基于质刚重合的地震模拟台浮筑式反力基础振动控制研究
Research on Vibration Control of Floating Reaction Foundation for Earthquake Simulation TableBased on Mass-Rigidity Coincidence
DOI: 10.12677/hjce.2026.151010, PDF, HTML, XML,    科研立项经费支持
作者: 伍文科, 初靖轩, 刘 鑫, 王 辛, 韩蓬勃:国机集团科学技术研究院有限公司,国机集团工程振动控制技术研究中心,机械工业重大科学基础设施关键工艺装备振动控制重点实验室,北京
关键词: 地震模拟台浮筑式反力基础质刚重合Seismic Simulation Table Floating Reaction Foundation Mass-Rigidity Coincidence
摘要: 文章针对地震模拟振动台反力基础的振动控制问题,以质刚重合为设计核心,提出四种结构优化方案,包括基准型、质量调节型、刚度调节型与综合优化型。通过有限元建模,系统开展了模态与谐响应分析,评估各方案在频率特性、振型耦合、台面位移及隔振器反力等方面的性能差异。结果表明,通过调节隔振器布置以优化刚度分布,可显著提升水平向振动控制效果,其性能优于单一质量调节策略;综合优化方案虽未带来明显增益,但刚度主导型设计在实际工程中具备较高应用价值。本研究为高精度地震模拟振动台反力基础的优化设计提供了理论依据与实践参考。
Abstract: This paper focuses on the vibration control of the reaction foundation in earthquake simulation shaking tables, centering on the mass-rigidity coincidence principle. Four structural optimization schemes are proposed, including a baseline model, mass adjustment, stiffness adjustment, and a comprehensive optimized model. Finite element modeling was employed to systematically conduct modal and harmonic response analyses, evaluating each scheme in terms of frequency characteristics, mode coupling, platform displacement, and isolator reaction forces. The results demonstrate that adjusting the layout of isolators to optimize stiffness distribution significantly enhances horizontal vibration control, outperforming the mass adjustment strategy alone. Although the comprehensive scheme did not yield significant additional improvement, the stiffness-dominated design shows high practical applicability. This study provides a theoretical basis and practical reference for the optimal design of high-precision reaction foundations in earthquake simulation shaking tables.
文章引用:伍文科, 初靖轩, 刘鑫, 王辛, 韩蓬勃. 基于质刚重合的地震模拟台浮筑式反力基础振动控制研究[J]. 土木工程, 2026, 15(1): 78-84. https://doi.org/10.12677/hjce.2026.151010

1. 引言

地震模拟振动台作为结构抗震研究中的关键实验设备,能够真实模拟地震动过程,为评估建筑结构、桥梁及特种工程的抗震性能提供重要技术支撑[1]-[5]。随着振动台技术的持续进步,特别是多台阵系统的广泛应用,对反力基础的设计与振动控制提出了更高要求。反力基础作为振动台系统的核心组成部分,其主要功能是提供反力支承并抑制系统振动对周边环境的影响[6]-[10]。然而,实际运行中反力基础并非理想刚体,其在荷载作用下将产生动力响应,甚至引发共振,严重影响试验精度与设备安全。

本文立足于地震模拟台浮筑式反力基础的振动控制需求,系统探讨质刚重合设计理论及其在抑制基础振动、提升试验精度方面的应用潜力。通过构建四种典型设计方案,开展模态与谐响应分析,明确各方案的振动控制效果,为地震模拟台系统的设计优化与工程实践提供理论依据与技术支撑。

2. 质刚重合设计方案

当反力基础系统的质心与刚心存在偏差时,水平作动器施加的惯性力不通过刚心,导致基础在平动之外产生扭转振动,这一现象在地震模拟台偏心安装时尤为显著。此类扭转效应会严重干扰试验精度,造成台面运动轨迹失真,甚至损害试件或设备。因此,在浮筑式反力基础设计中应尽可能实现质刚重合,其核心在于协调基础台体质量与隔振系统刚度的分布,关键设计原则是使质心与刚心在平面上尽量接近。具体设计思路包括两方面:一是调整质量分布,如在基础内部实施非均匀配重设计,或局部采用不同密度材料,从而主动将质心调整至目标位置;二是调节刚度分布,即通过精确计算并优化隔振器的平面布置,或组合使用不同刚度的隔振器,有效移动基础–隔振器系统的刚心,使其趋近质心。

基于上述思路,本文提出四种质刚重合设计方案,如图1所示。方案一为基准方案;方案二通过调整台体下部材料密度,使质心向刚心靠拢;方案三通过优化隔振器布置,调整刚度分布增加下挂使刚心向质心靠拢;方案四则综合方案二与方案三,采用非均匀配重与隔振器刚度组合,进一步提升质刚重合效果。

