环境保护税对区域绿色转型的影响机制研究
Research on the Impact Mechanisms of the Environmental Protection Tax on Regional Green Transformation
摘要: 环境保护税在减少环境破坏的同时促进经济质量提升,是实现“双碳”目标的重要政策工具。基于2007~2023年中国地级市面板数据,本文采用双重差分模型识别环境保护税对绿色全要素生产率的政策效应及其作用机制。研究发现,环境保护税显著促进了城市绿色转型,但其效果存在明显的异质性:在西部地区、资源型城市和外围城市中促进效应更为突出,而在东部地区、非资源型城市及中心城市中作用不显著。进一步分析揭示,环境保护税通过强化地方政府环境规制执行、引导绿色金融资源配置以及激励政府增加科技支出三大渠道推动绿色转型。本研究为因地制宜制定环境经济政策、实现全域协同绿色转型提供了重要的实证依据与政策启示。
Abstract: As a vital policy instrument for achieving the “Dual Carbon” goals, the Environmental Protection Tax (EPT) plays a key role in mitigating environmental degradation while enhancing economic quality. Utilizing panel data from 284 prefecture-level cities in China spanning the period from 2007 to 2023, this study employs a Difference-in-Differences (DID) model to identify the policy effects of the EPT on Green Total Factor Productivity (GTFP) and explore the underlying transmission mechanisms. The empirical results indicate that the EPT significantly fosters urban green transformation. However, substantial heterogeneity exists regarding its effectiveness: the promotional effect is most pronounced in western regions, resource-based cities, and peripheral cities, whereas it appears less significant in eastern regions, non-resource-based cities, and central cities. Further mechanism analysis reveals that the EPT drives green transformation through three distinct channels: strengthening the enforcement of local government environmental regulations, optimizing the allocation of green financial resources, and incentivizing government expenditure on science and technology. These findings provide valuable empirical evidence and policy implications for tailoring environmental economic policies to local conditions and achieving coordinated regional green transformation.
文章引用:李鑫. 环境保护税对区域绿色转型的影响机制研究[J]. 可持续发展, 2026, 16(1): 224-235. https://doi.org/10.12677/sd.2026.161028

1. 引言

2024年中共中央国务院印发的《关于加快经济社会发展全面绿色转型的意见》明确指出:要将绿色转型的要求融入经济社会发展全局,全方位、全领域、全地域推进绿色转型。与此同时,面对日益严重的气候变化问题,我国政府积极响应全球气候治理需求,提出“双碳”目标——即2030年前实现碳达峰、2060年前实现碳中和,这一目标不仅为我国的绿色发展指明了方向,也在推动经济社会系统进行深刻变革,环境治理体系和政策工具亟待创新与协同。在这一宏观背景下,城市作为承载人口、产业与能源消耗的主要空间单元,其绿色转型进程直接关系到国家整体战略目标的实现。

环境保护税的实施有助于构建更高效、公平和可持续的绿色治理体系,我国于2018年1月1日起实施的《环境保护税法》,替代原排污收费制度,大幅提高了执法的规范性和征收强度。该税种的设计不仅注重污染抑制功能,还致力于引导生产要素从高污染、高能耗部门向绿色、低碳领域流动,进而推动区域经济结构的根本性转变。在城市层面,环境保护税通过多重传导路径系统推动绿色转型。该政策通过提高污染排放成本,有效激励企业采纳清洁生产工艺与污染治理技术,从生产源头降低环境负荷。同时,其持续而明确的政策信号引导地方政府强化环境规制,严格产业准入标准并提升监管效能。进一步地,环境保护税还能够通过影响资本市场预期,促进绿色金融产品创新与低碳项目融资,引导资本从高碳领域向绿色产业配置,从而优化区域整体资源配置结构。因此,环境保护税并非单一的成本约束工具,更是嵌入地方绿色治理体系中的重要政策杠杆,其影响覆盖企业决策、政府行为与市场响应,最终系统性地推动城市绿色全要素生产率的提升。

现有对环境保护税的经济与环境效应的研究仍集中于企业层面或省级宏观数据,缺乏针对地市级尺度的细致分析。本研究的贡献在于:首先,将分析尺度下沉至地市级,揭示了政策效果在市级维度上的异质性特征;其次,在理论上突破了单一的经济性机制分析,系统纳入了政府行为与金融响应等多重机制;最后,在实践上为制定差异化的环境税政策、推进精准施政提供了实证依据与决策参考。

