一些环的Nil-Clean图的导出子图中的完备码
Perfect Codes in Induced Subgraphs of Nil-Clean Graphs for Some Rings
DOI: 10.12677/pm.2026.161014, PDF, HTML, XML,    国家自然科学基金支持
作者: 何 晴*, 韦扬江:南宁师范大学数学与统计学院,广西 南宁;苏华东:北部湾大学理学院,广西 钦州
关键词: Nil-Clean图导出子图完备码Nil-Clean Graphs Induced Subgraph Perfect Codes
摘要: R 是一个环。如果一个元素 rR 可以分解成 R 中的一个幂等元与一个幂零元的和,那么就称 r R 中的一个nil-clean元。 R 的nil-clean图记为 G NC ( R ) ,其点集为 R ,两个不同的点 x y 是邻接的当且仅当 x+y R 中的一个nil-clean元。设 G 是一个有限无向简单图,其点集为 V( G ) 。设 C V( G ) 的一个非空子集。如果当 c i 取遍 C 中所有元素时, c i 的半径为1的闭邻域 S 1 ( c i ) 构成 V( G ) 的一个划分,则称 C 为图 G 中的一个完备码。本文通过分析一些环的nil-clean图的导出子图的结构来确定这些图中完备码的大小,其中导出子图的点集为环的单位集。
Abstract: Let R be a ring. If an element rR can be decomposed into the sum of an idempotent element and a nilpotent element in R , then r is called a nil-clean element in R . The nil-clean graph of R is denoted as G NC ( R ) , whose point set is R , and two different points x and y are adjacent if and only if x+y is a nil-clean element of R . Let G be a finite undirected simple graph with vertex set V( G ) . Let C be a non-empty subset of V( G ) . When c i runs through C , if S 1 ( c i ) form a partition of V( G ) , where S 1 ( c i ) is the closed neighbourhood of c i with radius 1, then C is called a perfect code in G . In this paper, we determine the sizes of the perfect codes in the induced subgraphs of the nil-clean graphs of some rings by analyzing the structure of these graphs, where the vertex sets of the induced subgraphs are the unit sets of the rings.
文章引用:何晴, 苏华东, 韦扬江. 一些环的Nil-Clean图的导出子图中的完备码[J]. 理论数学, 2026, 16(1): 112-121. https://doi.org/10.12677/pm.2026.161014

1. 引言

完备码这一概念最初来源于编码理论,在信息传输中,为了纠正传输错误,需要设计纠错码,而完备码是“纠错能力最优”的码。在1973年,Biggs首次将完备码从经典码论推广到图论的范畴,且给出了距离传递图中完备码存在的判别准则[1]。这也开始了后续对凯莱图、交换图、双凯莱图等各类特殊图的完备码的研究。近年来,对代数结构上图的完备码的研究变得越来越热门。例如,Mudaber等人研究了一些环上不同图的完备码,2021年,他们确定了以环 n 的幂等元集为点集的 n 的单位图的导出子图中的完备码[2];2022年,他们确定了阶为 2 n ( n1 ) 的Boolean环的单位图的生成子图的完备码,刻画了单位图存在1阶和2阶完备码的交换环以及一些单位图及其补图不存在完备码的交换环,还研究了以环的单位集为点集的一些交换环的导出子图的完备码[3]-[5];2024年,他们确定了一些交换环上单位积图的不同阶的完备码[6]。Ma等学者解决了对称群和交错群上交换图的完备码问题[7]。Huo等学者给出了一些有限非交换群上交换图的完备码[8]

G 是一个有限无向简单图,其点集为 V( G ) ,称 V( G ) 的一个非空子集 C 为一个码。如果码 C 满足:当 c i 取遍 C 中所有元素时, c i 的半径为1的闭邻域 S 1 ( c i ) 构成 V( G ) 的一个划分,那么就称 C 为图 G 的一个完备码[1]。换句话说,如果对所有 c i , c j C ,满足 S( c i ) S 1 ( c j )= S 1 ( c i )=V( G ) ,则码 C 就是 G 的一个完备码[9]。如果 C 中有 m 个元素,那么称 C m 阶完备码,记为 |C|=m 。设 R 是一个环,对于环 R 中的一个元素 r ,如果存在元素 aId( R ) bNil( R ) ,使得 r=a+b ,那么称元素 r 为环 R 中的一个nil-clean元,其中 Id( R ) 为环 R 的幂等元集, Nil( R ) 为环 R 的幂零元集,把环 R 中所有nil-clean元构成的集合记为 NC( R ) 。环 R 的nil-clean图是以 R 中所有元素为点集,两个不同点 x y 是邻接的当且仅当 x+yNC( R )

