基于SaaS平台市场竞争情境下新兴厂商的策略选择研究
Research on the Strategic Choices for Emerging Vendors in the Competitive Context of the SaaS Platform Market
DOI: 10.12677/ecl.2025.14124712, PDF, HTML, XML,   
作者: 姚 成*:江苏科技大学经济管理学院,江苏 镇江;毕玉琢:中国船舶集团渤海造船有限公司船舶设计研究院数智制造研究所,辽宁 葫芦岛
关键词: SaaS平台竞争情境网络效应安全性风险平台引流SaaS Competitive Context Network Effects Security Risks Platform’s Traffic Diversion
摘要: 云计算技术的SaaS模式重构了传统软件产业的价值链体系,在引发商业模式创新的同时,也带来了其开放性主导下的竞争失衡与共享性主导下的安全风险双重挑战。针对平台既有厂商的先发优势锁定与云服务安全的负外部性问题,本研究通过构建动态Stackelberg博弈模型,结合数值仿真方法,揭示了新兴SaaS厂商在平台市场竞争下的最优运营策略。研究发现:1) 当已有SaaS厂商的网络效应小于一定阈值时,新兴SaaS厂商后续应用服务需求量将不再受其影响。2) SaaS平台的引流效应越强,新兴SaaS厂商所制定应用服务的价格就会越高,但并不会因其导致客户的购买量减少,反而需求上升使得最终收益增加。此外,SaaS平台引流效应较小时,新兴SaaS厂商的收益会随着引流投入的增加而减少,反之,其收益会随着引流投入呈“U”型变化。3) 新兴SaaS厂商采取软件安全提升策略时,可通过涨价策略来平衡因提升软件安全性而产生的成本损失。然而,随着软件安全性的提升,其收益并非持续增长,而是呈现出“U”型态势。本研究为新兴SaaS厂商突破平台市场竞争壁垒、完善双边市场定价机制具有重要的决策参考价值。
Abstract: The SaaS model of cloud computing technology has reconfigured the value chain system of the traditional software industry. While driving business model innovation, it also presents dual challenges: competition imbalances under the influence of its openness and security risks dominated by its shared nature. To address the first-mover advantage lock-in by incumbent platform vendors and the negative externalities of cloud service security, this paper constructs a dynamic Stackelberg game model combined with numerical simulation to reveal the optimal operational strategies for emerging SaaS vendors in platform market competition. The findings indicate: 1) When the network effect of existing SaaS vendors falls below a certain threshold, the subsequent application service demand of emerging SaaS vendors will no longer be affected by it. 2) The stronger the traffic diversion effect of the SaaS platform, the higher the price set by emerging SaaS vendors for their application services. However, this does not lead to a reduction in customer purchases; instead, rising demand ultimately increases revenue. Furthermore, when the platform’s traffic diversion effect is weak, the revenue of emerging SaaS vendors decreases with increased diversion investment. Conversely, when the effect is strong, revenue follows a “U-shaped” pattern in response to diversion investment. 3) When emerging SaaS vendors adopt software security enhancement strategies, they can offset the cost losses incurred by improving security through price increases. However, as software security improves, revenue does not increase continuously but rather exhibits a “U-shaped” trend. This study provides significant decision-making references for emerging SaaS vendors to break through platform market competition barriers and refine the pricing mechanism in two-sided markets.
文章引用:姚成, 毕玉琢. 基于SaaS平台市场竞争情境下新兴厂商的策略选择研究[J]. 电子商务评论, 2025, 14(12): 7122-7130. https://doi.org/10.12677/ecl.2025.14124712

1. 引言

近年来,随着云计算技术的不断进步和广泛应用,SaaS凭借其无需前期投入、无需运维、按使用付费等优势[1],已成为企业软件获取方式中灵活且可扩展性的选择,并且得到了业界的广泛认可,市场规模呈现稳步增长态势[2]。根据Gartner的最新报告,预计到2025年,全球SaaS市场规模将达到723.4亿美元,较上一年增长21.43%。在此背景下,Salesforce和Hubspot等部分头部SaaS厂商不断丰富技术体系与产品生态[3],已迭代发展出不仅包含自身SaaS应用产品,还涵盖多样化第三方SaaS应用产品的App应用市场平台[4]。目前,众多厂商开始选择将自己的软件产品适配到这些SaaS应用市场平台上并进行销售[5],通过融入其平台生态获得应用市场平台带来的机遇,接触并拓展了更多的用户资源[6]。然而,这些新兴SaaS厂商仍面临以下困境。一方面,平台已有SaaS厂商会凭借其先发优势积累的客户基数形成网络效应[7],导致后进入平台市场的新兴SaaS厂商会因“门槛”限制而无法有效获取用户资源[8]。另一方面,SaaS模式由于云服务的共享性也带来了新的安全漏洞的可能性[9],用户可能会因这些漏洞遭受经济损失,包括数据丢失[10]以及业务、声誉和信任[11]的潜在损失。目前已有不少企业客户就安全性问题选择了云遣返,即将云端部署遣返到本地部署以分散风险[9]。因此,如何合理配置资源、深化与平台双向赋能关系,依然是现阶段新兴SaaS厂商亟待解决的重要问题。