2. 理论分析与研究假设

(一) 环境保护税与城市绿色转型

环境保护税作为以价格为基础的环境规制工具,其理论渊源可追溯至Pigou (1920) [1]提出的“庇古税”思想,其核心在于通过税收手段将环境污染的负外部性内部化,贯彻“污染者付费”原则,从而矫正因市场失灵导致的资源配置扭曲。“波特假说”进一步为环境保护税的政策效果提供了动态效率视角,认为恰当设计的环境规制能够激发创新补偿效应,推动企业进行绿色技术研发与流程改造,不仅抵消合规成本,甚至提升全要素生产率。在这一框架下,环境保护税不再仅是成本内部化工具,更是一种引导长期绿色创新与产业升级的政策信号。曹越等(2022) [2]的研究表明,环境保护税在短期内主要通过提升资源配置效率产生经济与环境红利,而非立即依靠技术创新;而白瑜(2024) [3]则指出,从中长期来看,该政策确实能够通过激励企业增强创新积极性、拓展政府补助渠道以及优化资本配置,进而提高创新质量。闫浩、马金华(2023) [4]基于工业“三废”排放的实证分析,同样支持环境保护税对污染减排和技术绿色升级的促进作用。郭晓旭、张娆(2024) [5]还发现,环境保护税具有较强的信号功能,可提升企业管理层的环保认知、缓解绿色治理中的代理问题,从而改善企业环境绩效。据此,本文提出如下假设:

H1:环境保护税的实施对城市绿色转型具有显著促进作用。

(二) 环境保护税、政府环境规制强度与城市绿色转型

环境保护税的有效性不仅取决于税制设计本身,更与地方政府的政策执行力度密切相关,环境规制的实际效果深受地方政府注意力分配与行政资源投入的影响。环境保护税的征收为地方政府提供了明确的法律依据与财政工具,而环境规制强度则决定了该政策是否能够真正转化为对企业排污行为的实质性约束。Yu, Y.等(2024) [6]指出,环保税有助于增强环境执法的刚性,并在一定程度上制约传统上不利于环境治理的政企关系,从而为绿色转型创造更有效的制度环境。因此,环境保护税不仅是一项财政工具,更是嵌入地方治理结构中的制度信号,其绿色转型效果在政府环境规制强度较高的地区预计将更为显著。据此,本文提出假设:

H2:环境保护税对城市绿色转型的促进效果在政府环境规制强度较高的地区更为显著。

(三) 环境保护税、绿色金融与城市绿色转型

环境保护税的政策影响亦可通过金融市场渠道传导。依据信号理论,环保税的实施向市场传递出明确的政策导向,增强了金融机构对环境风险与绿色收益的预期,进而引导资本重新配置。这种“政策–市场”协同机制符合绿色金融理论的核心主张,即通过政策干预内部化环境外部性,可改变不同资产的风险收益结构,推动金融资源从棕色领域向绿色领域转移。Shen, Y. (2022) [7]指出,环保税通过增加高污染企业的合规成本与经营风险,促使市场对其重新定价,从而抑制其融资可获得性;同时,绿色技术和清洁产业的政策确定性增强,更易获得优惠融资与长期信贷。这表明,环境保护税不仅直接影响企业生产成本,更通过重塑资本配置格局,推动城市绿色转型。基于此,本文提出以下假设:

H3:环境保护税通过引导金融资源向绿色领域配置,进而促进城市绿色转型。

(四) 环境保护税、科技投入与城市绿色转型

绿色转型的根本动力源于技术进步与创新能力的提升,而环境保护税可通过驱动地方政府和企业增加科技投入进而推动绿色创新。环保税在实施过程中不仅对企业形成成本约束,同时也对地方政府产生财政激励与政策响应动力。康莹和严成樑(2024) [8]指出,环保税具有“双重驱动”逻辑:一方面通过成本效应推动企业进行绿色技术引进与研发;另一方面通过激励效应促使地方政府调整财政支出结构,增加科技支持以培育新兴绿色产业。陈晓珊等(2022) [9]的实证研究表明,环保税改革后,企业显著增加了绿色技术吸收与研发投入;陈兆楠和王郁蓉(2024) [10]则验证了绿色创新在环保税影响企业绩效中的中介作用。与此同时,地方政府为缓解环保税对本地企业的冲击、培育高质量增长新动能,往往会配套增加科技财政支出,助力域内企业绿色技术创新与转型升级。Liu, X. Y.等(2024) [11]针对火电行业的研究表明,环保税可通过提升绿色运营效率实现行业帕累托改进,而这背后离不开政府与企业在科技投入上的共同响应。因此,科技投入是环保税推动绿色全要素生产率提升的重要机制。本文据此提出假设:

H4:环境保护税通过促使地方政府增加科技支出,进而促进城市绿色转型。

3. 研究设计

(一) 模型设定

参考前人的研究,本文根据《环保税法》实施前后各地税费负担的变化,将能源企业所在地区划分为实验组和对照组。以2018年环保税实施为时间节点,设置了虚拟变量:2018年之前, post t 为0;2018年之后, post t 为1。与此同时,本文依据各地方政府对应税污染物课税标准的调整情况,将提高应税污染物课税标准的地区设定为实验组, treat i 为1;而保持应税污染物课税标准不变的地区设定为对照组, treat i 为0。

