淮南潘集采煤沉陷积水区水体水质特征与评价
Evaluation and Characteristics of Surface Water Quality of Panji Coal Mining Subsidence Area in Huainan
DOI: 10.12677/aep.2026.161006, PDF, HTML, XML,    科研立项经费支持
作者: 吴 康*#, 于孝坤:安徽理工大学地球与环境学院,安徽 淮南;李 兵, 陈 晨, 孙宏杰:平安煤炭开采工程技术研究院有限责任公司,安徽 淮南;淮南矿业(集团)有限责任公司,安徽 淮南
关键词: 煤沉陷水域水质特征单因子水质标识指数法综合水质标识指数法淮南潘集Coal Mining Subsidence Water Area Water Quality Characteristics Single Factor Water Quality Identification Index Method Comprehensive Water Quality Identification Index Method Panji Town of Huainan
摘要: 为了解淮南潘集矿区采煤沉陷积水区水质状况,将该研究区域划分为潘一矿、潘二矿和潘三矿沉陷积水区3个单元,采集不同单元水样并测定其理化参数,同时运用单因子水质标识指数与综合水质标识指数相结合的方法对其水质进行评价。结果表明:(1) 各沉陷积水区水体均呈弱碱性特征,氮磷营养盐空间分布特征显示潘一矿和潘三矿氮磷营养盐浓度显著高于潘二矿(p < 0.05),这与其沉陷水域周边存在农业面源污染及沉陷水域存在水产养殖活动有关;(2) 重金属Zn、Fe、As和Hg在潘一矿、潘二矿和潘三矿均出现一定程度富集,这与沉陷水域及周边存在煤矸石回填现象并导致重金属淋溶释放有关,但整体浓度水平仍处于较低范围,这可能与沉陷水域形成时间较短、大气降水稀释作用以及煤矸石中硫化物–碱金属化合物中的易溶性碱性离子与重金属离子相互作用形成沉淀有关;(3) 单因子水质标识指数结果表明,溶解氧(DO)、高锰酸盐指数(CODMn)、总磷(TP)和总氮(TN)在潘一矿污染较为严重,其中TN污染最为严重;(4) 综合水质标识指数法结果显示,潘二矿综合水质标识指数Iwq满足地表水II类标准,潘三矿达到III类标准,而潘一矿仅满足IV类标准,表明水质状况在不同单元之间存在显著差异。
Abstract: To investigate the water quality characteristics of the coal mining subsidence water accumulation area in Panji, Huainan, this study divided the research area into three typical units Pan-1, Pan-2, and Pan-3 miningareas and analyzed surface water samples through physicochemical parameter determination. A comprehensive water quality assessment was conducted using an integrated approach combining single-factor and composite water quality identification indices. The findings revealed: (1) All units exhibited weakly alkaline characteristics, with significantly higher concentrations of nitrogen and phosphorus nutrients in Pan-1 and Pan-3 units compared to Pan-2 (p < 0.05), attributable to agricultural non-point source pollution and aquaculture activities. (2) Heavy metal analysis identified moderate enrichment of Zn, Fe, As, and Hg in Pan-1, Pan-2 and Pan-3 units, spatially correlated with leaching effects from coal gangue backfilling areas. However, overall concentrations remained relatively low, potentially due to short-term waterbody formation, atmospheric precipitation dilution, and geochemical retardation effects from sulfide-alkali metal compounds in coal gangue. (3) Single-factor evaluation demonstrated elevated pollution levels of dissolved oxygen DO, permanganate index CODMn, total phosphorus TP, and total nitrogen TN in Pan-1 and Pan-3 units, with TN representing the most severe contaminant. (4) Composite water quality assessment classified Pan-2 unit as meeting Class II standards, Pan-3 unit achieving Class III standards, while Pan-1 unit only satisfied Class IV functional requirements, indicating substantial inter-unit variability in water quality status.
文章引用:吴康, 于孝坤, 李兵, 陈晨, 孙宏杰. 淮南潘集采煤沉陷积水区水体水质特征与评价[J]. 环境保护前沿, 2026, 16(1): 45-53. https://doi.org/10.12677/aep.2026.161006

