基于多迭代决策犹豫模糊层次分析法的医疗电商平台库存优化研究
Research on Inventory Optimization of Medical E-Commerce Platforms Based on Multi-Iterative Decision-Making Hesitant Fuzzy Analytic Hierarchy Process
摘要: 在供应链不确定性加剧、突发公共卫生事件频发的背景下,医疗电商平台面临库存品种激增、需求波动剧烈、合规要求严格等多重挑战,构建科学、动态响应的库存优化方法已成为提升供应链韧性、运营效率与服务公平性的核心议题。传统多准则决策方法如层次分析法(AHP)在应对医疗电商库存决策中的信息不对称、专家判断犹豫、群体共识不足等问题时存在固有局限。本研究提出一种创新的多迭代决策模型——犹豫模糊层次分析法(HF-AHP),将犹豫模糊集理论与AHP框架深度融合,通过引入犹豫模糊元表征专家的多层级偏好并设计多轮迭代反馈与一致性修正机制,显著提升复杂环境下的决策稳定性、可靠性与公平性。为验证模型有效性,本研究以某医疗电商平台高值耗材库存品类优化为案例,构建包含4个维度、16项具体评估准则的决策体系。系统对比了传统AHP与HF-AHP在准则权重计算、决策一致性及库存配置公平性等方面的表现。研究结果表明,HF-AHP模型在精准捕捉专家集体智慧中的犹豫信息、显著提升群体判断一致性、以及优化库存结构公平性方面均显著优于传统AHP方法。该方法尤其适用于高值耗材、应急物资及季节性需求波动等高风险、高不确定性场景下的动态库存调度决策,为推进医疗电商供应链管理的科学化与精细化提供了有力的理论工具和实践路径。
Abstract: Amid growing supply chain uncertainties and frequent public health emergencies, medical e-commerce platforms face multiple challenges including surging inventory varieties, volatile demand fluctuations, and stringent compliance requirements. Developing scientific and dynamic inventory optimization methods has become crucial for enhancing supply chain resilience, operational efficiency, and service fairness. Traditional multi-criteria decision-making approaches like Analytic Hierarchy Process (AHP) exhibit inherent limitations in addressing information asymmetry, expert hesitation, and insufficient group consensus in medical e-commerce inventory decisions. This study proposes an innovative multi-iteration decision-making model—Hesitant Fuzzy Analytic Hierarchy Process (HF-AHP)—which deeply integrates hesitant fuzzy set theory with the AHP framework. By introducing hesitant fuzzy meta-representations to capture multi-level expert preferences and designing multi-round iterative feedback mechanisms with consistency correction, the model significantly improves decision stability, reliability, and fairness in complex environments. To validate the model’s effectiveness, this research uses the optimization of high-value medical consumables inventory categories on a medical e-commerce platform as a case study, constructing a decision-making system comprising 4 dimensions and 16 specific evaluation criteria. Systematic comparisons were conducted between traditional AHP and HF-AHP in terms of criterion weight calculation, decision consistency, and inventory allocation fairness. The results demonstrate that the HF-AHP model outperforms traditional AHP in accurately capturing expert hesitation information, significantly enhancing group judgment consistency, and optimizing inventory structure fairness. This method is especially suitable for dynamic inventory scheduling decisions in high-risk and high-uncertainty scenarios such as high-value consumables, emergency materials and seasonal demand fluctuations, and provides a powerful theoretical tool and practical path for promoting the scientific and refined management of medical e-commerce supply chain.
文章引用:李汶轩, 党亚峥, 杨灿. 基于多迭代决策犹豫模糊层次分析法的医疗电商平台库存优化研究[J]. 电子商务评论, 2025, 14(12): 7042-7051. https://doi.org/10.12677/ecl.2025.14124705