为检验环境保护税对城市绿色全要素生产率的影响,本文采用双重差分模型如下:

GTFP i,t = α 0 + α 1 post t *treat i + α 2 Controls i,t + λ t + μ k + ε i,t

上述模型中, GTFP i,t 为城市的绿色转型水平,it分别表示城市和年份。 post t *treat i 为核心解释变量,其系数 α 1 表示环境保护税对税费负担提标城市绿色转型的政策效应。 Controls i,t 表示控制变量, μ k 表示不随时间改变的城市固定效应, λ t 表示不因个体而改变的时间固定效应, ε i,t 为随机扰动项。

(二) 变量选择

1) 被解释变量:参照韦东明等(2021) [12]的做法,本文运用SBM-DDF模型,结合GML指数计算绿色全要素生产率,投入、产出指标及计算方式如下。(1) 资本投入。以2007年为基期,采用永续盘存法来估算各城市每年的资本存量,计算公式为: K i,t =( 1 δ i,t )× K i,t1 + I i,t 。其中, K t 为当期的资本存量, K t1 为前一期的资本存量, I i,t 表示固定资产投资额,根据历年固定资产投资价格指数将其平减为以2007年为基期的可比价, δ i,t 为折旧率。(2) 劳动力投入。采用各地级市的期末劳动人数衡量。(3) 能源投入。采用城市全社会用电量衡量,单位为万千瓦时。(4) 期望产出。采用城市GDP进行衡量,并以2007年为基期根据GDP平减指数进行平减来剔除价格因素可能带来的影响。(5) 非期望产出。选用城市二氧化碳、二氧化硫排放量作为生产过程中产生的负外部性产物来衡量非期望产出。

2) 核心解释变量:交互项 post t *treat i 。政策冲击虚拟变量 treat i 和政策发布虚拟变量 post t 同时赋值为1时,交互项DID取值为1,而二者有一项赋值为0时,交互项 post t *treat i 取值为0。

3) 控制变量:为确保模型估计结果的准确性,本文在基准回归中控制了一系列可能影响地区绿色全要素生产率的城市层面变量,具体包括:

在经济发展与结构方面,控制了经济发展水平,采用人均地区生产总值的对数形式予以衡量;对外开放水平,以实际利用外资额占地区生产总值的比重来衡量;以及产业结构,用第三产业增加值占地区生产总值的比重来反映产业高级化进程。

在教育水平方面,环境保护进程与当地的教育水平具有较大联系,因为教育水平的高低会在一定程度上影响社会公众和企业对环境保护的重视程度。一个地区人们的受教育水平越高,环保意识也将更强。因此选择教育支出水平,以地方政府教育支出占一般公共预算支出的比重来衡量政府对人力资本培育的投入力度;人力资本水平,采用每万人中普通高等学校在校学生数来衡量各城市的教育水平。

在公共服务方面,控制了医疗卫生水平,采用每百人拥有的医院、卫生院床位数来反映城市公共服务的供给能力。

4) 中介变量

城市环境规制强度:根据各省份政府工作报告,参考张建鹏(2021) [13]的做法,基于各省政府工作报告中与“环境保护”相关词汇的频率,构建地级市政府环境规制执行强度。各级政府在每年年初“两会”召开期间向大会报告过去一年的工作成绩及未来的工作计划,报告在形成过程中凝聚了社会多方诉求和共识,对政府当年工作起着决定性的指引作用。因此,将各地市第二产业占GDP比重与省级政府工作报告中与“环境保护”相关词汇出现的频率交乘,从而构造地级市环境规制强度指标。

绿色金融指数:本文参考绿色金融体系的典型构成与数据可得性,采用熵值法构建地级市绿色金融综合指数来衡量各地区绿色金融发展水平[14]。该指数从绿色信贷、绿色投资、绿色保险、绿色债券、政府绿色支持、绿色基金及绿色权益市场等多个维度系统整合了金融资源在绿色领域的配置情况,数据来源于《中国金融年鉴》《中国能源统计年鉴》及各省市统计年鉴,并进行了标准化处理以确保可比性。

