川东H气藏沙溪庙组储层特征及物性主控因素
Reservoir Characteristics and Main Controlling Factors of Physical Properties of the Shaximiao Formation in the Chuandong H Gas Reservoir
DOI: 10.12677/ag.2026.161006, PDF, HTML, XML,   
作者: 毛柱毫, 尹楠鑫, 张书彦, 吕 洋, 苏学伟:重庆科技大学石油与天然气工程学院,重庆;罗 韧, 李 丹:中国石油西南油气田公司川东北气矿,四川 达州
关键词: 川东H气藏沙溪庙组储层特征物性主控因素Chuandong H Gas Reservoir Shaximiao Formation Reservoir Characteristics Main Controlling Factors of Physical Properties
摘要: 目的:针对川东H气藏沙溪庙组储层特征及物性主控因素不明确的问题。方法:综合运用岩心观察、薄片鉴定、压汞实验等多种分析方法,对H气藏沙溪庙组储层的岩石特征、储层孔隙、孔喉特征及孔隙度和渗透率的相关性进行分析和研究。结果表明:沙溪庙组储层主要由岩屑长石砂岩及长石岩屑砂岩组成,粒径以中粒为主,分选性较差,颗粒多呈次棱–次圆状;储集空间以次生溶孔和残余原生孔为主,孔喉半径小、突破压力高,喉道细小;孔隙度和渗透率呈明显的正相关性,属于特低孔–特低渗储层;沉积微相中分支河道、水下分支河道微相砂体的粒度较粗,分选较好,杂基含量低;有利于储层原始孔隙的保存和后期孔隙演化,优势沉积微相和成岩演化是沙溪庙组储层物性发育的主控因素。
Abstract: Objective: To address the unclear issues regarding the reservoir characteristics and main controlling factors of the physical properties of the Shaximiao Formation in the Chuandong H Gas Reservoir. Methods: A comprehensive analysis was conducted on the rock characteristics, reservoir pores, pore-throat features, and the correlation between porosity and permeability of the Shaximiao Formation reservoir in the H Gas Reservoir by integrating multiple analytical methods, including core observation, thin section identification, and mercury injection test. Results show that the Shaximiao Formation reservoir is mainly composed of lithic arkose and feldspathic litharenite, with medium grain size as the dominant fraction, poor sorting, and particles mostly subangular-subrounded in shape. The reservoir spaces are dominated by secondary dissolution pores and residual primary pores, characterized by a small pore-throat radius, high breakthrough pressure, and fine throats. Porosity and permeability exhibit a significant positive correlation, indicating an ultra-low porosity and ultra-low permeability reservoir. Among the sedimentary microfacies, the sand bodies of three microfacies (distributary channel, subaqueous distributary channel, and point bar) are characterized by coarser grain size, better sorting, and low matrix content, which are conducive to the preservation of original reservoir pores and the evolution of late-stage pores. Dominant sedimentary microfacies and diagenetic evolution are the main controlling factors for the development of physical properties of the Shaximiao Formation reservoir.
文章引用:毛柱毫, 罗韧, 李丹, 尹楠鑫, 张书彦, 吕洋, 苏学伟. 川东H气藏沙溪庙组储层特征及物性主控因素[J]. 地球科学前沿, 2026, 16(1): 52-61. https://doi.org/10.12677/ag.2026.161006

1. 引言

储层质量是低渗气藏勘探潜力的决定性因素[1] [2]。在低渗透油气藏的勘探开发中,优质储层发育段的识别与预测构成核心勘探目标,但是由于低渗透储层成因机制复杂,优质储层的预测难度大,直接制约了此类油气藏的勘探开发[3] [4]。我国川东地区作为重要的油气资源基地,其地质构造复杂且蕴含丰富的油气资源。H气藏位于四川盆地东北部达州市宣汉县境内,其构造位置特殊,处于大巴山弧形褶皱带的两组构造体系交汇缓冲地区,受多期构造运动的影响,形成了独特的地质特征。本研究聚焦于H气藏沙溪庙组储层,综合运用多种分析方法,如岩心观察、薄片鉴定、压汞实验等,通过对储层岩石学特征、孔隙结构特征以及物性特征的深入分析,旨在揭示该储层的物性主控因素,为川东地区乃至类似地区的油气勘探与开发提供理论依据。