根据单位图、零因子图等代数图的导出子图的研究,也让我们自然而然地开始研究nil-clean图的导出子图。环的单位集是环的核心代数结构,它直接决定环的整体性质。研究以环的单位集为点集的nil-clean图的导出子图,一方面可以简化nil-clean图的复杂度,另一方面可以反映出nil-clean图的整体结构,此外,还可以由导出子图的某种性质推断出原图的局部性质。本文根据不同的 n 值将模 n 剩余类环 n 分类,确定这些环的nil-clean图的导出子图中完备码的大小。

2. 预备知识

注记2.1 (1) 记 Γ NC ( R ) 为环 R 的nil-clean图的导出子图,其点集为 R 的单位集 U( R )

1) 记 x 表示不小于 x 的最小整数;

2) 设 V( G ) 是图 G 的点集, x V( G ) 中的一点,则 V( G ){ x } 表示从 V( G ) 中去掉点 x 所得到的集合。

定义2.2 [10] R 是一个环。对于 R 中的一个元素 a ,如果存在一个幂等元 eR 和一个幂零元 bR ,使得 a=e+b ,那么就称元素 a R 中的一个nil-clean元。如果 R 中的每个元素都是nil-clean元,那么称环 R 为nil-clean环。

定义2.3 [11] R 是一个环。 R 的nil-clean图记为 G NC ( R ) ,其点集为 R ,两个不同点 x y 是邻接的当且仅当 x+y R 中的一个nil-clean元。

定义2.4 [12] G H 是两个图,如果点集 V( H )V( G ) 且边集 E( H )E( G ) ,那么称 H G 的一个子图,进一步地,若 E( H )={ ( x,y )x,yV( H ),( x,y )E( G ) } ,则称 H G 的一个导出子图。

引理2.5 [11] p 是一个素数,则环 p 的nil-clean图是一个有 p 个点的路径图 P p

证明: p 是一个素数时,因为 Id( p )={ 0 ¯ , 1 ¯ } Nil( p )={ 0 ¯ } ,所以 NC( p )={ 0 ¯ , 1 ¯ } p 的nil-clean图 G NC ( p ) 图1

Figure 1. The nil-clean graph of p

1. p 的nil-clean图

事实上,因为 0 ¯ + 0 ¯ = 0 ¯ NC( p ) 0 ¯ + 1 ¯ = 1 ¯ NC( p ) p+1 2 ¯ + p+1 2 ¯ = 1 ¯ NC( p ) p+1 2 ¯ + p1 2 ¯ = 0 ¯ NC( p ) ,但本文只考虑简单图,则图中不含自环边,所以在图 G NC ( p ) 中,点 0 ¯ 只与 1 ¯ 邻接,点 p+1 2 ¯ 只与 p1 2 ¯ 邻接,所以 0 ¯ p+1 2 ¯ 的度都是1。而对任意一点 v ¯ V( G NC ( p ) ){ 0 ¯ , p+1 2 ¯ } ,因为 v ¯ + 0v ¯ = 0 ¯ NC( p ) v ¯ + 1v ¯ = 1 ¯ NC( p ) ,所以 v ¯ 只与 0v ¯ 1v ¯ 邻接,则 v ¯ 的度为2。

3. 主要结果与证明

定理3.1 Γ NC ( p ) 是环 p 的nil-clean图的导出子图,其中 p 是一个素数,且 C 为该图的完备码,

|C|= p1 3

证明:由引理2.5知,当 p 是一个素数时, G NC ( p ) 是一个有 p 个点的路径图。而 p 中所有的非零元都是单位,因此, Γ NC ( p ) 是一个有 p1 个点的路径图。对 Γ NC ( p ) 中的点进行重新标号后得到图2