科技支出:采用各城市财政预算中科学技术支出的绝对数额取自然对数来衡量地方政府为响应环保税政策所增加的科学技术领域财政投入。

(三) 样本选取与数据来源

本文的研究样本为2007~2023年中国284个地级行政单位的面板数据。研究数据主要来源于各年《中国城市统计年鉴》及EPS数据库。对于个别城市在某些年份存在的指标缺失问题,通过查阅相应省份的统计年鉴及地方政府工作报告等进行补充。对于仅少数年份缺失的连续型变量,采用线性插值法予以填补,以确保数据的连续性。根据研究需要,剔除了数据缺失严重的城市样本,最终获得涵盖284个地级市、连续17年的平衡面板数据,共计4828个观测值。描述性统计见表1

Table 1. Descriptive statistics

1. 描述性统计

VarName

Obs

Mean

SD

Min

Median

Max

GTFP

4828

1.027

0.098

0.570

1.022

1.666

经济发展水平

4828

10.603

0.787

8.126

10.562

13.185

对外开放水平

4828

0.003

0.003

0.000

0.002

0.029

产业结构

4828

0.417

0.103

0.086

0.411

0.849

教育支出水平

4828

0.179

0.043

0.015

0.177

0.792

人力资本水平

4828

0.019

0.025

0.000

0.010

0.185

医疗卫生水平

4828

0.444

0.183

0.098

0.419

1.377

4. 实证结果分析

(一) 回归结果分析

基准回归结果如表2所示。我们可以发现,在所有设定下,核心解释变量的估计系数均在1%的水平上显著为正,这表明环境保护税的改革实施确实显著促进了地区绿色全要素生产率的提升,验证了本文的核心假设。从列(1)到列(4),随着固定效应与控制变量的逐步加入,估计系数从0.037下降至0.014,这说明忽略城市异质性与时间趋势等潜在因素会高估政策的净效应,而本文采用的双向固定效应模型有效地缓解了此类遗漏变量偏差。

Table 2. Benchmark regression results

2. 基准回归结果

(1)

(2)

(3)

(4)

GTFP

GTFP

GTFP

GTFP

post_treat

0.037***

0.014***

0.030***

0.014***

(0.004)

(0.004)

(0.005)

(0.004)

经济发展水平

0.032***

0.061***

(0.004)

(0.007)

对外开放水平

1.904***

−0.924

(0.511)

(0.718)

产业结构

−0.057**

−0.038

(0.028)

(0.031)

教育支出水平

0.049

0.121**

(0.043)

(0.051)

人力资本水平

−0.027

−0.813***

(0.091)

(0.243)

医疗卫生水平

0.039**

0.103***

(0.016)

(0.021)

Constant

1.021***

1.025***

0.674***

0.349***

(0.002)

(0.001)

(0.039)

(0.079)

