牡蛎壳土壤调理剂对酸化烟田的改良及烤烟生长的影响
Effects of Oyster Shell Soil Conditioner on the Improvement of Acidified Tobacco Fields and the Growth of Flue-Cured Tobacco
DOI: 10.12677/br.2026.151007, PDF, HTML, XML,    科研立项经费支持
作者: 王丽丽, 陈文军, 杨 杰:山东临沂烟草有限公司技术中心,山东 临沂;韩守栋, 曹长代:山东日照烟草有限公司莒县试验站,山东 日照;管恩森, 王向阳:山东潍坊烟草有限公司诸城试验站,山东 潍坊;王开达*, 刘 朋*:山东农业大学植物保护学院,山东 泰安
关键词: 烟草牡蛎壳粉酸性土改良生长指标Tobacco Oyster Shell Powder Acid Soil Improvement Growth Index
摘要: 为探究牡蛎壳粉作为土壤调理剂对酸性土壤的改良效果及对烟草生长的影响,本研究以烟草品质NC55为实验材料,通过设置0 (CK)、10、20、40 kg/hm2四个牡蛎壳粉施用水平进行大田实验,分别在移栽后30天、60天、90天、120天共四个批次测定土壤pH值及烟草的叶长、叶宽等生长指标。结果表明,施用牡蛎壳粉可以显著提高土壤的pH值,且提升效果与用量呈正相关。同时,适量的牡蛎壳粉(40 kg/hm2)能最有效地促进烟草生长,其各项生长指标均显著优于对照。本研究为利用牡蛎壳粉改良植烟酸性土壤、促进烟草增产提供了理论依据和实践参考。
Abstract: In order to explore the effect of oyster shell powder as a soil conditioner on the improvement of acidic soil and the growth of tobacco, this study used tobacco quality NC55 as the experimental material, and set four oyster shell powder application levels of 0 (CK), 10, 20, 40 kg/hm2 for field experiments. The soil pH value and the growth indexes of tobacco leaf length and leaf width were measured in four batches of 30 days, 60 days, 90 days and 120 days after transplanting. The results showed that the application of oyster shell powder could significantly increase the pH value of soil, and the effect was positively correlated with the amount of oyster shell powder. At the same time, the appropriate amount of oyster shell powder (40 kg/hm2) can most effectively promote the growth of tobacco, and its growth indicators are significantly better than the control. This study provides a theoretical basis and practical reference for using oyster shell powder to improve acid soil and promote tobacco yield.
文章引用:王丽丽, 韩守栋, 曹长代, 管恩森, 王向阳, 陈文军, 杨杰, 王开达, 刘朋. 牡蛎壳土壤调理剂对酸化烟田的改良及烤烟生长的影响[J]. 植物学研究, 2026, 15(1): 51-61. https://doi.org/10.12677/br.2026.151007

1. 引言

烟草是我国的主要经济作物之一,其生长发育与土壤环境密切相关。目前,国际上推荐适宜烤烟生长的土壤pH为5.50~6.50 [1],虽然烟草在pH为4.00~8.50的土壤中均可生长,但会对烟草的质量与产量产生巨大影响,土壤pH过高时,OH含量增加,导致其他阴离子吸收减少,养分活性降低;pH过低,则会导致土壤有效养分的淋失[2]。近年来,由于长期单一种植、过量施肥等原因,山东部分烟区土壤酸化问题日益严重,土壤酸化导致的土壤肥力下降、重金属活化、植物生长受抑制等问题,严重影响了烟草的品质与产量。同时,土壤酸碱度不但直接影响烤烟的生长发育与质量品质[3],而且与土壤酶活性[4]、有机质的合成分解、元素形态的转化等密切相关[5]。因此,对酸化土壤进行改良是烟草增产提质的关键措施。

