考虑消费者退货的供应链中直播与合作模式研究
Research on Live Streaming and Cooperative Models in Supply Chains Considering Consumer Returns
DOI: 10.12677/mse.2026.151019, PDF, HTML, XML,   
作者: 王琳斐, 周建亨*:东华大学旭日工商管理学院,上海;项旭东, 桂昌厚:用友汽车信息科技(上海)股份有限公司,上海
关键词: 电商平台直播退货销售模式直播营销粉丝效应E-Commerce Platform Live-Streaming Returns Distribution Model Live-Streaming Marketing Fan Effect
摘要: 本文针对直播电商中消费者退货风险对供应链决策的影响,研究了在转售与代理两种合作模式下,品牌商与平台在“不直播、店播、达播”三种策略中的最优选择。研究发现:在转售模式下,电商平台的直播策略受到消费者满意率和退货成本的影响,当满意率较低时,不引入直播为最优策略;满意率较高时选择达人直播;满意率位于中等区间时,如果退货成本较低,则自营直播更优,反之达人直播更为有利。退货成本上升会抑制自营直播的服务努力投入,但达人直播因佣金激励仍可维持较高服务水平。在代理模式下,当平台服务费率较低时,代理模式占优,而费率较高时转售模式更利于风险分担;达人粉丝比例超过阈值时,其粉丝效应可抵消高费率影响,进一步拓展了代理模式的适用区间。
Abstract: This study investigates the impact of consumer return risk on supply chain decision in live streaming e-commerce, analyzing the optimal strategies for brands and platforms among “no live streaming”, “store-operated live streaming”, and “influencer live streaming” under both resale and agency cooperation models. The findings indicate that under the resale model, the platform’s live streaming strategy is influenced by consumer satisfaction rates and return costs: when satisfaction is low, refraining from live streaming is optimal; when satisfaction is high, influencer live streaming is preferred; and in moderate satisfaction scenarios, store-operated live streaming is more advantageous if return costs are low, whereas influencer live streaming becomes more favorable if return costs are high. Rising return costs suppress service effort inputs in store-operated live streaming, but influencer live streaming maintains higher service levels due to commission incentives. Under the agency model, the agency model dominates when the platform service fee rate is low, while the resale model is more conducive to risk sharing when the fee rate is high. When the influencer’s follower ratio exceeds a certain threshold, their fan effect can offset the impact of high service fees, thereby expanding the applicable scope of the agency model.
文章引用:王琳斐, 周建亨, 项旭东, 桂昌厚. 考虑消费者退货的供应链中直播与合作模式研究[J]. 管理科学与工程, 2026, 15(1): 181-191. https://doi.org/10.12677/mse.2026.151019

1. 引言

随着互联网技术与电子商务的快速发展,线上购物已成为主流消费方式。京东与亚马逊2024年营收分别增长27.6%和21.7%,显示出电商市场的持续扩张。品牌方主要通过转售或代理模式入驻平台。在销售模式选择方面,Yan等[1]和Wang等[2]在线下渠道共存的情境下,分别研究了供应商采纳代理模式的条件及直销与代理模式间的选择机制;Shen等[3]进一步探讨了平台入驻费用对供应商引入代理模式的影响。

直播电商作为重要销售渠道,吸引品牌方布局店铺自播或与头部网红合作。李佳琦等头部主播凭借庞大粉丝基础和议价能力,常在合作中占据主导地位。品牌需权衡销量提升与佣金成本,科学制定直播策略。王辰宇等[4]将代理佣金设为外生变量,研究制造商通过直播平台分销或直销的定价策略;Yang等[5]比较了直播代销、电商代销与中转代销三种模式的利润差异。Xu等[6]指出,当网红粉丝基数大且具备产品鉴别能力时,应采用直播销售并适当调低售价;熊浩等[7]通过Stackelberg博弈模型分析发现,直播商品未必采用低价策略;胡娇等[8]基于微分博弈理论,得出直播平台最优定价与主播最佳推广投入的均衡解。