1. 研究背景

煤炭作为我国主体一次能源,在国民经济体系中具有举足轻重的战略地位[1]。但大规模煤炭资源开发在创造显著经济社会效益的同时,也出现了一系列生态环境问题[2]。其中,地表沉陷是采煤过程中产生的较为普遍且严重的生态环境问题之一[3]。研究表明,我国已有约400万hm2的土地因煤炭开采而遭到破坏,且仍以年均约4.5万hm2的速率在持续扩张[4]。在我国东部高潜水位煤矿区,沉陷区域50%左右的受损土地将逐步演化为永久性积水区,进而演变成不同类型的景观水体[5]。这种次生水域生态系统具有显著的生态累积效应,其潜在的环境风险已对矿区生态环境和区域可持续发展构成严峻挑战[6]。因此,开展沉陷积水区水质监测与综合评价,不仅能够精准识别水环境演变特征,更可为制定科学的水环境修复方案提供理论依据[7]

传统水环境研究多聚焦于河流、湖泊及海洋等自然水体的水质评价体系构建,而针对采煤沉陷积水区水体的水环境特征研究则相对较少[8]-[13]。随着采煤工程引发的次生地质灾害频发,特别是地表沉陷积水区的生态效应日益凸显,该领域逐渐成为环境科学与工程学科的研究热点[14]-[18]。煤炭开采工程中形成的沉陷积水区通常是封闭型水域,但与周边的自然水体进行连通,就会形成开放型水域,导致采煤沉陷积水区原有的水生态系统发生紊乱,进而影响到与之相连通的自然水体,因此对沉陷积水区的水质分析与评价越发重要[3]

2. 数据来源与研究方法

2.1. 研究区概况

淮南市地处淮河中游两岸,矿区呈“南北双带”分布。淮南潘集矿区位于中国东部高潜水位华北平原南缘,是淮南煤矿群的重要组成部分,该区域煤层上覆厚松散层,地下煤炭资源长期大规模井工开采引发了显著的地表沉陷。由于潜水位较高,采煤沉陷区广泛积水,形成了特殊的地表水体——采煤沉陷积水区,其水文循环模式显著改变,水域随开采活动持续扩展。潘集矿区由潘一、潘二、潘三及潘北等矿井组成,据监测统计,整个矿区已形成大小不一的塌陷水域,总积水面积达约10.79 km2 (占塌陷区域29.16%),蓄积淡水资源的量巨大,形成了一种独特的可利用水资源。本研究选取淮南潘集矿区中的潘一矿、潘二矿和潘三矿沉陷积水区作为研究对象,对其水质特征进行分析与评价,以期为采煤沉陷水域的治理及修复提供可行性建议。

2.2. 样品采集与测试

为了客观且全面分析淮南潘集采煤沉陷积水区水质特征,按照地表水监测布点采样原则,并结合当地实际情况,于2023年9月对潘一矿、潘二矿和潘三矿采煤沉陷积水区进行水样采集,采样点分布情况如图1所示,其中PY1~PY5表示潘一矿采煤沉陷积水区采样点位,PE1~PE5表示潘二矿采煤沉陷积水区采样点位,PS1~PS5表示潘三矿采煤沉陷积水区采样点位。

Figure 1. Map of sampling locations in the subsidence-induced waterlogged areas of Panyi Mine, Paner Mine, and Pansan Mine

1. 潘一矿、潘二矿、潘三矿沉陷积水区采样点位图

采集水样前先利用水样对水样采集器润洗3次,测试氮磷营养盐指标需对水样添加硫酸酸化且低温避光保存;测试重金属指标需添加硝酸进行酸化;水温、pH、DO、电导率(EC)等指标用便携式仪器在现场进行测定。参照《水和废水监测分析方法》(第4版)要求,使用碱性过硫酸钾消解紫外分光光度法对TN进行测定,使用钼酸铵分光光度法对TP进行测定,氨氮(NH3-N)的测定则采用纳氏试剂分光光度法,CODMn运用高锰酸钾法进行测定,叶绿素a (Chl. a)的测定使用丙酮萃取分光光度法。具体检测方法参加国家标准[19]