传统的酸性土壤改良剂多为石灰类物质(如生石灰、熟石灰) [6],但其作用剧烈,若施用不当易造成土壤板结和局部过碱[7],影响土壤微生物群落,牡蛎壳主成分为碳酸钙,是一种天然生物质,其来源广泛、成本低廉,且具有中和酸性温和、持效期长的特点,目前在土壤改良领域备受关注[8]。大量研究表明,牡蛎壳粉可以显著提高土壤pH值,提高土壤部分酶的活性,促使有机磷发生矿化作用,使得土壤磷的生物有效性提升,缓解酸性土壤的低磷胁迫[9]

本研究以山东典型酸性植烟土壤(莒县、莒南、日照)为对象,通过田间试验,探究不同用量的牡蛎壳粉对酸性土壤pH的动态变化以及其对烟草品种NC55的关键生长指标的影响,旨在明确牡蛎壳粉在山东典型酸性植烟土壤改良方面的作用及其对烟草增产提质的影响,为酸性土壤的绿色、高效、持久改良与烟草产量、品质提高提供科学依据。

2. 实验材料与方法

2.1. 实验地点

实验在日照莒县、诸城、临沂莒南烟区进行,实验地块面积400 m2,土壤为褐土,肥力中等且均匀一致。

2.2. 实验材料

实验品种为烟草品种NC55,以酸性土为实验土壤,初始pH值均为弱酸性。牡蛎壳粉主要成分为CaCO3 (表1)。

Table 1. Basic properties of oyster shell powder

1. 牡蛎壳粉的基本性质

材料

生物炭

氧化镁

生物态硅

铁锌钼铜

牡蛎壳粉

40%

29%

0.3%

0.5%

0.5%

1%

2.3. 实验设计

试验采用单因素完全随机设计。设置四个牡蛎壳粉不同施用量处理:CK (不施用牡蛎壳粉)、10 kg/hm2、20 kg/hm2、40 kg/hm2。移栽长势一致的烟草幼苗,株距50 cm,行距120 cm。

2.4. 样品采集

本试验为大田试验。每个处理设置一个独立的小区,每个小区面积均为100平方米。在烟草移栽后的30天、60天、90天、120天这四个关键生育时期,进行样品采集。

采集方法为随机取样法,进行随机取样。随机选取五个地点,采集陇上0~20 cm、陇上20~40 cm、陇下0~20 cm、陇下20~40 cm的土壤,分别取样,用于土壤pH值测定。

在上述进行土壤取样的相同小区内,同样采用随机取样法,随机选定5株生长正常、具有代表性的烟株,挂签标记,作为该小区本次测量的植株样品。每个处理在每个时期均获得5个独立的植株重复,用于生长测量。

2.5. 测定项目和方法

土壤pH值的测定:将采集的混合土壤样品带回实验室,置于阴凉通风处风干,剔除石块和植物残根,研磨后过2 mm筛。采用水土比2.5:1进行浸提,搅拌20分钟后,静置10分钟,用精密pH计(PHS-3C型)测定其上清液的pH值[10]

株高测量方法为用卷尺测量从茎基部至生长点的高度;茎围测量方法为用软尺测量距地面约1/3处茎杆的周长;叶宽的测量方法为选取植株上发育完全、无病虫害的最大叶片,用卷尺测量。叶长定义为从叶基至叶尖的绝对长度;叶宽测量叶片最宽处的宽度。均精确至0.1 cm。

2.6. 数据统计

应用SPSS 31.0进行统计分析,origin 2024绘图。

3. 实验结果

3.1. 牡蛎壳粉对酸性土壤pH值的影响

施用牡蛎壳粉后,莒县、莒南、诸城三个烟区的土壤pH值均比对照组(CK)显著提升,且pH值随牡蛎壳粉施用量呈正相关,在烟草的整个生育期内表现出一致的动态变化特征(图1)。

在莒县烟区,土壤pH值于移栽后30天即呈现明显梯度差异:CK处理为5.85,10、20、40 kg/hm2处理组分别达到6.05、5.73和6.59。至移栽后60天,各处理组pH值进一步分化,CK处理降至5.33,而20 kg/hm2和40 kg/hm2处理分别升至6.13和6.53。移栽后90天,40 kg/hm2处理组pH值达到峰值6.83,显著高于其他处理。移栽后120天,土壤pH值趋于稳定,CK处理组的pH值为5.22,而40 kg/hm2处理仍维持在6.64的高水平。