对消费者而言,直播购物既能提供价格优惠、降低缺货风险,也因无法实地体验商品而产生估值不确定性。为此,多数商家提供退货服务以提升满意度。Davis等[9]研究发现,当退款金额高于消费者估值或产品质量未达预期时,易引发退货行为;Guo等[10]进一步分析了产能约束下部分退款策略的盈利性;陈飔佳等[11]从消费者行为角度探讨了在线零售商应对策略型消费者投机行为的方案;占济舟等[12]基于Hotelling模型,研究了退货运费险对电商平台定价策略的影响。

现有研究较少同时考虑退货风险对运营决策的影响及直播策略对销售模式选择的作用。本文以电商平台与品牌商为研究对象,引入退货风险,构建包含不直播、店播与达播三种策略的供应链博弈模型,系统分析转售与代理模式下各主体的最优决策,为不同市场环境下的直播策略与合作模式选择提供理论依据。

2. 问题描述与假设

本研究构建一个由品牌商、电商平台和达人主播(达播模式下)组成的供应链,探讨消费者退货风险和主播粉丝效应交互作用下,电商供应链的直播策略选择和品牌商的线上销售策略。在转售和代理模式下,电商平台和品牌商分别可选择三种直播策略(不引入直播、卖方店播和达人店播)。直播电商供应链结构如图1所示。

Figure 1. Supply chain structure of live-streaming e-commerce under the resale model

1. 转售模式下直播电商供应链结构

供应链成员可选择直播销售以提高运营效率。在转售模式中,电商平台拥有定价权,决定是否引入直播以及直播投入决策;而在代理模式下,品牌商拥有此决策权。主播以努力程度 e 消费者推荐产品,产生推荐成本 e 2 /2 。此外,直播的引入也会带来退货率提升。为了表示直播退货率高于传统电商渠道退货率,将传统渠道满意率看作1,并设置直播渠道满意率 λ( 0,1 ) ,表明引入直播导致真实需求降低为 λD

假设线上渠道消费者的退货成本可忽略不计。这是因为在绝大多数直播销售或传统线上零售中,为了刺激消费者购买会提供免费退货服务,消费者无需承担退货成本。此外,直播模式下,消费者能够借由主播对产品的介绍与展示了解到更丰富的产品信息,而传统电商渠道消费者则无法直接观察到商品,会产生估值折扣 θ 。其余符号说明如下: v 代表消费者购买前对产品的初始估值; δ α 分别代表达人佣金率和粉丝比例, r 代表代理模式下品牌商向电商平台支付的服务费率; b 单位产品的退货处理成本。

3. 转售模式下电商平台的直播营销策略

3.1. 电商平台引入店播(RL模式)

π M RL =λ w RL D RL (1)

π R RL =( p RL w RL )λ D RL ( 1λ )b D RL 1 2 e RL 2 (2)

代理–店播模式(AL模式)下,品牌商作为主导者,首先确定给电商平台的批发价 w RL ;其次电商平台同时决定店播渠道售价 p RL 和服务质量努力程度 e RL

命题1RL模式下,当且仅当 b( 1+λ )+λ>0 时,存在唯一正的最优解使电商平台利润最大化。RL模式下产品最优批发价格、最优售价、电商平台的最优服务质量努力水平、市场均衡需求以及品牌商和电商平台的最优利润分别为: w RL* = b( 1+λ )+λ 2λ p RL* = b ( 1λ ) 2 +λ( 3λ ) 2λ( 2λ ) e RL* = b( 1+λ )+λ 42λ D RL* = b( 1+λ )+λ 2λ( 2+λ ) π M RL* = ( b( 1+λ )+λ ) 2 4λ( 2+λ ) π R RL* = ( b( 1+λ )+λ ) 2 8λ( 2+λ )