2.3. 研究方法

目前国内外对水质进行综合评价的方法主要有污染指数法、内梅罗指数法、灰色系统评价法、单因子水质标识指数法、综合水质标识指数法、模糊数学法、主成分分析法等[20]-[22]。其中,综合水质标识指数法不仅包含了水体污染程度和水质类别及是否达到水环境功能区目标等重要信息[23],使研究区域内不同指标因子转化为同一量纲进行比较,而且可以运用地表水环境质量标准对其水质进行定性和定量评价[24] [25]。本研究运用单因子水质标识指数和综合水质标识指数相结合的方法对淮南潘集矿区采煤沉陷积水区水质进行综合评价。

(1) 单因子水质标识指数法[26]。单因子水质标识指数Pi的组成包括一位整数、小数点后两位或三位有效数字,其结构为:

P i = X 1 X 2 X 3

式中:X1代表第i项监测指标对应的水质类别;X2为相对位置参数,反映监测值在X1类水质区间中所处的位置,根据四舍五入原则计算确定;X3表示水质类别与水环境功能区类别比较结果,根据评价指标的污染程度,X3可为一位或两位有效数字。

(2) 综合水质标识指数法[27]。综合水质标识指数Iwq的组成包括一位整数和三位或四位小数位,其结构为:

I wq =X 1 X 2 X 3 X 4

式中:X1.X2数值由计算获得,X3和X4根据比较得到对应数值。其中,X1表示水体综合水质类别;X2为综合水质在X1类水质类别区间所处位置,以便在同类水中对水质优劣进行比较;X3为参与综合水质评价的水质指标中,劣于水环境功能区目标的单项指标个数;X4代表综合水质类别与水环境功能区类别的比较结果,根据综合水质污染程度,X4为一位或两位有效数字。

各点位数据标准差S计算方法如下:

S = S 2 = i=1 n   ( x i - x ¯ ) 2 n-1

各点位变异系数计算公式如下:

C v = S x ¯

式中:xi为某指标第i个样点对应数值; x ¯ 代表某指标算数平均值;n代表某指标样点个数。

3. 结果分析与讨论

3.1. 水质指标空间分布特征

3.1.1. 氮、磷营养盐浓度空间分布特征

潘一矿、潘二矿、潘三矿采煤沉陷积水区各采样点氮、磷浓度如图2所示。潘二矿沉陷积水区作为开放型水域,因与泥河连通,水体交换条件良好,其NH3-N、TP浓度均满足地表水II类标准,TN除PE1点位达III类标准外均满足II类标准,整体呈现低浓度均匀分布特征。相比之下,封闭型水域的潘一矿和潘三矿则呈现显著空间异质性:潘一矿NH3-N浓度以III类为主(仅PY3点位达IV类),TP在PY2、PY3点位分别超标至V类和劣V类,TN则呈现劣V类(PY1)至IV类的梯度变化;潘三矿NH3-N均达III类标准,TP除PS4点位达IV类外均满足III类标准,TN则以IV类为主(PS5点位达V类)。分析表明,封闭型水域水文连通性较差导致营养盐累积效应显著,进一步证明了水体动力条件对污染物迁移扩散的关键控制作用。

实地调研发现在沉陷水域及周边存在农业种植及水产养殖现象,这是造成沉陷水域水体存在一定程度富营养化的原因。同时研究发现在潘三矿沉陷积水区水面存在大量水上光伏板,潘二矿有少量光伏板,潘一矿则无水上光伏板覆盖。对比分析显示,光伏覆盖区水体富营养化程度较未覆盖区显著降低(p < 0.05)。宋鑫[28]等研究水上光伏电站对淮南矿区沉陷积水区水生态环境的影响时发现在水面光伏电站覆盖率较高(50%)的水域,水体富营养化程度明显低于其他水域,主要是由于水面光伏板的遮光效应能够有效抑制浮游植物的过度生长,从而降低水体的富营养化程度。

Figure 2. N and P concentrations at sampling points in different units of the study area

