基于网络药理学五子衍宗丸治疗高尿酸血症的多靶点分子机制研究
Study on the Multi-Target Molecular Mechanisms of Wuzi Yanzong Wan in Treating Hyperuricemia Based on Network Pharmacology
摘要: 目的:通过网络药理学的方法分析五子衍宗丸治疗高尿酸血症的作用机制。方法:通过TCMSP数据库获取车前子、五味子、覆盆子、枸杞子、菟丝子的化学成分,经过SwissAdme进行筛选后,导入SwissTargetPrediction数据库中预测化学成分的靶点,从GeneCards、OMIM、DRUGBANK等数据库获取高尿酸血症相关基因,与前者取交集后得到交叉靶点,导入string数据库进行蛋白质相互作用分析,构建PPI网络并获取网络中蛋白质功能模块。使用cytoscape3.7.1制作活性成分–靶点网络,并利用sentiscape2.2筛选出五子衍宗丸治疗高尿酸血症的核心靶点。使用Metascape数据库对交叉靶点进行GO及KEGG富集分析。结果:得到药效成分137种,药物靶点849个,高尿酸血症疾病靶点764个,关键靶点21个,KEGG通路92条。五子衍宗丸治疗高尿酸血症的主要成分为槲皮素、山奈酚、芹菜素、粗毛豚草素等,关键靶点为PPARG、TNF、SIRT1、PTGS2、XDH,关键的生物学进程及通路可能为核苷酸代谢、胰高血糖素信号通路、AMPK信号通路、胰岛素信号通路、HIF-1 signaling pathway、酒精性肝病等。结论:本研究初步揭示了五子衍宗丸治疗高尿酸血症多成分、多靶点、多通路的作用机制,为五子衍宗丸的临床应用提供新的思路与治疗方向。
Abstract: Objective: To analyze the mechanism of action of Wuzi Yanzong Wan in the treatment of hyperuricemia using a network pharmacology approach. Methods: Chemical components of Plantaginis Semen, Schisandrae Chinensis Fructus, Rubi Fructus, Lycii Fructus, and Cuscutae Semen were retrieved from the TCMSP database. After screening with SwissADME, the components were imported into the SwissTargetPrediction database to predict their potential targets. Disease-related genes for hyperuricemia were obtained from databases including GeneCards, OMIM, and DrugBank. Intersection targets were identified by comparing the drug targets and disease targets. These intersection targets were then imported into the STRING database for protein-protein interaction (PPI) analysis to construct a PPI network and identify functional protein modules. Cytoscape 3.7.1 was used to construct an active ingredient-target network, and cytoHubba was applied to screen out the core targets for the treatment of hyperuricemia with Wuzi Yanzong Wan. The Metascape database was utilized for Gene Ontology (GO) and Kyoto Encyclopedia of Genes and Genomes (KEGG) pathway enrichment analysis of the intersection targets. Results: A total of 137 active components, 849 drug targets, and 764 disease targets for hyperuricemia were identified, leading to 21 key targets and 92 KEGG pathways. The main active components of Wuzi Yanzong Wan for treating hyperuricemia included quercetin, kaempferol, apigenin, and hispidulin. The key targets were PPARG, TNF, SIRT1, PTGS2, and XDH. Key biological processes and pathways potentially involved nucleotide metabolism, the glucagon signaling pathway, AMPK signaling pathway, insulin signaling pathway, HIF-1 signaling pathway, and alcoholic liver disease. Conclusion: This study preliminarily reveals the multi-component, multi-target, and multi-pathway mechanism of Wuzi Yanzong Wan in the treatment of hyperuricemia, providing new insights and therapeutic directions for its clinical application.
文章引用:梁杰豪, 郭力. 基于网络药理学五子衍宗丸治疗高尿酸血症的多靶点分子机制研究[J]. 临床医学进展, 2026, 16(1): 2103-2116. https://doi.org/10.12677/acm.2026.161266

1. 引言

高尿酸血症是常见的临床疾病,表现为空腹血尿酸升高(男性 > 7 mg/dL,女性 > 6 mg/dL) [1],尿酸单钠晶体沉积在关节上,导致关节损伤与炎症反应[2]。在中国,过去20年里高尿酸血症的患病率迅速增长[3]。现临床常用的降尿酸药物黄嘌呤抑制剂(别嘌呤醇、非布索坦等)、排尿酸药(丙磺舒、苯溴马隆等)及重组尿酸酶(聚乙二醇、雷兹伯里酶等) [4],但上述药物服用后通常伴有胃肠反应、超敏反应、肝肾损伤及其他不良反应[5]。中药复方在中医理论及现代科学的指导下,具有较高的安全性、多种代谢产物及多种靶点的特点[6],网络药理学是一门不断发展的学科,涉及构建疾病表型、基因和药物的多层网络研究,通过在生物学水平上绘制药物–靶点–疾病网络来探索身体和药物之间的相互作用[7],这与中药复方多代谢产物、多靶点的特点不谋而合。本研究采用中药复方网络药理学的方法,从整体角度分析五子衍宗丸治疗高尿酸血症的分子机制,并为后续实验研究提供一定的理论基础。

2. 资料与研究方法

2.1. 五子衍宗丸活性成分与靶点的筛选

首先,检索TCMSP数据库[8]中五子衍宗丸组成药物的化学成分,将其导入至SwissADME平台[9],筛选出胃肠道吸收表现为HIGH,且Druglikeness预测中(Lipinski、Ghose、Veber、Egan、Muegge)含有2个及以上“Yes”的有效成分。其次,将收集到的有效成分导入SwissTargetPrediction数据库[10]中,取probability > 0.1的相关靶点。最后将相关靶点导入Uniprot数据库[11]进行标准化处理,以获得相关靶点。