回顾现有研究,学者们在探究SaaS厂商的策略选择问题上大多采取Stackelberg动态博弈模型和数值仿真方法加以研究讨论。例如,Li等[12]针对企业软件的最优分销渠道问题构建了本地、SaaS和混合三种交付策略的决策模型。张志远和叶涛锋[13]就使用量计费和按阶段计费两种计费方式构建了两周期模型,分析了SaaS服务供应商在不同情况下应选择何种计费方式及定价策略才能实现利润最大化。王海平等[2]基于传统软件提供商和SaaS提供商竞争问题,从两种提供商之间的垂直差异和水平差异出发,探究了SaaS提供商的最优定价策略选择及其对社会福利的影响。Zhang [14]建立了博弈论模型,讨论了传统软件公司和SaaS服务公司在现有客户组成的市场和由新客户组成的市场考虑成本和质量的定价问题。Zhang等[15]就客户采购决策和厂商定价投资策略问题构建模型,考虑了安全性风险和定制化能力并对比了云服务交付方式和本地部署方式。然而,大多研究未考虑新兴SaaS厂商由于平台市场内部竞争导致其在资源投入策略的差异,缺乏进一步探讨网络效应、平台引流效应以及软件安全性风险等关键影响因素对新兴SaaS厂商市场生存情况的影响。

综上所述,本研究构建了由两个提供同类产品的SaaS厂商组成的动态Stackelberg博弈模型,其中,已有SaaS厂商为市场先入者作为主导者,新兴SaaS厂商为市场后入者作为追随者。本研究旨在解决以下研究问题:首先,当作为市场先进入者的已有SaaS厂商形成自身的网络效应后,作为市场后入者的新兴SaaS厂商能否借助SaaS平台引流策略,缓解前者先发优势而带来的市场困境以实现自身收益最大化?其次,SaaS模式下存在的潜在安全性损失对新兴SaaS厂商的收益产生何种影响?其是否需要聚焦于软件安全性提升策略?最后,SaaS平台的用户规模、引流效应以及用户对应用服务的安全性需求水平等因素又将如何影响新兴SaaS厂商的定价策略和收益水平?

2. 模型构建

考虑到一个在线SaaS应用服务市场,有两家SaaS厂商时序性进入该市场平台,向企业客户提供同类的SaaS应用服务。其中,已有SaaS厂商先上云向客户提供费用为 p 1 的SaaS应用服务,新兴SaaS厂商后上云向客户提供价格为 p 2 的SaaS应用服务。厂商对于自身应用服务的前期投入都是浸没成本,可忽略不计。企业客户对SaaS应用服务的评价估值是异质的,客户的估值 v 在区间 [ 0,1 ] 内均匀分布。在SaaS应用服务市场上的产品具有一定的标准化属性,不能满足客户的个性化需求,因此客户要承担一定的不匹配损失,本研究在客户的估值中通过折现因子 θ( 0<θ<1 ) 来反映不匹配性[12] θ 越小,匹配程度越低,不匹配成本损失越大。同时,客户于在线SaaS应用服务市场选择时,对新的SaaS服务相较于已有的SaaS服务会存在更大的信息不对称,因此客户对新的SaaS服务会更容易存在使用期望的不确定性和模糊性,本研究假设客户对新SaaS服务的了解程度[10] β( 0<β<1 ) β 越大,客户对新SaaS服务的了解程度越高,即客户对新SaaS服务的不确定性和模糊性就越低,反之亦然。

考虑到厂商进入市场的时序性特征,本研究假设作为市场先进入者的已有SaaS厂商比作为市场后入者的新兴SaaS厂商早 t 时间进入市场,其中前者会因这段时间的各方面工作有了一定的市场积累,在网络效应方面形成先发优势。根据网络效应与用户规模的正相关关系,本研究假设市场先入者平均单位时间增加的客户数量为 u n ,单位客户数量而形成的网络效应为 δ ,令 μ= 1 2 u n δ t 2 μ 表示 t 时刻市场先进入者产生的总网络效应[9]