Figure 1. Schematic diagram of design plan for mass-rigidity coincidence

1. 质刚重合设计方案示意图

本文使用大型通用有限元软件ANSYS建模和分析,采用SOLID 45单元模拟反力基础混凝土台体,材料等级为C30,弹性模量3.0 × 1010 N/m2、泊松比0.2、密度2500 kg/m3,方案二中用于调整质心的局部区域材料密度根据设计调整为3350 kg/m3。混凝土结构采用自由网格划分,台体网格尺寸控制为0.5 m,对于存在局部质量调整、几何特征变化或隔振器附近的区域,进行网格局部细化,最小网格尺寸为0.2 m。采用COMBIN 14模拟浮筑式反力基础钢弹簧隔振器,基础竖向设计频率2.5 Hz,共布置32组隔振器,各节点隔振器竖向刚度根据基础自重和设计频率反算,水平刚度为竖向的0.5,阻尼比0.2。在模型中,隔振器底部节点施加全约束,模拟其与刚性地面或底板的固定连接。具体模型见图2,为后续模态与谐响应分析奠定基础。

(a) 无下挂模型 (b) 有下挂模型

Figure 2. Model diagram of floating reaction foundation for earthquake simulation table

2. 地震模拟台浮筑式反力基础模型图

3. 基础模态特性分析

基础模态分析结果表明,四种设计方案的反力基础前6阶振型均为整体振型,分别为沿x、y、z轴的平动及绕三轴的转动;第7阶及以上为台体局部振型。为评估振动控制性能,本文仅分析前6阶模态。表1~4列出各方案前6阶模态频率及振型质量参与系数。

Table 1. Modal frequencies from the 1st to 6th order of plan 1 reaction foundation

1. 方案一反力基础第1~6阶模态频率

阶数

频率(Hz)

X

Y

Z

ROTX

ROTY

ROTZ

1

1.25

0.93

0.01

0.00

0.00

0.29

0.42

2

1.25

0.01

0.93

0.00

0.29

0.00

0.27

3

1.73

0.00

0.00

0.00

0.00

0.00

0.27

4

2.47

0.00

0.00

1.00

0.54

0.54

0.00

5

2.94

0.04

0.02

0.00

0.05

0.12

0.00

6

2.94

0.02

0.04

0.00

0.12

0.05

0.04

注:X、Y、Z列分别为该阶振型在X、Y、Z方向的平动质量参与系数;ROTX、ROTY、ROTZ列分别为绕X、Y、Z轴的转动质量参与系数。系数越接近1,表示该振型在该方向的运动越纯粹。

Table 2. Modal frequencies from the 1st to 6th order of plan 2 reaction foundation

2. 方案二反力基础第1~6阶模态频率

阶数

频率(Hz)

X

Y

Z

ROTX

ROTY

ROTZ

1

1.24

0.95

0.01

0.00

0.00

0.26

0.41

2

1.24

0.01

0.95

0.00

0.26

0.00

0.29

3

1.69

0.00

0.00

0.00

0.00

0.00

0.27

4

2.46

0.00

0.00

1.00

0.56

0.56

0.00

5

2.90

0.03

0.01

0.00

0.06

0.12

0.00

6

2.90

0.01

0.03

0.00

0.12

0.06

0.03

Table 3. Modal frequencies from the 1st to 6th order of plan 3 reaction foundation

3. 方案三反力基础第1~6阶模态频率

阶数

频率(Hz)

X

Y

Z

ROTX

ROTY

ROTZ

1

1.34

0.32

0.66

0.00

0.19

0.09

0.71

2

1.34

0.66

0.32

0.00

0.09

0.19

0.02

3

1.77

0.00

0.00

0.00

0.00

0.00

0.26

4

2.47

0.00

0.00

1.00

0.53

0.53

0.00

5

2.82

0.00

0.02

0.00

0.18

0.00

0.01

6

2.82

0.02

0.00

0.00

0.00

0.18

0.01

Table 4. Modal frequencies from the 1st to 6th order of plan 4 reaction foundation

4. 方案四反力基础第1~6阶模态频率

阶数

频率(Hz)

X

Y

Z

ROTX

ROTY

ROTZ

1

1.37

0.42

0.56

0.00

0.15

0.11

0.73

2

1.37

0.56

0.42

0.00

0.11

0.15

0.00

3

1.83

0.00

0.00

0.00

0.00

0.00

0.25

4

2.47

0.00

0.00

1.00

0.55

0.55

0.00

5

2.82

0.00

0.02

0.00

0.19

0.00

0.01

6

2.82

0.02

0.00

0.00

0.00

0.19

0.00

通过对四种方案的模态分析,获取了前六阶整体振型频率及其在X、Y、Z方向的平动与转动振型质量参与系数。分析表明:方案一与方案二的模态频率较为接近,前两阶以X、Y方向平动为主,第三阶为绕Z轴转动;方案三与方案四的前两阶模态主要表现为沿X、Y轴对角线平动,且在X、Y方向的平动与转动耦合程度有所减弱。从水平向解耦效果来看,方案三与方案四略优于方案一与方案二。