推论1(1) w RL* b <0 p RL* b >0 e RL* b <0 λ D RL* b <0 π M RL* b <0 π R RL* b <0

(2) w RL* λ >0 ;当 min{ 0, b 1+b }<λ< λ 时, p RL* λ <0 ,当 λ <λ<1 时, p RL* λ >0 e RL* λ >0 λ D RL* λ >0 π M RL* λ >0 π R RL* λ >0 ;其中 λ = 2b+ b 2 b

在转售模式下的平台自营直播策略中,退货成本与消费者满意率是影响电商平台决策的两个关键因素。当退货成本上升时,品牌商会通过降低批发价格来与平台共同分担售后风险,维持合作关系。与此同时,电商平台会采取提高零售价格的策略,将部分成本转移给消费者以保障自身利润。此外,退货成本的增加会抑制平台的服务努力投入,因为高退货率降低了投入的边际收益,平台会理性减少在直播内容、产品展示等方面的投入,进而导致市场需求收缩,形成负面循环,最终造成平台利润的显著下降。

相反,当消费者满意率提升时,品牌商有信心提高批发价格以获取更多溢价收益。电商平台的定价策略呈现先降后升的动态特征:在满意率初步提升阶段,平台通过适当降价吸引消费者;当满意率达到较高水平时,则提高价格以利用建立的质量声誉获取超额收益。同时,满意率的提升会激励平台增加服务努力投入,因为此时投入的边际效益提高。这种投入进一步强化消费者信任,推动市场需求增长,最终实现品牌商和平台利润的双重提升。

3.2. 电商平台引入达播(RK模式)

π M RK =λ w RK D RK (3)

π R RK =[ ( 1δ ) p RK w RK ]λ D RK ( 1λ )b D RK (4)

π K RK =δ p RK λ D RK 1 2 e RK 2 (5)

转售–达播模式(RK模式)下,品牌商作为主导者,首先确定给平台的批发价 w RK ;其次平台决策达播渠道售价 p RK ,最后达人决策直播间服务质量努力水平 e RK

命题2RK模式下,当且仅当 1+α+ b( 1+λ )( 1+δλ ) ( 1+δ )λ >0 时存在唯一正的最优解使电商平台利润最大化。RK模式下产品最优批发价格、最优售价、电商平台的最优服务质量努力水平、市场均衡需求以及品牌商和电商平台的最优利润分别为: w RK* = 1 2 ( b b λ + ( 1+α )( 1+δ ) 1+δλ ) e RK* = 1 4 δ( b( 1+λ ) 1+δ 3( 1+α )λ 1+δλ ) p RK* = 1 4 ( b( 1+λ ) ( 1+δ )λ 3( 1+α ) 1+δλ ) D RK* = 1 4 ( 1+α+ b( 1+λ )( 1+δλ ) ( 1+δ )λ ) π M RK* = ( ( 1+α )( 1+δ )λ+b( 1+λ )( 1+δλ ) ) 2 8( 1+δ )λ( 1+δλ ) π R RK* = ( ( 1+α )( 1+δ )λ+b( 1+λ )( 1+δλ ) ) 2 16( 1+δ )λ( 1+δλ )

推论2(1) p RK* b >0 ;当

min{ 0, 1+b+α+( 1+bα )δ 4 b 2 δ+ ( 1+b+α+( 1+bα )δ ) 2 2bδ }<λ< λ 时, p RK* λ <0 ,当 λ <λ<1 时, p RK* λ >0 p RK* α >0 p RK* δ >0