考虑到SaaS平台上潜在的安全性风险[9],需要对SaaS应用服务的安全性情境细分并建模。云模式的共享性增加了新的安全漏洞可能性,这些漏洞会给厂商与客户带来一定的损失,也就是安全性风险损失。本研究假设两个厂商处于数值为 ω s 的SaaS平台安全性环境[15],其数值越大代表平台的潜在安全性风险就越大,用户遭受网络攻击的概率也就越大。同时,若SaaS平台市场的用户规模越大,其被黑客锁定、攻击的概率也会提高[15],本研究假设平台的用户规模为 N s ,单位用户规模的安全潜在损失为 α 。考虑到用户由于业务发展和监管要求的不同,其对安全方面的需求级别存在差异,假设客户对软件安全性的需求级别为 ξ ξ 越大,客户对应用服务的安全需求就越高。另外,若新兴SaaS厂商采取软件安全提升策略来减少用户的安全损失,增强用户对应用服务的信任度以提高市场份额,本研究假设软件安全提升程度为 τ ,单位软件安全性提升上所带来的成本损失为 γ ,那么新兴SaaS厂商在软件安全性提升策

略的总成本投入为 1 2 γ τ 2 [15]

同时,新兴SaaS厂商还可以借助平台引流来提高自身市场份额[16]。假设新兴SaaS厂商通过平台的引流所获总效应与自身对引流的投入和SaaS平台用户规模呈正相关[17],即新兴SaaS厂商在引流的投入越大,SaaS平台的用户规模越大,其获得的总效应越强。假设新兴SaaS厂商对引流的投入为 η ,其从平台上所获得的单位金额转化的引流效应为 λ

综上所述,本研究可以构建出作为市场先进入者的已有SaaS厂商给客户带来效用函数为:

U 1 =θv p 1 +μαξ n s ω s (1)

作为市场后入者的新兴SaaS厂商给客户带来效用函数为:

U 2 =θβv p 2 +λ n s η( ατ )ξ n s ω s (2)

3. 模型分析

3.1. 市场细分情况

命题1 1) 当 2θ2βθηλ n s αξ n s ω s +αβξ n s ω s ξτ n s ω s 2+β <μ< 2βθ+2 β 2 θ4ηλ n s +3βηλ n s +4αξ n s ω s 5αβξ n s ω s +α β 2 ξ n s ω s 4ξτ n s ω s +3βξτ n s ω s 2β+ β 2 θ> ηλ n s +αξ n s ω s ξτ n s ω s β 时,市场上存在两家厂商,即两家厂商的SaaS应用服务都会有客户选择,此时已有SaaS厂商的应用服务的均衡价格为 p 1 = 2( 1+β )θ+( 2+β )μ+ n s ( ηλ+ξ( ααβ+τ ) ω s ) 2( 2+β ) ,收益为 π 1 = ( 2( 1+β )θ+( 2+β )μ+ n s ( ηλ+ξ( ααβ+τ ) ω s ) ) 2 8( 2+β )( 1+β )θ ,新兴SaaS厂商的SaaS应用服务的均衡价格为 p 2 = β( 2( 1+β )θ( 2+β )μ )+ n s ( ( 4+3β )ηλ+ξ( α( 45β+ β 2 )+( 4+3β )τ ) ω s ) 4( 2+β ) ,收益为 π 2 =η γ τ 2 2 ( β( 2( 1+β )θ( 2+β )μ )+ n s ( ( 4+3β )ηλ+ξ( α( 45β+ β 2 )+( 4+3β )τ ) ω s ) ) 2 16 ( 2+β ) 2 ( 1+β )βθ 。2) 当 θ> ηλ n s +αξ n s ω s ξτ n s ω s β μ> 2βθ+2 β 2 θ4ηλ n s +3βηλ n s +4αξ n s ω s 5αβξ n s ω s +α β 2 ξ n s ω s 4ξτ n s ω s +3βξτ n s ω s 2β+ β 2 时,市场中只存在已有SaaS厂商,市场先入者会对市场后入者形成壁垒,产生威慑现象,此时新兴SaaS厂商将无法在平台市场中生存,导致其被迫淘汰。3) 当 θ> ηλ n s +αξ n s ω s ξτ n s ω s β μ< 2θ2βθηλ n s αξ n s ω s +αβξ n s ω s ξτ n s ω s 2+β 时,市场中只存在新兴SaaS厂商,市场后入者会对市场先入者进行替代,产生驱逐现象,此时新兴SaaS厂商将独占平台市场。此时,新兴SaaS厂商的应用服务的均衡价格为 p 2 = 1 2 ( βθ+ηλ n s αξ n s ω s +ξτ n s ω s ) ,收益为 π 2 = ( βθ+ n s ( ηλ+ξ( α+τ ) ω s ) ) 2 4βθ η 1 2 γ τ 2

