Fe掺杂MnNiGe合金的热膨胀性能研究
Thermal Expansion Behavior of Fe-Doped MnNiGe Alloys
DOI: 10.12677/ms.2026.161012, PDF, HTML, XML,    科研立项经费支持
作者: 吴 军, 孙甜甜, 周文俊, 秦曼如, 李彦静, 杜建翔, 缪雪飞*:南京理工大学材料科学与工程学院,江苏 南京
关键词: MnNiGeFe合金零热膨胀成分调控力学性能MnNiGeFe Alloy Zero Thermal Expansion Composition Design Mechanical Properties
摘要: 零热膨胀材料在温度变化过程中会表现出优异的尺寸稳定性,在精密仪器、光学系统和航天结构等关键领域具有重要的应用价值。MnNiGe合金在相变过程中会发生显著的晶格畸变引发反常热膨胀效应,被视为潜在的高性能零热膨胀材料。但是其本征脆性强,室温下易自发破碎成粉末状,严重限制了该材料的工程化应用进程。为了解决此问题,本研究采用Fe元素替代Mn,制备了一系列Mn1-xFexNiGe合金;借助X射线衍射仪、扫描电子显微镜、热膨胀仪等仪器研究了该材料的晶体结构、显微结构以及热膨胀特性。研究表明,Mn0.65NiGeFe0.35合金表现出宽温域的零热膨胀行为,其线性热膨胀系数低至0.65×106 K1,同时抗压强度达167 MPa,在精密仪器等领域展现出良好的应用前景。
Abstract: Zero thermal expansion materials exhibit outstanding dimensional stability under temperature variations, holding significant application value in critical fields such as precision instruments, optical systems, and aerospace structures. MnNiGe alloy is considered a promising high-performance zero-thermal-expansion material due to the significant lattice distortion during its phase transition, which induces an anomalous thermal expansion effect. However, its intrinsic brittleness is high, and it tends to spontaneously pulverize at room temperature, severely limiting its engineering application. To address this issue, this study employs Fe element to replace Mn, preparing a series of Mn1-xFexNiGe alloys. Instruments such as X-ray diffractometer (XRD), scanning electron microscope (SEM), and dilatometer are used to investigate the crystal structure, microstructure, and thermal expansion properties of the material. The research indicates that the Mn0.65NiGeFe0.35 alloy exhibits zero thermal expansion behavior over a wide temperature range, with a linear thermal expansion coefficient as low as 0.65 × 106 K1. Meanwhile, its compressive strength reaches 167 MPa, showing promising application prospects in fields such as precision instruments.
文章引用:吴军, 孙甜甜, 周文俊, 秦曼如, 李彦静, 杜建翔, 缪雪飞. Fe掺杂MnNiGe合金的热膨胀性能研究[J]. 材料科学, 2026, 16(1): 104-110. https://doi.org/10.12677/ms.2026.161012

1. 引言

金属材料在温度变化时通常呈现热胀冷缩行为,其根源在于原子的非简谐振动[1],从而在宏观层面表现出正热膨胀行为;如铁的热膨胀系数约为11.8 × 10⁻6 K⁻1,在温度变化较大的环境下会使材料失效。因此,这种由温度诱导的尺寸不稳定性对航空航天、精密光学器件及电子封装等高端技术领域构成了严峻挑战[2]。为应对这一挑战,研发出兼具高强度与超低热膨胀系数的金属合金材料成为关键[1] [3] [4]。零热膨胀材料的探索可追溯至1897年,Guillaume发现的因瓦合金由于在室温附近表现出极低的热膨胀系数[5],以该合金为代表的这一类零热膨胀材料迅速获得了广泛应用。随着研究的深入,研究者们揭示了在金属材料中诱发低热膨胀或负热膨胀行为的多种物理机制[3] [4] [6] [7]