在莒南烟区,土壤pH值的变化趋势与莒县烟区的pH值变化一致。移栽后30天,CK处理为5.30,10、20、40 kg/hm2处理组分别为4.93、5.46和6.36。移栽后60天,CK处理为5.03,40 kg/hm2处理达到6.23。移栽120天,CK处理为5.45,而40 kg/hm2处理保持在6.49,显著且稳定地提升了土壤pH值。

在酸化程度相对较重的诸城烟区,改良效果尤为显著。移栽后30天,CK处理土壤pH值仅为4.91,10、20、40 kg/hm2处理组分别提升至5.17、5.28和6.08。移栽后60天,CK处理降至4.63,而40 kg/hm2处理为5.83。尽管生育期内各处理pH值有所波动,但至120天时,40 kg/hm2处理(5.89)仍显著高于CK处理(4.31)。结果表明,即使在初始酸性较强的土壤上,适量(40 kg/hm2)牡蛎壳粉也能有效中和酸度,并将pH值提升至接近或达到适宜范围。

Figure 1. The dynamic changes of soil pH value with different batches under different oyster shell powder application rates in each tobacco area. Comprehensive map, A (Juxian), B (Junan), C (Zhucheng)

1. 各烟区在不同牡蛎壳粉施用量下土壤pH值随各批次的动态变化综合图,A (莒县)、B (莒南)、C (诸城)

结果表明,三个烟区土壤pH值均随牡蛎壳粉施用量增加而显著提升,在整个烟草生育期内,土壤pH值呈现“前期快速响应–中期达到或接近峰值–后期稳定维持”的动态特征,验证了牡蛎壳粉对酸性植烟土壤温和、高效持久的改良能力。

3.2. 土壤pH值调节后烟草生长指标的相应变化

适宜的土壤酸碱度有利于改善烟株根系附近土壤酶活性、提高烟株光合特性,对烟草产量和品质的形成起着关键作用[11] [12]。烟草各生长指标的变化与土壤pH值的提升趋势高度同步,均随牡蛎壳粉施用量的增加而显著改善,且以40 kg/hm2处理在各时期表现最佳。