3.2. 厂商的引流策略

命题2 不论市场细分情况如何,始终满足 p 2 λ >0 Q 2 λ >0 π 2 λ >0 p 2 η >0 Q 2 η >0

这意味着,有效利用SaaS平台的固有优势是提升市场份额和收益的重要途径。平台为新兴SaaS厂商带来的引流效应越强,新兴SaaS厂商越倾向于采取涨价策略以提高收益。此时,引流所带来的市场份额提升效果超过因涨价导致客户流失的影响,最终推动其市场份额与收益共同增长。若新兴SaaS厂商进一步投资于平台引流,其服务价格与市场需求均会随投资增加而呈正向变化。

推论1 1) 不论新兴SaaS厂商处于何种平台环境,其收益与引流效应 λ 呈正相关。2) SaaS平台的用户规模 n s 能正向调节厂商引流投入 η 对收益的影响,其收益在高用户规模的平台环境下受引流投入 η 的变化程度较低用户规模环境高,且在高安全风险平台环境下新兴SaaS厂商可能会始终面临亏损。3) 当SaaS平台所带来的引流效应 λ 较小时,新兴SaaS厂商的收益将会随着引流投入 η 的增加而减少。当SaaS平台带来的引流效应 λ 较大时,新兴SaaS厂商的收益将随着引流投入 η 呈“U”型变化。

根据SaaS平台生态中新兴厂商依托平台引流实现增长的内在机制与边界条件来看,平台所带来的外部流量能够显著改变厂商的定价能力与市场需求弹性,使其在适当条件下能够通过提价策略同时实现收益与市场份额的提升,反映出平台经济中“以价换量”并非唯一路径,“量价齐升”也可能在强网络效应下出现[9]。这一现象的背后,是平台引流对用户感知价值与信任的增强作用,降低了用户价格敏感度,同时放大了厂商的应用服务曝光与转化效率。因此,新兴SaaS厂商应优先选择用户规模大、安全性高的平台进行入驻与合作,以最大化平台正向外部性。在制定市场策略时,需审慎评估平台的引流效应强度:引流效应较强时,可适当提高服务价格并加大引流投入,实现规模与收益协同增长;引流效应较弱时则应避免盲目投入,防止陷入边际收益递减甚至亏损的困境。尤其在高风险平台环境中,厂商需警惕即便增加投入仍可能无法盈利的局面。例如,某些在Shopify平台上提供营销自动化服务的SaaS厂商,随着平台用户规模扩大和自身声誉积累,逐步提高订阅费用的同时持续获得新增客户,实现了收益的“U”型反转。

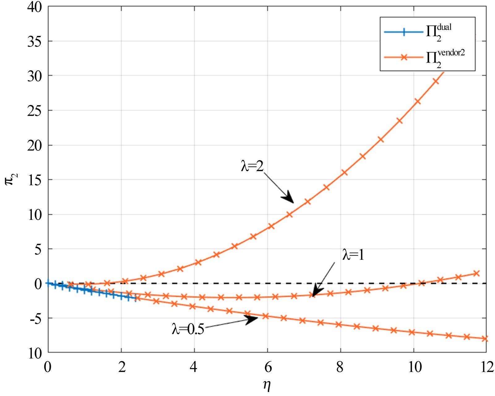
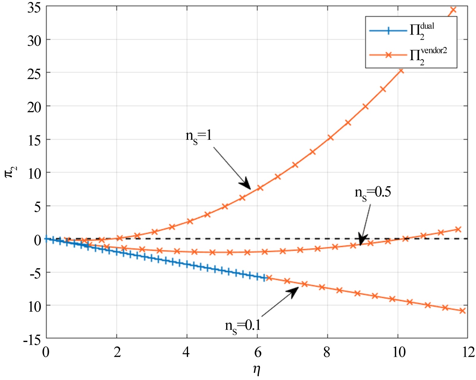
推论2 同理,本研究借助数值仿真模拟对引流投入参数 η 进行分析,如图1所示,本研究发现:1) 与推论1相似,当引流效应 λ 较大时,新兴SaaS厂商的收益会随着自身对平台引流投入 η 的增大先呈下降趋势后呈上升趋势,整体为“U”型变化趋势。2) 平台的引流效应 λ 越强、用户规模 n s 越大,收益随引流投入的增加而变化的程度就越大,平台市场从两者共享市场转向只由新兴SaaS厂商独占市场的速率越快,新兴SaaS厂商脱离亏损状态越早。

Figure 1. Impact of traffic diversion investment η on emerging SaaS vendors’ revenue under different platform market traffic diversion effects λ and user scales n s