2.2. 构建五子衍宗丸活性成分与靶点网络

将获取到相关靶点,导入cytoscape3.7.1 [12]以制作活性成分–靶点网络,以node代表活性成分与靶点、edge代表二者之间的关系。使用Network Analyzer分析网络特征,以分析活性成分与靶点之间的关系。

2.3. 高尿酸血症相关靶点的获取

在GeneCards [13]、OMIM [14]、DRUGBANK [15] (经验score取大于中位数为潜在靶点)数据库中检索“hyperuricemia”获得高尿酸血症的靶点,并将这些靶点合并后删除重复值导入Uniprot数据库进行规范处理。

2.4. 构建蛋白质–蛋白质互相作用网络图及筛选关键靶点

首先,通过Venny2.1 (https://bioinfogp.cnb.csic.es/tools/venny/index.html)平台取得五子衍宗丸的相关靶点与高尿酸血症的相关靶点的交叉靶点,导入string 12.0 [16]数据库,构建蛋白质–蛋白质互相作用网络模型,将生物种类设定为“Homo sapiens”,得到PPI网络,并使用CytoScape3.7.1中的MCODE插件对PPI网络进一步分析,得到潜在蛋白质功能模块,通过分析参与的生物学进程对其功能进行描述。将交叉靶点导入CytoScape3.7.1后,利用sentiscape2.2筛选Degree、Closeness、Betweeness得出核心靶点。

2.5. GO与KEGG富集分析

对五子衍宗丸与高尿酸血症的交叉靶点导入Metascape [17]数据库进行GO与KEGG分析,筛选设定标准为P < 0.05,GO分析按照LgP值降序排列,BP、CC、MF各选前20个GO条目以及KEGG选前20个通路进行可视化分析。

3. 结果

3.1. 五子衍宗丸的活性成分及潜在靶点

初步获得车前子化学成分9种、覆盆子化学成分47种、枸杞子化学成分45种、菟丝子化学成分16种、五味子化学成分81种,经ADME及probablity筛选后,车前子化学成分6种,潜在靶点177个;覆盆子化学成分31种,潜在靶点333个;枸杞子化学成分36种,潜在靶点485个;菟丝子化学成分10种,潜在靶点179个;五味子化学成分61种,潜在靶点705个。合并潜在靶点并删除重复值后共得到潜在靶点849个,化学成分137种,中药之间共有化学成分5种,具体见表1

3.2. 五子衍宗丸的有效成分与靶点网络

将中药名称、有效成分及潜在靶点导入CytoScape3.7.1,共得到991个节点、5969条边。使用Network Analyzer使节点按照Dgree值排列,节点面积越大,表示Dregee值越高,说明该有效成分与潜在靶点的关系越紧密,结果见图1

Table 1. Main components of Wuzi Yanzong Wan

1. 五子衍宗丸的主要成分

Number

MOL Name

Number

MOL Name

Number

MOL Name

Number

MOL Name

CQZ1

apigenin

GQZ4

4-[(Z,1R)-3-(4-methoxyphenyl)-1-vinylprop-2-enyl]phenol

TSZ6

sesamin

WWZ33

Gomisin S

CQZ2

Dihydrotricetin

GQZ5

7-O-Methylluteolin-6-C-beta-glucoside_qt

TSZ7

sophranol

WWZ34

Gomisin T

CQZ3

Dinatin

GQZ6

11Z-hexadecenoic acid

TSZ8

WLN VH6

WWZ35

Gomisin-A

CQZ4

Hypolaetin

GQZ7

12-O-Nicotinoylisolineolone

WWZ1

(-)-Gomisin L1

WWZ36

Hexahydrocurcumin

CQZ5

plantenolic acid

GQZ8

19435-97-3

WWZ2

(-)-Gomisin L2

WWZ37

L-Bornyl acetate

FPZ1

(1S,4aR,6aR,6aS,6bR,8aR,10R,11R,12aR,14bS)-1,10,11-trihydroxy-2,2,6a,6b,9,9,12a-heptamethyl-1,3,4,5,6,6a,7,8,8a,10,11,12,13,14b-tetradecahydropicene-4a-carboxylic acid

GQZ9

Atropine

WWZ3

(5S)-5-butyloxolan-2-one

WWZ38

LC 5504

FPZ2

(2R)-heptan-2-ol

GQZ10

atropine

WWZ4

(Z)-2-methyl-5-[(1S,2R,4R)-2-methyl-3-methylene-2-norbornanyl]pent-2-en-1-ol

WWZ39

Limetin

FPZ3

1-(2,6-dichloro-3-fluorophenyl)ethanone

GQZ11

Azaron

WWZ5

[(1S)-endo]-(-)-Borneol

WWZ40

Limetin

FPZ4

2,6-Cresotaldehyde

GQZ12

cis-p-Coumarate

WWZ6

1,1alpha,4,5,6,7,7alpha,7beta-Octahydro-1,1,7,7alpha-tetramethyl-2H-cyclopropa (alpha)-naphthalen-2-one

WWZ41

Linalool

FPZ5

2-[(2S,5S)-5-ethenyl-5-methyloxolan-2-yl]propan-2-ol

GQZ13

darutoside

WWZ7

1H-Cycloprop(e)azulen-7-ol, decahydro-1,1,7-trimethyl-4-methylene-, (1aR-(1aalpha,4aalpha,7beta,7abeta,7balpha))-