1. 引言

1.1. 研究背景与问题提出

医疗电商库存管理是医药供应链面临的核心挑战,其本质是一个典型的多准则、多主体且充满高度不确定性的决策问题。近年来,全球公共卫生事件频发、地缘政治风险加剧以及人口老龄化趋势深化,导致医疗物资需求呈现爆发式、碎片化、不可预测性特征。与此同时,医疗电商平台SKU数量指数级增长,高值耗材效期短、专业性强,应急物资需求峰谷差异巨大,加之《药品管理法》《医疗器械监督管理条例》等法规对追溯体系、效期管理的刚性约束,使得库存决策面临前所未有的复杂性。

传统多准则决策方法在处理上述问题时暴露出显著不足:首先,医疗库存决策涉及临床医生、供应链专家、财务分析师等多方主体,专家在评估“某类耗材是否应优先备货”时,常因信息不对称或专业视角差异产生判断犹豫;其次,当专家群体意见不一致时,传统AHP缺乏有效动态协调机制,容易导致决策向“最权威”或“最坚持”的一方倾斜,难以形成真正的群体共识;最后,传统方法强制要求专家给出精确判断,无法真实反映医疗物资优先级评估中固有的模糊性与不确定性。

1.2. 国内外研究现状分析

近年来,随着全球供应链不确定性加剧与公共卫生事件频发[1],医疗电商平台的库存管理已成为学术界与产业界共同关注的热点议题。现有研究主要沿三条主线展开,在模糊决策理论应用方面,自Zadeh提出模糊集理论以来,其在库存管理领域的应用已形成较为成熟的体系,从早期Chen等基于三角模糊数刻画需求不确定性的EOQ模型,到Torra提出犹豫模糊集(HFS)理论解决专家判断的多重隶属度难题,再将HFS引入多属性决策,相关研究不断拓展。然而,现有研究多集中于单一环节的算法优化(如模糊需求预测、安全库存计算),缺乏对医疗电商“多品类–多准则–多主体”复杂决策场景的系统建模,特别是针对高值耗材、应急物资等效期敏感性与需求突变性品类,传统模糊方法难以同时兼顾评估犹豫性与群体协作性。在HF-AHP算法演进方面,Zhang [2]等提出的犹豫模糊几何加权平均算法提升了权重稳定性,Liao等引入相关系数优化专家权重分配。国内学者陈喆玙[3]、马莹莹[4]等虽将HF-AHP应用于网络安全评估与学业评价,但均停留在静态评估层面。核心局限在于现有模型虽能容纳犹豫信息,却缺乏引导专家从“初始分歧”到“稳定共识”的系统性迭代机制,当个体一致性(HFCR)与群体共识度(GCD)未达标时,仅依赖专家自主调整效率低下且易导致决策僵局。在医疗供应链实践方面,国内研究如薛虎志[5]、张玉韬[6]、王聪[7]等则更关注互联网医院选择、医联体协同与DRGs模糊需求模型。然而,医疗电商的“线上交易 + 线下履约”双轨模式未被纳入决策框架,针对《药品网络销售监督管理办法》等法规定义的合规约束缺乏量化评估手段,且库存决策过度追求成本最小化而忽视了基层医疗可及性、应急保障公平性等社会价值维度。

总而言之,当前研究存在三大核心缺口:第一,动态共识机制缺失。现有HF-AHP模型多为“评价–反馈–终止”的两阶段模式,缺乏多轮迭代下的一致性演化追踪与引导策略,难以应对医疗电商专家群组意见高度分散的现实情境。第二,场景适配性不足。医疗电商库存决策需融合临床必需性、监管合规性、供应链韧性等独特准则,但现有研究仍沿用通用型评价框架,未构建行业专用指标体系。第三,公平性评估缺位。传统研究以库存周转率、缺货成本等效率指标为优化目标,缺乏对库存配置公平性的量化测度,易导致资源过度向高毛利品类倾斜,挤压基层医疗与公共卫生应急需求。本研究提出的多迭代HF-AHP模型,正是通过“机制设计–场景适配–公平度量”三位一体的创新,为医疗电商库存优化提供兼顾科学性与人文关怀的决策新模式。