2. 研究区不同单元采样点氮磷浓度

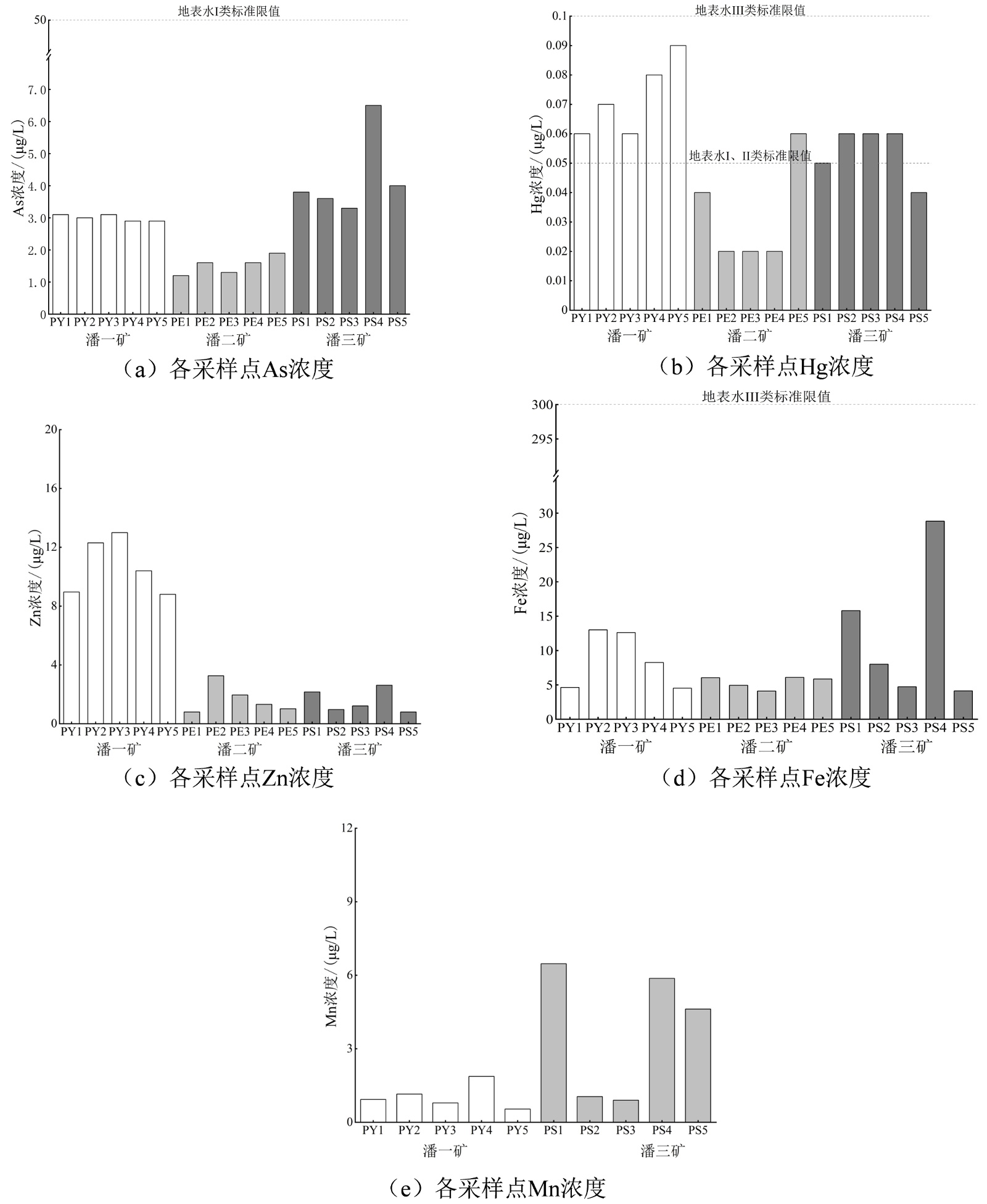
3.1.2. 重金属浓度空间分布特征

注:潘二矿沉陷积水区Mn浓度低于检测限。

Figure 3. Heavy metal concentrations at sampling points in different units of the study area

3. 研究区不同单元采样点重金属浓度

研究区各单元采样点水样重金属浓度如图3所示。由图3可知,潘二矿沉陷积水区除Hg呈现微量空间异质性外,Mn浓度低于检出限,其余重金属浓度空间分布均质性显著。潘一矿和潘三矿分别存在Hg、Fe和Zn的局部浓度差异特征。同时研究发现,所有沉陷水域中Zn、As浓度均达地表水I类标准,其他重金属均满足III类标准限值,且所有重金属含量较低。采煤沉陷水域普遍存在煤矸石回填现象,煤矸石在降水淋滤和水体浸提作用下持续释放重金属[29]。但可能是由于沉陷积水区形成时间较短,重金属并未长时间积累,同时大气降水和地表径流也会加快水体更新速率,使重金属离子浓度稀释并保持在较低水平。宋鑫[28]等研究水上光伏对采煤沉陷水域水生态环境的影响时也发现Cu、Zn、As、Cr、Cd、Pb、Fe、Mn等重金属浓度在沉陷积水区也普遍较低。孙鹏飞[30]等对两淮采煤沉陷积水区水化学特征研究时发现煤矸石中存在的碱金属化合物、硫化物等物质产生的易溶性碱性离子进入水体,使沉陷积水区水体碱性增强,使重金属元素产生沉淀,这也是造成沉陷积水区重金属离子浓度普遍很低的另一重要原因。