Year_FE

NO

YES

NO

YES

City_FE

NO

YES

NO

YES

Observations

4828

4828

4828

4828

R-squared

0.018

0.629

0.107

0.644

注:括号内为稳健标准误,*p < 0.1, **p < 0.05, ***p < 0.01。下同。

(二) 稳健性检验

1) 平行趋势检验

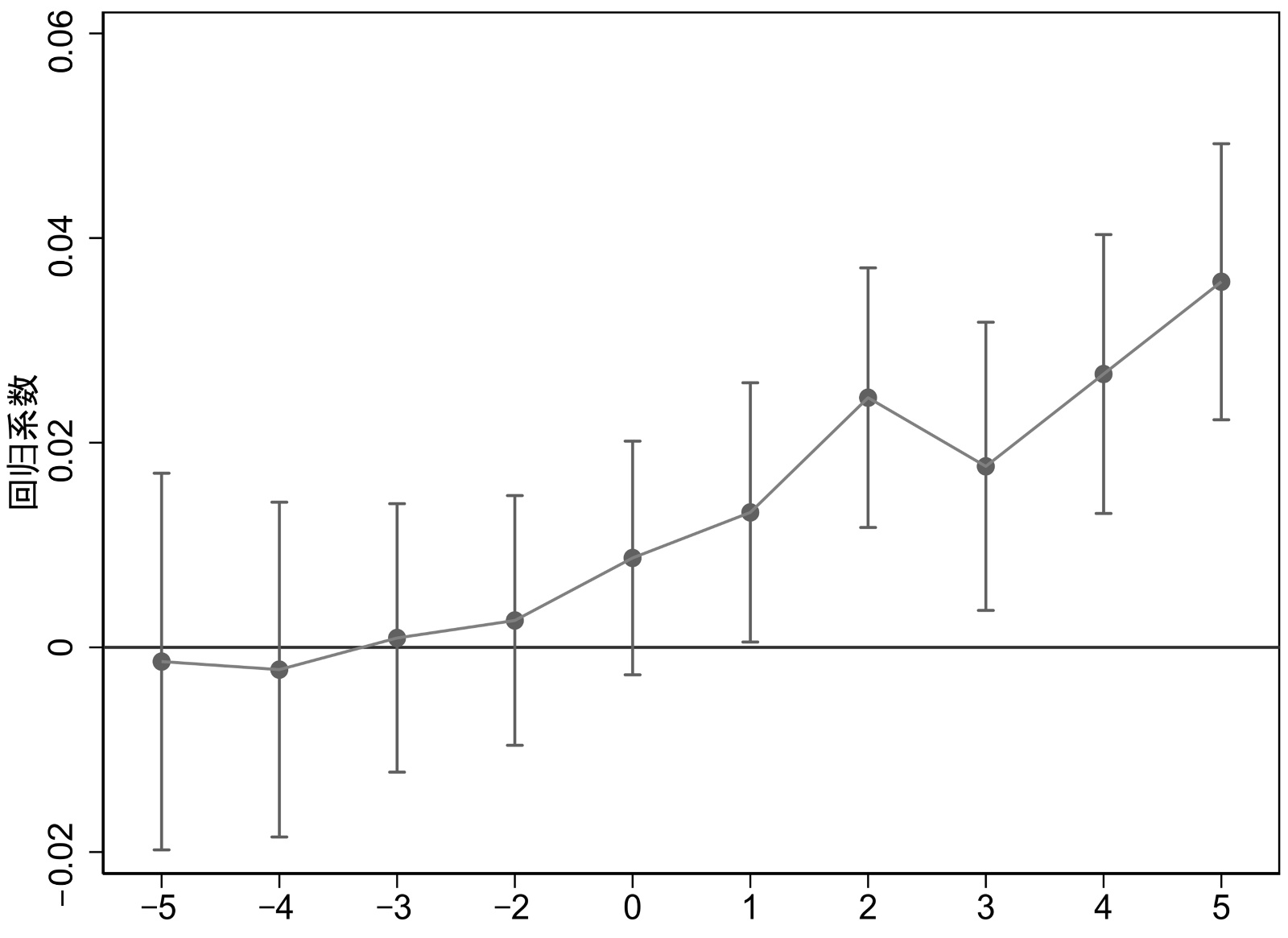
为保证双重差分估计结果的有效性,本文对平行趋势假设进行了检验。如图1所示,政策实施前的估计系数接近零且不显著,表明处理组与对照组在政策冲击前不存在显著差异;政策实施当年效应尚未显现,符合政策时滞规律;而在实施后数年内,估计系数持续显著为正且逐年增强,满足平行趋势假设。这表明环境保护税的绿色促进效应并非一蹴而就,而是随着政策持续实施与企业转型深化而逐步增强的持续过程。

2) 安慰剂检验

为排除不可观测因素的干扰,本文通过500次随机分配处理组的安慰剂检验证实了基准结果的可靠性。模拟得到的t统计量集中分布在0附近,而实际估计值显著偏离该随机分布。如图2,结果表明,基准回归中的显著效应偶然出现的概率极低(p值 < 0.01),从而支持了前文结论的稳健性。

3) 排除其他政策干扰

为确保基准回归结果不受同期其他强力行政性环境规制的干扰,本文借鉴周波等(2022) [15]的做法,考虑到2018年及2019年施行的《京津冀及周边地区秋冬季大气污染综合治理攻坚行动方案》等行政性环境规制可能存在的影响,在样本中将上述方案提及的“2 + 26”个城市剔除,以预防这些城市同时经历了高强度的大气污染行政性治理与环境保护税改革,其绿色转型成效可能是两类政策混合作用的结果。

表3第二列为剔除潜在干扰样本后对模型进行重新估计的回归结果。核心解释变量的系数依然在5%的水平上显著为正,尽管其系数大小与显著性水平相较于全样本回归结果均略有下降,但这恰恰表明在剥离了强力行政规制的叠加效应后,单一的环境保护税政策依然能够对地区绿色转型产生独立的、积极的促进作用。这一结果进一步强化了本文的核心结论,证实了环境保护税政策效应的稳健性。

Figure 1. Parallel trend test

1. 平行趋势检验

Figure 2. Placebo test

2. 安慰剂检验

Table 3. Robustness check: regression results

3. 稳健性检验回归结果

(1)

排除其他政策

(2)

替换被解释变量

GTFP

SBM

post_treat

0.0105**

0.0296***

(2.4447)

(5.31)

控制变量

YES

YES

Year_FE

YES

YES

City_FE

YES

YES

Observations

4828

4828

R-squared

0.630

0.671

4) 替换被解释变量

借鉴史丹(2020) [16]已有研究,更换绿色全要素生产率的测算方法。将劳动、资本和能源作为投入;地区生产总值作为合意产出;工业二氧化硫、工业烟粉尘和工业废水排放量作为非合意产出,以SBM-Malmquist-Luenberger指数法重新测算各地级市的绿色全要素能源效率,以再次评估环境保护税的政策效果。根据上表3第三列回归结果表明,尽管核心解释变量的估计系数大小相较于基准回归有所改变,但其符号依然为正,且在1%的水平上保持统计显著。这一结果证实,即使更换了对绿色转型的测度方式,环境保护税改革对促进城市绿色转型的积极影响依然稳健成立。