2. 区域地质概况

H气藏位于四川盆地东北部达州市宣汉县境内(图1)。在构造上隶属于川东中隆高陡构造区双石庙构造群中部,处于大巴山弧形褶皱带的两组构造体系交汇缓冲地区,受两大弧形褶皱带体系的相互干涉和复合作用及两组(北西向和北东向)作用力的影响,造就了构造横向展布的不协调和纵向上的差异性[5]。地表主要出露侏罗系蓬莱镇–沙溪庙组,地表构造西南倾没端与南坝场鼻状构造呈鞍部接触,测区东北部相邻为北西向构造组系的大巴山弧形褶皱带,西为老君场向斜,东为平楼山向斜,地腹沙溪庙组以上层与地面构造基本一致。在盆地构造演化过程中,其沉积序列呈现出明显的岩相变化特征。早期(中三叠统及以下)主要发育海相碳酸盐岩沉积,而晚期(上三叠统至侏罗系)则转变为陆相砂泥岩沉积。这种岩性组合的转变反映了盆地由海相环境向陆相环境的演化过程。历经了加里东、海西、印支、燕山及喜山等构造运动。在H气藏区域,主要是侏罗系蓬莱镇组和沙溪庙组地层。整个区域内,侏罗系中统沙溪庙组为主要的构造核心区域,而在西部东升地区则发育侏罗系上统的遂宁组至蓬莱镇组地层。这种地层分布特征反映了研究区构造演化的差异性(图1)。本次研究目的层沙溪庙组划分为23个砂组。沙溪庙组由下至上分为沙一段和沙二段,其中沙一段主要划分为5套砂组,沙二段由下至上可分为三个亚段及18套砂组,主要发育曲流河以及三角洲沉积体系,岩性以长石岩屑砂岩为主。

Figure 1. Structural location map of H gas reservoir

1. H气藏构造位置图

3. 研究区储层基本特征

3.1. 研究区储层岩石学特征

储层岩石学特征是储层基本特征研究的重要因素之一,通过其成分成熟度分析,可以明确各碎屑组分含量,进而确定岩石类型,判断沉积物的搬运距离,进一步指示沉积环境,明确沉积相类型[6]。研究区沙二段砂岩以长石岩屑砂岩为主,少量为岩屑长石砂岩,成分成熟度较低(图2)。

3.2. 研究区储层孔隙类型

储层孔隙类型直接影响了储层的储集能力和渗透性,是评价储层质量的关键参数。加之不同孔隙类型对油气的储集和运移能力不同,研究孔隙类型可预测油气的分布和富集规律。沙溪庙组储层是以残余原生孔隙为主导的孔隙类型,这类孔隙源于粒石颗粒间经压实与胶结作用后所形成的原生孔隙所残余保留的部分,多呈不规则多边形或三角形,且普遍受绿泥石包膜所环绕(图3(a))。其次,储层次生溶蚀孔隙以粒内溶蚀孔和粒间溶蚀孔为主要形态,粒内溶蚀孔主要赋存于长石颗粒及部分火山岩岩屑内易溶组分中(图3(e)),长石溶蚀过程常沿解理面扩展,完全溶蚀后形成铸模孔(图3(c)图3(d))。沙溪庙组储层的粒间溶蚀孔通常表现为颗粒边缘溶蚀形成的孔隙或颗粒间泥质杂基、胶结物等[7]。该类型孔隙的形成以长石颗粒及火山岩岩屑边缘溶蚀为主导,同时受粒间易溶胶结物溶蚀作用的协同影响(图3(b))。

Figure 2. Petrological characteristics of the Shaximiao formation reservoir in the study area