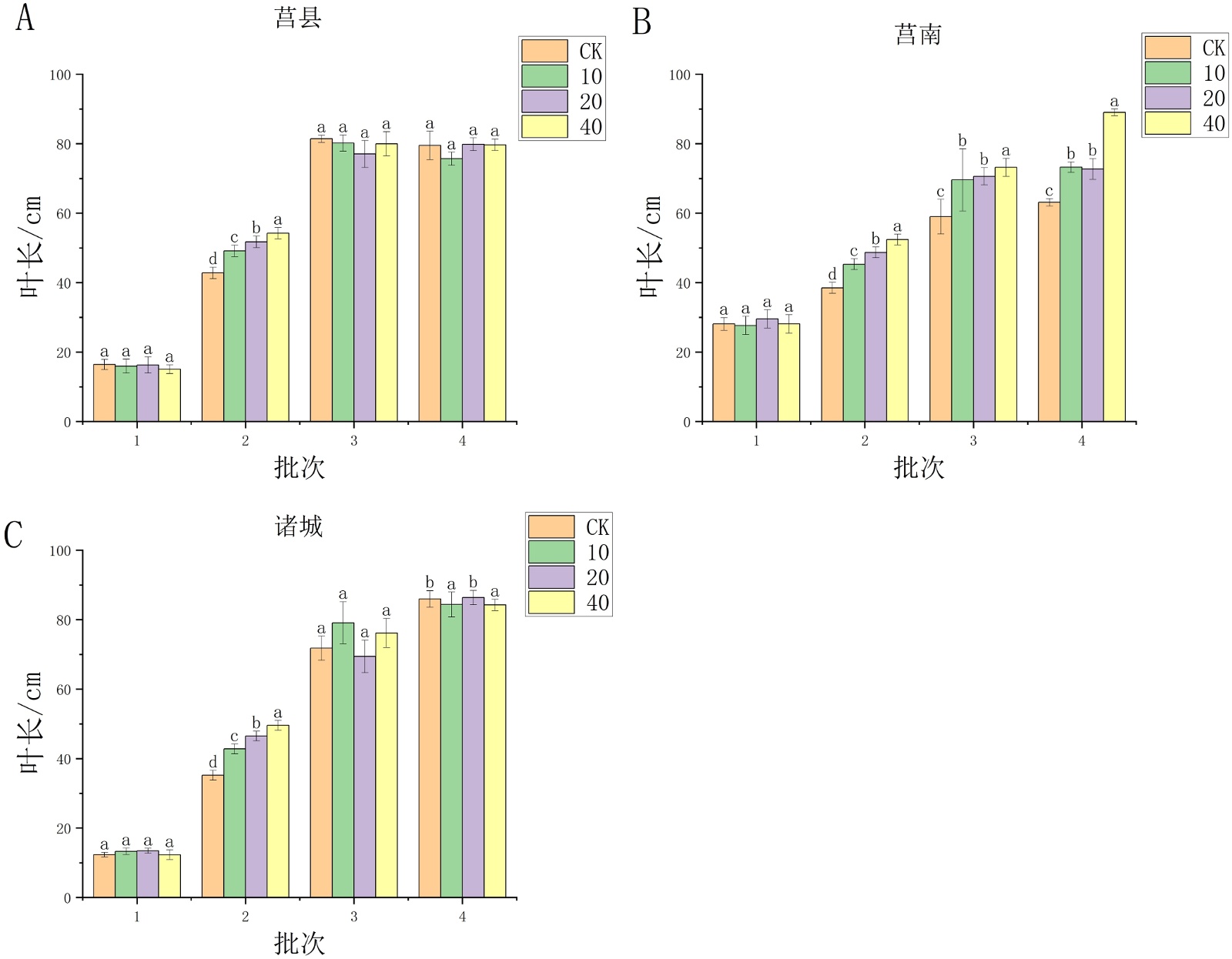
3.2.1. 叶长变化

各烟区烟草叶长均随牡蛎壳粉施用量增加而显著增长(图2)。

在莒县烟区,移栽后30天时,CK处理叶长为16.42 cm,40 kg/hm2处理为15.10 cm;至移栽后60天,CK处理叶长增至42.80 cm,而40kg/hm2处理达到54.25 cm;移栽后90天与120天,40 kg/hm2处理叶长(79.98 cm, 79.68 cm)均优于或与CK处理(81.45 cm, 79.50 cm)相当。

在莒南烟区,移栽后30天时各处理叶长相近(CK: 28.12 cm; 40 kg/hm2: 28.12 cm)。至移栽后60天,差异开始显现,40 kg/hm2处理叶长(52.40 cm)显著高于CK (38.50 cm)。移栽后90天,40 kg/hm2处理叶

Figure 2. Changes of leaf length in different tobacco areas under different application rates of oyster shell powder, A (Juxian) B (Junan) C (Zhucheng)

2. 各烟区在不同牡蛎壳粉施用量下叶长的变化,A (莒县) B (莒南) C (诸城)

长优势进一步扩大,达到73.20 cm,远高于CK的59.00 cm;至移栽后120天,40 kg/hm2处理叶长(89.00 cm)显著高于CK (63.13 cm)。

诸城烟区叶长也表现出相同的规律。移栽后30天,CK处理叶长为12.35 cm,40 kg/hm2处理为12.33 cm。移栽后60天,CK处理叶长为35.20 cm,40 kg/hm2处理为49.60 cm。在生长中后期(90天和120天),40 kg/hm2处理叶长(76.18 cm, 84.25 cm)持续高于CK处理(71.78 cm, 85.98 cm)。