5. 进一步分析

(一) 影响机制分析

借鉴江艇(2022) [17]的中介效应检验方法,在基准回归的基础上加入环境规制、绿色金融、政府科技支出这三个中介变量来检验相应的机制效应,以探究中介变量在环境保护税的实施对区域绿色转型影响中的中介作用,分析环境保护税与城市绿色转型之间的影响机制。

1) 环境规制

表4列(1)的结果可以看到,核心解释变量对中介变量环境规制强度(EV)的估计系数在1%的水平上显著为正。这表明,环境保护税政策的实施显著提升了地方政府的环境规制强度,其可能的原因在于该政策的出台释放了明确的政策信号,强化了地方政府严格执行环境规制的激励。在理论层面,更强的环境规制一方面通过提高企业的污染成本,推动其进行绿色生产技术革新;另一方面引导资源向清洁高效部门配置,从而推动地区整体的绿色转型。

2) 绿色金融

理论分析表明,环保税法可能通过强化环境规制,向市场传递明确的政策信号,从而引导金融资源向绿色领域配置。表4列(2)展示了政策对中介变量(绿色金融指数)的影响,核心解释变量的系数为0.00888,且在1%的水平上高度显著。这表明,《环境保护税法》的实施有效提升了城市的绿色金融发展水平。环保税法通过增加污染企业的合规成本,同时为绿色产业提供明确的市场预期,从而引导金融机构重新配置信贷资源,扩大绿色信贷、绿色债券等金融工具的供给,激发了绿色金融市场活力。

3) 科技支出

表4列(3)结果显示,核心解释变量的系数为0.0725,且在5%的水平上显著。这表明,《环境保护税法》的实施显著提升了地方政府的科技支出水平。可能的机制在于,环保税法的出台强化了地方政府对绿色技术创新重要性的认识,促使政府通过增加财政科技投入来应对环境规制带来的挑战、培育绿色新动能,从而将环境规制压力转化为科技创新动力。这一发现凸显了地方政府在环境治理中的积极作为者角色,而非单纯的政策被动执行者。

Table 4. Mechanism test: regression results

4. 机制检验回归结果

(1)

(2)

(3)

GTFP

GTFP

GTFP

post_treat

0.0237***

0.00872***

0.0716**

(4.50)

(4.63)

(2.39)

经济发展水平

0.0841***

−0.0155***

1.337***

(9.46)

(−4.88)

(24.18)

对外开放水平

0.979

−0.734***

33.68***

(1.27)

(−2.95)

(6.90)

产业结构

−0.812***

−0.0333**

0.292

(−19.90)

(−2.35)

(1.31)

教育支出水平

0.216***

−0.0127

2.045***

(3.40)

(−0.71)

(5.65)

人力资本水平

−0.318

−0.391***

−2.558**

(−1.48)

(−4.04)

(−2.15)

医疗卫生水平

−0.0804***

0.0126

−0.0829

(−2.94)

(1.41)

(−0.58)

Constant

−0.156

0.504***

−4.453***

(−1.56)

(13.96)

(−7.14)

Year

YES

YES

YES

City

YES

YES

YES

Observations

4828

4828

4828

R-squared

0.676

0.941

0.913

(二) 异质性检验

1) 区域异质性

根据表5区域异质性检验结果,环境保护税对城市绿色转型的影响存在明显的地区差异。从回归系数来看,环境保护税在东部地区的影响为负但不显著,在中部地区呈现显著正向影响,在西部地区则表现出更强的促进作用。这一结果说明,环境保护税的政策效果在经济基础、产业结构和环境规制强度不同的区域中具有非均衡性。造成这种差异的原因可能在于,东部地区经济发展水平较高、环境治理基础较好,环境保护税带来的边际调控效应相对有限;而中西部地区尤其是西部,原有环境规制力度相对较弱,环境治理的边际收益较高,加之“西部大开发”“生态补偿”等区域政策的叠加,使得环境保护税能够更有效地激发地方政府和企业的绿色转型动力。

Table 5. Regional heterogeneity: regression results

5. 区域异质性回归结果

(1)

(2)

(3)

东部

中部

西部

post_treat

−0.00587

0.0167***

0.0244***

(−0.81)

(2.59)

(3.38)

经济发展水平

0.0755***

0.0487***

0.142***

(6.02)

(5.09)

(8.68)

对外开放水平

−0.0553

−1.237

2.955

(−0.05)