Figure 2. The relabeled induced subgraph of the nil-clean graph of p

2. 重新标号后的 p 的nil-clean图的导出子图

观察图2可知, S 1 ( 1 )={ 1,2 } S 1 ( p1 )={ p1,p2 } S 1 ( x )={ x,x1,x+1 } ,其中 x=2,3,,p2

3p1 时,从第一个点开始,将三个点分成一组,只需把每组中间的点取为 C 中元素,即

C={ 2,5,8,,p2 } 。因此, |C|= p1 3 = p1 3

3p1 时,如果 3p ,即 p=3 ,则 C={ 1 } C={ 2 } ,此时, |C|=1= p1 3 ;如果 3p2 ,观察图2可知, C={ 1,4,7,,p1 } ,此时 |C|= p2 3 +1= p1 3

3.2 Γ NC ( R ) 为环 R 的nil-clean图的导出子图, C 是它的完备码。

R= 7 ,则 V( Γ NC ( 7 ) )=U( 7 )={ 1 ¯ , 2 ¯ , 3 ¯ , 4 ¯ , 5 ¯ , 6 ¯ } ,易知 NC( 7 )={ 0 ¯ , 1 ¯ } ,所以 7 的nil-clean图的导出子图如图3

Figure 3. The induced subgraph of the nil-clean graph of 7

3. 7 的nil-clean图的导出子图

因为 3( 71 ) ,所以由定理3.1, |C|= 71 3 =2 ,观察图3可知, C={ 3 ¯ , 6 ¯ } Γ NC ( 7 ) 的一个完备码。

R= 11 ,因为 V( Γ NC ( 11 ) )=U( 11 )={ 1 ¯ , 2 ¯ , 3 ¯ , 4 ¯ , 5 ¯ , 6 ¯ , 7 ¯ , 8 ¯ , 9 ¯ , 10 ¯ } NC( 11 )={ 0 ¯ , 1 ¯ } ,所以 11 的nil-clean图的导出子图如图4

Figure 4. The induced subgraph of the nil-clean graph of 11

4. 11 的nil-clean图的导出子图

因为 3( 111 ) ,所以由定理3.1, |C|= 111 3 =4 ,观察图4可知, C={ 1 ¯ , 9 ¯ , 4 ¯ , 6 ¯ } Γ NC ( 11 ) 的一

个完备码。

现在我们引入约化图的定义,方便接下来定理的证明。

定义3.3 [13] G 是一个简单图,定义点集 V( G ) 上的等价关系 :对任意两点 u,vV( G ) uv 当且仅当它们的开邻域相等。图 G 的约化图 G red 有点集 V( G red )={ [ v ]vV(G) } ,(其中 [ v ] 是点 v 所在的等价类),任意两个不同点 [ u ] [ v ] G red 中是邻接的当且仅当 u v G 中是邻接的。

定理3.4 Γ NC ( p k ) 是环 p k 的nil-clean图的导出子图,其中 p 是一个素数, k 是正整数,且 C 为该图的完备码。

1) 若 p=2,3 ,则 |C|=1

2) 若 p2,3 ,则完备码不存在。

证明:因为 p k 是交换的局部环,它有唯一的极大理想 ( p ¯ )=Nil( p k ) ,且 Id( p k )={ 0 ¯ , 1 ¯ } ,所以, NC( p k )=( p ¯ ) 1 ¯ +( p ¯ )

1) 当 p=2 时, NC( 2 k )=( 2 ¯ ) 1 ¯ +( 2 ¯ )= 2 k ,即环 2 k 中每个元素都是nil-clean元,从而 2 k 是一个nil-clean环,所以 G NC ( 2 k ) 是一个完全图,这说明导出子图 Γ NC ( 2 k ) 也是一个完全图。因此, 2 k 中任意一点都是图 Γ NC ( 2 k ) 的一个完备码,此时, |C|=1

p=3 时, NC( 3 k )=( 3 ¯ ) 1 ¯ +( 3 ¯ ) V( Γ NC ( 3 k ) )=U( 3 k )= 1 ¯ +( 3 ¯ ) 2 ¯ +( 3 ¯ ) ,图 Γ NC ( 3 k ) 的约化图如图5

Figure 5. The reduced graph of the induced subgraph of the nil-clean graph of 3 k