(2) e RK* b >0 e RK* λ >0 e RK* α >0 e RK* δ >0

(3) λ D RK* b <0 λ D RK* λ >0 λ D RK* α >0 λ D RK* δ <0

(4) π R RK* b <0 π R RK* λ >0 π R RK* α >0 π R RK* δ <0

其中 λ = bδ 3bδ+3bαδ3b δ 2 3bα δ 2 3δ3αδ+3 δ 2 +b δ 2 +3α δ 2

在转售模式的达人直播中,退货成本上升将促使平台提高售价,同时激励达人提升服务质量以保障佣金收益。消费者满意率提高时,平台采取先降后升的定价策略:初期降价扩大份额,后期提价优化利润。达人因销售转化提升而持续增强服务投入。与高质量粉丝的达人合作可低成本获客并提升品牌曝光。粉丝比例增加会强化渠道价值,平台可相应提价,达人亦接受与其流量价值匹配的高定价。粉丝效应缓解了涨价对需求的冲击,同时促进达人服务投入,推动利润增长。然而,达人佣金成本将通过提价转嫁给消费者,抑制购买意愿。尽管高佣金激励达人提升服务,但价格上升导致的需求降幅超过服务改善带来的需求增幅,最终使整体需求下降,平台利润减少。

3.3. 均衡分析–电商平台的直播策略

命题3(1) p RK* > p RL*

(2) 当 δ 2 <δ<1 max{ b+λ+bλδλ+bδλbδ λ 2 ( 1+δ )λ ,0 }<α<1 时, e RK* > e RL* ;当 0<δ< δ 2 时,如果 0<α< α 2 e RK* < e RL* ,如果 α 2 <α<1 e RK* > e RL*

(3) 当 max{ b+λ+bλδλ+bδλbδ λ 2 ( 1+δ )λ ,0 }<α< α 3 时, λ D RK* <λ D RL* ;当 α 3 <α<1 时, λ D RK* >λ D RL*

(4) 当 max{ b+λ+bλδλ+bδλbδ λ 2 ( 1+δ )λ ,0 }<α< α 4 时, π R RK* < π R RL* ;当 α 4 <α<1 时, π R RK* > π R RL*

两种直播模式的权衡,是平台自主运营能力与达人合作模式之间的直接对比。达人直播(RK模式)通常凭借其专业形象与粉丝信任拥有更强的定价权,易于实现更高售价,但平台需为此支付相应佣金,因此必须审慎评估溢价收益与佣金成本之间的净效应。在服务投入方面,高佣金率会激励达人持续提供优于平台自营(RL模式)的服务质量,因其收入与销售成果直接挂钩。一旦佣金率超过某一临界值,达人便有充分动机提升服务投入;反之,若佣金率偏低且达人粉丝基础薄弱,平台自营的服务投入则更为积极。

从市场需求角度看,当达人粉丝比例达到一定水平后,RK模式的市场覆盖能力显著优于RL模式,因其能有效引入粉丝群体带来的增量需求。若粉丝比例不足,则依赖平台自有流量的RL模式更为可靠。利润表现受粉丝比例、佣金率、满意率与退货成本共同影响:粉丝比例高且佣金设置合理时,RK模式利润更佳;反之,RL模式可能更具优势。

据此,平台在转售模式下可遵循如下策略:若消费者满意率低、退货率高,应暂缓引入直播。随着满意率提升,当退货成本低于特定阈值时,两种直播模式均优于不直播;而退货成本过高时,即使满意率较高,不直播仍为更优选择。在自播与达播之间的决策上,若存在粉丝效应突出且佣金合理的达人资源,达播模式通常效果最佳,尤其在新品推广或新市场开拓阶段,其流量与信任优势更为显著。

4. 代理模式下品牌的直播营销策略

4.1. 品牌商引入店播(AL模式)

π M AL =( 1r ) p AL λ D AL ( 1λ )b D AL 1 2 e AL 2 (6)

π R AL =r p AL λ D AL (7)

代理–店播模式(AL模式)下,品牌商作为供应链的决策者,决策产品在直播间的定价 p AL 以及店播服务质量努力程度 e AL ,使其自身利润最大化。

命题4AL模式下,当且仅当 bλbλ+rλ<0 时,存在唯一正的最优解使得品牌商利润最大化。AL模式下产品最优定价、品牌商的最优服务质量努力水平、市场均衡需求以及品牌商和电商平台的最优利润分别为: p AL* = 1+λ+( 1+r ) λ 2 ( 1+r )λ( 2λ+rλ ) ; e AL* = bλbλ+rλ 2λ+rλ ; D AL* = bλbλ+rλ ( 1+r )λ( 2λ+rλ ) π M AL* = ( b( 1+λ )+λrλ ) 2 2( 1r )λ( 2λ+rλ )