WWZ42

Longispinogenin

FPZ6

3,4,5-trihydroxybenzoic acid

GQZ14

DGL

WWZ8

4,7-dimethyl-7-(4-methylpent-3-enyl)bicyclo[2.2.1]heptan-3-ol

WWZ43

protocatechuic acid

FPZ7

Ammidin

GQZ15

Ethyl anisate

WWZZ9

ACETIC ACID, BORNYL ESTER

WWZ44

Psilostachyin A

FPZ8

anethole

GQZ16

Ethyl p-toluate

WWZ10

AIDS446185

WWZ45

Rugosal

FPZ9

caprylic acid

GQZ17

Farnesylacetone

WWZ11

alpha-Cuparenol

WWZ46

Schisandrin

FPZ10

cis-p-2-menthen-1-ol

GQZ18

Hypogaeic acid

WWZ12

Angeloylgomisin H

WWZ47

Schisanhenol

FPZ11

coumarin

GQZ19

lauric acid

WWZ13

Angeloylgomisin O

WWZ48

Schizandrer B

FPZ12

cyanidol

GQZ20

METHYL ISOPALMITATE

WWZ14

Angeloylgomisin Q

WWZ49

Schizonepetoside A

FPZ13

ellagic acid

GQZ21

methyl palmitate

WWZ15

Angeloylisogomisin O

WWZ50

SMR000445689

FPZ14

esculetin

GQZ22

myristic acid

WWZ16

Aristolone

WWZ51

Thujyalcohol

FPZ15

FERULIC ACID (CIS)

GQZ23

nicotinic acid

WWZ17

Arnebin 7

WWZ52

thymoquinol 5-glucoside

FPZ16

Glucosol

GQZ24

octahydro-4,4,8,8-tetramethyl-4a,7-methano-4aH-naphth[1,8a-b]oxirene

WWZ18

Benzoylacetone

WWZ53

Thymoquinol

FPZ17

hexanal

GQZ25

paeonol

WWZ19

Benzoylgomisin H

WWZ54

T-Muurolol

FPZ18

hexanoic acid

GQZ26

palmitic acid

WWZ20

Benzoylgomisin O

WWZ55

Wuweizisu C

FPZ19

Maslinic acid

GQZ27

Pentadecanoic Acid

WWZ21

Benzoylgomisin P

WWZ56

Wyerone

FPZ20

Niga-ichigoside F1 aglycone

GQZ28

Physcion

WWZ22

Benzoylgomisin Q

WWZ57

ZINC02040970

FPZ21

O-Methylthymol

GQZ29

Safrol

WWZ23

Clupanodonic acid

WWZ58

zingerone glucoside

FPZ22

PHB

GQZ30

Scopoletol

WWZ24

Cyclokoreanine B

WWZ59

zingerone

FPZ23

Phloretol

GQZ31

Solavetivone

WWZ25

Deoxyharringtonine

A1

quercetin

FPZ24

SKM

GQZ32

vitamin c

WWZ26

Gomisin B

B1

Cedrol

FPZ25

Tormentic acid

GQZ33

δ-cadinol

WWZ27

Gomisin C

C1

kaempferol

FPZ26

vanillic acid

TSZ1

()-Borneol

WWZ28

Gomisin E

D1

()-Terpinen-4-ol

FPZ27

(6R)-6-isopropyl-3-methyl-1-cyclohex-2-enone

TSZ2

InChI=1C12H16N2Oc1-13-6-9-5-10(8-13)11-3-2-4-12(15)14(11)7-9h2-4,9-10H,5-8H2,1H

WWZ29

Gomisin F

F1

DBP

GQZ1

(4aS,7R)-7-isopropenyl-1,4a-dimethyl-5,6,7,8-tetrahydronaphthalen-2-one

TSZ3

isorhamnetin

WWZ30

Gomisin G

GQZ2

1-(2-hydrazino-4-methyl-5-pyrimidinyl)ethanone

TSZ4

matrine

WWZ31

Gomisin H

GQZ3

2-Pyridylamine

TSZ5

Pinoresinol

WWZ32

Gomisin J

3.3. 高尿酸血症相关靶点获取

从Genecards中得到高尿酸血症相关靶点1375个,Score最大值为57.43827438,最小值为0.180971757,故取大于中位数0.681439817的靶点733个。结合OMIM、Drugbank数据库,筛选且合并去重后共获得764个靶点。通过Venny2.1平台获得交集靶点79个,结果见图2

注:圆形代表药物,六边形代表药物成分,菱形代表药物靶点,面积代表Degree值大小;CQZ代表车前子,FPZ代表覆盆子,GQZ代表枸杞子,TSZ代表菟丝子,WWZ代表五味子,A1代表车前子、菟丝子、覆盆子、枸杞子共有成分,B1代表覆盆子、枸杞子共有成分,C1代表覆盆子、菟丝子共有成分,D1代表覆盆子、五味子共有成分,F1代表枸杞子、五味子共有成分。对应成分具体见表1

Figure 1. Activity component-target diagram of Wuzi Yanzong Wan

1. 五子衍宗丸活性成分–靶点图

注:蓝色为疾病靶点,黄色为药物靶点

Figure 2. Venn diagram of drug targets and disease targets

2. 药物靶点与疾病靶点的分布图

3.4. 五子衍宗丸治疗高尿酸血症的PPI的构建与分析

3.4.1. 五子衍宗丸治疗高尿酸血症的PPI网络绘制

将得到的交集基因导入string 12.0,获得PPI网络见图3,导入cytoscape3.7.1,运用MCODE插件对PPI进一步分析得到Module (图4),根据P值分别保留PPI与Module中3个最佳评分的生物学进程并描述其功能,见图5