5. 3 k 的nil-clean图的导出子图的约化图

因为对任意两点 x 1 , x 2 1 ¯ +( 3 ¯ ) x 1 + x 2 = 2 ¯ +( 3 ¯ )NC( 3 k ) ,对任意两点 y 1 , y 2 2 ¯ +( 3 ¯ ) y 1 + y 2 = 1 ¯ +( 3 ¯ )NC( 3 k ) ,所以图5中空心点表示该等价类中所有代表元在原图中是互不相连的,实心点表示该等价类中所有代表元在原图中是两两相连的。这表明,对 2 ¯ +( 3 ¯ ) 中任意一个代表元 x ,点 x Γ NC ( 3 k ) 中的半径为1的闭邻域 S 1 ( x )={ 1 ¯ +( 3 ¯ ), 2 ¯ +( 3 ¯ ) }=V( Γ NC ( 3 k ) ) ,因此, |C|=1

p2,3 ,则 V( Γ NC ( p k ) )=U( p k )= 1 ¯ +( p ¯ ) 2 ¯ +( p ¯ ) p1 ¯ +( p ¯ ) NC( p k )=( p ¯ ) 1 ¯ +( p ¯ ) ,所以 Γ NC ( p k ) 的约化图如图6

Figure 6. The reduced graph of the induced subgraph of the nil-clean graph of p k

6. p k 的nil-clean图的导出子图的约化图

图5类似,每个空心点表示该等价类中所有代表元在原图中互不相连,实心点代表该等价类中所有代表元在原图中两两相连。假设存在完备码 CV( Γ NC ( p k ) ) ,则 1 ¯ +( p ¯ ) p1 ¯ +( p ¯ ) 中至少有一点属于 C ,否则对任意一点 x 1 ¯ +( p ¯ ) x S 1 ( c i ) ,即 S 1 ( c i )V( Γ NC ( p k ) ) ,其中 c i 取遍 C 中所有元素。

假设只存在一点 x 1 1 ¯ +( p ¯ ) p1 ¯ +( p ¯ ) ,使得 x 1 C 。若 x 1 1 ¯ +( p ¯ ) ,则对任意 x 2 1 ¯ +( p ¯ ){ x 1 } x 2 S 1 ( c i ) ,即 S 1 ( c i )V( Γ NC ( p k ) ) ,与完备码定义矛盾,所以 x 1 1 ¯ +( p ¯ ) ;若 x 1 p1 ¯ +( p ¯ ) ,则此时至少存在一点 x 2 2 ¯ +( p ¯ ) ,使得 x 2 C ,否则对任意一点 x 3 p1 ¯ +( p ¯ ){ x 1 } x 3 S 1 ( c i ) 。但如果存在 x 2 2 ¯ +( p ¯ ) ,则 S 1 ( x 1 ) S 1 ( x 2 )={ x 1 , x 2 } 与完备码定义矛盾,所以 x 1 p1 ¯ +( p ¯ )

假设至少存在两点 x,y 1 ¯ +( p ¯ ) p1 ¯ +( p ¯ ) ,使得 x,yC ,则 S 1 ( x ) S 1 ( y ) ,这与完备码的定义矛盾,因此,图 Γ NC ( p k ) 中不存在完备码。

3.5 Γ NC ( R ) 为环 R 的nil-clean图的导出子图,且 C 是它的完备码。

R= 32 ,则 V( Γ NC ( 32 ) )=U( 32 )= 1 ¯ +( 2 ¯ )={ 1 ¯ , 3 ¯ , 5 ¯ , 7 ¯ ,, 29 ¯ , 31 ¯ } NC( 32 )= 32 ,所以 32 的nil-clean图的导出子图是一个完全图,见图7

Figure 7. The induced subgraph of the nil-clean graph of 32

7. 32 的nil-clean图的导出子图

由定理3.4, |C|=1 ,观察图7可知,对任意一点 xV( Γ NC ( 32 ) ) S 1 ( x )=V( Γ NC ( 32 ) ) ,那么 C={ x }

R= 27 ,则 V( Γ NC ( 27 ) )=U( 27 )= 1 ¯ +( 3 ¯ ) 2 ¯ +( 3 ¯ ) NC( 27 )=( 3 ¯ ) 1 ¯ +( 3 ¯ ) 图8 27 的nil-clean图的导出子图:

Figure 8. The induced subgraph of the nil-clean graph of 27

8. 27 的nil-clean图的导出子图

由定理3.4, |C|=1 ,由图8知,对任意一点 x{ 2 ¯ , 5 ¯ , 8 ¯ , 11 ¯ , 14 ¯ , 17 ¯ , 20 ¯ , 23 ¯ , 26 ¯ } S 1 ( x )=V( Γ NC ( 27 ) ) ,所以 C={ x }

R= 25 ,则 V( Γ NC ( 25 ) )=U( 25 )= 1 ¯ +( 5 ¯ ) 2 ¯ +( 5 ¯ ) 3 ¯ +( 5 ¯ ) 4 ¯ +( 5 ¯ ) NC( 25 )=( 5 ¯ ) 1 ¯ +( 5 ¯ ) 25 的nil-clean图的导出子图如图9

Figure 9. The induced subgraph of the nil-clean graph of 25

9. 25 的nil-clean图的导出子图

由定理3.4,该图不存在完备码。下面给出半径为1的每个点的闭邻域:

对任意一点 x 1 1 ¯ +( 5 ¯ )={ 1 ¯ , 6 ¯ , 11 ¯ , 16 ¯ , 21 ¯ }

S 1 ( x 1 )={ x 1 } 4 ¯ +( 5 ¯ )={ x 1 , 4 ¯ , 9 ¯ , 14 ¯ , 19 ¯ , 24 ¯ }

对任意一点 x 2 2 ¯ +( 5 ¯ )={ 2 ¯ , 7 ¯ , 12 ¯ , 17 ¯ , 22 ¯ }

S 1 ( x 2 )={ x 2 } 3 ¯ +( 5 ¯ ) 4 ¯ +( 5 ¯ )={ x 2 , 3 ¯ , 4 ¯ , 8 ¯ , 9 ¯ , 13 ¯ , 14 ¯ , 18 ¯ , 19 ¯ , 23 ¯ , 24 ¯ }

对任意一点 x 3 3 ¯ +( 5 ¯ )={ 3 ¯ , 8 ¯ , 13 ¯ , 18 ¯ , 23 ¯ }

S 1 ( x 3 )= 2 ¯ +( 5 ¯ ) 3 ¯ +( 5 ¯ )={ 2 ¯ , 3 ¯ , 7 ¯ , 8 ¯ , 12 ¯ , 13 ¯ , 17 ¯ , 18 ¯ , 22 ¯ , 23 ¯ }

对任意一点 x 4 4 ¯ +( 5 ¯ )={ 4 ¯ , 9 ¯ , 14 ¯ , 19 ¯ , 24 ¯ }

S 1 ( x 4 )={ x 4 } 1 ¯ +( 5 ¯ ) 2 ¯ +( 5 ¯ )={ x 4 , 1 ¯ , 2 ¯ , 6 ¯ , 7 ¯ , 11 ¯ , 12 ¯ , 16 ¯ , 17 ¯ , 21 ¯ , 22 ¯ }

我们发现不存在码 CV( Γ NC ( 25 ) ) ,使得 C Γ NC ( 25 ) 中的完备码。

定理3.6 Γ NC ( 2p ) 是环 2p 的nil-clean图的导出子图,其中 p 是一个奇素数,且 C 为该图的完备

码,则 |C|= p1 3

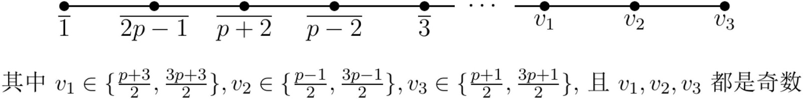
证明: p 是一个奇素数时, Nil( 2p )={ 0 ¯ } Id( 2p )={ 0 ¯ , 1 ¯ , p ¯ , p+1 ¯ } ,所以 NC( 2p )={ 0 ¯ , 1 ¯ , p ¯ , p+1 ¯ } V( Γ NC ( 2p ) )=U( 2p )={ 1 ¯ , 3 ¯ , 5 ¯ , 7 ¯ ,, p2 ¯ , p+2 ¯ ,, 2p3 ¯ , 2p1 ¯ } ,因为 V( Γ NC ( 2p ) ) 中都是奇数点,则 V( Γ NC ( 2p ) ) 中任意两点之和都是偶数,所以 E( Γ NC ( 2p ) )={ ( x,y )x,yV( Γ NC ( 2p ) ),x+y= 0 ¯ p+1 ¯ } 2p 的nil-clean图的导出子图如图10