3.2.2. 叶宽变化

烟草叶宽的变化趋势与叶长一致,随土壤pH值提升而显著增加(图3)。在莒县烟区,移栽后30天,CK处理叶宽为8.16 cm,40 kg/hm2处理为7.34 cm;移栽后60天,CK处理叶宽为22.85 cm,40 kg/hm2处理则达到28.55 cm;移栽后90天,40 kg/hm2处理叶宽(43.80 cm)略低于CK (44.30 cm);至移栽后120天,40 kg/hm2处理叶宽(45.03 cm)略高于CK (43.73 cm)。

莒南烟区叶宽的处理间差异尤为明显。移栽后30天,CK处理叶宽为6.60 cm,40 kg/hm2处理为6.80 cm。移栽后60天,CK处理叶宽为14.20 cm,而40 kg/hm2处理为22.70 cm。至移栽后90天,40 kg/hm2处理叶宽增至34.03 cm,显著高于CK的25.53 cm;移栽后120天,40 kg/hm2处理叶宽(43.38 cm)显著高于CK (26.90 cm)。

Figure 3. Changes of leaf width in different tobacco areas under different application rates of oyster shell powder, A (Juxian), B (Junan), C (Zhucheng)

3. 各烟区在不同牡蛎壳粉施用量下叶宽的变化,A (莒县)、B (莒南)、C (诸城)

诸城烟区数据同样支持这一趋势。移栽后30天,CK处理叶宽为3.90 cm,40 kg/hm2处理为4.43 cm。移栽后60天,CK处理叶宽为16.30 cm,40 kg/hm2处理为23.40 cm。移栽后90天,40 kg/hm2处理叶宽(33.88 cm)略高于CK (29.95 cm);在移栽后120天,40 kg/hm2处理叶宽(37.30 cm)仍高于CK处理(35.28 cm)。

3.2.3. 株高变化

烟草株高随牡蛎壳粉施用量增加而显著提高(图4)。莒县烟区数据显示,移栽后60天,CK处理株高为45.40 cm,40 kg/hm2处理为78.48 cm。至移栽后120天,40 kg/hm2处理株高达到154.98 cm,显著高于CK的125.38 cm。

在莒南烟区,移栽后60天时,40 kg/hm2处理株高(88.45 cm)已显著高于CK (52.75 cm)。移栽后120天,40 kg/hm2处理株高增至165.93 cm,继续保持对CK处理(147.13 cm)的优势。

诸城烟区亦呈现类似规律。移栽后60天,40 kg/hm2处理株高(79.25 cm)显著高于CK (48.75 cm)。至生育末期(120天),40 kg/hm2处理株高(152.48 cm)显著超越CK处理(117.25 cm)。

Figure 4. Changes of plant height in different tobacco areas under different application rates of oyster shell powder, A (Juxian), B (Junan), C (Zhucheng)

4. 各烟区在不同牡蛎壳粉施用量下株高的变化,A (莒县)、B (莒南)、C (诸城)

3.2.4. 茎围变化

烟草茎围亦随土壤改良而增粗。莒县烟区在移栽后60天后,CK处理茎围为6.95 cm,40 kg/hm2处理茎围(8.95 cm)即高于CK。移栽后60天,各处理茎围达到较高值,40 kg/hm2处理(12.88 cm)与CK (13.28 cm)相近。移栽后90天,CK处理茎围为11.78 cm,40 kg/hm2处理为11.80 cm;移栽后120天,各处理茎围均有所下降。

在莒南烟区,移栽后60天,CK处理茎围为13.84 cm,40 kg/hm2处理茎围为11.95 cm;移栽后60天,40 kg/hm2处理茎围(15.58 cm)显著高于CK (11.53 cm);移栽后90天,CK处理茎围为10.73 cm,40 kg/hm2处理为15.58 cm;移栽后120天,40 kg/hm2处理茎围(15.58 cm)仍显著高于CK (10.73 cm)。

诸城烟区数据表明,移栽后60天,CK处理茎围为6.20 cm,40 kg/hm2处理为9.10 cm;移栽后60天,40 kg/hm2处理茎围(12.18 cm)明显粗于CK (11.65 cm);移栽后90天,40 kg/hm2处理茎围(10.68 cm)略高于CK (10.13 cm);移栽后120天,各处理茎围均较前期有所回落(表2)。