其中,MnNiGe基合金因其在马氏体相变过程中伴随显著的各向异性晶格畸变,能产生宏观反常热膨胀效应而备受关注[8]-[10]。尤为重要的是,该合金发生马氏体相变时沿特定晶轴方向会在原子尺度上呈现巨大的负热膨胀行为,这为通过构筑晶粒择优取向,将微观效应传递至宏观尺度提供了可能[11]。然而,MnNiGe合金的实际应用面临重大瓶颈:材料固有的本征脆性及相变过程中的剧烈体积变化易导致其自发碎裂;此外,马氏体相变属于一级相变,通常在很窄的温度范围内发生,严重制约了其工程化进程[12]

鉴于此,本研究以MnNiGe基合金体系为出发点,通过成分调控策略实现宽温域近零热膨胀的同时,显著提升了材料的力学稳定性与经济效益。

2. 实验

本研究以高纯度(纯度 > 99.9 wt%)的Mn、Ni、Ge、Fe单质为原料,采用电弧熔炼的方法制备Mn0.65NiGeFe0.35合金。熔炼过程在氩气(Ar)保护气氛下进行,并通过4~5次反复熔炼确保合金成分均匀性;随后采用喷铸成型工艺将熔融的合金注入70 × 10 × 3 mm的长方体铜模具中,使其快速凝固引发晶粒的择优取向,获得各向异性的板状合金样品。为进一步改善组织的均匀性,将板状合金真空密封于石英管中,置于马弗炉中在1123 K温度下进行为期5天的等温退火处理,结束后随炉冷却至室温。最终获得成分均匀的板状合金。

对制备得到的Mn0.65NiGeFe0.35合金进行系统表征。首先,使用X射线衍射仪(X-ray diffraction, XRD, Bruker-AXS D8 Advance)分析其晶体结构,扫描角度范围设定为2θ = 20˚~90˚,步长为0.01˚,每步停留2 s,以确定样品的晶格结构及相组成。其次,采用场发射扫描电子显微镜(Scanning Electron Microscope, SEM, Talos F200X)观察合金的显微形貌,并结合能谱分析仪(Energy Dispersive Spectrometer, EDS)检测元素分布及组分均匀性;接着,利用热膨胀仪(Linseis DIL L75 VS)测试样品的热膨胀性能;最后,采用万能材料试验机(INSTRON 5969型)测试材料的力学性能参数。

3. 结果与讨论

Figure 1. Room-temperature XRD pattern of the Mn0.65NiGeFe0.35 alloy

1. Mn0.65NiGeFe0.35合金室温XRD图

图1为Mn0.65NiGeFe0.35的室温XRD图谱。该样品的XRD结果表明,所有衍射峰均能与Ni2In型六角结构MnNiGe合金(空间群为P63/mmc)的标准卡片相对应,未出现其他杂质相的衍射峰,说明在该成分范围内样品均保持单一六角母相结构。这证实Fe原子成功固溶于MnNiGe晶格中,通过占据Mn晶格位置实现合金化,并未引起新相生成或破坏母相的结构完整性。该一致性不仅验证了样品制备与物相分析的可靠性,也表明Fe的引入未显著改变MnNiGe体系的基本晶体结构,从而为后续研究其热膨胀行为奠定了坚实的结构基础。

图2展示了经抛光处理后Mn0.65NiGeFe0.35合金的金相显微镜表面形貌图。图中结果显示,与未改性在室温时会自发破碎的MnNiGe合金不同,该样品表面整体平整,无明显大孔洞或连续长裂纹,仅存在少量微裂纹,显示出显著改善的表面完整性。

图3为Mn0.65NiGeFe0.35合金经过扫描电子显微镜(SEM)及其配套的能谱仪(EDS)表征结果。从其背散射形貌图可见,该合金由尺寸均匀、分布致密的晶粒组成,晶粒尺寸约介于20~50 μm之间,边界清晰完整,晶粒间结合紧密,无明显孔洞或微裂纹存在,表明材料具有较高的致密度与结构完整性。从EDS面扫描结果分析,Mn、Ni、Ge、Fe四种元素在样品中均呈现连续且均匀的空间分布,未观察到明显的元素偏聚或者在局部富集的现象。值得注意的是,Mn与Fe元素的分布区域高度重合,表明Fe原子在晶格中成功占据了Mn的等效占位,形成了均匀固溶体,而未形成独立的Fe富集相。该均匀的元素分布特征为合金在室温下具有单一Ni2In型六角母相结构提供了有力的成分证据。这一结果也与该合金的XRD表征相互印证。