Figure 3. PPI network of shared targets between Wuzi Yanzong Wan and hyperuricemia

3. 五子衍宗丸与高尿酸血症交集PPI网络图

Figure 4. Network modules of Wuzi Yanzong Wan for hyperuricemia treatment

4. 五子衍宗丸治疗高尿酸血症PPI网络中的Module

3.4.2. 筛选核心靶点

使用centiscape2.2分析网络拓朴学参数,筛选出参数Closeness > 0.005908409、Dgree > 11.21518987、Betweeness > 95.56962025的靶点为核心靶点共21个,具体筛选方法见图5

Figure 5. Functional Enrichment Analysis of the PPI Network for Wuzi Yanzong Wan in the Treatment of Hyperuricemia

5. 五子衍宗丸治疗高尿酸血症PPI 网络功能描述

3.5. 五子衍宗丸治疗高尿酸血症的通路富集分析可视化

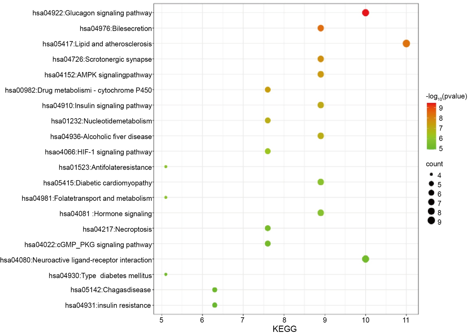
保存将交集基因导入Metascape数据库得到的基因富集分析的结果,包括KEGG通路及GO的BP、MF、CC,筛选出Log10(P)值排名前20的结果,将其进行可视化处理。如图6。LgP值越低则气泡的颜色越红,表示显著性越高。气泡越大则代表该通路的基因计数值(count值)越大。横轴代表通路基因占总体输入基因的比率(ratio)。

Figure 6. Flowchart of the key target screening strategy

6. 关键靶点筛选策略图

(a)

(b)

(c)

(d)

Figure 7. Target enrichment bubble chart (Wuzi Yanzong Wan/Hyperuricemia)

7. 五子衍宗丸治疗高尿酸血症靶点富集气泡图

图a表明五子衍宗丸治疗高尿酸血症的主要生物学过程有对外源刺激的反应(response to xenobiotic stimulus)、循环系统中的血管过程(vascular process in circulatory system)、细胞对氮化合物的反应(cellular response to nitrogen compound)、细胞对化学应激的反应(cellular response to chemical stress)、细胞对激素刺激的反应(cellular response to hormone stimulus)等,这些过程直接作为细胞对血尿酸的调控环节,表明五子衍宗丸在通过对细胞、血管的调控来降低血尿酸值。

图d为KEGG通路富集结果,该图显示排名前20的通路,主要包括核苷酸代谢(Nucleotide metabolism)、胰高血糖素信号通路(Glucagon signaling pathway)、胆汁分泌(Bile secretion)、脂质代谢与动脉粥样硬化(Lipid and atherosclerosis)、AMPK信号通路(AMPK signaling pathway)、细胞色素P450 (cytochrome P450)等通路。

4. 讨论

祖国医学无高尿酸血症的病名,但《灵枢》中记载:“坚肉缓节坚坚然,此人重则气涩血浊”,故高尿酸血症属于“血浊”范畴[18]。首先,现代医家认为血浊是由于血液中物质异常、代谢异常等引起的一种病理状态。其次高尿酸血症是以脾肾亏虚、血浊壅痹为病机,故以健脾阳、祛浊湿、强腰肾、利水元、清血浊,化积痹为治疗原则[19]。第三,五子衍宗丸中枸杞子、菟丝子平补肾之阴阳,填精补髓;覆盆子、五味子固精缩尿;车前子利水渗湿,通淋泄浊。故五子衍宗丸契合高尿酸血症的治疗原则。现代临床研究表明高尿酸血症是常见的代谢疾病,是引发高尿酸肾损害的高危因素,与多种合并症相关,如:高血压、慢性肾脏病、冠状动脉疾病和糖尿病等[20]。祖国医学的中药复方在高尿酸血症的疗效不差于现代医学的临床一线用药,在降低血尿酸值及改善血尿酸造成的肾损害。潘玉等[21]通过中药制剂联合非布司他可降低血尿酸值显著高于单用非布司他,且减少单用非布司他的不良事件发生率。吴丹[22]等通过代谢组学和宏基因组学对车前子总苷的抗高尿酸血症的机制研究,结果显示车前子总苷具有显著降低血尿酸值及改善嘌呤代谢异常等功能。皮子凤[23]等通过动物实验验证五味子可降低小鼠的血尿酸水平。目前,五子衍宗丸治疗高尿酸血症的机制仍不清楚,故本研究使用网络药理学的方法,分析五子衍宗丸治疗高尿酸血症的潜在机制。