Figure 10. The induced subgraph of the nil-clean graph of 2p

10. 2p 的nil-clean图的导出子图

因为 1 ¯ + p ¯ = p+1 ¯ 1 ¯ + 2p1 ¯ = 0 ¯ v 3 + v 3 = p+1 ¯ v 2 + v 3 = 0 ¯ ,但是 p ¯ V( Γ NC ( 2p ) ) 且本文只考虑简单图,因此点 1 ¯ 只与 2p1 ¯ 邻接,点 v 3 只与 v 2 邻接。而对任意一点 v ¯ V( Γ NC ( 2p ) ){ 1 ¯ , v 3 ¯ } v ¯ + 0v ¯ = 0 ¯ v ¯ + p+1v ¯ = p+1 ¯ ,所以点 v ¯ 只与 v ¯ p+1v ¯ 邻接。由图10知, Γ NC ( 2p ) 是一个有 p1 个点的路径,同定理3.1的证明,可以得到图 Γ NC ( 2p ) 中完备码的大小,结论得证。

3.7 Γ NC ( R ) 是环 R 的nil-clean图的导出子图,且 C 是它的完备码。当 R= 34 时, V( Γ NC ( 34 ) )=U( 34 )={ 1 ¯ , 3 ¯ , 5 ¯ , 7 ¯ , 9 ¯ , 11 ¯ , 13 ¯ , 15 ¯ , 19 ¯ , 21 ¯ , 23 ¯ , 25 ¯ , 27 ¯ , 29 ¯ , 31 ¯ , 33 ¯ } NC( 34 )={ 0 ¯ , 1 ¯ , 17 ¯ , 18 ¯ } ,则 34 的nil-clean图的导出子图如图11

Figure 11. The induced subgraph of the nil-clean graph of 34

11. 34 的nil-clean图的导出子图

由定理3.6知, |C|= 171 3 +1=6 。观察图11可知, C={ 1 ¯ , 15 ¯ , 21 ¯ , 29 ¯ , 7 ¯ , 9 ¯ } Γ NC ( 34 ) 的完备码。

定理3.8 Γ NC ( pq ) 是环 pq 的nil-clean图的导出子图,其中 p q 是两个互异的奇素数,则图 Γ NC ( pq ) 中不存在完备码。

证明:因为 p q 是两个互异的奇素数,所以 pq p × q ,从而 Γ NC ( pq ) Γ NC ( p × q ) V( Γ NC ( p × q ) )=U( p × q )={ ( u,v )u0v0,u p ,v q } NC( p × q )={ ( 0 ¯ , 0 ¯ ),( 0 ¯ , 1 ¯ ),( 1 ¯ , 0 ¯ ),( 1 ¯ , 1 ¯ ) } ,则 p × q 的nil-clean图的导出子图如图12

Figure 12. The induced subgraph of the nil-clean graph of p × q

12. p × q 的nil-clean图的导出子图

我们首先讨论 Γ NC ( 3 × q )( q>3 ) 的完备码,我们给图 Γ NC ( 3 × q ) 重新标号得到图13

Figure 13. The relabeled induced subgraph of the nil-clean graph of 3 × q

13. 重新标号后的 3 × q 的nil-clean图的导出子图

假设 Γ NC ( 3 × q ) 中存在完备码 C ,则 x 11 C x 22 C ,否则 x 11 S 1 ( c i ) ,即 S 1 ( c i )V( Γ NC ( 3 × q ) ) ,其中 c i 取遍 C 中所有元素。

如果 x 22 C ,易知 S 1 ( x 22 )={ x 11 , x 13 , x 21 , x 22 , x 23 } ,那么 x 11 , x 12 , x 13 , x 21 , x 23 C ,否则存在点 v{ x 11 , x 12 , x 13 , x 21 , x 23 } ,使得 S 1 ( x 22 ) S 1 ( v ) ,但此时 x 12 S 1 ( c i ) ,则 S 1 ( c i )V( Γ NC ( 3 × q ) ) ,与完备码定义矛盾,所以 x 22 C