3.2. 水质评价

3.2.1. 单因子水质标识法评价结果

研究区各单元采样点水质指标单因子水质标识指数法评价结果如表1所示。由表1可知,潘一矿沉陷积水区主要污染因子为TN,各采样点单因子水质标识指数评估显示其水质类别均达地表水IV类及以上,超出III类水质标准限值。其次,TP、DO和CODMn指标亦普遍超出III类标准。潘二矿沉陷积水区PE4、PE5点位DO和CODMn指标达IV类标准,其余指标均满足III类标准。潘三矿沉陷积水区TN污染最为严重,所有采样点水质类别均超III类标准,CODMn在PS1、PS4和PS5点位呈现IV类及以上污染特征,PS3、PS5点位DO及PS4点位TP指标亦存在超标现象。同时研究发现,各矿区重金属指标均符合III类标准限值。根据X2数值在水质类别中所处位置可以判断水体在水质类别中的相对污染程度,数据中超标因子X2均值大于5,表明水体存在进一步恶化风险。

Table 1. Evaluation results of single-factor water quality identification index for water quality parameters in various coal mining subsidence waters of the study area

1. 研究区域不同煤矿沉陷水域水质指标单因子水质标识法评价结果

点位

DO

CODMn

NH3-N

TN

TP

Zn

As

Hg

Fe

Mn

Cr

PY1

4.11

5.03

3.90

6.13

4.91

1.20

1.10

3.20

3.00

3.00

--

PY2

4.31

4.51

3.80

5.82

5.52

1.20

1.10

3.40

3.00

3.00

--

PY3

4.11

4.71

4.21

5.62

6.33

1.80

1.10

3.20

3.00

3.00

--

PY4

4.41

4.91

2.80

4.71

4.41

1.20

1.10

3.60

3.00

3.00

--

PY5

4.51

4.31

3.40

4.61

4.51

1.20

1.10

3.80

3.00

3.00

--

PE1

3.80

3.40

2.20

3.20

2.20

1.00

1.00

1.80

3.00

--

--

PE2

1.90

2.80

2.30

2.90

2.20

1.10

1.00

1.40

3.00

--

--

PE3

2.70

3.30

2.20

3.10

2.40

1.00

1.00

1.40

3.00

--

--

PE4

4.11

4.31

2.60

2.60

2.60

1.00

1.00

1.40

3.00

--

--

PE5

4.02

4.11

2.60

3.10

2.20

1.00

1.00

3.20

3.00

--

--

PS1

3.60

5.03

3.40

4.91

3.30

1.00

1.10

1.90

3.00

3.00

--

PS2

3.90

3.90

3.10

4.31

3.40

1.00

1.10

3.20

3.00

3.00

--

PS3

4.41

3.70

3.30

4.11

3.40

1.00

1.10

3.20

3.00

3.00

--

PS4

1.90

5.92

3.60

4.81

4.21

1.10

1.10

3.20

3.10

3.00

--

PS5

4.41

4.21

2.80

5.42

3.60

1.00

1.10

1.80

3.00

3.00

--

注:“--”表示无单因子评价结果。

3.2.2. 综合水质标识指数法评价结果

研究区各单元采样点综合水质标识指数法评价结果如表2所示。由表2总体来看,潘二矿沉陷积水区各采样点Iwq值均满足水环境功能区目标地表水III类标准限值,其中PE2和PE3点位达到地表水II类标准,水质状况较为良好。潘一矿沉陷积水区各采样点Iwq值显示,除PY3点位为地表水V类标准,其余点位水质类别均为地表水IV类,均超出水环境功能区目标,污染较为严重。潘三矿沉陷积水区除PS1、PS4和PS5点位Iwq值达到地表水IV类标准限值,其余点位Iwq值均满足地表水III类标准限值。潘一矿、潘二矿和潘三矿沉陷积水区的Iwq值表现为潘二矿(2.900) < 潘三矿(3.920) < 潘一矿(4.641),潘二矿沉陷积水区水质状况整体优于潘一矿和潘三矿,根据X2在水质类别区间中的位置可以判断出水体在水质类别中的相对污染程度,由表2可知,潘一矿沉陷积水区X2值大于5,进一步恶化为V类水的风险较高。