4.1. 潜在有效成分

根据五子衍宗丸药物成分–靶点网络图可得知,五子衍宗丸的主要有效成分可能为:quercetin (槲皮素)、kaempferol (山奈酚)、Apigenin (芹菜素)、Hispidulin (粗毛豚草素)等。榭皮素是具有抗氧化、抗炎、镇痛等作用的黄酮类化合物[24],存在于车前子、菟丝子、覆盆子、枸杞子之中,榭皮素被通过双盲实验验证每天补充500mg榭皮素,持续四周,可显著降低健康男性升高的血浆尿酸浓度[25]。山奈酚是具有出色抗氧化、抗炎的天然黄酮类化合物[26],同时存在于覆盆子、菟丝子,被证实抑制黄嘌呤氧化酶作用呈浓度相关性,推断其为降低血尿酸的关键成分[27],并且通过调节尿酸转移蛋白NLRP3炎性小体和NF-kB通路降低氧化应激、促炎细胞因子,从而调节血尿酸水平[28]。芹菜素是具有抑制氧化酶、调节氧化还原信号通路(NF-kB、Nrf2、MAPK和P13/Akt)、增强酶和非酶抗氧化、金属螯合和自由基清除作用的黄酮类化合物[29],存在于车前子中,被验证可以通过抑制UA的产生、促进排泄和抑制HUA小鼠的JAK2/STAT3信号通路来改善UA代谢和减轻肾损伤[30]。粗毛豚草素(Hispidulin)是一种天然黄酮类化合物,存在于车前子中,具有广泛的生物活性[31],可以通过抑制黄嘌呤氧化酶从而减少尿酸的产生但不影响空腹血糖、尿酸排泄或血压[32],可能通过TNF与HIF1α发挥抗炎作用[33]

4.2. 关键靶点分析

本研究经筛选后共得出21个关键靶点,根据degree值排列后,可发现五子衍宗丸治疗高尿酸血症的核心靶点可能为PPARG (过氧化物酶体增殖物激活受体γ)、TNF (肿瘤坏死因子)、SIRT1 (NAD依赖性蛋白脱乙酰酶sirtuin-1)、PTGS2 (前列腺素G/H合酶1)、XDH (黄嘌呤脱氢酶)。研究显示,PPARG是参与脂质代谢的重要分子,与配体结合后,可以进入细胞核与PPAR元件进行结合,从而调节靶基因的转录,最终产生抗氧化、抗炎活性[34],既往研究表明,PPARG活化保持肾脏中尿酸转运蛋白OAT1、OAT3的表达从而降低血清尿酸并促进尿酸排泄[35]。现代研究表明,TNF作为炎症趋化因子和炎症激活因子在高尿酸血症的发生、发展中发挥重要作用[36],若体内尿酸水平过高,导致尿酸盐堆积于肾脏,刺激肾小管上皮细胞产生炎症反应,促进TNF的释放,最终导致炎症反应与肾脏的损伤[37]。SIRT1是一种烟酰胺腺嘌呤二核苷酸依赖性脱乙酰酶,其表达水平与高尿酸水平诱导的血管内皮细胞损伤密切相关,高尿酸水平会抑制血管内皮细胞中SIRT1表达[38]。现有研究证明,SIRT1有抑制细胞应激,对肾脏的细胞有保护作用,SIRT1的增强可以加强肠道尿酸分泌[39]。PTGS2又称COX2,与炎症相关的病理起着重要作用,有时是促炎的,有时是抗炎的[40],现COX2抑制剂:罗非昔布、塞来昔布等[41]作为治疗痛风急性发作的一线药物。XDH是参与嘌呤代谢、尿酸产生和巨噬细胞极化为促炎表型的关键酶[42],XDH抑制剂可以用于血尿酸过多引起的痛风,还可以保护心脏与肾脏[43]

4.3. 通路与生物进程分析

通过KEGG富集分析可知,五子衍宗丸主要通过核苷酸代谢(Nucleotide metabolism)、胰高血糖素信号通路(Glucagon signaling pathway)、AMPK信号通路(AMPK signaling pathway)、胰岛素信号通路(Lnsulin signaling pathway)、HIF-1 signaling pathway、酒精性肝病(alcoholic liver disease),有研究证明,酒精性肝病会导致体内醛糖还原酶及其代谢产物升高,包括山梨醇、果糖和尿酸[44],本研究猜测五子衍宗丸通过调节肝代谢减少尿酸产生。高尿酸血症已被证实是一种与胰岛素抵抗密切相关的代谢综合征的表现[45],现有研究表明,空腹胰岛素浓度与血尿酸浓度呈正相关,胰岛素可能通过刺激GLUT9表达和其他参与尿酸再吸收的肾尿酸转运蛋白来增加肾尿酸再吸收[46]。AMPK是细胞代谢的关键因子,被称为细胞能量的调节器[47],已有研究证明,通过激活AMPK通路恢复线粒体功能从而改善高尿酸血症[48]。尿酸升高会诱导HIF-1α的激活,HIF-1α是细胞对缺氧反应的关键转录因子。在急性肾损伤中,抑制HIF-1α的表达可以减轻坏死性细胞凋亡、氧化应激、炎症反应、炎症反应等情况[49]。综上所述,五子衍宗丸治疗高尿酸血症的主要成分可能包括quercetin (槲皮素)、kaempferol (山奈酚)、Apigenin (芹菜素)、Hispidulin (粗毛豚草素)等,涉及到的通路主要为胰高血糖素信号通路(Glucagon signaling pathway)、AMPK信号通路(AMPK signaling pathway)胰岛素信号通路(Lnsulin signaling pathway)、酒精性肝病(alcoholic liver disease),与肽激素水平、对氮化合物的细胞反应、对化学胁迫的细胞反应、对激素刺激的细胞反应等多个生物学进程有关。网络药理学整合了系统生物学、计算生物学、实验验证和其他学科,是以整体观解开分子相互网络的工具,为揭开药物与疾病之间相互作用方式提供了新的思路[50]。中药具有“多组分”、“多靶点”和“多途径”的特点,故可以通过网络药理学的方式阐释中药、复方治疗疾病的机制[51]。本研究存在以下不足:首先,中药的网络药理学多数侧重于静态的理论分析,没有进行动态代谢的分析过程。其次,各个数据库的算法不同,造成筛选结果的不同,需要选择合适、有效的算法。最后,数据库内的数据不完整,限制了新靶点、新通路及新生物进程的发现[52]。经过网络药理学的研究,本研究为五子衍宗丸治疗高尿酸血症的应用提供合理的依据。后续将在此基础上持续观察动物实验或细胞实验验证,从而得到更为直观的调控靶点。