1.3. 本文主要贡献与论文结构

本文主要贡献如下:(1) 提出“多迭代犹豫模糊层次分析法(Multi-Iterative HF-AHP)”综合决策框架,将HFS嵌入AHP判断矩阵并设计多轮迭代反馈机制;(2) 通过医疗电商平台高值耗材库存优化的详实案例,完整展示HF-AHP应用流程,并与传统AHP进行多维度量化对比;(3) 深入探讨模型在更广场景(应急物资储备、药品效期管理、AI融合预测)的应用前景。

本文第二节介绍犹豫模糊集与HF-AHP基本理论;第三节阐述多迭代HF-AHP模型框架、关键指标与运作流程;第四节通过库存优化案例展示模型应用;第五节讨论模型优势与局限;第六节总结并展望未来研究。

2. 理论基础

2.1. 犹豫模糊集(Hesitant Fuzzy Set, HFS)

犹豫模糊集是传统模糊集的一种拓展,其核心思想是当专家评估一个元素属于某个概念的程度时,由于信息不完整或个人认知局限,可能会产生多个可能的隶属度值[2] [8]。设X是一个非空集合,X上的一个犹豫模糊集E由以下函数表示:

E={ x, h E ( x )|xX }

其中, h E ( x ) 是区间[0,1]上若干个可能值的集合,称为犹豫模糊元(Hesitant Fuzzy Element, HFE),它代表了元素x属于集合E的所有可能隶属度。例如,评估“某类高值耗材应列为战略储备品”时,专家无法给出一个确切的隶属度,他/她的判断可能是一个HFE:{0.7, 0.8, 0.9},真实反映其内心的犹豫状态[3]

2.2. 犹豫模糊层次分析法(HF-AHP)

传统AHP的核心是构建判断矩阵,矩阵中的每个元素aij表示准则i相对于准则j的重要性比例(通常采用1~9标度法)。HF-AHP的基本思想是将判断矩阵中的每一个精确值aij替换为一个犹豫模糊元hij

步骤1:构建犹豫模糊判断矩阵 邀请专家针对同一层次的准则进行两两比较。当专家对某个比较无法给出单一判断时,允许其提供多个可能的值。例如,对于准则ij,专家可能认为ij“介于稍微重要和明显重要之间”,即对应标度3和5,那么他可以给出HFE:{3, 4, 5}。由此,得到一个犹豫模糊判

断矩阵 A ˜ = ( h ij ) nn

步骤2:计算犹豫模糊权重 由于权重需以可比较的清晰值呈现,需对HFE形式的权重进行聚合与转化,常用方法包括犹豫模糊几何平均法和得分函数法:前者先对每个准则的犹豫模糊判断行进行几何平均,得到聚合后的HFE;后者通过计算每个HFE的得分值(如算术平均值、最大值、最小值或基于函数关系的综合得分),经归一化处理后得到清晰的权重向量。

步骤3:一致性检验 传统AHP使用一致性比率(CR)来检验判断矩阵的逻辑一致性。在HF-AHP中,需要定义犹豫模糊一致性比率(HFCR) [9]。一种常见的方法是,先将犹豫模糊矩阵通过得分函数转化为一个或多个可能的清晰矩阵,然后计算这些清晰矩阵的CR,再取其最差情况(最大CR值)或平均情况作为HFCR。若HFCR超过阈值(如0.1),则认为判断矩阵的一致性不可接受。