2. 研究区沙溪庙组储层岩石学特征

Figure 3. Pore characteristics of reservoirs in the study area

3. 研究区储层孔隙特征

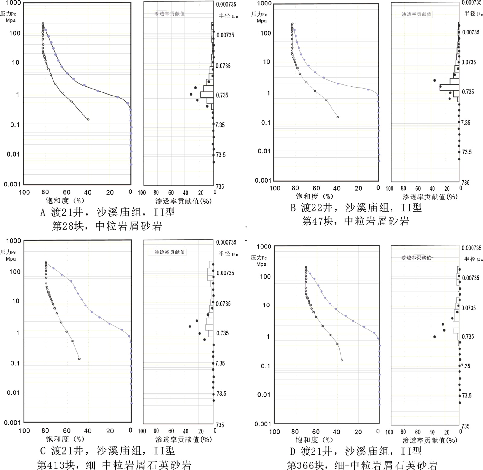
3.3. 研究区储层孔喉特征

储层孔隙结构从微观上反映储层的质量,孔隙及喉道的大小、分布及其相互连通的关系决定了储层的储集性能[8] [9]。研究区沙溪庙组压汞样品分析统计表明,中值孔喉直径:0.508~27.989 μm,平均值为3.547 μm,大于3 μm的样品占25.53%;排驱压力:0.041~15.798 MPa,一般在2 MPa以下,大于2 MPa的样品占25.53%;中值压力:0.116~66.598 MPa,平均值为7.844 MPa,小于10 MPa的样品占42.55%;分选系数:1.733~3.636,平均为2.623;孔隙喉道歪度:0.299~0.544 (图4)。研究区沙溪庙组砂体储层孔喉半径小、突破压力高,分选较差,喉道细小(图5)。

3.4. 研究区储层物性特征

H气藏沙溪庙组储层孔隙度介于0.40%~10.66%,主要分布在0%~2%、2%~4%、4%~6%之间,平均为2.98%;渗透率介于0.0001~13.6 mD,主要分布在0.01~0.1 mD、0.1~1 mD和1~10 mD之间,平均0.65mD。沙二段砂岩具有特低孔–特低渗特征。经分析研究区的砂岩样品,其孔隙度与渗透率呈现显著

Figure 4. Mercury intrusion curve characteristics of the reservoir in the Shaximiao formation

4. 研究区沙溪庙组储层压汞曲线特征

Figure 5. Pore-throat structure characteristics of the reservoir in the Shaximiao formation

5. 研究区沙溪庙组储层孔喉结构特征

的相关性,表明研究区为孔隙型储层,且是以粒间孔为主要的孔隙类型。

4. 物性主控因素分析

4.1. 沉积作用对储层物性的影响

不同沉积环境形成的储集体在岩石结构(包括粒度、分选和磨圆等)和碎屑组分(如石英、长石和岩屑的相对含量)上存在显著差异,因此沉积微相可通过这些特征控制储层的原始孔隙发育及后续孔隙演化过程[10]。H气藏沙溪庙组的沉积微相类型主要包括分支河道、水下分流河道、滨浅湖砂坝(滩坝砂)、河口坝及天然堤等多种砂体类型;其中水下分支河道、分支河道为最有利微相,有利储层发育。而且分支河道和水下分流河道的中粗粒砂岩物性要略好,裂缝更发育。

4.1.1. 不同组分对储层物性的影响

沉积环境不仅控制着砂体的分布,还进一步控制岩石的碎屑组分,从而反映储层的物性特征。通过研究H气藏石英与孔隙度的交汇图发现(图6(a)),石英含量与孔隙度的好坏呈正相关关系,随着石英含量的增加,储层孔隙度也在变好;这是由于石英自身的刚性特征使得部分原生孔隙在后期的改造中得以保存。由长石和孔隙度的交汇图可以得出(图6(b)),长石和孔隙度也呈正相关关系,但相关程度较低于石英与孔隙度的关系;这是由于长石本身易碎,在后期的改造中容易破碎。通过研究岩屑与孔隙度的交汇图发现(图6(c)),岩屑含量与孔隙度的好坏呈负相关,随着岩屑的增加孔隙度变差;这是由于岩屑粒径较小能将孔隙和吼道填充。最后,通过杂基与孔隙度的交汇图可以得出(图6(d)),杂基也与孔隙度呈负相关关系,杂基含量的增加,孔隙度呈下降的趋势。