1. 平台市场不同引流效应 λ 、不同用户规模 n s 下引流投入 η 对新兴SaaS厂商收益的影响

这意味着,新兴SaaS厂商在增加平台引流投入的同时,往往需提高服务价格以覆盖成本。该策略通常可推动市场份额随投入增加而增长,但投入并不总能带来收益提升。具体而言,平台用户规模越大、单位引流金额转化的引流效应越强,新兴SaaS厂商收益随投入波动的幅度就越大;反之,在引流效应弱或用户基数小的平台中,投入增加可能无法产生经济效益,甚至导致亏损。从竞争动态来看,在低投入阶段,新兴SaaS厂商仍可与已有SaaS厂商共存市场:虽收益随投入增加而略有下降,但因成本较低,净收益仍为正。随着投入扩大,市场逐渐由双寡头转向单一主导,平台引流成本对收益的负面影响加剧。若引流成本超过其带来的引流效应,新兴SaaS厂商将出现亏损。而当投入达到较高水平时,总引流效应显著增强,市场由新兴SaaS厂商独占;此时引流带来的收益超过投入成本,转亏为盈。

从管理实践角度上看,资产规模较小的新兴SaaS厂商需谨慎制定资源分配策略,避免过度投资于引流营销导致成本超出经济效益,陷入财务风险。此类新兴SaaS厂商应更注重提升服务质量与技术能力,为云部署与口碑积累奠定基础。资产充裕的新兴SaaS厂商则可加大引流投入,借助平台的网络效应构建竞争优势,实现净收益增长,并逐步拓展至联合研发[18]、生态共建[19]等更深层的合作。现实中,不少新兴SaaS厂商曾因营销支出失控而面临困境,例如WeWork依赖高额补贴获客却难以覆盖成本,Zenefits营销费用一度达收入的150%导致估值大幅缩水,Box虽通过巨额市场投入扩大份额,却因获客成本高、用户生命周期价值有限而持续亏损。因此,SaaS厂商必须在市场扩张与盈利之间寻求平衡,通过精细运营实现可持续增长。

3.3. 厂商的安全提升策略

命题3 不论市场细分情况如何,始终满足:1) p 2 ω s <0 Q 2 ω s <0 π 2 ω s <0 。2) p 2 α <0 Q 2 α <0 π 2 α <0 。3) p 2 ξ <0 Q 2 ξ <0 π 2 ξ <0 。4) p 2 τ >0 Q 2 τ >0

推论3 若新兴SaaS厂商采取软件安全性提升策略,本研究发现:1) 当软件安全性提升带来的成本亏损 γ 较小时,新兴SaaS厂商采取软件安全提升策略能获得较好的经济效益。反之,其会因为安全性的提升导致自身收益亏损增加。2) 相较于低风险的SaaS平台环境,新兴SaaS厂商在高风险SaaS平台环境的软件安全提升策略对收益的调节效应会较大,其收益随安全提升 τ 的变化幅度越大。3) SaaS平台用户规模 n s 调节厂商收益受软件安全提升 τ 的影响,还将受到引流效应 λ 和平台风险环境 ω s 的作用,当平台带来的引流效应 λ 较强、平台风险环境 ω s 较高时,平台用户规模 n s 的增加对厂商由软件安全性提升带来的收益提升效果越显著。

这就意味着,SaaS平台的单位规模用户安全潜在损失 α 越大,平台整体环境风险 ω s 越高,用户对软件安全要求 ξ 越高,厂商的市场份额 Q 2 和经济收益 π 2 都将减少,新兴SaaS厂商越趋向于降价策略以吸引对价格敏感但对安全要求较低的用户以平衡因SaaS平台安全性问题而带来市场缩减。因此,对新上云的SaaS服务厂商而言,若安全提升成本较低且处于用户规模较小、安全性要求较平稳的平台环境中,可选择应用服务低安全或高安全提升策略以实现较好盈利;而在用户规模大、风险较高的平台中,优先聚焦应用服务高安全提升更为合理。若软件安全提升成本较高,在低用户规模、低风险环境中建议采取应用服务低安全策略;在高用户规模、高风险环境中,则需依据平台引流效应进行选择:引流效应较强时宜采取应用服务高安全策略,较弱时则应用服务低安全策略更为经济。由此可见,新兴SaaS厂商在制定软件安全策略时,应结合所在平台特性进行综合分析,科学评估安全投入对用户决策与收益的影响,以实现成本最优与竞争力提升。当前,软件安全性已成为企业客户选型的关键考量因素,不同行业对数据保护、合规性和抗攻击能力存在明确差异,如金融领域往往要求更高级别的保障,甚至出现“云遣返”趋势[20]。因此,新兴SaaS厂商需在平台安全基础之上,制定符合客户实际需求且灵活可调的安全策略,以应对市场变化、降低安全风险,持续巩固客户信任与业务增长。