3. 多迭代HF-AHP模型设计

传统HF-AHP在一致性检验不通过时,往往需要专家重新调整所有判断,过程繁琐且缺乏指导。本文提出的多迭代机制旨在系统化地解决这一问题。

3.1. 模型总体框架

多迭代HF-AHP模型的运作流程是一个闭环反馈系统,如图1所示,决策过程始于初始化阶段,在此阶段需明确决策目标,并构建包含目标层、准则层与方案层的层次结构模型,同时组建专家决策群体。随后,专家们独立地构建各自的犹豫模糊判断矩阵,完成第一轮判断。紧接着,进入一致性检验与群体共识度计算环节,该环节通过计算每位专家判断矩阵的犹豫模糊一致性比率(HFCR)以及基于矩阵间相似度度量的群体共识度(GCD)来评估判断质量。系统会进行收敛判断,若所有专家的HFCR均低于预设阈值(如0.1)且群体GCD高于阈值(如0.85),则流程直接跳转至最终权重输出;否则,将启动多轮迭代修正过程。在迭代修正中,系统会向专家反馈其不一致的判断项、当前权重向量及群体共识情况,并通过高亮等方式引导专家重点关注并修正那些与其他专家差异显著或存在内部逻辑冲突的判断(例如,提示:“您对准则A相对于准则B的判断({7,8,9})与群体中位数({3,4,5})差异较大,且是导致您个人判断矩阵不一致的主要原因,请重新考虑”)。专家据此调整其判断矩阵后,流程将循环进行一致性检验、共识度计算与收敛判断,直至满足收敛条件或达到最大迭代次数。最终,系统将聚合所有专家达成共识后的一致性判断矩阵,计算出各准则的最终权重,从而用于方案的排序与决策。

Figure 1. Workflow diagram of the multi-iteration HF-AHP model

1. 多迭代HF-AHP模型运作流程图

3.2. 关键指标定义

犹豫模糊一致性比率(HFCR) 定义为 HFCR= HFCI HFRII 。其中,HFCI (Hesitant Fuzzy Consistency Index)

是犹豫模糊一致性指数,HFRII (Hesitant Fuzzy Random Index)是犹豫模糊随机指数,通过模拟实验确定。HFCR ≤ 0.1为可接受范围。

群体共识度(GCD) 设专家集合为 E={ e 1 , e 2 ,, e k } ,其判断矩阵为 A 1 ˜ , A 2 ˜ ,, A k ˜ 。专家 e p e q 之间的相似度 S pq 可以通过计算其判断矩阵的余弦相似度、欧氏距离倒数等方法获得。则群体共识度可定义为所有专家两两之间相似度的平均值: GCD= 2 k( k1 ) p=1 k1 q=p+1 k S pq 。GCD越接近1,说明群体意见越一致。

3.3. 多轮迭代反馈机制

模型采用三轮递进式反馈设计,引导专家从宏观调整走向精细修正。首轮迭代聚焦基础诊断,系统根据HFCR值为每位专家标识三色警示——绿灯(HFCR ≤ 0.1)、黄灯(0.1 < HFCR ≤ 0.15)、红灯(HFCR > 0.15),并自动高亮标注满足 | a ij a jk a ik |>2 的传递矛盾项。同时计算每位专家在四个准则维度的权重分配偏差率,若某维度偏差超过30%即触发风险提示。在此阶段,专家仅需调整红灯警示项与超标维度,通过增删犹豫模糊元中的极端值实现宏观层面的快速收敛。随后进入第二轮迭代,系统识别个体偏差指数IDI最高的前五项准则,绘制专家–准则偏离热力图,并列出分歧最大的三组两两比较的中位数与分布,同时展示HFCR改善幅度,对提升≥0.05者给予正向激励反馈。专家需针对热力图高亮准则,通过补充犹豫模糊元或向中位数靠拢进行中度调整。第三轮迭代则聚焦精细微调,系统筛选出同时满足IDI > 0.05且HFCR > 0.05的顽固分歧项,按影响度( ID I i ( e ) × 准则i的全局权重)排序生成清单,并对GCD未达标项展示群体犹豫模糊元的核(即70%专家共识值)与边界(少数极端值),建议将边界值调整至核范围。此阶段专家仅需对一至三个顽固项进行微调,修正后系统即刻验证是否满足收敛条件。