Figure 2. Microstructure of the as-prepared Mn0.65NiGeFe0.35 alloy

2. Mn0.65NiGeFe0.35合金的金相图

Figure 3. Scanning electron microscopy (SEM) image of the Mn0.65NiGeFe0.35 alloy

3. Mn0.65NiGeFe0.35合金扫描电子显微镜(SEM)图

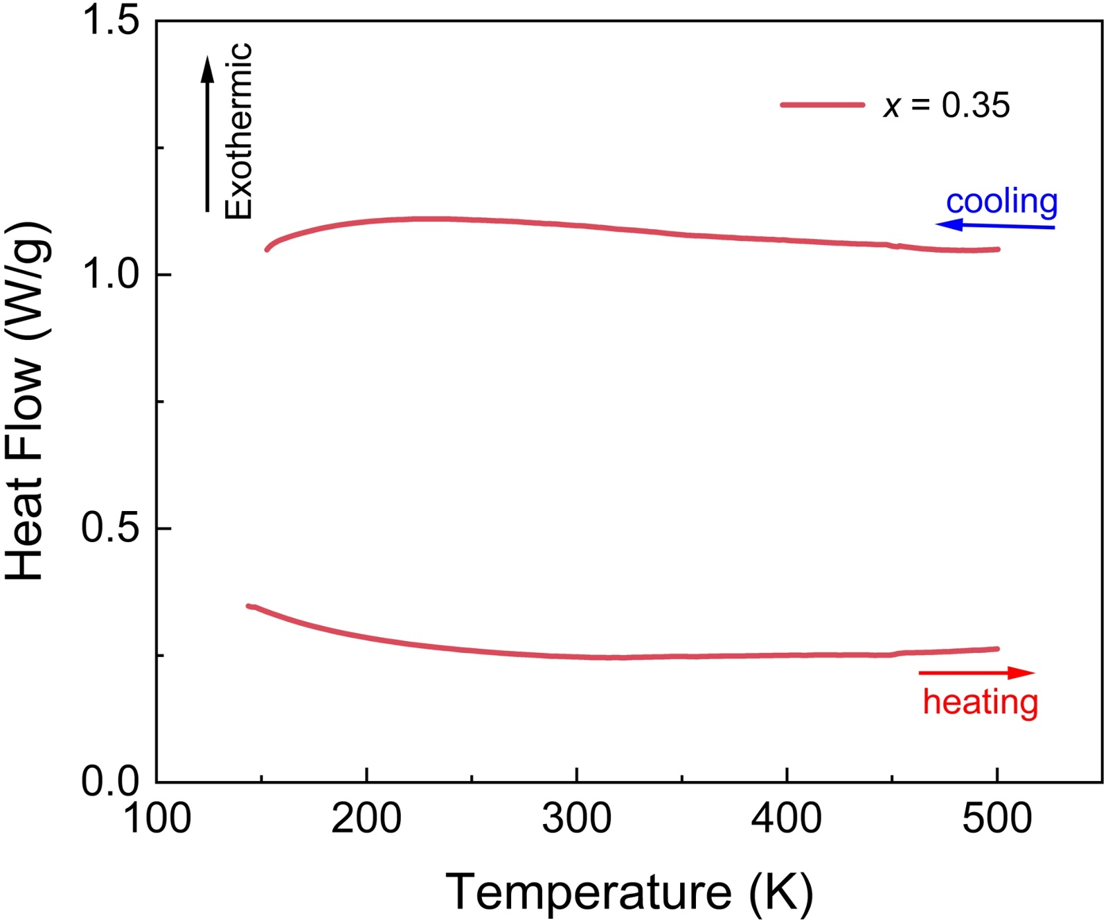
由于Fe元素掺杂后形成的微观组织结构,对该合金的热膨胀性能以及抗压强度起到了重要作用;一方面,在该体系中,Fe元素的引入会形成大量缺陷,从而有效抑制马氏体的长程有序化进程[13],显著降低马氏体相变温度。未掺杂的MnNiGe马氏体相变温度约为470 K [11],而图4 Mn0.65NiGeFe0.35的DSC曲线显示,在120~500 K温度范围内并未观察到明显吸放热峰,表明其马氏体相变温度已被调控至120 K以下。这一转变使得马氏体能够在在更宽的温度区间持续生长,形成尺寸较大的晶粒组织,从而为材料在较宽温域内呈现负热膨胀行为提供了作用。