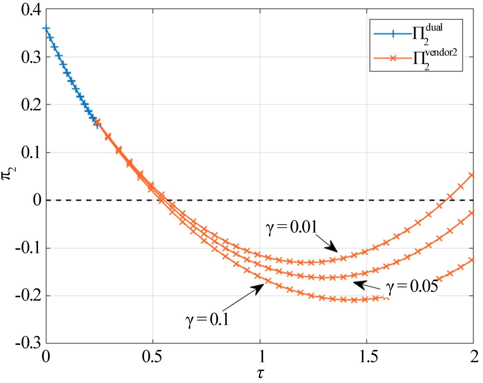
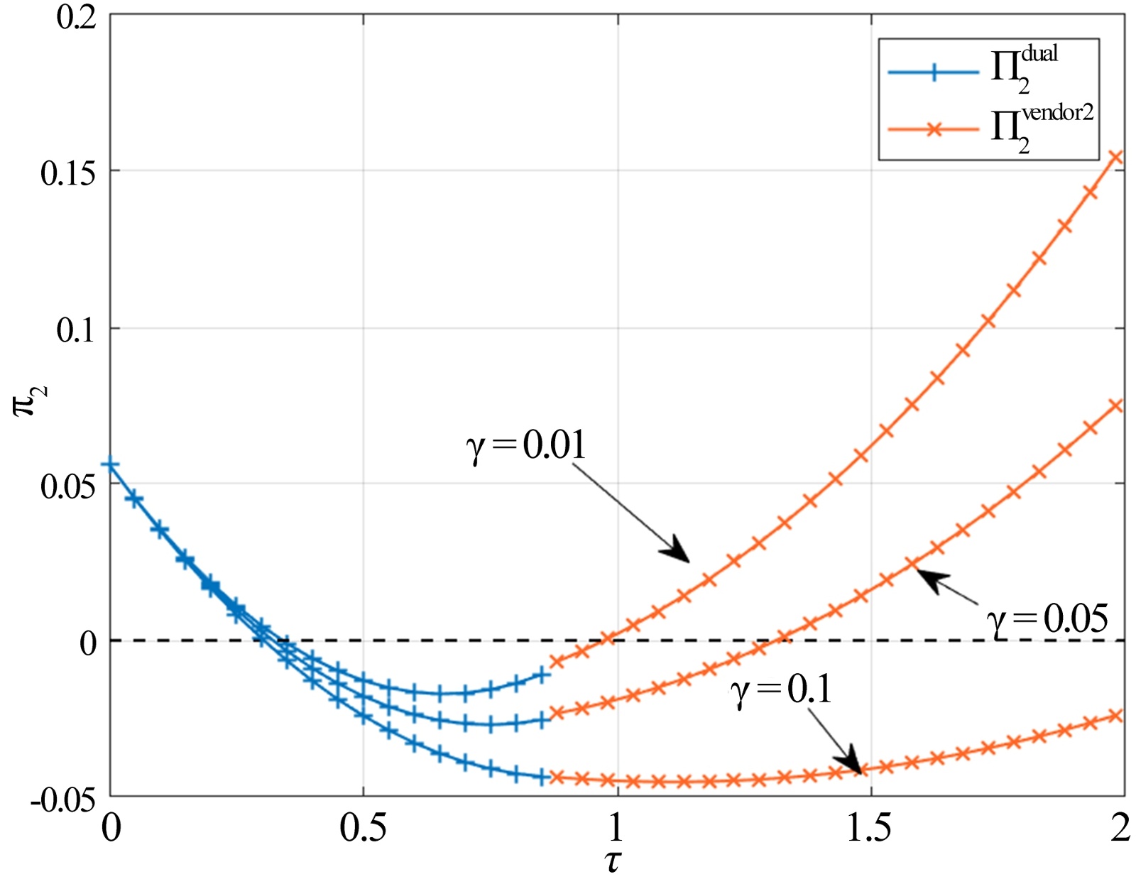
推论4 由于新兴SaaS厂商收益函数的复杂性,本研究借助数值仿真对软件安全提升参数 τ 进行分析,如图2所示。研究发现:1) 随着新兴SaaS厂商对软件安全性的提升,其收益先呈下降趋势后呈上升趋势,整体形成“U”型变化,且软件安全提升带来的成本损失越小收益越大。2) | π τ |  γ 的减小而升高。即单位软件安全性提升带来的成本损失 γ 越小,新兴SaaS厂商的收益受软件安全性提升影响的动态变化就越大。3) 若新兴SaaS厂商处于低风险、低用户规模的SaaS平台环境时,当 0<τ< ( 4+3β )ξ n s ω s ( β( 2( 1+β )θ( 2+β )μ )+ n s ( ( 4+3β )ηλ+α( 4+β )( 1+β )ξ ω s ) ) 8 ( 2+β ) 2 ( 1β )βγθ ( 43β ) 2 ξ 2 n s 2 ω s 2 时, π τ <0 ,其收益将随着 τ 的增加而减少。当 ( 4+3β )ξ n s ω s ( β( 2( 1+β )θ( 2+β )μ )+ n s ( ( 4+3β )ηλ+α( 4+β )( 1+β )ξ ω s ) ) 8 ( 2+β ) 2 ( 1β )βγθ ( 43β ) 2 ξ 2 n s 2 ω s 2 < τ<α 时, π τ >0 ,其收益将随着软件安全的提升而增加。4) 若新兴SaaS厂商处于高风险或高用户规模的SaaS平台环境时,当 0<τ< ξ n s ω s ( βθ+ n s ( ηλαξ ω s ) ) 2βγθ ξ 2 n s 2 ω s 2 时, π τ <0 。当 ξ n s ω s ( βθ+ n s ( ηλαξ ω s ) ) 2βγθ ξ 2 n s 2 ω s 2 < τ<α 时, π τ >0