4. 谐响应特征分析

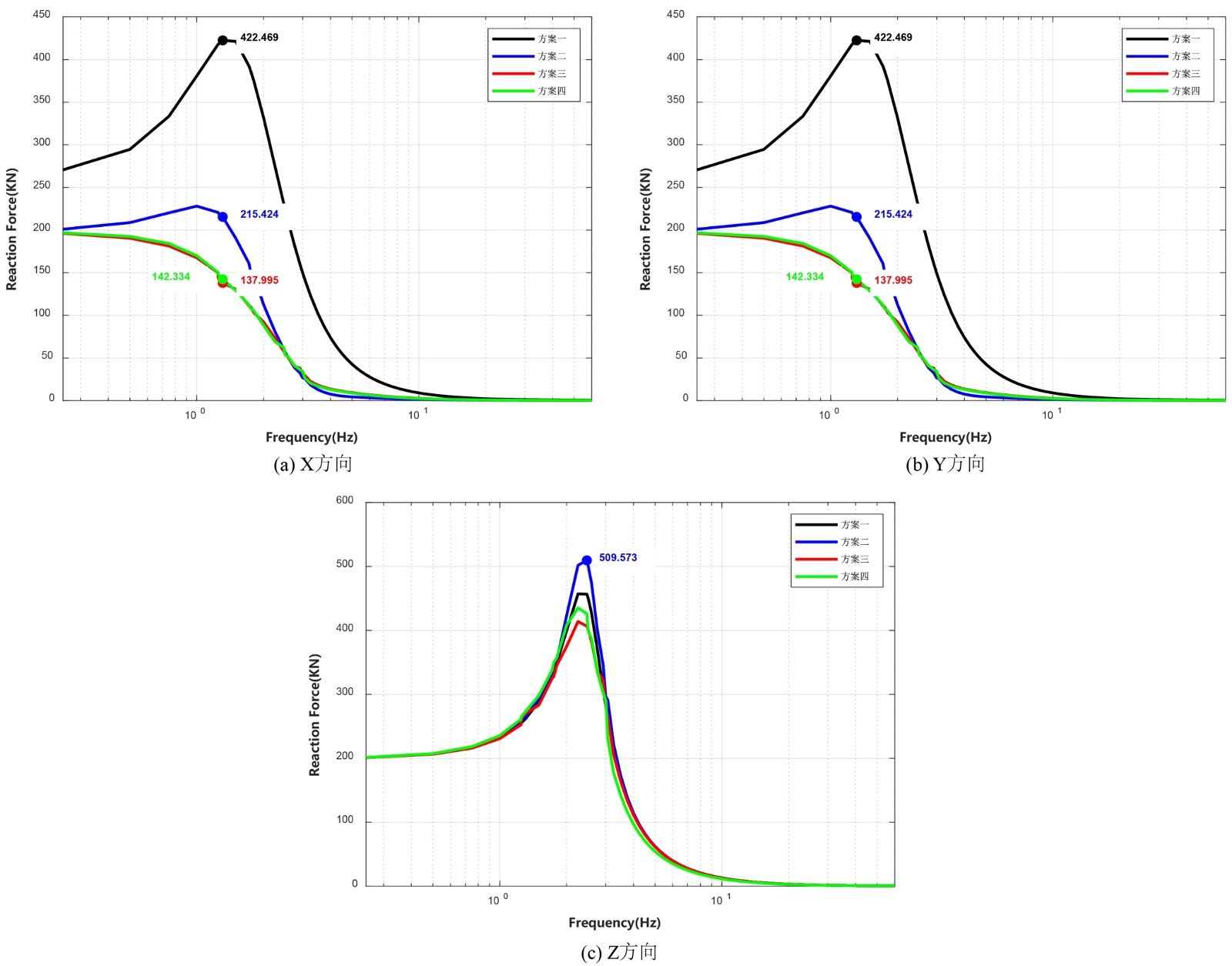
对四种浮筑式反力基础方案开展谐响应分析,频率范围为0~60 Hz (地震模拟台主要工作频段)。在地震模拟台X、Y、Z方向作动器作用位置施加荷载,按单向运动工况分别加载。每个方向设置四个作动器,单个作动器荷载为50 kN,单方向总荷载为200 kN,荷载以集中力形式,施加在作动器与基础连接的预埋板中心节点。提取基础上表面中心节点的位移(图3),以及所有隔振器底部的三向反力(图4)。

Figure 3. Comparison of the displacement of four floating counter-force foundation platforms