(−1.54)

(1.29)

产业结构

0.0177

−0.150***

0.0137

(0.30)

(−3.30)

(0.25)

教育支出水平

0.466***

0.0167

0.0631

(4.77)

(0.26)

(0.85)

人力资本水平

−2.282***

−0.300

0.196

(−4.49)

(−0.90)

(0.93)

医疗卫生水平

0.0123

0.150***

0.132***

(0.32)

(4.31)

(3.77)

_cons

0.169

0.528***

−0.563***

(1.05)

(5.05)

(−3.27)

year

Yes

Yes

Yes

province

Yes

Yes

Yes

N

1700

1700

1428

r2

0.545

0.598

0.762

2) 资源型城市异质性

资源型城市通常面临更严峻的资源依赖与环境压力,产业结构偏重、环境治理历史欠账较多,其绿色转型的路径与动力机制可能显著区别于非资源型城市。因此,本文借鉴刘亦文等(2023) [18]的做法,根据《全国资源型城市可持续发展规划(2013~2020年)》对城市类型的划分,本研究进一步从资源禀赋视角,考察了环境保护税对绿色转型的异质性影响。由表6分组回归结果表明,环境保护税对资源型城市的绿色转型具有显著正向促进作用,而对非资源型城市的影响则不显著。这主要源于资源型城市长期面临产业结构偏重、环境压力大的困境,环境规制的边际治理效益较高。该政策的实施增加了高污染企业成本,驱动了当地绿色技术创新与产业转型,并与现有财政支持政策形成协同效应。因此,应重视环境保护税对资源型城市的积极作用,实施更具针对性的环境经济政策,以助力其可持续发展。

3) 中心城市异质性

本文进一步基于城市发展水平与行政级别,将样本划分为中心城市与外围城市,辨析环境保护税在不同发展阶段和功能定位城市中的差异化效果。参考房景等(2023) [19]的做法根据世界银行高收入标准及城市行政等级,共识别出73个中心城市及211个外围城市。

Table 6. Heterogeneity analysis: resource-based & central cities

6. 资源型&中心城市异质性回归结果

(1)

(2)

(3)

(4)

资源型

非资源型

中心

外围

post_treat

0.0246***

0.00467

−0.00657

0.0169***

(4.10)

(0.87)

(−0.40)

(4.28)

经济发展水平

0.0587***

0.0551***

0.115***

0.0577***

(6.27)

(5.16)

(3.36)

(8.27)

对外开放水平

−2.999***

0.573

−0.953

−0.211

(−3.28)

(0.62)

(−0.49)

(−0.29)

产业结构

−0.0494

−0.0182

−0.0705

−0.0353

(−1.16)

(−0.42)

(−0.43)

(−1.19)

教育支出水平

−0.0925

0.230***

0.174*

0.0544

(−1.27)

(2.93)

(1.68)

(1.02)

人力资本水平

−1.242***

−0.794***

−1.425***

−1.377***

(−3.61)

(−2.74)

(−3.98)

(−3.41)

医疗卫生水平

0.0847***

0.0990***

−0.0311

0.0504**

(3.11)

(3.46)

(−0.52)

(2.54)

_cons

0.412***

0.387***

−0.105

0.413***

(4.03)

(3.19)

(−0.26)

(5.37)

year

Yes

Yes

Yes

Yes

Province/City

Yes

Yes

Yes

Yes

N

1938

2856

612

4182

r2

0.702

0.596

0.569

0.667

表6分组回归结果表明,环境保护税在中心城市中并未产生显著影响,而在外围城市中则表现出显著的绿色转型促进效应。这一差异可能源于两类城市所处发展阶段与经济结构的不同:中心城市通常第三产业占比高、能源结构更清洁、环境治理体系相对成熟,环境保护税带来的边际调控压力有限;而外围城市仍处于工业化进程中,传统制造业仍占一定比重,环境规制的边际效益较高,征收环境保护税对其产业结构调整与技术升级的引导作用更为明显。因此,环境保护税的政策效果因城市发展阶段与功能定位不同而存在显著差异。

6. 研究结论与政策建议

本研究基于双重差分模型与地市级面板数据,系统评估了环境保护税对中国城市绿色转型的影响与机制,发现该政策显著促进了城市绿色全要素生产率,印证了其作为市场型环境规制工具对绿色低碳发展的积极作用。其影响机制通过多重路径实现:通过增强地方政府环境规制力度、向市场传递绿色政策信号,引导金融资源流向绿色产业与技术创新、激励地方政府增加科技财政支出,形成公共与私人部门良性互动的转型推动力。异质性分析表明,政策效果存在明显差异,在区域层面表现为西部地区最为突出、中部次之、东部不明显,按资源禀赋划分则资源型城市效果优于非资源型城市,按城市发展水平与功能定位则外围城市促进显著而中心城市影响不显著,这些差异反映出政策效果受经济发展阶段、产业结构与环境规制基础等多重因素调节。