这意味着,当新兴SaaS厂商提升软件安全性时,其市场份额将随之提高,并可借涨价策略以弥补相应的安全投入成本。然而,安全性提升带来的收益变化并非单调递增,而是呈“U”型曲线,即初始阶段逐渐下降,达到某一阈值后开始回升。具体而言,在低风险、小规模用户的SaaS平台中,若市场存在双厂商竞争,新兴SaaS厂商的收益将随软件安全性提升出现回升;而在高风险、大规模用户的独占市场中,收益回升幅度更为显著。若安全性提升程度较低,相关成本对收益的负面影响较小,企业仍可维持盈利。随着提升程度加大,成本压力逐渐超过所带来的经济效益,可能导致收益为负、进入亏损状态。但当软件安全性提升达到较高水平时,因安全增强带来的客户吸引与价值提升将反超投入成本,使企业扭亏为盈,市场结构也逐渐从双厂商竞争转变为新兴SaaS厂商独占。此外,单位软件安全提升成本越低,收益由亏转盈的转换点出现越早,收益随安全水平的波动也越明显。在SaaS市场中,安全性已成为用户选购服务的重要考量因素。厂商通过增强软件安全,可有效提升用户效用并促进购买行为,进而推动自身收益。例如,Slack通过引入AI和机器学习技术,实现了实时行为监控、异常登录检测与动态威胁响应,显著增强了服务的安全性和用户信任。然而,软件安全提升也伴随较高成本,包括专业团队建设、系统运维投入,以及新旧系统兼容性等挑战。因此,新兴SaaS厂商在制定软件安全策略时,需综合考虑成本效益、技术可行性与系统适配性,寻求最优软件安全投入水平。

Figure 2. Impact of software security enhancement τ on the revenue of emerging SaaS vendors under different platform risk environments and user scales

2. 平台不同风险环境、不同用户规模下软件安全提升 τ 对新兴SaaS厂商收益的影响

4. 结语

本研究通过构建由两家SaaS厂商组成的动态Stackelberg博弈模型和数值仿真,从市场后入者的视角,在考虑软件安全性的基础上,兼顾平台已有厂商形成的网络效应,探讨了新兴SaaS厂商如何进行策略规划来提升市场份额和收益的问题。

从管理实践来看,新兴SaaS厂商需密切关注市场竞争态势。SaaS平台往往因网络效应而迅速形成寡头格局,新进入者面临较高壁垒。同时,合作伙伴平台的安全性也至关重要。面对不断演变的网络威胁,厂商应制定主动、敏捷的安全策略,以快速响应风险,维持客户信任与市场地位。在投资策略方面,资产规模较小的新兴SaaS厂商应优先优化营销渠道、提升转化率,开发高性价比的营销模式,并通过增强产品与服务质量以提高用户粘性,降低对高成本推广的依赖。可探索订阅制、增值服务与交叉销售等新模式,提升客户生命周期价值,实现有盈利的增长。资产规模较大的新兴SaaS厂商则可加大引流投入,借助平台的网络效应与市场影响力扩大份额,构建持续竞争优势。在安全策略决策上,厂商需综合考虑平台安全性、用户规模与引流效应等因素。在低风险、小规模平台中,可选择低水平或高水平安全投入以实现盈利;若软件安全提升成本较高,且在低风险、小规模环境中,适度降低安全投入有助于优化收益。而在高风险、大规模平台中,若引流效应显著,聚焦高安全策略将提升收益;若引流效应较弱,则低水平安全策略往往是更优选择。