NOTES

*通讯作者。

参考文献

[1] 姜泉, 韩曼, 唐晓颇, 等. 痛风和高尿酸血症病证结合诊疗指南[J]. 中医杂志, 2021, 62(14): 1276-1288.
[2] Abhishek, A., Roddy, E. and Doherty, M. (2017) Gout—A Guide for the General and Acute Physicians. Clinical Medicine, 17, 54-59. [Google Scholar] [CrossRef] [PubMed]
[3] Li, Y., Shen, Z., Zhu, B., Zhang, H., Zhang, X. and Ding, X. (2021) Demographic, Regional and Temporal Trends of Hyperuricemia Epidemics in Mainland China from 2000 to 2019: A Systematic Review and Meta-Analysis. Global Health Action, 14, Article 1874652. [Google Scholar] [CrossRef] [PubMed]
[4] Vargas-Santos, A.B. and Neogi, T. (2017) Management of Gout and Hyperuricemia in CKD. American Journal of Kidney Diseases, 70, 422-439. [Google Scholar] [CrossRef] [PubMed]
[5] Geng, Y., Yan, J., Han, L., Chen, Z., Tu, S., Zhang, L., et al. (2022) Potential Molecular Mechanisms of Ermiao San in the Treatment of Hyperuricemia and Gout Based on Network Pharmacology with Molecular Docking. Medicine, 101, e30525. [Google Scholar] [CrossRef] [PubMed]
[6] Zhou, H., Yang, J., Yuan, X., Song, X., Zhang, X., Cao, T., et al. (2024) Hyperuricemia Research Progress in Model Construction and Traditional Chinese Medicine Interventions. Frontiers in Pharmacology, 15, Article ID: 1294755. [Google Scholar] [CrossRef] [PubMed]
[7] Huang, J., Lin, Z., Wang, Y., Ding, X. and Zhang, B. (2023) Wuling San Based on Network Pharmacology and in Vivo Evidence against Hyperuricemia via Improving Oxidative Stress and Inhibiting Inflammation. Drug Design, Development and Therapy, 17, 675-690. [Google Scholar] [CrossRef] [PubMed]
[8] Ru, J., Li, P., Wang, J., Zhou, W., Li, B., Huang, C., et al. (2014) TCMSP: A Database of Systems Pharmacology for Drug Discovery from Herbal Medicines. Journal of Cheminformatics, 6, Article No. 13. [Google Scholar] [CrossRef] [PubMed]
[9] Daina, A., Michielin, O. and Zoete, V. (2017) Swissadme: A Free Web Tool to Evaluate Pharmacokinetics, Drug-Likeness and Medicinal Chemistry Friendliness of Small Molecules. Scientific Reports, 7, Article No. 42717. [Google Scholar] [CrossRef] [PubMed]
[10] Daina, A., Michielin, O. and Zoete, V. (2019) Swisstargetprediction: Updated Data and New Features for Efficient Prediction of Protein Targets of Small Molecules. Nucleic Acids Research, 47, W357-W364. [Google Scholar] [CrossRef] [PubMed]
[11] The UniProt Consortium (2025) UniProt: The Universal Protein Knowledgebase in 2025. Nucleic Acids Research, 53, D609-D617.
[12] Otasek, D., Morris, J.H., Bouças, J., Pico, A.R. and Demchak, B. (2019) Cytoscape Automation: Empowering Workflow-Based Network Analysis. Genome Biology, 20, Article No. 185. [Google Scholar] [CrossRef] [PubMed]
[13] Stelzer, G., Rosen, N., Plaschkes, I., Zimmerman, S., Twik, M., Fishilevich, S., et al. (2016) The Genecards Suite: From Gene Data Mining to Disease Genome Sequence Analyses. Current Protocols in Bioinformatics, 54, 30.1-1.30.33. [Google Scholar] [CrossRef] [PubMed]
[14] Amberger, J.S., Bocchini, C.A., Schiettecatte, F., Scott, A.F. and Hamosh, A. (2014) Omim.org: Online Mendelian Inheritance in Man (OMIM®), an Online Catalog of Human Genes and Genetic Disorders. Nucleic Acids Research, 43, D789-D798. [Google Scholar] [CrossRef] [PubMed]
[15] Knox, C., Wilson, M., Klinger, C.M., Franklin, M., Oler, E., Wilson, A., et al. (2024) DrugBank 6.0: The Drugbank Knowledgebase for 2024. Nucleic Acids Research, 52, D1265-D1275. [Google Scholar] [CrossRef] [PubMed]
[16] Szklarczyk, D., Kirsch, R., Koutrouli, M., Nastou, K., Mehryary, F., Hachilif, R., et al. (2023) The STRING Database in 2023: Protein—Protein Association Networks and Functional Enrichment Analyses for Any Sequenced Genome of Interest. Nucleic Acids Research, 51, D638-D646. [Google Scholar] [CrossRef] [PubMed]