3. 四种方案浮筑式反力基础台面位移对比

图3台面位移响应分析表明:

水平向(X, Y)控制效果:方案一的位移响应峰值最大;方案二(质量调节)相比方案一,X向峰值位移从1.185 mm降至1.087 mm,降幅约8.3%;Y向峰值从1.160 mm降至1.063 mm,降幅约8.4%。方案三(刚度调节)效果显著,X向峰值大幅降低至0.744 mm,降幅达37.2%;Y向峰值降低至0.72 mm,降幅达37.9%。方案四与方案三结果极为接近,未表现出进一步优化。

竖向(Z)响应:各方案在Z方向的位移响应曲线与峰值(0.455 mm)差异很小,说明质刚重合设计对竖向振动控制影响有限。

结论:在实现质刚重合的措施中,调整隔振器布置(刚度调节)对降低水平向台面响应的效果远优于调整台体材料密度(质量调节)。

Figure 4. Comparison of bottom reaction force of floating reaction foundation vibration isolator with four schemes

4. 四种方案浮筑式反力基础隔振器底部反力对比

图4隔振器反力分析表明:

水平向反力:方案一的反力峰值最大;方案三的反力控制效果最好,对应频率X和Y向峰值反力均为142 kN,较方案一的峰值(422 kN)降低了约66.4%;方案四的反力水平与方案三相当。

竖向反力:各方案Z向反力峰值均在509 kN左右,差异不显著。

综合评估:方案三(刚度调节型)与方案四(综合型)在控制台面位移和减小隔振器传递反力两方面均表现出最优且相近的性能,显著优于基准型和质量调节型方案。

5. 结论

本文针对浮筑式地震模拟台反力基础,提出了基于质刚重合理念的四种设计方案,并通过详细的有限元参数化建模,系统开展了模态与谐响应分析,量化评估了其振动控制性能。主要结论如下:

模态分析表明,通过优化隔振器布置调整刚度分布(方案三、四),能在一定程度上改变系统振型耦合特性,提升高阶模态的水平向解耦效果。

谐响应分析定量表明,刚度调节方案(方案三)在控制水平向振动方面优势明显,其台面水平向位移峰值较基准方案(方案一)降低约37%;传递至基础的水平向反力峰值较最大的方案一降低约66%。

单纯的质量调节方案(方案二)对振动控制的改善有限(位移降幅约8%),且可能增大隔振器反力。

综合优化方案(方案四)并未在刚度调节方案的基础上带来显著的额外性能提升,表明在本研究参数范围内,刚度优化是实现质刚重合、提升振动控制效果的主导因素。

在实际地震模拟台反力基础工程设计中,建议优先考虑通过隔振器的非均匀布置来优化系统刚度分布,使刚心逼近质心。设计过程中,应依据具体的振动台性能参数、基础几何尺寸、场地条件及环境振动控制标准,进行系统性的有限元建模与参数分析,以实现经济高效的最优振动控制设计。

基金项目

国机集团科学技术研究院有限公司青年基金项目“超大型模拟振动台基础振动控制关键技术研究与应用”(SINOMAST-QNJJ-2023-05)。

参考文献

[1] 葛康, 陈世鸣. 大缩尺模型振动台试验误差分析[J]. 结构工程师, 2017, 33(5): 154-161.
[2] 徐培福. 复杂高层建筑结构设计[M]. 北京: 中国建筑工业出版社, 2005.
[3] 张同亿, 付仰强, 赵宏训. 大型地震模拟振动台基础设计综述[J]. 建筑结构, 2021, 51(17): 106-114.
[4] 德玲, 李元鹏, 刘杰. 高层建筑结构振动台模型与原型对比的研究[J]. 振动工程学报, 2013, 26(3): 436-442.
[5] 纪金豹, 武剑峰, 李文月. 地震模拟振动台基础设计与建造技术综述[J]. 北京工业大学学报, 2022, 48(8): 888-897.
[6] 王燕华, 程文瀼, 陈忠范, 等. 单向地震模拟振动台的设计[J]. 东南大学学报(自然科学版), 2009, 39(S2): 231-237.
[7] 邹荣. 单向水平地震模拟振动台基础设计与施工研究[D]: [硕士学位论文]. 武汉: 华中科技大学, 2004.
[8] 尹谦钧, 侯杰, 邱半维. 地震模拟振动台的基础设计研究[J]. 工程抗震与加固改造, 2009, 31(4): 40-44.
[9] 方子明, 黄褔云, 陈宝春. 福州大学地震模拟振动台三台阵基础设计与施工研究[J]. 福州大学学报(自然科学版), 2013, 41(4): 807-812.
[10] 肖汉. 振动台基础振动对厂房的影响[D]: [硕士学位论文]. 苏州: 苏州科技学院, 2015.