本研究的模型构建存在若干局限性。首先,模型仅考虑了用户规模对网络效应的直接作用,未充分纳入平台技术架构[18]、数据驱动[7]及生态位置[21]等多重因素的交互影响,而这些要素在实际情况中可能以复杂方式共同调节网络效应的形成与强度。其次,模型未考虑多平台竞争和用户多归属行为。现实中用户可能同时使用多个竞争性平台,平台间为争夺用户持续开展动态竞争,此类复杂情境需借助更精细的模型加以刻画。

NOTES

*通讯作者。

参考文献

[1] 王节祥, 衡予婧, 胡乾韬, 等. 数字平台与集群企业价值共创的演进机制[J]. 管理评论, 2024, 36(11): 274-288.
[2] 王海平, 林军, 冉伦. 竞争环境下SaaS提供商的定价策略选择及其社会福利分析[J]. 中国管理科学, 2024, 32(10): 89-96.
[3] 解学梅, 韩宇航, 俞磊. 如何跨越平台创新鸿沟: 平台生态系统超模块创新体系的价值创造机制研究[J]. 管理世界, 2024, 40(7): 175-204.
[4] 焦豪, 张睿, 杨季枫. 数字经济情境下企业战略选择与数字平台生态系统构建——基于共演视角的案例研究[J]. 管理世界, 2023, 39(12): 201-229.
[5] Lamothe, M., Guéhéneuc, Y. and Shang, W. (2021) A Systematic Review of API Evolution Literature. ACM Computing Surveys, 54, 1-36. [Google Scholar] [CrossRef
[6] Sun, J., Xu, D. and Karanasios, S. (2023) How Parts Connect to Whole in Building Digital Generativity in Digital Platform Ecosystems. European Conference on Information Systems, 12, 1351-1364.
[7] 马鸿佳, 王春蕾, 李卅立, 等. 数据驱动如何提升数字平台生态系统竞争优势?——基于数据网络效应视角[J]. 管理世界, 2024, 40(12): 170-185.
[8] 李雪灵, 樊镁汐, 龙玉洁, 等. 工业互联网平台与“双重身份”用户企业价值共创的协同演化机理研究[J]. 管理世界, 2025, 41(6): 158-181.
[9] Kang, M., Templeton, G. and Um, S. (2023) Vulnerability Diffusions in Software Product Networks. Journal of Operations Management, 69, 1342-1370. [Google Scholar] [CrossRef
[10] 叶新兰, 官振中, 任建标. 消费者失望厌恶下的软件厂商SaaS渠道引入策略[J]. 系统管理学报, 2025, 34(1): 13-26.
[11] 陈睿哲. 中国SAAS市场发展问题探析[J]. 科学决策, 2023, 2(1): 149-160.
[12] Li, S., Cheng, H.K. and Jin, Y. (2018) Optimal Distribution Strategy for Enterprise Software: Retail, Saas, or Dual Channel? Production and Operations Management, 27, 1928-1939. [Google Scholar] [CrossRef
[13] 张志远, 叶涛锋. 考虑不同计费方式的SaaS服务供应商定价策略[J]. 中国管理科学, 2024, 32(10): 214-223.
[14] Zhang, Z. (2020) Competitive Pricing Strategies for Software and Saas Products. Information & Management, 57, Article ID: 103367. [Google Scholar] [CrossRef
[15] Zhang, Z., Nan, G. and Tan, Y. (2020) Cloud Services vs. On-Premises Software: Competition under Security Risk and Product Customization. Information Systems Research, 31, 848-864. [Google Scholar] [CrossRef
[16] Bender, B., Thim, C. and Linke, F. (2021) Platform Coring in the Browser Domain—An Exploratory Study. In: Bender, B., Thim, C. and Linke, F., EDS., Platform Coring on Digital Software Platforms, Springer, 119-148. [Google Scholar] [CrossRef
[17] Thomas, L.D.W. and Tee, R. (2021) Generativity: A Systematic Review and Conceptual Framework. International Journal of Management Reviews, 24, 255-278. [Google Scholar] [CrossRef
[18] 应瑛, 董珊, 魏江, 等. 工业互联网平台赋能参与者数字创新的机制研究——基于再生性架构设计视角[J]. 管理世界, 2025, 41(6): 179-198.
[19] 赵艺璇, 成琼文. 生态系统视角下企业如何实现“数实”资源融合? [J]. 管理评论, 2024, 36(4): 261-272.
[20] 唐国锋, 李丹, 艾兴政. 服务成本信息不完全下的SaaS云外包合约研究[J]. 管理评论, 2021, 33(4): 160-169.
[21] 解学梅, 王宏伟, 余生辉. 上下同欲者胜: 开放式创新生态网络结构对价值共创影响机理[J]. 管理科学学报, 2024, 27(3): 133-158.