推论3(1) e AL* b <0 e AL* r <0 e AL* λ >0

(2) p AL* b >0 p AL* r >0 ;当 min{ 0, b 1+br }<λ< λ 时, p AL* λ <0 ,当 λ <λ<1 时, p AL* λ >0 ;其中 λ = 2b bbr+ b( 1+r )( 2+b+( 2+b )r )

(3) λ D AL* b <0 λ D AL* r <0 λ D AL* λ >0

(4) π M AL* b <0 π M AL* r <0 π M AL* λ >0

在品牌商引入店播渠道的情形下,直播退货率与退货处理成本增加了决策的复杂性。根据推论3,此时产品售价呈现先降后升的趋势:满意率初步提升时,品牌商通过适当降价吸引消费者;当满意率稳定在较高水平后,则提高售价以充分利用放大的需求潜力并平衡退货风险。若退货处理成本上升,品牌商亦会提价以弥补相应损失。

品牌商的服务质量努力水平随消费者满意率提升而增加,随退货处理成本上升而降低。高满意率带来的需求潜力激励品牌商加大服务投入;而高退货处理成本则挤压利润空间,抑制其投入意愿。品牌商会据此动态调整努力水平,以实现最优决策。此外,服务费率的提高将促使品牌商减少服务投入并提高零售价格,以维持单位利润。然而价格上涨会抑制需求,进一步恶化利润。因此,平台应将服务费率控制在合理范围内,以免损害长期合作。

4.2. 品牌商引入达播(AK模式)

π M AK =( 1rδ )λ p AK D AK ( 1λ )b D AK (8)

π R AK =r p AK λ D AK (9)

π K AK =δ p AK λ D AK 1 2 e AK 2 (10)

代理–达播模式(AK模式)下,品牌商首先决策其产品在直播间的定价 p AK ,然后达人决定直播间服务质量努力水平 e AK ,使其自身利润最大化。

命题5AK模式下,当且仅当 1+r+δ<0 1+α+ b( 1+λ )( 1+δλ ) ( 1+r+δ )λ >0 时,存在唯一正的最优解使得供应链成员利润最大化。AK模式下产品最优定价、品牌商的最优服务质量努力水平、市场均衡需求以及品牌商和电商平台的最优利润分别为: p AK* = 1 2 ( b( 1+λ ) ( 1+r+δ )λ + 1+α 1δλ ) e AK* = 1 2 δ( b( 1+λ ) 1+r+δ + ( 1+α )λ 1δλ ) D AK* = 1 2 ( 1+α+ b( 1+λ )( 1+δλ ) ( 1+r+δ )λ ) π M AK* = ( ( 1+α )( 1+r+δ )λ+b( 1+λ )( 1+δλ ) ) 2 4( 1+r+δ )λ( 1+δλ )

推论4(1) 当 min{ 0, ( b( 1+δ )+( 1+α )( 1rδ ) 4 b 2 δ+ ( b( 1+δ )+( 1+α )( 1rδ ) ) 2 ) 2bδ }<λ< λ 时, p RK* λ <0 ,当 λ <λ<1 p RK* λ >0 p AK* δ >0 p AK* α >0 ;其中 λ = bδ bδbrδ+bαδbrαδb δ 2 bα δ 2 δ+rδαδ+rαδ+ δ 2 +b δ 2 +α δ 2   p AK* b >0 p AK* r >0