Figure 4. Differential scanning calorimetry (DSC) curve of the Mn0.65NiGeFe0.35 alloy

4. Mn0.65NiGeFe0.35合金的DSC曲线

另一方面,连续完整的晶界结构可避免应力在晶界处集中,有效抑制裂纹萌生与扩展,而且均匀的晶粒尺寸分布减少了组织不均匀性带来的力学性能波动,有助于提升材料的宏观力学稳定性,降低因晶界弱化或缺陷集中引发的破碎。

Figure 5. Thermal expansion curve (TD) of the Mn0.65NiGeFe0.35 alloy (Inset: testing direction)

5. Mn0.65NiGeFe0.35合金横向(TD)热膨胀曲线(插图为测试方向)

图5为Mn0.65NiGeFe0.35合金在横向(TD)方向的热膨胀曲线。结果表明,该合金在4~225 K温区内表现出显著的一维近零热膨胀行为,其平均线性热膨胀系数低至αl = 0.65 × 106 K1,有效温域宽度达ΔT = 221 K,展现出优异的宽温区尺寸稳定性。

图6为Mn0.65NiGeFe0.35合金在纵向(LD)方向的热膨胀曲线。结果表明,该合金在测试温度范围内显示出正热膨胀行为,其热膨胀系数αl = 10.90 × 106 K1。造成以上热膨胀性能差异的主要原因是由于马氏体结构相变带来的晶格各向异性膨胀;另外,该板状样品是采用长方形模具喷铸成型,其在LD与TD方向上存在显著冷却速率差异,LD方向冷却速度较快,而TD方向冷却相对缓慢,快速凝固过程诱导合金板材在LD方向形成了强烈的择优取向,该非对称凝固过程进一步增强了的合金热膨胀各向异性行为,从而导致该材料在LD方向上具有显著的正热膨胀行为。

Figure 6. Thermal expansion curve (LD) of the Mn0.65NiGeFe0.35 alloy

6. Mn0.65NiGeFe0.35合金纵向(LD)热膨胀曲线

Figure 7. Compressive stress-strain curve of the Mn0.65NiGeFe0.35 alloy

7. Mn0.65NiGeFe0.35合金压缩应力应变曲线

图7为Mn0.65NiGeFe0.35合金的室温压缩应力–应变曲线。测试结果表明,具有零热膨胀性能的Mn0.65NiGeFe0.35合金,其抗压强度为167 ± 10 MPa,断裂应变为1.0% ± 0.1%,整体表现为脆性断裂特征。但是这一抗压强度相较于典型的负热膨胀材料如MnCoGe (抗压强度约70.4 MPa,断裂应变仅0.08%) [8]已经具有了显著提升。为满足于更多场景需求,后续需要进一步改善材料韧性。