[17] Zhou, Y., Zhou, B., Pache, L., Chang, M., Khodabakhshi, A.H., Tanaseichuk, O., et al. (2019) Metascape Provides a Biologist-Oriented Resource for the Analysis of Systems-Level Datasets. Nature Communications, 10, Article No. 1523. [Google Scholar] [CrossRef] [PubMed]
[18] 马一铭, 徐云生, 王新陆. 王新陆基于“血浊”辨治代谢综合征经验[J]. 中医杂志, 2023, 64(22): 2287-2290+2299.
[19] 徐朝辉, 朱刚, 刘传森, 等. 基于数据挖掘对中医药治疗无症状高尿酸血症的组方用药规律分析[J]. 中药药理与临床, 2021, 37(4): 204-208.
[20] Yip, K., Cohen, R.E. and Pillinger, M.H. (2020) Asymptomatic Hyperuricemia: Is It Really Asymptomatic? Current Opinion in Rheumatology, 32, 71-79. [Google Scholar] [CrossRef] [PubMed]
[21] 潘玉, 刘怀珍. 中药制剂联合非布司他治疗高尿酸血症的随机对照试验的Meta分析[J]. 中国处方药, 2024, 22(2): 33-37.
[22] 吴丹, 钮靖杰, 胡建平, 等. 基于代谢组学和宏基因组学的浙车前子总苷抗高尿酸血症机制研究[J]. 中国中药杂志, 2025, 50(24): 6919-6927。
[23] 皮子凤, 门丽慧, 张静, 等. 五味子治疗大鼠糖尿病肾病作用机制的血清代谢组学研究[J]. 分析化学, 2015, 43(2): 169-175.
[24] Dajas, F. (2012) Life or Death: Neuroprotective and Anticancer Effects of Quercetin. Journal of Ethnopharmacology, 143, 383-396. [Google Scholar] [CrossRef] [PubMed]
[25] Shi, Y. and Williamson, G. (2016) Quercetin Lowers Plasma Uric Acid in Pre-Hyperuricaemic Males: A Randomised, Double-Blinded, Placebo-Controlled, Cross-Over Trial. British Journal of Nutrition, 115, 800-806. [Google Scholar] [CrossRef] [PubMed]
[26] Pan, D., Li, N., Liu, Y., Xu, Q., Liu, Q., You, Y., et al. (2018) Kaempferol Inhibits the Migration and Invasion of Rheumatoid Arthritis Fibroblast-Like Synoviocytes by Blocking Activation of the MAPK Pathway. International Immunopharmacology, 55, 174-182. [Google Scholar] [CrossRef] [PubMed]
[27] 刘勇杰, 王平, 夏婧, 等. 基于斑马鱼模型及分子对接技术探究艾叶黄酮的降尿酸作用及药效活性成分[J]. 中草药, 2024, 55(24): 8470-8478.
[28] Huang, Y., Li, C., Xu, W., Li, F., Hua, Y., Xu, C., et al. (2024) Kaempferol Attenuates Hyperuricemia Combined with Gouty Arthritis via Urate Transporters and NLRP3/NF-κB Pathway Modulation. iScience, 27, Article 111186. [Google Scholar] [CrossRef] [PubMed]
[29] Kashyap, P., Shikha, D., Thakur, M. and Aneja, A. (2021) Functionality of Apigenin as a Potent Antioxidant with Emphasis on Bioavailability, Metabolism, Action Mechanism and in Vitro and in Vivo Studies: A Review. Journal of Food Biochemistry, 46, e13950. [Google Scholar] [CrossRef] [PubMed]
[30] Liu, T., Gao, H., Zhang, Y., Wang, S., Lu, M., Dai, X., et al. (2022) Apigenin Ameliorates Hyperuricemia and Renal Injury through Regulation of Uric Acid Metabolism and JAK2/STAT3 Signaling Pathway. Pharmaceuticals, 15, Article 1442. [Google Scholar] [CrossRef] [PubMed]
[31] Liu, K., Zhao, F., Yan, J., Xia, Z., Jiang, D. and Ma, P. (2020) Hispidulin: A Promising Flavonoid with Diverse Anti-Cancer Properties. Life Sciences, 259, Article 118395. [Google Scholar] [CrossRef] [PubMed]
[32] Tuzun, B.S., Hajdu, Z., Orban-Gyapai, O., Zomborszki, Z.P., Jedlinszki, N., Forgo, P., et al. (2017) Isolation of Chemical Constituents of Centaurea Virgata Lam. and Xanthine Oxidase Inhibitory Activity of the Plant Extract and Compounds. Medicinal Chemistry, 13, 498-502. [Google Scholar] [CrossRef] [PubMed]
[33] Liu, P., Xu, H., Shi, Y., Deng, L. and Chen, X. (2020) Potential Molecular Mechanisms of Plantain in the Treatment of Gout and Hyperuricemia Based on Network Pharmacology. Evidence-Based Complementary and Alternative Medicine, 2020, Article ID: 3023127. [Google Scholar] [CrossRef] [PubMed]
[34] Wang, G., Zuo, T. and Li, R. (2020) The Mechanism of Arhalofenate in Alleviating Hyperuricemia―Activating PPAR-γ Thereby Reducing Caspase‐1 Activity. Drug Development Research, 81, 859-866. [Google Scholar] [CrossRef] [PubMed]
[35] Wang, X., Deng, J., Xiong, C., Chen, H., Zhou, Q., Xia, Y., et al. (2020) Treatment with a PPAR-γ Agonist Protects against Hyperuricemic Nephropathy in a Rat Model. Drug Design, Development and Therapy, 14, 2221-2233. [Google Scholar] [CrossRef] [PubMed]