(2) e AK* b >0 e AK* r >0 e AK* λ >0 e AK* δ >0 e AK* α >0

(3) λ D AK* b <0 λ D AK* r <0 λ D AK* λ >0 λ D AK* δ <0 λ D AK* α >0

(4) π M AK* b <0 π M AK* r <0 π M AK* λ >0 π M AK* δ <0 π M AK* α >0

平台服务费率和达人佣金率共同构成了AK模式的成本结构。与推论33不同的是,AK模式下随着平台服务费率的提升,达人反而会提升服务质量努力程度。这是因为其利润受服务费率的直接冲击较小,且品牌商的价格上升也同时提升了达人的边际收益,激励其提升服务质量努力程度以扩大需求规模;而佣金率的提高虽能激励达人努力,但也增加了品牌商的成本负担,导致其利润下降。

4.3. 均衡分析–品牌的直播策略

命题6ALAK两种直播模式下的均衡价格、市场需求与最优利润对比:

(1) p AK* > p AL*

(2) 当 δ 2 <δ<1 max{ b+λ+bλrλδλ+bδλbδ λ 2 ( 1+r+δ )λ ,0 }<α<1 时, e AK* > e AL* ;当 0<δ< δ 2 时,如果 0<α< α 2 e AK* < e AL* ,如果 α 2 <α<1 e AK* > e AL*

(3) 当 max{ b+λ+bλrλδλ+bδλbδ λ 2 ( 1+r+δ )λ ,0 }<α< α 3 时, λ D AK* <λ D AL* ;当 α 3 <α<1 时, λ D AK* >λ D AL*

(4) 当 max{ b+λ+bλrλδλ+bδλbδ λ 2 ( 1+r+δ )λ ,0 }<α< α 4 时, π M AK* < π M AL* ;当 α 4 <α<1 时, π M AK* > π M AL*

命题6比较了自营直播(AL)与达人直播(AK)两种模式。AK模式凭借达人的粉丝效应,通常能够实现更高的定价和利润,尤其在达人粉丝比例(α)较高、佣金率(δ)位于中等区间的情况下,此时粉丝经济显著提升了市场信任和购买意愿,使品牌商能够在承担佣金成本的同时仍保持较高利润。然而,若粉丝比例不足或佣金率过高,AK模式的成本压力将显著增加,导致利润低于AN模式。因此,品牌商在选择达人合作时,不应仅关注粉丝数量,也需关注达人的带货满意率与退货率,并综合考量达人的实际带货能力、粉丝质量及其与品牌调性的匹配度。而直播服务质量努力(e)则取决于佣金率与粉丝比例的共同作用:高佣金率会激励达人提升努力水平,而低粉丝比例则可能削弱这一效应。

4.4. 均衡分析–品牌商的销售模式选择

命题7RKAK两种平台合作模式下的最优利润对比:

(1) 当 0<r< r 4 时, p AK* < p RK* ;当 r 4 <r<min{ b+λ+bλ+αλδλ+bδλαδλbδ λ 2 ( 1+α )λ ,1 } p AK* > p RK*

(2) 当 0<r< r 5 时, e AL* > e RL* ;当 r 5 <r<min{ b+λ+bλ λ ,1 } 时, e AL* < e RL*

(3) 当 0<r< r 6 时, π M AK* > π M RK* ;当 r 6 <r<min{ b+λ+bλ+αλδλ+bδλαδλbδ λ 2 ( 1+α )λ ,1 } 时, π M AK* < π M RK*

命题7表明,低服务费率区间内,代理模式缓解了转售模式下品牌商与电商平台之间的双重边际效应,产品价格更低、利润更高;中服务费率时,代理模式价格更高、利润更低,这时品牌商通过提价来转嫁成本,抑制了市场需求;高服务费率下利润为负,品牌商退出市场。且在达人直播模式下,服务费率阈值与达人粉丝比例和佣金率密切相关,故在代理模式下,企业应根据平台服务费率动态调整合作达人量级,以保证较高的利润产出。