Figure 6. Relationship between clastic components and reservoir porosity in the study area

6. 研究区碎屑组分与储层孔隙度的关系

4.1.2. 沉积相对储层的影响

沙溪庙组的分支河道和水下分流河道微相中的砂岩杂基含量少,主要以中–粗砂岩为主,颗粒磨圆度主要为次圆状,分选中等–较好;这些因素不仅决定了储层初始的孔隙结构特征,还通过改变岩石力学性质,进一步调控后期机械压实作用的演化路径。在沙溪庙组中,滨浅湖砂坝(滩坝砂)及河口坝微相分布的砂岩以粉–细砂为主,其初始孔隙度发育受限,从而使得机械压实作用表现出更强的压实效应,进而导致吼道规模明显缩小。通过取心井岩心的孔隙度与沉积微相的统计直方图可以看出,研究区沙溪庙组储层微相中,分支河道、水下分支河道构成最优质储集体,河口坝次之(图7)。

Figure 7. Columnar diagram of porosity and sedimentary microfacies

7. 孔隙度与沉积微相柱状图

4.2. 成岩作用对储层物性的影响

4.2.1. 机械压实作用

机械压实作用的压缩变化明显是随着沉积物的结构和矿物组分变化的。岩屑类型和数量是含岩屑砂岩的机械压实程度最为重要的影响因素之一,塑性岩屑类型及含量主要取决于物源和沉积环境特征,因此,受控于沉积物颗粒结构和矿物组分的机械压实作用可能与沉积相(沉积环境及物源等)存在间接关系。通常,沉积岩岩屑、变质岩岩屑及蚀变火山岩岩屑的塑性呈递进式增强。塑性岩屑含量的提升会强化储层砂岩的机械压实减孔作用。研究区火山岩屑以玄武岩和安山岩为主,机械压实减孔能力较强。川东北地区沙溪庙组地质时期最大埋深为4000 m,古新世和中新世以来遭受挤压作用而抬升,同样可以产生侧向压实作用,压实后剩余粒间体积不足10%,压实作用对孔隙的破坏较大,所以压实作用是导致储层致密化的主要因素之一,影响着储层物性。

4.2.2. 胶结作用

研究区砂岩中主要以浊沸石、方解石及绿泥石包膜胶结为主,其次为石英胶结,浊沸石和方解石大量充填孔隙空间,破坏储层物性,是仅次于压实作用的储层致密化因素之一(图8)。绿泥石的胶结作用对储层具有双重作用:一方面,绿泥石包膜含量越高,孔隙胶结物含量越高,粒间孔隙也越高,表明绿泥石环边衬垫可包裹颗粒和孔隙,增强岩石抗机械压实的强度,使孔隙得以较好地保存,同时有利于孔隙方解石和浊沸石的充分沉淀[11];另一方面,当绿泥石含量增长到一定程度时,绿泥石胶结物就会向孔隙方向生长,以占据孔隙的形式产出出现,从而变成了对孔隙的破坏作用。绿泥石包膜(衬垫)在早期阶段可

Figure 8. Microscopic characteristics of the reservoir in well Du 21

8.渡21井储层微观特征

增强岩石骨架的抗机械压实作用,有效防止石英次生加大孔喉的破坏,使得原生孔隙和喉道的保存较好,成岩流体能够顺畅地进入孔隙空间进而沉淀,为孔隙中浊沸石的充填和早期方解石沉淀提供充裕的空间与时间,同时残余原生孔隙在绿泥石包膜和孔隙方解石共同作用下得到较好保存。大量孔隙充填浊沸石后期溶蚀可以释放孔隙空间,因此,绿泥石包膜和浊沸石胶结物对储层孔隙共同起到保持性作用。