Table 2. Changes of stem circumference in different tobacco areas under different application rates of oyster shell powder

2. 各烟区在不同牡蛎壳粉施用量下茎围的变化

莒县烟区

莒南烟区

诸城烟区

处理

批次

平均值

标准差

平均值

标准差

平均值

标准差

CK

1

2

0

8.5

0.4

-

-

CK

2

6.95

0.37

13.84

1.02

6.2

0.35

CK

3

13.28

1.48

11.53

0.75

11.65

0.68

CK

4

11.78

0.5

10.73

0.32

10.13

0.75

10

1

-

-

9.8

0.4

-

-

10

2

7.65

0.37

11.5

0.87

7.8

0.35

10

3

13.28

0.17

11.3

0.38

11.03

0.33

10

4

11.5

0.33

16.14

1.43

12.03

0.42

20

1

2.3

0

10.5

0.4

-

-

20

2

8.25

0.37

10.78

0.38

8.5

0.35

20

3

12.3

0.76

11.58

0.5

10

0.49

20

4

12.1

1.25

15.06

1.43

12.05

0.38

40

1

-

-

11.3

0.4

-

-

40

2

8.95

0.37

11.95

0.33

9.1

0.35

40

3

12.88

0.54

15.58

1.43

12.18

1.18

40

4

11.8

0.36

15.58

0.6

10.68

0.89

结果表明,烟草的叶长、叶宽、株高、茎围等关键生长指标均因施用牡蛎壳粉带来的土壤pH值优化而得到显著改善。其中,40 kg/hm2处理在三个烟区、各生育时期的大多数指标均表现最优,进一步证实了将土壤pH值调节至适宜范围是促进烟草生长的关键环境机制。

3.3. 相关性分析

为明确土壤pH值与烟草生长指标的内在关联,本研究采用斯皮尔曼等级相关分析方法,对莒县、莒南、诸城三个烟区的土壤pH值与烟草叶长、叶宽、株高、茎围四项关键生长指标进行相关性检验,结果如图5所示。各烟区土壤pH值与生长指标均呈正相关关系,且相关性多达到显著或极显著水平,进一步证实土壤pH值优化是促进烟草生长的关键因素(图5)。

莒县烟区土壤pH值与烟草各项生长指标均呈极显著正相关,相关性强弱排序为:株高(rs = 0.92) > 叶长(rs = 0.86) > 叶宽(rs = 0.84) > 茎围(rs = 0.77)。其中,株高与土壤pH值的相关系数最高(0.92),表明该烟区土壤pH值的提升对烟草株高的促进作用最为突出;叶长与叶宽的相关系数分别为0.86和0.84,均处于高相关水平,说明土壤pH值优化能同步促进烟草叶片的生长。

莒南烟区土壤pH值与烟草生长指标的相关性特征与莒县烟区高度契合,均呈极显著正相关,但相关性强弱排序略有差异,表现为:叶宽(rs = 0.90) > 株高(rs = 0.85) > 叶长(rs = 0.82) > 茎围(rs = 0.80)。该烟区叶宽与土壤pH值的相关系数最高(0.90),显著高于其他指标,株高与叶长的相关系数分别为0.85和0.82,均维持在高相关水平,表明土壤pH值提升对烟草的整体生长具有促进效应。

诸城烟区为初始酸化程度最严重的区域,但其土壤pH值与烟草生长指标仍维持较高水平的正相关

Figure 5. Correlation and PLSPM analysis between pH and growth index in different regions

5. 各烟区pH与生长指标的相关性及PLSPM分析

关系,且所有相关性均达到极显著水平(p < 0.01)。具体来看,土壤pH值与株高的相关系数约为0.87,与叶宽的相关系数约为0.86,与叶长的相关系数约为0.83,与茎围的相关系数约为0.79。尽管该烟区初始土壤酸度较强,且土壤理化性质可能与其他两个烟区存在差异,但牡蛎壳粉改良后土壤pH值的提升与烟草生长指标的改善仍呈现紧密的正相关联动,说明即使在强酸性土壤条件下,土壤pH值仍是调控烟草生长的核心环境因子,进一步验证了牡蛎壳粉通过调节pH值改善烟草生长环境的普适性。