如果 x 11 C ,易知 S 1 ( x 11 )={ x 11 , x 22 } ,那么 x 13 , x 21 , x 22 , x 23 C ,否则存在 v{ x 13 , x 21 , x 22 , x 23 } ,使得 S 1 ( x 11 ) S 1 ( v ) ,而为了保证 x 12 , x 13 S 1 ( c i ) ,只能 x 12 , x 24 C ,但是 x 23 S 1 ( x 12 ) S 1 ( x 24 ) ,与完备码定义矛盾,所以 x 11 C 。综上, Γ NC ( 3 × q ) 中不存在完备码。

接下来讨论 Γ NC ( p × q )( p>3,q>5 ) 的完备码,将图 Γ NC ( p × q ) 重新标号后截取一部分得到图14

Figure 14. A part obtained by extracting the relabeled induced subgraph of the nil-clean graph of p × q

14. 截取重新标号后的 p × q 的nil-clean图的导出子图所得的一部分

假设 Γ NC ( p × q )( p>3,q>5 ) 中存在完备码 C ,则 y 11 , y 21 , y 22 中必有一点属于 C ,否则 y 11 S 1 ( c i ) ,即 S 1 ( c i )V( Γ NC ( p × q ) ) ,其中 c i 取遍 C 中所有元素。

(1) 若 y 11 C ,则 y 12 , y 13 , y 21 , y 22 , y 31 , y 32 C ,否则存在 v{ y 12 , y 13 , y 21 , y 22 , y 31 , y 32 } ,使得 S 1 ( v ) S 1 ( y 11 ) 。因为要使得 y 12 S 1 ( c i ) ,所以只能 y 23 C ,则 y 41 C ,否则 S 1 ( y 41 ) S 1 ( y 23 )={ y 32 } 。又因为要使得 y 31 S 1 ( c i ) ,所以只能 y 42 C ,则 y 24 C ,否则 S 1 ( y 24 ) S 1 ( y 42 )={ y 33 } ,此时我们发现 y 13 , y 22 , y 24 C ,这说明 y 13 S 1 ( c i ) ,与完备码定义矛盾,所以 y 11 C

(2) 若 y 21 C ,则 y 11 , y 22 , y 31 , y 42 C ,否则存在 v 1 { y 11 , y 22 , y 31 , y 42 } ,使得 S 1 ( v 1 ) S 1 ( y 21 ) 。因为要满足 y 13 S 1 ( c i ) ,所以只能 y 13 C y 24 C

如果 y 24 C ,那么 y 13 , y 33 C ,否则存在 v 2 { y 13 , y 33 } ,使得 S 1 ( v 2 ) S 1 ( y 24 ) ,这时我们发现 y 11 , y 13 , y 22 , y 31 , y 33 C ,那么 y 22 S 1 ( c i ) ,与完备码定义矛盾,所以 y 24 C

如果 y 13 C ,则 y 15 , y 24 , y 33 C ,否则存在 v 3 { y 15 , y 24 , y 33 } ,使得 S 1 ( v 3 ) S 1 ( y 13 ) ,因为要保证 y 33 S 1 ( c i ) ,则只能 y 44 C ,则 y 26 C ,否则 S 1 ( y 26 ) S 1 ( y 44 )={ y 35 } ,此时 y 15 , y 24 , y 26 C ,那么 y 15 S 1 ( c i ) ,与完备码定义矛盾,所以 y 13 C 。根据以上得出 y 21 C

(3) 若 y 22 C ,则 y 11 , y 21 , y 31 , y 41 C ,否则存在 v 1 { y 11 , y 21 , y 31 , y 41 } ,使得 S 1 ( v 1 ) S 1 ( y 22 ) 。因为要保证 y 21 S 1 ( c i ) ,只能 y 12 C y 32 C

如果 y 32 C ,则 y 12 , y 23 C ,否则存在 v 2 { y 12 , y 23 } ,使得 S 1 ( v 2 ) S 1 ( y 32 ) ,而此时 y 12 , y 21 , y 23 C ,那么 y 12 S 1 ( c i ) ,这与完备码定义矛盾,所以 y 32 C