基于以上结论,为更好发挥环境保护税推动城市绿色转型的作用,提出以下政策建议:第一,实施差异化环境税政策。应根据地区和发展阶段特点实行差别化税率和征税范围,西部地区和资源型城市可适当提高环境税负,并与生态补偿、转移支付等政策形成合力;东部地区和中心城市应更注重环境税与其他绿色政策的协同创新;第二,强化政策协同与制度配套。环境保护税需与绿色金融、科技创新等政策形成系统合力。建议建立绿色项目财政贴息、绿色技术研发基金等配套机制,尤其应加强对外围城市和资源型城市绿色技术研发与产业升级的财政支持;第三,完善地方绿色治理激励机制。将绿色转型成效纳入地方政府考核体系,增强政府环保履职动力,鼓励企业、公众与社会组织参与环境治理,完善企业环境信息披露制度,建立公众监督与反馈渠道,形成“政策引导–市场响应–社会参与”的绿色治理新格局。

参考文献

[1] Pigou, A.C. (1920) The Economics of Welfare. Macmillan.
[2] 曹越, 唐奕可, 辛红霞. “环保费改税”提高了重污染企业全要素生产率吗? [J]. 审计与经济研究, 2022, 37(5): 95-106.
[3] 白瑜. 环保费改税对企业创新质量的影响——基于上市公司面板数据的经验研究[J]. 经济与管理评论, 2024, 40(5): 96-108.
[4] 闫浩, 马金华. 环保税的有效性分析: 作用机制和异质性探讨[J]. 经济问题, 2023(10): 60-69.
[5] 郭晓旭, 张娆. “环保费改税”政策发挥了信号传递效应吗?——来自企业绿色治理的证据[J]. 现代财经(天津财经大学学报), 2024, 44(5): 79-94.
[6] Yu, Y., Liu, J. and Wang, Q. (2024) Has Environmental Protection Tax Reform Promoted Green Transformation of Enterprises? Evidence from China. Environmental Science and Pollution Research, 31, 29472-29496. [Google Scholar] [CrossRef] [PubMed]
[7] Shen, Y. and Zhang, X. (2022) Study on the Impact of Environmental Tax on Industrial Green Transformation. International Journal of Environmental Research and Public Health, 19, Article 16749. [Google Scholar] [CrossRef] [PubMed]
[8] 康莹, 严成樑. 环境规制与绿色转型: 基于绿色财税视角的分析[J]. 中央财经大学学报, 2024(1): 29-46.
[9] 陈晓珊, 陈欣仪, 李链娜, 等. “双碳”背景下环保税对企业绿色转型影响实证研究[J]. 管理现代化, 2022, 42(6): 121-128.
[10] 陈兆楠, 王郁蓉. 环保税政策对企业可持续发展绩效的影响研究[J]. 西部金融, 2024(9): 75-83.
[11] Liu, X., Ren, F., Sun, F. and Yuan, X. (2024) Green Transformation and Performance Synergy Efficiency of China’s Thermal Power Enterprises on the Basis of the Environmental Tax Burden. Scientific Reports, 14, Article 19358. [Google Scholar] [CrossRef] [PubMed]
[12] 韦东明, 顾乃华. 城市低碳治理与绿色经济增长——基于低碳城市试点政策的准自然实验[J]. 当代经济科学, 2021, 43(4): 90-103.
[13] 张建鹏, 陈诗一. 金融发展、环境规制与经济绿色转型[J]. 财经研究, 2021, 47(11): 78-93.
[14] 刘华珂, 何春. 绿色金融促进城市经济高质量发展的机制与检验——来自中国272个地级市的经验证据[J]. 投资研究, 2021, 40(7): 37-52.
[15] 周波, 杨李路, 李冀宁. 我国环境保护税开征显著改善环境质量了吗——基于地市级城市环境指标的实证分析[J]. 税务研究, 2022(11): 59-65.
[16] 史丹, 李少林. 排污权交易制度与能源利用效率——对地级及以上城市的测度与实证[J]. 中国工业经济, 2020(9): 5-23.
[17] 江艇. 因果推断经验研究中的中介效应与调节效应[J]. 中国工业经济, 2022(5): 100-120.
[18] 刘亦文, 邓楠. 环境保护税是否有效释放了四重红利效应? [J]. 中国人口·资源与环境, 2023, 33(10): 35-46.
[19] 房景, 姚树洁, 冯根福, 等. 交通基础设施能否促进消费市场发展——来自中国高铁的经验证据[J]. 南开经济研究, 2023(9): 55-74.