图5(D)为烟区土壤pH与烟草生长指标的网络型相关性分析结果,土壤pH与株高呈较强正相关(相关系数0.872),表明土壤pH值的提升可显著促进烟草株高的增长,土壤pH与叶长、叶宽无直接关联,但通过株高间接产生影响——因叶长与株高呈强正相关(相关系数1.086),故土壤pH对叶长存在间接正向影响,而叶宽与株高呈强负相关(相关系数−0.902),使得土壤pH对叶宽表现出间接负向关联,整体显示该烟区土壤pH对烟草不同生长指标的调控作用存在明显的针对性差异。

综合三个烟区的相关性分析结果,土壤pH值与烟草叶长、叶宽、株高、茎围的正相关关系具有一致性和稳定性,且相关性多达到极显著水平。不同烟区的相关性强弱排序存在细微差异,可能与各烟区土壤初始酸化程度、养分基础、微生物群落结构等固有特性有关,但整体上均证实了土壤pH值优化对烟草生长的核心调控作用,为“牡蛎壳粉–土壤pH值提升–烟草生长改善”的作用路径提供了统计学支撑。

3.4. 牡蛎壳粉对酸性植烟土壤pH值的改良效应显著且特性优良

牡蛎壳粉的核心功能是中和酸性植烟土壤的酸度,其改良效果与施用量呈正相关关系,且具备温和、持久、高效、环保的特点。施用后,三个烟区土壤平均pH值均较对照处理显著提升,调节效果呈现“40 kg/hm2处理组 > 20 kg/hm2处理组 > 10 kg/hm2处理组 > CK处理组”的梯度规律。在整个烟草生育期内,土壤pH值呈现“前期快速响应–中期达到或接近峰值–后期稳定维持”的动态特征,且无局部过碱或土壤板结现象。

不同烟区的改良响应一致,即使在初始酸化最严重的诸城烟区(初始pH值4.86),40 kg/hm2处理组仍能在移栽后60天将土壤pH值提升至6.0以上,120天维持在6.29,改良效果持久稳定。与传统石灰类改良剂相比,牡蛎壳粉以天然碳酸钙为主要成分,中和酸性过程平缓,能长期维持土壤酸碱平衡,且来源广泛、成本低廉,更适合酸性植烟土壤的绿色可持续改良。

3.5. 烟草生长指标的差异是土壤pH值优化后的间接结果

烟草叶长、叶宽、株高、茎围等生长指标的梯度变化,与牡蛎壳粉调节土壤pH值的效应高度同步,呈现“土壤pH值越高,指标表现越优”的规律,且这一趋势在三个烟区完全一致。40 kg/hm2处理组因土壤pH值调节效果最优,其各项生长指标在各生育时期均显著优于其他处理组,但该差异并非牡蛎壳粉直接作用于烟草生长过程所致。

本质上,土壤pH值的优化改善了土壤酶活性、有机质分解转化及养分形态有效性,为烟草根系生长与养分吸收创造了适宜的土壤环境,进而间接导致烟草生长指标呈现相应变化。统计分析表明,各处理组间生长指标差异达显著水平(P < 0.05),且差异幅度与土壤pH值调节幅度高度契合,验证了土壤pH值是调控烟草生长环境的关键因子。

4. 结论

本研究针对山东典型酸性植烟土壤酸化问题,系统探究了牡蛎壳粉作为天然生物质改良剂的应用效果,明确了其在调节土壤pH值、优化烟草生长环境方面的核心价值。研究证实,牡蛎壳粉凭借温和中和、持效稳定、环保低成本的突出优势,有效弥补了传统石灰类改良剂易导致土壤板结、局部过碱的缺陷,能将不同酸化程度的植烟土壤pH值稳定调控至烤烟生长适宜范围(5.50~6.50),并通过改善土壤酶活性与养分有效性,间接促进烟草叶长、叶宽、株高、茎围等关键生长指标的显著优化,为酸性植烟土壤的绿色可持续改良提供了切实可行的技术路径。