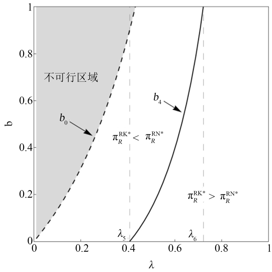
当平台服务费率较高时,品牌商的均衡策略为转售模式(即 r 3 <r<min{ b+λ+bλ λ ,1 } r 6 <r<min{ b+λ+bλ+αλδλ+bδλαδλbδ λ 2 ( 1+α )λ ,1 } 时),此时电商平台的直播营销策略如下:当网红粉丝比例 α< α 2 时,若满意率 λ< λ 1 ,选择RN策略;当 λ 1 <λ< λ 2 时,若 b< b 2 ,选择RL策略,否则选择RN策略;当 λ> λ 2 时选择RL策略。当 α> α 2 时,若满意率 λ< λ 5 ,选择RN策略;当 λ 5 <λ< λ 6 时,若 b< b 4 ,选择RK策略,否则选择RN策略;当 λ> λ 6 时选择RK策略。

当平台服务费率较低( 0<r< r 3 0<r< r 6 )时,品牌商的均衡策略为代理模式直销,此时品牌商的直播营销策略如下:当网红粉丝比例 α< α 4 时,若满意率 λ< λ 3 ,选择AN策略;当 λ 3 <λ< λ 4 时,若 b< b 2 ,选择AL策略,否则选择AN策略;当 λ> λ 4 时选择AL策略。当 α> α 4 时,若满意率 λ< λ 7 ,选择AN策略;当 λ 7 <λ< λ 8 时,若 b< b 4 ,选择AK策略,否则选择AN策略;当 λ> λ 8 时选择AK策略。

5. 数据分析

本章将通过数值仿真进一步讨论各参数对供应链产品定价、收益以及策略选择的影响。不同直播平台对佣金率的规定不同,抖音的达人主播佣金率一般在5%与30%之间,淘宝与快手直播的佣金率约为20%。在满足约束条件的前提下,参数取值如下: b=0.5 α=0.5 δ=0.2 λ=0. 5; r=0.3

5.1. 直播营销策略分析

(a) (b)

Figure 2. The impact of consumer satisfaction rate and return processing costs on the selection of live streaming marketing strategies

2. 消费者满意率和退货处理成本对直播营销策略选择的影响

图2表明了消费者满意率和退货处理成本两个参数在不同直播模式下对品牌商与电商平台的策略选择的影响。当满意率处于低位时,无论退货处理成本高低,不引入直播均为双方的占优策略。此时直播难以有效拉动需求,却会因高退货率带来显著成本压力。

在满意率中等区间,退货处理成本成为关键决策变量:该成本较低时,品牌商与平台倾向于引入直播;反之则倾向于放弃直播。一旦满意率进入高位,四种模式下引入直播均成为均衡策略。

具体来看,达人直播的引入范围大于自营直播,这得益于达人更强的展示能力与粉丝信任,有助于提高转化并控制退货。此外,转售模式下平台引入直播的意愿强于代理模式,因为作为产品所有者,平台能直接获取销售利润,因而更有动力通过直播提升销量。

5.2. 品牌商的销售模式合作策略分析

图3表明,当服务费率处于较低水平时,品牌商更倾向于采用代理模式。这一选择有助于规避转售模式下的“双重边际效应”,使品牌商能够以更低价格刺激需求,同时维持较高的单位利润。随着服务费率的上升,代理模式的成本优势逐渐减弱。高费率会显著挤压品牌商的利润空间,此时转售模式因其能将库存风险与销售职能转移至平台,提供更可预测的利润,从而显现出优势。

特别地,在达播模式下,品牌商选择代理模式的区间更大。达人主播的粉丝效应能够部分抵消高服务费率带来的负面影响,使品牌商仍愿承担较高平台费用。相比之下,自营直播对需求的拉动作用有限,品牌商在面临高服务费率时更倾向于选择转售模式以控制风险。

(a) (b)