[36] 王淳, 王林元, 杨琦, 等. 消石利尿化瘀法对高尿酸血症大鼠血清白介素-1β、肿瘤坏死因子-α及白介素-4的影响[J]. 中华中医药杂志, 2013, 28(9): 2607-2609.
[37] 邵晓妮, 丁玥瑶, 穆卡然·艾买江, 等. 基于网络药理学与分子对接技术的菊苣抗高尿酸血症作用机制研究[J]. 西南民族大学学报(自然科学版), 2021, 47(6): 596-606.
[38] Ouyang, R., Zhao, X., Zhang, R., Yang, J., Li, S. and Deng, D. (2022) FGF21 Attenuates High Uric Acid-Induced Endoplasmic Reticulum Stress, Inflammation and Vascular Endothelial Cell Dysfunction by Activating Sirt1. Molecular Medicine Reports, 25, Article No. 35. [Google Scholar] [CrossRef] [PubMed]
[39] Packer, M. (2024) Hyperuricemia and Gout Reduction by SGLT2 Inhibitors in Diabetes and Heart Failure. Journal of the American College of Cardiology, 83, 371-381. [Google Scholar] [CrossRef] [PubMed]
[40] Martín-Vázquez, E., Cobo-Vuilleumier, N., López-Noriega, L., Lorenzo, P.I. and Gauthier, B.R. (2023) The PTGS2/COX2-PGE2 Signaling Cascade in Inflammation: Pro or Anti? A Case Study with Type 1 Diabetes Mellitus. International Journal of Biological Sciences, 19, 4157-4165. [Google Scholar] [CrossRef] [PubMed]
[41] Harris, R.C. and Breyer, M.D. (2006) Update on Cyclooxygenase-2 Inhibitors. Clinical Journal of the American Society of Nephrology, 1, 236-245. [Google Scholar] [CrossRef] [PubMed]
[42] Lu, Y., Sun, Q., Guan, Q., Zhang, Z., He, Q., He, J., et al. (2023) The Xor-Idh3α Axis Controls Macrophage Polarization in Hepatocellular Carcinoma. Journal of Hepatology, 79, 1172-1184. [Google Scholar] [CrossRef] [PubMed]
[43] Bortolotti, M., Polito, L., Battelli, M.G. and Bolognesi, A. (2021) Xanthine Oxidoreductase: One Enzyme for Multiple Physiological Tasks. Redox Biology, 41, Article 101882. [Google Scholar] [CrossRef] [PubMed]
[44] Wang, M., Chen, W., Zhang, J., Gobejishvili, L., Barve, S.S., McClain, C.J., et al. (2020) Elevated Fructose and Uric Acid through Aldose Reductase Contribute to Experimental and Human Alcoholic Liver Disease. Hepatology, 72, 1617-1637. [Google Scholar] [CrossRef] [PubMed]
[45] Yokose, C., McCormick, N. and Choi, H.K. (2021) The Role of Diet in Hyperuricemia and Gout. Current Opinion in Rheumatology, 33, 135-144. [Google Scholar] [CrossRef] [PubMed]
[46] McCormick, N., O’Connor, M.J., Yokose, C., Merriman, T.R., Mount, D.B., Leong, A., et al. (2021) Assessing the Causal Relationships between Insulin Resistance and Hyperuricemia and Gout Using Bidirectional Mendelian Randomization. Arthritis & Rheumatology, 73, 2096-2104. [Google Scholar] [CrossRef] [PubMed]
[47] 孙晨枫, 任彬彬. AMPK信号通路在帕金森病调控及治疗中的研究进展[J]. 中国比较医学杂志, 2025, 35(9): 134-144.
[48] Zhang, Y., Chen, Y., Chen, X., Gao, Y., Luo, J., Lu, S., et al. (2024) Unconjugated Bilirubin Promotes Uric Acid Restoration by Activating Hepatic AMPK Pathway. Free Radical Biology and Medicine, 224, 644-659. [Google Scholar] [CrossRef] [PubMed]
[49] Zhou, J., Yang, F., Zhang, X., Wang, C., Wu, Z. and Gao, J. (2025) Jiangniaosuan Formula Inhibits Hyperuricemia-Induced Apoptosis of Renal Tubular Epithelial Cells via Ros/HIF-1α/EZH2 Pathway: A Network Pharmacology Analysis and Experimental Validation. Bioorganic Chemistry, 159, 108363. [Google Scholar] [CrossRef] [PubMed]
[50] Li, X., Liu, Z., Liao, J., Chen, Q., Lu, X. and Fan, X. (2023) Network Pharmacology Approaches for Research of Traditional Chinese Medicines. Chinese Journal of Natural Medicines, 21, 323-332. [Google Scholar] [CrossRef] [PubMed]
[51] Wu, J., Zhang, F., Li, Z., et al. (2022) Integration Strategy of Network Pharmacology in Traditional Chinese Medicine: A Narrative Review. Journal of Traditional Chinese Medicine, 42, 479-86.
[52] Yuan, Z., Pan, Y., Leng, T., Chu, Y., Zhang, H., Ma, J., et al. (2022) Progress and Prospects of Research Ideas and Methods in the Network Pharmacology of Traditional Chinese Medicine. Journal of Pharmacy & Pharmaceutical Sciences, 25, 218-226. [Google Scholar] [CrossRef] [PubMed]