算的矿物含量见表2,石英约39.0%,莫来石约42.6%,叶蜡石约14.3%,赤铁矿约4.1%。燃煤锅炉运行温度可达约1600℃,上述矿物在高温下较为稳定,使灰渣整体表现出硬度大、耐高温的特点。

Table 2. Semi-quantitative mineral composition of coal bottom ash

2. 灰渣中各矿物组分的半定量含量

材料

矿物

分子式

组分含量(%)

灰渣

石英

SiO2

39.0

灰渣

莫来石

Al6Si2O13

42.6

灰渣

叶蜡石

Al2[Si4O10](OH)2

14.3

灰渣

赤铁矿

Fe2O3

4.1

在地聚合物体系中,适宜的Si/Al一般为1.5~3.0,Na/Al宜控制在0.5~1.0。由表1可知,本试验灰渣中Al2O3含量为22.98%,可部分替代外加铝源,在满足配比要求的同时有助于降低成本。

2.2. 试验方法

将烘干至恒重的灰渣及地聚合物按照一定的配合比制备灰渣地聚合物固化体试块,具体配合比见表3

Table 3. Mixture proportions of coal bottom ash-based geopolymers

3. 灰渣基地聚合物配合比

样品

Si/Al

Na/Al

W/B

S1

2.666

0.687

2.422

S2

2.732

0.618

2.770

S3

2.854

0.763

2.045

S4

2.471

0.719

2.816

称取NaAlO₂固体溶于适量去离子水中,在室温下磁力搅拌至完全透明;随后缓慢加入预配的NaOH溶液,使两者充分混合,得到碱激发溶液。将计量好的粉磨灰渣一次性投入该激发溶液中,在常温下搅拌使其充分接触并形成均匀浆体。随后提高搅拌转速并配合人工辅助,在搅拌过程中缓慢加入预定量水玻璃溶液(原始模数为3.3,已按硅铝比进行调整),持续高速搅拌约3 min,以确保浆体分散均匀、反应充分。拌制完成后应立即将浆体装入六联立方体试模(20 mm × 20 mm × 20 mm),浇筑时使浆体略高出模面2~5 mm,以便后续刮平,如图2所示。

Figure 2. Six-cube mold forge polymer specimens

2. 六联立方体试模示意

地聚合物早期反应放热强烈,其浆体温度可超过80℃,搅拌中难免夹带气泡,如不及时排除会导致孔洞增多、致密性下降并削弱抗压强度。为避免此问题,浇筑后需立即用细长工具对试模内浆体进行多次快速插捣与轻振,促使气泡排出;待进入初凝后,再刮除并抹平高出模面的半固化浆体,使其与模具齐平。

成型后为减少水分损失和外界影响,试模需用塑料薄膜密封后置于80℃鼓风干燥箱中进行24 h热养护。脱模后再封装试件并转入标准养护箱(25℃、相对湿度约98%)继续养护,至龄期28 d时采用电液伺服万能试验机进行无侧限抗压强度测试。

3. 试验结果分析

3.1. 不同养护时间下抗压强度发展规律

图3显示,灰渣基地聚合物在3 d已取得大部分强度:3 d抗压强度普遍超过28 d的70%,7 d~28 d仅小幅增长,约5.4%~12.6%,呈明显“早强型”,说明强度发展主要集中在早期。

Figure 3. Compressive strength of polymer-based materials made from fly ash at different curing times

3. 不同培养时间下灰渣基地聚合物的抗压强度图

高温和强碱条件下,灰渣中活性Si、Al迅速溶出并发生解聚–缩聚,生成C-A-S-H等凝胶,短时间内搭建三维硅铝酸盐网络;随龄期延长,可溶硅铝物种减少,反应趋于以结构重排和孔隙填充为主,后期强度增幅有限。

从配比看,适中的Si/Al和Na/Al有利于形成连续致密的无定形凝胶骨架,本试验中强度较高的配比均落在该范围内;当Na/Al过高或W/B不合理时,孔隙率升高并伴随残余碱晶析出,削弱后期强度发展。

3.2. 不同养护时间下抗折强度的关系

Figure 4. Flexural strength of fly ash-based geopolymer at different curing ages

4. 不同养护龄期时灰渣基地聚合物的抗折强度图

图4为灰渣基地聚合物材料其抗折强度性能随着龄期变化而展示出的差异性特征,可见其趋势与抗压强度类似:3 d时抗折强度已达到28 d强度的约70%~80%,7 d~28 d仅缓慢增长。说明骨架的快速形成决定了抗弯性能,后期致密化仅提供有限增益。抗折强度受压拉两侧协同作用,受拉区达到极限应力后试件发生脆性断裂。灰渣基地聚合物抗压能力显著高于抗拉能力,抗折强度远低于抗压强度,这与内部微裂纹和孔隙对拉伸断裂更为敏感有关。