Figure 3. The impact of platform service fees on the choice of sales model strategy

3. 平台服务费率对销售模式策略选择的影响

6. 结论与展望

本文研究了直播电商中考虑消费者退货风险的供应链决策问题,主要结论如下:在转售模式下,电商平台的直播策略呈三阶段特征:满意率低时不引入直播;满意率中等时,退货成本低选自营直播,成本高选达人直播;满意率高时达人直播最优。退货风险对直播模式产生差异化影响:高退货成本下,自营直播的服务投入显著降低,而达人直播则通过内在激励机制提升服务努力,展现出更强的风险抵御能力。粉丝效应具有规模价值,但受佣金率制约。达人粉丝比例超过特定阈值时,其带来的渠道价值才能显著超越自营直播。在代理模式下,品牌商对风险更敏感。平台服务费率较低时,代理模式更优;费率较高时,转售模式通过风险分担成为更优选择。达人直播的引入改变了传统渠道选择逻辑,其粉丝效应能够抵消高服务费率的部分负面影响,拓展了代理模式的有效区间。

本研究基于静态博弈模型,未来可拓展至多周期动态博弈,考察长期合作中的策略演化。其次,可研究供应链多方同时拥有需求预测信息情境下的信息共享机制。此外,本文聚焦单一制造商与零售平台,未来可考虑引入制造商间或平台间的竞争,研究复杂渠道结构下的均衡策略。最后,可探索代理、联营等更多元合作模式对直播策略的影响。

NOTES

*通讯作者。

参考文献

[1] Yan, Y.C., Zhao, R.Q. and Liu, Z.B. (2018) Strategic Introduction of the Marketplace Channel under Spillovers from Online to Offline Sales. European Journal of Operational Research, 267, 65-77. [Google Scholar] [CrossRef
[2] Wang, C.X., Leng, M.M. and Liang, L.P. (2018) Choosing an Online Retail Channel for a Manufacturer: Direct Sales or Consignment? International Journal of Production Economics, 195, 338-358. [Google Scholar] [CrossRef
[3] Shen, Y.L., Willems, S.P. and Dai, Y. (2019) Channel Selection and Contracting in the Presence of a Retail Platform. Production and Operations Management, 28, 1173-1185. [Google Scholar] [CrossRef
[4] 王辰宇, 孙静春, 史思雨. 电商平台中销售模式选择与直播营销策略研究[J]. 管理工程学报, 2023, 37(5): 190-199.
[5] Yang, L., Zheng, C. and Hao, C. (2022) Optimal Platform Sales Mode in Live Streaming Commerce Supply Chains. Electronic Commerce Research, 24, 1017-1070. [Google Scholar] [CrossRef
[6] Xu, F.S., Hou, J. and Shen, H.C. (2021) A Model of Livestream Selling with the Online Influencers.
[7] 熊浩, 陈锦怡, 鄢慧丽, 等. 考虑主播特征的直播带货双渠道供应链定价与协调[J]. 管理工程学报, 2023, 37(4): 188-195.
[8] 胡娇, 李莉, 张华, 等. 考虑参照效应和主播影响力的网络直播平台动态定价决策[J]. 系统工程理论与实践, 2022, 42(3): 755-766.
[9] Davis, S. (1995) Money Back Guarantees in Retailing: Matching Products to Consumer Tastes. Journal of Retailing, 71, 7-22. [Google Scholar] [CrossRef
[10] Guo, L. (2009) Service Cancellation and Competitive Refund Policy. Marketing Science, 28, 901-917. [Google Scholar] [CrossRef
[11] 陈飔佳, 王桦, 赵娜. 考虑消费者存在投机与预期后悔行为时在线零售商引入展厅机制后的策略研究[J]. 运筹与管理, 2024, 1-8.
[12] 占济舟, 晋雅琪. 考虑退货运费险的竞争型电商平台定价策略研究[J]. 中国管理科学, 2024, 32(5): 325-334.