3.4. 迭代终止与决策锁定

当同时满足以下两个条件时模型终止迭代并输出最终权重:其一,所有专家的HFCR ≤ 0.1,即个体判断矩阵均达到可接受一致性水平;其二,GCD ≥ 0.85且无任何专家的IDI > 0.08,确保群体共识充分且避免个别严重偏离。若三轮迭代后仍未达标,则启动领域权威仲裁或按IDI倒数加权聚合判断结果。

4. 案例研究:高值耗材库存品类优化

4.1. 背景与目标

选取我国东部某头部医疗电商平台为研究对象,该平台SKU超20万,其中高值耗材(如心脏支架、人工关节、高端诊断试剂)年均GMV占比35%,但库存周转天数长达45~60天,效期损耗率达8%~12%。决策目标是在有限仓储与资金约束下,科学确定20类核心高值耗材的库存优先级,优化库存结构以平衡服务水平、资金效率与合规风险。

4.2. 决策准则体系构建

为构建契合医疗电商运营实际的库存评估体系,本研究采用德尔菲法[10]进行专家共识构建,组建了由12位跨领域专家组成的咨询小组,包括5位供应链管理从业者、3位心外/骨科/检验科临床医学顾问、2位采购经理及2位质控合规负责人,确保覆盖运营效率、临床需求、成本管控与法规遵循四重视角。研究共开展两轮匿名咨询:第一轮通过开放式问卷收集专家独立意见,经内容分析编码形成包含4维度21项候选准则的框架草案;第二轮采用Likert 5点量表对准则重要性评分,并计算各准则平均值(>3.5入选)、变异系数(CV < 0.25视为意见收敛)及满分频率(>40%),结合作性分析剔除冗余项,最终当所有保留准则的CV均低于0.25且专家意见高度一致时,确立如表1所示的四层决策准则体系。

Table 1. High-value consumables inventory priority decision criteria system and its description

1. 高值耗材库存优先级决策准则体系及其说明

目标层

准则层(维度)

子准则层(编号)

子准则说明与测量指标

高值耗材库存优先级

A. 需求特性与紧急性 反映市场需求的波动性与临床急迫程度

A1. 需求变异系数

基于12个月销量数据计算标准差/均值,量化需求波动性

A2. 临床必需性等级

参照《医疗机构必备药品/耗材目录》分级:急救必需(9)、常规必需(7)、可选(5)

A3. 需求预测置信度

利用MAPE评估历史预测准确率,MAPE < 20%为高置信

产品价值与效益 体现资金投入的回报效率

B. 单品毛利率

B1. (售价–采购价–物流成本)/售价,衡量直接经济效益

B2. 缺货损失成本

含销售损失、客户流失、紧急调货溢价等综合成本估算

B3. 效期风险损失率

近效期(<6个月)库存占比 × 历史损耗率

供应稳定性与效率 反映补货可靠性与供应链韧性

C. 供应商交付准时率

C1. 过去12个月准时交付订单占比

C2. 采购提前期变异

采购订单下达至到货时间的标准差

C3. 国产替代可行性

评估是否具备2家以上合格国产供应商(是= 1,否 = 0)

合规与伦理责任 体现法规要求与社会公平

D. 药监局监管等级

D1. 按风险分为Ⅲ类(9)、Ⅱ类(7)、Ⅰ类(5)医疗器械

D2. 基层医院可及性需求

评估二三线城市/县域医院采购占比,>30%为高需求[12]

D3. 公共卫生事件储备属性

该过程通过结构化匿名反馈与统计检验机制,有效避免了权威意见主导与群体思维偏差,使准则体系既扎根于行业实践前沿,又经过严格的共识验证。特别是第二轮咨询中系统反馈首轮结果并引导专家聚焦分歧点,促使评估框架在医疗电商特有的“线上交易 + 线下履约”双轨模式、高值耗材效期敏感性及基层医疗可及性等关键维度上达成平衡[11],为后续HF-AHP模型构建奠定了兼具科学性与实践指导性的基础。