前3 d内,解聚–缩聚反应快速搭建三维网络,形成初始承载骨架;随后缩聚与孔隙填充使结构整体性提高,抗折强度略有提升,但微裂纹和界面缺陷难以完全消除,导致后期提升幅度有限。

3.3. SEM微观形貌演化

选取3 d和7 d龄期S1、S4试样进行SEM试验分析,S1试验结果图见图5,S4试验结果见图6。3 d时,S1断面已形成连续的地聚合物基体,整体较致密,局部存在贯穿裂缝。采用Microscope数码显微摄像系统探测分析得到裂缝所占比例为7.19%。基体表面散布少量块状颗粒及直径约百纳米的球形颗粒和细小孔隙,球形颗粒多为灰渣颗粒部分溶解后残留的“核”。随龄期增长,S1表面球形颗粒显著减少,块状颗粒外覆凝胶层趋于平整致密,出现大片连成一体的无定形凝胶区,仅有少量干缩裂缝,孔隙以细小闭口孔为主,结构较为致密。

(a) S1-3 d-1000 times (b) S1-3 d-5000 times (10,000 times)

(c) S1-7d-1000 times (d) S1-7d-5000 times (10,000 times)

Figure 5. Micromorphology of S1 at different curing ages

5. 不同养护时期下S1试样的微观外形

S4在相同龄期下的微观形貌明显劣于S1,3 d时,其表面平整度较低,纵向沟槽和贯通孔洞较多,无定形基体发育不足,球形颗粒数量多且周围孔隙更深。7 d时,S4仍保留大量球形颗粒,并出现密集的棒状或针状碱晶体。这些晶体多以束状或网状填充孔隙,与周围凝胶结合松散,且多孔连通结构为水和热迁移提供通道,削弱了后期致密化能力。采用Microscope数码显微摄像系统探测分析得到S4裂缝所占比例提升到12.53%。

(a) S4-3d-1000 times (b) S4-3d-5000 times (10,000 times)

(c) S4-7d-1000 times (d) S4-7d-5000 times (10,000 times)

Figure 6. Microscopic morphology of sample S4 at different curing stages

6. 不同养护阶段下试样S4的微观外形

可见,合理的Si/Al、Na/Al与W/B组合有利于早期形成连续致密的无定形凝胶,残余球形颗粒少、孔隙多为闭口孔,强度随龄期稳定增长;碱剂过量或水胶比不当则易形成贯通孔洞和棒状碱晶体,阻碍骨架致密化,是S4力学性能偏低且后期强度增幅有限的主要微观原因。

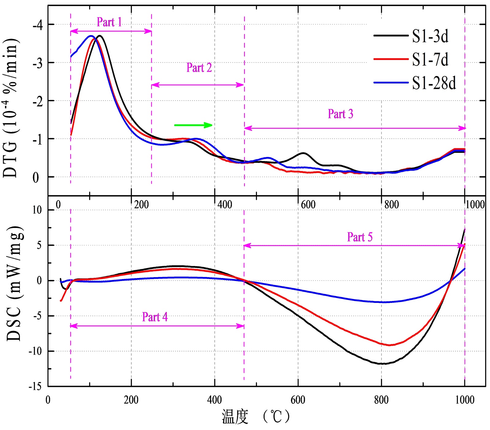
3.4. 热稳定性与焓变分析

图7为S1与S4不同龄期的TG-DSC曲线,可见30℃~230℃、230℃~480℃和480℃~1000℃三个主要失重阶段。地聚合物的放热缩聚主要集中在早期。如表4所示,30℃~230℃为水分脱除与残余缩聚的主阶段,失重率随龄期显著下降,说明大部分脱水缩聚已在养护中完成;230℃~480℃的失重源于部分矿物分解,龄期增长使峰位略升温,反映凝胶致密化和包裹效应增强;480℃~1000℃主要为残余结构水脱除,早龄期吸热更明显,尤其是S4样品,结构相对不稳定,因此S4力学性能显著低于S1。整体焓变随龄期下降,28 d仅为3 d的7.7%~19.7%,验证早期反应更为剧烈。不同配比中,S1焓变高于S4,表明其后期仍具结构优化潜力,而S4早期虽反应强,但后续缩聚不足,与其SEM中残留颗粒和碱晶体相一致,具体见表5