4. 结论

本研究采用Fe替代部分Mn元素的成分设计,成功制备出Mn0.65NiGeFe0.35合金。该合金在4~225 K宽温区内表现出显著的一维零热膨胀特性,平均线性热膨胀系数低至0.65 × 10⁻6 K⁻1,同时其抗压强度达到167 MPa左右,断裂应变约为1.0%,在实现了优异热稳定性的同时显著提升了力学性能。以上结果表明,Fe掺杂策略有效克服了MnNiGe体系的本征脆性,为开发兼具宽温域尺寸稳定性与良好力学性能的新型零热膨胀材料提供了可行路径,在精密仪器与高端装备领域具有明确的应用潜力。

基金项目

本研究受到了南京理工大学大学生创新创业训练计划立项资助(国家级,项目编号202510288031)经费支持。

NOTES

*通讯作者。

参考文献

[1] Dugdale, J.S. and MacDonald, D.K.C. (1953) The Thermal Expansion of Solids. Physical Review, 89, 832-834. [Google Scholar] [CrossRef
[2] Liao, Y., Tegomo Chiogo, B., Clausse, T., Mazet, T., Tsuei, K., Malterre, D., et al. (2022) Dual Kondo Effect Charge Ordering and Zero Thermal Expansion in a Correlated Intermetallic. Communications Materials, 3, Article No. 23. [Google Scholar] [CrossRef
[3] Song, Y., Shi, N., Deng, S., Xing, X. and Chen, J. (2021) Negative Thermal Expansion in Magnetic Materials. Progress in Materials Science, 121, Article ID: 100835. [Google Scholar] [CrossRef
[4] Miller, W., Smith, C.W., Mackenzie, D.S. and Evans, K.E. (2009) Negative Thermal Expansion: A Review. Journal of Materials Science, 44, 5441-5451. [Google Scholar] [CrossRef
[5] Mohn, P. (1999) A Century of Zero Expansion. Nature, 400, 18-19. [Google Scholar] [CrossRef
[6] Chen, J., Hu, L., Deng, J. and Xing, X. (2015) Negative Thermal Expansion in Functional Materials: Controllable Thermal Expansion by Chemical Modifications. Chemical Society Reviews, 44, 3522-3567. [Google Scholar] [CrossRef] [PubMed]
[7] Liang, E., Sun, Q., Yuan, H., Wang, J., Zeng, G. and Gao, Q. (2021) Negative Thermal Expansion: Mechanisms and Materials. Frontiers of Physics, 16, Article No. 55302. [Google Scholar] [CrossRef
[8] Zhao, Y., Hu, F., Bao, L., Wang, J., Wu, H., Huang, Q., et al. (2015) Giant Negative Thermal Expansion in Bonded MnCoGe-Based Compounds with Ni2 in-Type Hexagonal Structure. Journal of the American Chemical Society, 137, 1746-1749. [Google Scholar] [CrossRef] [PubMed]
[9] Zhu, F., Lin, J., Zhang, X., Li, L., Yang, C., Wang, M., et al. (2019) Giant Antiferromagnetic Negative Thermal Expansion in (MnNiGe)1-x(MnCoSn)x Compounds. Journal of Alloys and Compounds, 782, 881-886. [Google Scholar] [CrossRef
[10] Shen, F., Zhou, H., Hu, F., Wang, J., Deng, S., Wang, B., et al. (2020) Cone-Spiral Magnetic Ordering Dominated Lattice Distortion and Giant Negative Thermal Expansion in Fe-Doped MnNiGe Compounds. Materials Horizons, 7, 804-810. [Google Scholar] [CrossRef
[11] 沈斐然. 中子衍射研究MM’X合金体系自旋结构演化及其相关物性[D]: [博士学位论文]. 北京: 中国科学院大学, 2021.
[12] Mavrodiev, G., Koneska, S. and Szytuła, A. (1985) Dilatometric and DDC Measurements of NiMnGe1−xSix and NiMn1−tTitGe Systems. Physica status solidi (a), 88, K105-K109. [Google Scholar] [CrossRef
[13] 刘恩克. Ni2In型六角Mn(Co,Ni)Ge体系磁性马氏体相变研究[D]: [博士学位论文]. 北京: 中国科学院大学, 2012.