4.2.3. 溶蚀作用

溶蚀作用是砂岩储层孔隙的主要来源,破裂作用也可以形成部分裂缝。在研究区砂岩中,浊沸石和长石充填了大部分孔隙,主要的溶蚀作用是粒间和粒内溶孔为主(图9);其中,在渡21井1177.33 m处(图9(a)),主要为长石粒内溶孔。在浅006-1-H1井1754.87m处,发育少量粒间孔隙和裂缝(图9(b)),从而进一步改善储层的物性。后期溶蚀作用成为次生孔隙形成的关键成岩事件,对改善储层孔、渗特性起到了关键作用。

Figure 9. Dissolution characteristics of the reservoir in the Shaximiao formation

9. 研究区沙溪庙组储层溶蚀作用特征

5. 结论

(1) 沙溪庙组储层以长石岩屑砂岩和岩屑长石砂岩为主,成分成熟度偏低,粒径以中粒为主,分选性较差,颗粒多呈次棱–次圆状,结构成熟度较低。储层孔隙空间类型主要为次生溶孔和残余原生孔,研究区主要的孔隙类型为残余原生孔隙,而次生溶蚀孔包括粒间及粒内溶蚀孔。储层孔喉半径小、突破压力高,分选较差,喉道细小。物性方面,沙溪庙组储层具有超低孔–特低渗特征,孔隙度平均为2.98%,渗透率平均为0.65 mD,孔隙度与渗透率呈现较好的相关性。

(2) 优势沉积微相和成岩演化是沙溪庙组储层物性发育的主控因素。优势沉积微相为分支河道、水下分支河道,这些微相微相中,分支河道、水下分支河道构成最优质储集体,河口坝次之。同时,岩石结构和碎屑组分也对储层物性产生重要影响。中粗砂储层的物性优于细砂储层,石英含量较高、岩屑含量较低的砂岩具有更好的储层物性。火山岩屑含量越高,机械压实速率越快,对储层物性不利。长石易发生溶蚀产生次生孔隙,在一定程度上有利于储层物性的改善。

参考文献

[1] 葸克来, 操应长, 蔡来星, 等. 松辽盆地梨树断陷营城组低渗透储层成因机制[J]. 现代地质, 2013, 24(1): 208-216.
[2] 高辉, 宋广寿, 孙卫, 等. 储层特低渗透成因分析与评价: 以安塞油田沿25区块为例[J]. 地球科学进展, 2007, 22(11): 1134-1139.
[3] 杨晓萍, 赵文智, 邹才能, 等. 低渗透储层成因机理及优质储层形成与分布[J]. 石油学报, 2007, 28(4): 57-61.
[4] 杨帆, 孙玉善, 谭秀成, 等. 迪那2气田古近系低渗透储集层形成机制分析[J]. 石油勘探与开发, 2005, 32(2): 39-42.
[5] 徐明星, 任洪明, 胥伟冲, 等. 川东北地区沙溪庙组致密砂岩气井产能主控因素探讨[J]. 天然气勘探与开发, 2022, 45(4): 103-110.
[6] 朱筱敏, 葛家旺, 吴陈冰洁, 等. 珠江口盆地陆丰凹陷深层砂岩储层特征及主控因素[J]. 石油学报, 2019, 40(S1): 69-80.
[7] 何仕碧, 戴鸿鸣, 王建. 四川盆地宣汉-达州地区下沙溪庙段储层特征研究[J]. 天然气勘探与开发, 2011, 34(3): 4-7, 85.
[8] 王少依, 张惠良, 寿建峰, 等. 塔中隆起北斜坡志留系储层特征及控制因素[J]. 成都理工大学学报(自然科学版), 2004(2): 148-152.
[9] 查小军. 吉木萨尔凹陷芦草沟组页岩油储层特征及分类评价[D]: [硕士学位论文]. 重庆: 重庆科技学院, 2022.
[10] 谭东萍. 金华地区沙溪庙组致密砂岩储层差异成因机制及储集性评价[D]: [硕士学位论文]. 重庆: 重庆科技学院, 2022.
[11] Huang, Y., Deng, M., Duan, N., Jin, W., Liu, J., Niu, N., et al. (2025) Sand Body Architecture of Braided River Deltas in the Upper Triassic Xujiahe Formation, Sichuan Basin. Energy Geoscience, 6, Article ID: 100359. [Google Scholar] [CrossRef