(a) S1 DTG-DSC曲线

(b) S4 DTG-DSC曲线

Figure 7. DTG-DSC curves of fly ash-based geopolymer at different curing ages

7. 灰渣基地聚合物在养护龄期相异情况下的DTG-DSC曲线

Table 4. Weight loss rate of coal bottom ash based geopolymers

4. 灰渣基地聚合物的失重率(%)

温度

S1: 3 d

S1: 7 d

S1: 28 d

S4: 3 d

S4: 7 d

S4: 28 d

30℃~230℃

4.96

4.52

4.13

6.28

6.09

4.19

230℃~480℃

1.72

1.90

1.93

2.30

2.20

2.43

480℃~1000℃

1.66

1.77

1.29

1.59

1.60

1.48

总损失率

8.34

8.19

7.35

10.17

9.29

8.1

Table 5. Enthalpy change of coal bottom ash based geopolymers

5. 灰渣基地聚合物的焓变

标号

S1: 3 d

S1: 7 d

S1: 28 d

S4: 3 d

S4: 7 d

S4: 28 d

焓变值ΔH (J/g)

−1662.72

−372.74

−324.77

−1254.35

−332.52

−96.03

4. 结论

1) 在本试验条件和配比范围内,灰渣基地聚合物强度主要在早期快速发展。3 d抗压强度已达到28 d的70%以上,抗折强度亦超过最终值的75%;7 d~28 d强度增幅仅为5.4%~12.6%,高温预养护显著加快了硬化进程。

2) SEM结果表明,配比合理的S1试样在3 d即可形成较连续的无定形凝胶骨架,随龄期推进,球形颗粒逐渐溶解、孔隙被凝胶填充,仅有少量干缩裂缝;而S4贯通孔隙多、棒状碱晶体丰富,凝胶结构发育不足,是其力学性能偏低且后期强度增幅有限的主要原因。

3) TG-DSC结果表明,灰渣基地聚合物在30℃~230℃、230℃~480℃和480℃~1000℃分别经历自由水与弱结合水脱除、部分矿物分解及残余结构水释放和骨架重排过程。随养护龄期增长,低温阶段失重率和放热焓变明显降低,28 d样品在30℃~480℃的焓变仅为3 d的7.7%~19.7%,从热分析角度说明地聚合反应和放热主要集中于早期。

基金项目

武汉轻工大学大学生创新创业训练计划项目(202510496139);武汉轻工大学2025年度校立科研项目。

NOTES

*第一作者。

#通讯作者。

参考文献

[1] 童国庆, 张吾渝, 高义婷, 等. 碱激发粉煤灰地聚物的力学性能及微观机制研究[J]. 材料导报, 2022, 36(4): 129-134.
[2] 肖涛, 马兵, 杜轶赟, 等. 不同养护方式下粉煤灰基地聚合物抗压强度与凝结时间研究[J]. 塔里木大学学报, 2024, 36(3): 58-66.
[3] 曹德光, 苏达根, 宋国胜. 低模数硅酸钠溶液的结构及其键合反应特性[J]. 硅酸盐学报, 2004, 32(8): 1036-1039.
[4] 何蓓, 张吾渝, 童国庆, 等. 粉煤灰地聚物的抗压强度及微观结构[J]. 中国粉末技术, 2023, 29(2): 38-47.
[5] Rattanasak, U. and Chindaprasirt, P. (2009) Influence of NaOH Solution on the Synthesis of Fly Ash Geopolymer. Minerals Engineering, 22, 1073-1078. [Google Scholar] [CrossRef
[6] 王春雪, 刘泽, 孔凡龙, 等. 钢渣-粉煤灰基地质聚合物的制备及性能研究[J]. 硅酸盐通报, 2015, 34(12): 3430-3435.
[7] 高云, 杜春苗, 李栋, 等. 水胶比对高强混凝土力学性能影响的实验研究[J]. 西安建筑科技大学学报(自然科学版), 2020, 52(5): 653-659.
[8] Davidovits, J. (2008) Geopolymer Chemistry and Applications. Institut Géopolymère.
[9] Chen, Z., Li, J.S., Zhan, B.J., et al. (2018) Compressive Strength and Microstructural Properties of Dry-Mixed Geopolymer Pastes Synthesized from GGBS and Sewage Sludge Ash. Construction and Building Materials, 182, 597-607. [Google Scholar] [CrossRef
[10] Ionescu, B.A., Chira, M., Vermeșan, H., Hegyi, A., Lăzărescu, A., Thalmaier, G., et al. (2022) Influence of Fe2O3, MgO and Molarity of NaOH Solution on the Mechanical Properties of Fly Ash-Based Geopolymers. Materials, 15, Article 6965. [Google Scholar] [CrossRef] [PubMed]