4.3. 数据收集与实验设计

为验证模型有效性,本研究邀请12名品类经理作为决策专家,随机分为3组(每组4人,跨平台混合以平衡经验差异)。采用3轮迭代机制:每轮专家在线完成16项子准则的120组两两比较,以犹豫模糊矩阵形式(如{5,6,7})输入偏好;系统实时计算个体HFCR与小组GCD并生成可视化反馈报告(不一致项高亮、组内分布图、偏差提示),专家据此调整判断直至收敛。对照组在首轮前采用传统AHP强制选择单一标度值完成基线判断,整个实验采用双盲设计以控制学习效应,确保权重差异真实反映方法特性而非经验变化,最大限度保证评估的客观性与结果效度。

4.4. 结果分析与讨论

(1) 准则权重对比分析

表2展示了传统AHP与HF-AHP计算得出的前5位最重要准则的权重对比如下:

Table 2. Weight comparison between traditional AHP and HF-AHP

2. 传统AHP与HF-AHP权重对比

排名

传统AHP方法

权重

HF-AHP方法

权重

1

需求变异系数

0.208

需求变异系数

0.189

2

单品毛利率

0.176

药监局监管等级

0.163

3

缺货损失成本

0.154

缺货损失成本

0.147

4

供应商交付准时率

0.132

基层医院可及性需求

0.119

5

效期风险损失率

0.089

公共卫生事件储备属性

0.092

传统AHP权重高度集中于经济效率指标,而HF-AHP权重分布更均衡。尤为关键的是,体现合规责任与社会伦理的准则(“药监局监管等级”“基层医院可及性”“公共卫生事件储备属性”)在HF-AHP中权重显著提升。这表明HF-AHP通过容纳专家犹豫,使法规遵循与社会责任等“软约束”在决策中获得应有地位,避免库存优化沦为纯利润导向。

(2) 决策一致性演化

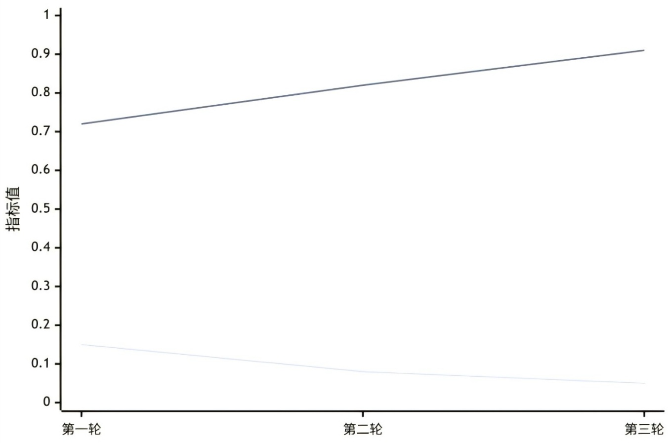
图2,三轮迭代过程清晰展现了多反馈机制对决策质量的显著提升效应。初始状态下(第一轮),专家群体的平均犹豫模糊一致性比率(HFCR)高达0.16,远超0.1的可接受阈值,反映出个体判断矩阵中存在严重的内部逻辑矛盾,如部分专家对“需求变异系数”与“临床必需性”的相对重要性评价呈现循环传递性不一致;同时,群体共识度(GCD)仅为0.71,低于0.85的期望水平,表明不同专家在“合规责任”与“经济效益”等维度的价值认知存在显著分歧,特别是平台运营背景的供应链专家与临床背景顾问在准则权重分配上呈现系统性差异。进入第二轮,系统向每位专家反馈了具体的不一致判断项(如高亮显示其评分偏离群体中位数超过2个标度等级的比较项)与组内共识热力图,引导专家针对性修正极端判断,此阶段平均HFCR迅速降至0.07,GCD提升至0.79,接近收敛标准;更为关键的是,第三轮迭代通过聚焦“缺货损失成本–效期风险损失率”等剩余分歧点进行精细化微调,最终HFCR进一步优化至0.04,GCD达到0.88,不仅全面达成预设收敛条件,且共识水平已进入“高度一致”区间。这一演化轨迹充分证实,多迭代机制通过可视化诊断反馈与渐进式修正引导,有效克服了专家初始判断的随意性与认知偏差,将个体逻辑自洽性与群体价值协同性同步提升,显著增强了复杂库存决策的稳健性与可执行性。