如果 y 12 C ,则 y 14 , y 23 , y 32 C ,否则存在 v 3 { y 14 , y 23 , y 32 } ,使得 S 1 ( v 3 ) S 1 ( y 12 ) ,因为要使得 y 32 S 1 ( c i ) ,则只能 y 43 C ,从而 y 25 C ,否则 S 1 ( y 25 ) S 1 ( y 43 ) ,此时 y 14 , y 23 , y 25 C ,这说明 y 14 S 1 ( c i ) ,与完备码定义矛盾,所以 y 12 C 。根据以上得 y 22 C

综上, y 11 , y 21 , y 22 C ,则 y 11 S 1 ( c i ) ,从而 S 1 ( c i )V( Γ NC ( p × q ) ) ,因此,图 Γ NC ( p × q ) 中不存在完备码。

4. 小结和展望

本文基于nil-clean图的概念,构造了以单位集为点集的一些环的nil-clean图的导出子图并给出其完备码的大小。我们得到以下结论:当 n=p 2p (其中 p 是一个奇素数)时,图 Γ NC ( n ) 是一条路径,其完

备码大小为 p1 3 ;当 n= 2 k 3 k (其中 k 为正整数)时, Γ NC ( n ) 中完备码的大小为1;当 n= p k (其中

p>3 为素数)和 pq (其中 p,q 是两个互异奇素数)时, Γ NC ( n ) 中不存在完备码。当然,对于一般的 n 值,我们还没有给出图 Γ NC ( n ) 中完备码的相关结论,这也是需要我们进一步研究的问题。

基金项目

本论文由国家自然科学基金(项目编号:12261001,12461001)资助。

NOTES

*通讯作者。

参考文献

[1] Biggs, N. (1973) Perfect Codes in Graphs. Journal of Combinatorial Theory, Series B, 15, 289-296. [Google Scholar] [CrossRef
[2] Mudaber, M.H., Sarmin, N.H. and Gambo, I. (2021) Perfect Codes over Induced Subgraphs of Unit Graphs of Ring of Integers Modulo N. Wseas Transactions on Mathematics, 20, 399-403. [Google Scholar] [CrossRef
[3] Mudaber, M.H., Sarmin, N.H. and Gambo, I. (2022) Perfect Codes in Spanning Subgraphs of Unit Graphs Associated with Some Boolean Rings. Proceedings of Science and Mathematics, 6, 86-89.
[4] Mudaber, M.H., Sarmin, N.H. and Gambo, I. (2022) Perfect Codes in Unit Graph of Some Commutative Rings. Ad-vances and Applications in Mathematical Sciences, 21, 1895-1905.
[5] Mudaber, M.H., Sarmin, N.H. and Gambo, I. (2022) Perfect Codes in Induced Subgraph of Unit Graph Associated with Some Commutative Rings. Jurnal Teknologi, 84, 131-136. [Google Scholar] [CrossRef
[6] Mudaber, M.H., Sarmin, N.H. and Gambo, I. (2024) Perfect Codes in Unity Product Graph of Some Commutative Rings. Southeast Asian Bulletin of Mathematics, 48, 401-409.
[7] Ma, X., Zhong, G. and Wang, K. (2023) Perfect Codes in Commuting Graphs of Symmetric Groups. Acta Mathe-Matica Sinica Chinese Series, 66, 475-484.
[8] Huo, L., Yi, G. and Li, M. (2025) Perfect Codes in Commuting Graphs on Several Finite Non-Abelian Groups. Journal of Mathematics, 45,429-434.
[9] Lint, J.H.V. (1975) A Survey of Perfect Codes. Rocky Mountain Journal of Mathematics, 5, 199-224. [Google Scholar] [CrossRef
[10] Diesl, A.J. (2013) Nil Clean Rings. Journal of Algebra, 383, 197-211. [Google Scholar] [CrossRef
[11] Basnet, D.K. and Bhattacharyya, J. (2017) Nil Clean Graphs of Rings. Algebra Colloquium, 24, 481-492. [Google Scholar] [CrossRef
[12] Chartrand, G. and Zhang, P. (2013) A First Course in Graph Theory. Dover Publications.
[13] Evans, A.B., Fricke, G.H., Maneri, C.C., McKee, T.A. and Perkel, M. (1994) Representations of Graphs Modulo n. Journal of Graph Theory, 18, 801-815. [Google Scholar] [CrossRef