Table 2. Comprehensive water quality identification indices at sampling points in coal mining-induced subsidence waters of the study area

2. 研究区域不同煤矿采煤沉陷水域各采样点综合水质标识指数Iwq

点位

综合水质

点位

综合水质

点位

综合水质

标识指数

标识指数

标识指数

PY1

4.841

PE1

3.000

PS1

4.020

PY2

4.841

PE2

2.400

PS2

3.710

PY3

5.052

PE3

2.700

PS3

3.820

PY4

4.241

PE4

3.220

PS4

4.131

PY5

4.341

PE5

3.220

PS5

4.131

潘一矿

4.641

潘二矿

2.900

潘三矿

3.920

4. 结论

1) 采煤沉陷水域氮磷营养盐空间分布特征表明潘一矿和潘三矿氮磷营养盐浓度显著高于潘二矿,这与其沉陷水域周边存在农业面源污染及沉陷水域存在水产养殖活动有关;

2) 重金属离子在沉陷水域出现一定程度富集,这与沉陷水域及周边存在煤矸石回填现象并导致重金属淋溶释放有关,但整体浓度水平仍处于较低范围,这可能与沉陷水域形成时间较短、大气降水稀释作用以及煤矸石中硫化物–碱金属化合物中的易溶性碱性离子与重金属离子相互作用形成沉淀有关;

3) 单因子水质标识法结果表明潘一矿沉陷积水区污染最严重的为TN,其次为TP、DO和CODMn;潘二矿沉陷积水区PE4和PE5点位DO和CODMn污染较为严重,其余点位指标均满足水环境功能区目标;潘三矿沉陷积水区污染最严重为TN,其次为CODMn

4) 综合水质标识指数法结果表明,潘二矿沉陷积水区满足地表水III类水质要求,水质较好;潘一矿沉陷积水区只达到地表水IV类标准,从潘一矿沉陷积水区综合水质标识指数结果来看,进一步恶化为V类水的风险较高。