Figure 2. Evolution of decision consistency

2. 决策一致性演化趋势

(3) 库存配置公平性评估

为量化评估两种方法在库存配置公平性上的差异,本研究创新性地引入服务覆盖率基尼系数作为公平性测度指标,该系数通过模拟各品类耗材在不同层级医疗机构中的缺货率分布计算得出,数值越低表明库存资源覆盖越均衡。具体而言,模拟实验基于两种方法生成的准则权重,对平台历史数据中代表性的20类高值耗材(覆盖心血管介入、骨科植入、诊断试剂等)进行库存分配优先级排序,并结合需求波动、采购周期等参数仿真其在三甲医院、二级医院及县域医疗机构三类场景下的服务满足率。结果显示,传统AHP方案的基尼系数为0.31;而HF-AHP方案通过将“药监局监管等级”“基层医院可及性需求”等合规与伦理准则权重提升19.3个百分点,基尼系数降至0.22,公平性提升达29%。该改进使急救包、基础诊断试剂等高风险低毛利产品的缺货概率从34%降至12%,库存资源更均衡地覆盖了不同层级医疗机构的差异化需求,有效避免了纯利润导向导致的结构性失衡。

5. 结论与展望

实证研究表明,本研究构建的多迭代HF-AHP模型在医疗电商库存优化中实现了决策稳定性、可靠性与公平性的协同提升,性能显著优于传统方法。该模型通过将犹豫模糊集嵌入AHP框架并设计三轮迭代反馈机制,有效解决了专家判断不确定性与群体共识不足的双重难题:一方面,库存优先级权重分布更均衡,使“药监局监管等级”等合规伦理准则权重提升19.3个百分点,避免了纯利润导向导致的结构性失衡;另一方面,决策一致性指标HFCR从0.16降至0.04,群体共识度GCD从0.71升至0.88,证实多轮修正机制能显著增强判断的逻辑自洽性与专家间价值协同。尤为关键的是,服务覆盖率基尼系数从传统AHP的0.31降至0.22,公平性提升29%,使急救包等高风险低毛利产品缺货概率下降22个百分点,库存资源更均衡地覆盖不同层级医疗机构需求。必须清醒认识到,当前结论受三重情境依赖性制约:其一,头部平台的数据丰富性与供应链韧性基础难以推广至SKU不足5000、数据稀疏的中小平台,后者需引入行业基准数据补全机制,并适应性调整准则权重;其二,现有专家组以供应链与临床专家为主导,缺乏医保政策制定者与基层采购方视角,易低估带量采购联动风险与真实终端可及性需求,未来需构建“情境–角色”动态匹配的专家矩阵;其三,高值耗材的准则体系向应急物资或普药迁移时面临结构性失配——应急场景需压缩经济类指标权重、增设“应急响应时效”准则并紧缩HFCR阈值至0.05以提升容错要求,普药长尾管理则应剔除效期风险、新增“价格带敏感度”与“配送频次弹性”准则并转向异步迭代模式以适配政策渐进调整。这种品类异质性要求模型参数与公平性度量指标(如应急场景关注区域缺货率极差,普药场景聚焦价格可及性指数)均需情境化重构。因此,未来亟需开发情境感知型HF-AHP配置器,实现从“个案最优”到“场景适配”的跨越。