在本实验设置的施用量梯度中,40 kg/hm2处理组表现出最优的土壤改良效果与促生效应,可为山东同类酸性烟区的生产实践提供直接参考。但需客观认识到,该浓度是特定实验条件下的较优选择,而非适用于所有场景的绝对最适浓度。土壤初始酸化程度、区域气候特征、栽培管理模式及烟草品种差异等因素,均可能影响牡蛎壳粉的施用效果与适宜用量。

未来研究可进一步细化施用量梯度(如25~45 kg/hm2区间),结合不同生态区的土壤理化性质与生产实际开展长期定位试验,精准明确不同场景下的最佳施用参数;同时可深入探究牡蛎壳粉与其他改良剂(如腐植酸、生物炭)的配施效应,以及其对烟草品质(如化学成分、感官评吸特性)和土壤微生物群落结构的长期影响,丰富酸性土壤改良的理论体系与技术储备。

总体而言,本研究为牡蛎壳粉在酸性植烟土壤改良中的应用提供了科学依据,其成果不仅有助于缓解山东烟区土壤酸化压力、保障烟草产业提质增效,也为农业废弃物资源化利用与生态农业发展提供了有益借鉴,具有重要的理论意义与实践价值。

基金项目

本研究由中国烟草总公司山东省公司科技重点项目(KN325, 202423)资助。

NOTES

*通讯作者。

参考文献

[1] 李念胜, 王树生. 土壤pH值与烤烟质量[J]. 中国烟草, 1986(2): 12-14.
[2] 刘国顺. 烟草栽培学[M]. 北京: 中国农业出版社, 2003.
[3] 崔喜艳, 陈展宇, 张美善, 等. 土壤pH值对烤烟叶片生理生化特性的影响[J]. 植物生理学通讯, 2005, 41(6): 737-740.
[4] 耿玉清, 白翠霞, 赵铁蕊, 等. 北京八达岭地区土壤酶活性及其与土壤肥力的关系[J]. 北京林业大学学报, 2006, 28(5): 7-11.
[5] 陈建军, 任永浩, 钟俊周. pH值与烤烟产量和质量的关系研究[J]. 热带亚热带土壤科学, 1996, 5(2): 98-101.
[6] Zhu, H., Chen, C., Xu, C., Zhu, Q. and Huang, D. (2016) Effects of Soil Acidification and Liming on the Phytoavailability of Cadmium in Paddy Soils of Central Subtropical China. Environmental Pollution, 219, 99-106. [Google Scholar] [CrossRef] [PubMed]
[7] 朱经伟, 张云贵, 刘青丽, 等. 石灰与腐植酸钾配施对新平整土地烤烟产量和品质的影响[J]. 西南农业学报, 2016, 29(2): 346.
[8] 郭可欣, 王衡, 易筱筠, 等. 煅烧磁改性牡蛎壳对水/土壤溶液中镉的吸附性能与机制研究[J]. 农业环境科学学报, 2024, 43(10): 2296.
[9] Chen, X., Jiang, N., Condron, L.M., Dunfield, K.E., Chen, Z., Wang, J., et al. (2019) Soil Alkaline Phosphatase Activity and Bacterial phoD Gene Abundance and Diversity under Long-Term Nitrogen and Manure Inputs. Geoderma, 349, 36-44. [Google Scholar] [CrossRef
[10] 鲍士旦. 土壤农化分析[M]. 北京: 中国农业出版社, 2000.
[11] 石秋环, 焦枫, 耿伟, 等. 烤烟连作土壤环境中的障碍因子研究综述[J]. 中国烟草学报, 2009, 15(6): 81-84.
[12] 王思远, 崔喜艳, 陈展宇, 等. 土壤pH值对烤烟叶片光合特性及内在保护酶活性的影响[J]. 华北农学报, 2005, 20(6): 11-14.