基金项目

采煤沉陷水域污染溯源及污染控制技术研究(HX2024702474)。

NOTES

*第一作者。

#通讯作者。

参考文献

[1] 李凤明. 我国采煤沉陷区治理技术现状及发展趋势[J]. 煤矿开采, 2011, 16(3): 8-10.
[2] 范英宏, 陆兆华, 程建龙, 等. 中国煤矿区主要生态环境问题及生态重建技术[J]. 生态学报, 2003(10): 2144-2152.
[3] 陈从磊, 谢毫, 陈业禹, 等. 淮南迪沟采煤沉陷区水体水质特征与评价[J]. 水资源与水工程学报, 2021, 32(2): 58-65.
[4] 胡振琪, 魏忠义, 秦萍. 矿山复垦土壤重构的概念与方法[J]. 土壤, 2005(1): 8-12.
[5] 章磊, 易齐涛, 李慧, 等. 两淮矿区小型塌陷湖泊水质特征与水环境容量[J]. 生态学杂志, 2015, 34(4): 1121-1128.
[6] 任梦溪. 临涣矿采煤沉陷区地表水环境特征及生态系统健康评价[D]: [硕士学位论文]. 合肥: 安徽大学, 2016.
[7] 李如忠, 陈慧, 刘超, 等. 合肥环城公园景观水体水质特征及环境质量评价[J]. 环境科学学报, 2020, 40(3): 1121-1129.
[8] Liu, Y.Y. and Mao, D.H. (2020) Integrated Assessment of Water Quality Characteristics and Ecological Compensation in the Xiangjiang River, South-Central China. Ecological Indicators, 110, Article 105922. [Google Scholar] [CrossRef
[9] He, J., Wu, X., Zhang, Y., Zheng, B., Meng, D., Zhou, H., et al. (2020) Management of Water Quality Targets Based on River-Lake Water Quality Response Relationships for Lake Basins—A Case Study of Dianchi Lake. Environmental Research, 186, Article 109479. [Google Scholar] [CrossRef] [PubMed]
[10] 胡光伟, 张明, 刘珍, 等. 洞庭湖水质变化及其形成机制分析[J]. 水资源与水工程学报, 2019, 30(3): 39-45.
[11] 王春晓, 卢毅敏. 闽江流域水质时间序列变化趋势识别及特征分析[J]. 水资源与水工程学报, 2020, 31(4): 63-69.
[12] 黄玥, 黄志霖, 肖文发, 等. 三峡水库水位调度对出库水质影响分析与水质预测[J]. 水资源与水工程学报, 2020, 31(4): 78-85.
[13] 文广超, 刘正疆, 谢洪波, 等. 基于Landsat的淮河干流水质监测的可行性分析[J]. 水资源与水工程学报, 2020, 31(5): 37-41.
[14] 任梦溪, 郑刘根, 程桦, 等. 淮北临涣采煤沉陷区水域水体污染源解析[J]. 中国科学技术大学学报, 2016, 46(8): 680-688.
[15] 郑刘根, 刘响响, 程桦, 等. 非稳沉采煤沉陷区沉积物-水体界面的氮、磷分布及迁移转化特征[J]. 湖泊科学, 2016, 28(1): 86-93.
[16] 刘响响, 程桦, 郑刘根, 等. 淮南采煤沉陷水体中氮磷的分布特征及环境意义[J]. 中国科学技术大学学报, 2014, 44(11): 926-932.
[17] 陈星, 郑刘根, 姜春露, 等. 安徽淮北临涣矿区地表水水化学及硫氢氧同位素组成特征[J]. 地球与环境, 2019, 47(2): 177-185.
[18] Zheng, L.G., Chen, X., Dong, X.L., et al. (2019) Using δ34S-SO4 and δ18O-SO4 to Trace the Sources of Sulfate in Different Types of Surface Water from the Linhuan Coal-Mining Subsidence Area of Huaibei, China. Ecotoxicology and Environmental Safety, 181, 231-240. [Google Scholar] [CrossRef] [PubMed]
[19] 国家环保总局. 水和废水监测分析方法[M]. 第4版. 北京: 中国环境科学出版社, 2002.
[20] 郭劲松, 龙腾锐, 霍国友, 等. 四种水质综合评价方法的比较[J]. 重庆建筑大学学报, 2000(4): 6-12.
[21] 刘彩虹, 徐力刚, 高海鹰. 河流水质评价方法及其研究进展[J]. 河海大学学报(自然科学版), 2010, 38(2): 290-293
[22] 胡成, 苏丹. 综合水质标识指数法在浑河水质评价中的应用[J]. 生态环境学报, 2011, 20(1): 186-192.
[23] 君珊, 白凯, 李魁, 等. 综合水质标识指数法在海拉尔河水质评价中的应用研究[J]. 环境科学与管理, 2017, 42(4): 171-176.
[24] 陆卫军, 张涛. 几种河流水质评价方法的比较分析[J]. 环境科学与管理, 2009, 34(6): 174-176.
[25] 张欢, 纪桂霞. 综合水质标识指数法在公园湖泊水质评价中的应用[J]. 水资源与水工程学报, 2012, 23(2): 146-150.
[26] 徐祖信. 我国河流单因子水质标识指数评价方法研究[J]. 同济大学学报(自然科学版), 2005(3): 321-325.
[27] 徐祖信. 我国河流综合水质标识指数评价方法研究[J]. 同济大学学报(自然科学版), 2005(4): 482-488.
[28] 宋鑫, 贝耀平, 袁丙青, 等. 水上光伏电站对淮南采煤沉陷积水区水生态环境的影响[J]. 水资源保护, 2022, 38(5): 204-211.
[29] 王国强, 赵华宏, 吴道祥, 等. 两淮矿区煤矸石的卫生填埋与生态恢复[J]. 煤炭学报, 2001(4): 428-431.
[30] 孙鹏飞, 易齐涛, 许光泉. 两淮采煤沉陷积水区水体水化学特征及影响因素[J]. 煤炭学报, 2014, 39(7): 1345-1353.