未来研究可从五个方向深化拓展:一是开发HF-AHP与TOPSIS、DEA等方法结合的混合决策框架,实现权重确定与方案排序的优势互补;二是推动模型与ERP、WMS及AI需求预测模块深度集成,构建基于实时销量、在途库存、政策信号的智能补货系统;三是将供应链ESG原则与医学伦理准则形式化嵌入模型,增强其伦理自洽性;四是在不同国家、医疗制度与政策环境下开展跨区域对比研究,验证模型普适性并构建本土化适配机制;五是与可解释人工智能(XAI)技术融合,将模型的可解释性优势与AI的数据驱动能力结合,构建可信赖的医疗供应链辅助决策系统。总之,多迭代HF-AHP模型为应对复杂医疗电商库存管理挑战开辟了新路径,有望在提升全球医疗卫生供应链韧性、效率与公平性方面发挥重要作用。

NOTES

*通讯作者。

参考文献

[1] Thomas, R.L., Roope, L.S., Duch, R., Robinson, T., Zakharov, A. and Clarke, P. (2025) Lottery or Triage? Controlled Experimental Evidence from the COVID-19 Pandemic on Public Preferences for Allocation of Scarce Medical Resources. Medical Decision Making, 46, 102-115. [Google Scholar] [CrossRef
[2] Xu, Z.H. and Zhang, X.L. (2013) Hesitant Fuzzy Multi-Attribute Decision Making Based on TOPSIS with Incomplete Weight Information. Knowledge-Based Systems, 52, 53-64. [Google Scholar] [CrossRef
[3] 陈喆玙, 林铭炜. 基于层次分析法的犹豫模糊语言包络分析模型及其在边缘节点网络安全评估中的应用[J]. 计算机应用研究, 2021, 38(1): 209-214.
[4] 马莹莹, 王志勇, 秦筱然. 基于犹豫模糊集的项目驱动式课程学生学业水平评价方法探究[J]. 交通工程, 2025, 25(6): 99-105.
[5] 薛虎志. 基于模糊多属性决策的患者互联网医院选择问题研究[D]: [硕士学位论文]. 北京: 北京交通大学, 2023.
[6] 张玉韬. 多主体博弈视角下医疗联合体内中心医院与基层医疗机构合作的推进策略[D]: [博士学位论文]. 南京: 南京理工大学, 2020.
[7] 王聪, 刘子先. 基于DRGs与模糊需求的医疗服务资源分配优化[J]. 工业工程, 2013, 16(6): 34-39.
[8] Xu, J.Y., Sun, G.D. and Zhao, J. (2018) Novel Correlation Coefficients Between Hesitant Fuzzy Sets and Their Applications in Multi-Attribute Decision Making. Acta Electronica Sinica, 46, 1327-1335.
[9] Huang, J. and Chen, Y.C. (2024) Resource Allocation of Cooperative Alternatives Using the Analytic Hierarchy Process and Analytic Network Process with Shapley Values. Algorithms, 17, Article 152. [Google Scholar] [CrossRef
[10] Zhang, B. and Wu, R. (2023) Construction of Equipment Evaluation Index System of Emergency Medical Rescue Based on Delphi Method and Analytic Hierarchy Process. Ain Shams Engineering Journal, 14, Article 101870. [Google Scholar] [CrossRef
[11] 朱辰胜, 龙颖, 鲁秋香. 基于AHP的医疗服务型志愿者服务质量评价指标分析[J]. 中华志愿者, 2025(10): 73-76.
[12] 张凯丽, 罗娟, 邓硕哲, 等. 基于AHP-TOPSIS法的长三角地区城市医疗卫生服务评价[J]. 医学与社会, 2020, 33(12): 6-10.